Effect of Cooling Rate and Remelting Temperature on the Solidification Structure of Al-5Zr Master Alloy
Abstract
1. Introduction
2. Materials and Methods
3. Results and Discussion
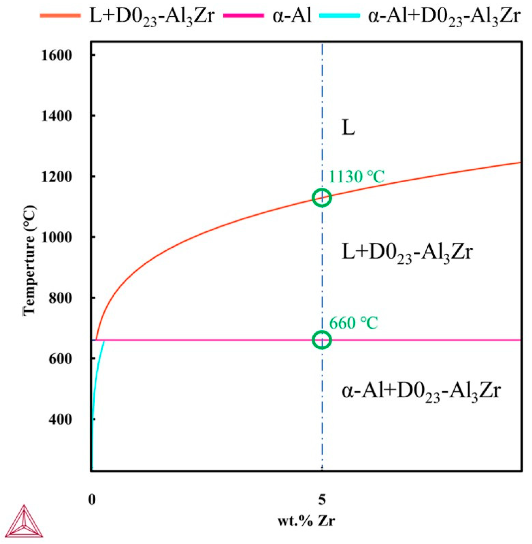
3.1. Microstructure of Al-5Zr Master Alloy
3.2. Cooling Curves at Different Remelting Processes
3.3. The Effect of Remelting Temperature and Cooling Rate on the Grain Structure
3.4. The Effect of Remelting Temperature and Cooling Rate on the Precipitation of Al3Zr Phase
4. Conclusions
Author Contributions
Funding
Data Availability Statement
Acknowledgments
Conflicts of Interest
References
- Liu, Q.; Fan, G.; Tan, Z.; Li, Z.; Zhang, D.; Wang, J.; Zhang, H. Precipitation of Al3Zr by two-step homogenization and its effect on the recrystallization and mechanical property in 2195 Al–Cu–Li alloys. Mater. Sci. Eng. A 2021, 821, 141637. [Google Scholar] [CrossRef]
- Williams, J.C.; Starke, E.A., Jr. Progress in structural materials for aerospace systems. Acta Mater. 2003, 51, 5775–5799. [Google Scholar] [CrossRef]
- Belov, N.; Alabin, A.; Matveeva, I.; Eskin, D. Effect of Zr additions and annealing temperature on electrical conductivity and hardness of hot rolled Al sheets. T. Nonferr. Metal Soc. China 2015, 25, 2817–2826. [Google Scholar] [CrossRef]
- Li, J.; Zhang, Y.; Li, M.; Hu, Y.; Zeng, Q.; Zhang, P. Effect of combined addition of Zr, Ti and Y on microstructure and tensile properties of an Al-Zn-Mg-Cu alloy. Mater. Des. 2022, 223, 111129. [Google Scholar] [CrossRef]
- Zhang, J.; Chen, Z.; Wang, H. Quasi in-situ analysis of compressive creep behaviors and microstructure evolutions in Al–Zr alloys with Sc and Er additions. Mater. Sci. Eng. A 2022, 852, 143650. [Google Scholar] [CrossRef]
- Jung, J.-G.; Cho, Y.-H.; Kim, S.-D.; Kim, S.-B.; Lee, S.-H.; Song, K.; Euh, K.; Lee, J.-M. Mechanism of ultrasound-induced microstructure modification in Al–Zr alloys. Acta Mater. 2020, 199, 73–84. [Google Scholar] [CrossRef]
- Pan, S.; Qian, F.; Li, C.; Wang, Z.; Li, Y. Synergistic strengthening by nano-sized α-Al(Mn,Fe)Si and Al3Zr dispersoids in a heat-resistant Al–Mn–Fe–Si–Zr alloy. Mater. Sci. Eng. A 2021, 819, 141460. [Google Scholar] [CrossRef]
- Mohammadi, A.; Enikeev, N.A.; Murashkin, M.Y.; Arita, M.; Edalati, K. Developing age-hardenable Al-Zr alloy by ultra-severe plastic deformation: Significance of supersaturation, segregation and precipitation on hardening and electrical conductivity. Acta Mater. 2020, 203, 116503. [Google Scholar] [CrossRef]
- Kong, Y.; Pu, Q.; Jia, Z.; Liu, M.; Roven, H.J.; Jia, J.; Liu, Q. Microstructure and property evolution of Al-0.4Fe-0.15Zr-0.25Er alloy processed by high pressure torsion. J. Alloys Compd. 2020, 824, 153949. [Google Scholar] [CrossRef]
- Levi, A. Heredity in Cast Iron. Iron Age 1927, 6, 960. [Google Scholar]
- Zhang, Z.; Bian, X.; Wang, Z.; Liu, X.; Wang, Y. Microstructures and grain refinement performance of rapidly solidified Al–Ti–C master alloys. J. Alloys Compd. 2002, 339, 180–188. [Google Scholar] [CrossRef]
- Yu, L.; Liu, X. The relationship between viscosity and refinement efficiency of pure aluminum by Al–Ti–B refiner. J. Alloys Compd. 2006, 425, 245–250. [Google Scholar] [CrossRef]
- Li, D.X.; Han, M.X.; Zhang, J.; Peng, Y.J.; Sun, Q.Q.; Liu, G.L.; Liu, X.F. Microstructure heredity and high yield strength design of fine grained Al-Si-Mg alloys. Mater. Rep. 2021, 35, 9003–9008. [Google Scholar]
- Wu, Y.L.; Hong, T.; Yang, Q.; Nu, L.G. Structure heredity of high purity Al-Si alloys. Hot Work. Technol. 2011, 40, 65–66. [Google Scholar]
- Sun, Y.; Pan, Q.; Luo, Y.; Liu, Y.; Sun, Y.; Long, L.; Li, M.; Wang, X.; Liu, S. Study on the primary Al3Sc phase and the structure heredity of Al-Zn-Mg-Cu-Sc-Zr alloy. Mater. Charact. 2020, 169, 110601. [Google Scholar] [CrossRef]
- Xiangfa, L.; Xiufang, B.; Xiaogang, Q.; Jiaji, M. The heredity of Al-Si-Mg-Mn before and after remelting. JOM-US 1997, 49, 40–41. [Google Scholar] [CrossRef]
- Zhu, Q.F.; Li, F.; Wang, J.; Wang, Q.H.; Wang, W.J.; Cui, J.Z. Effects of cooling rate on solidification structure of Al-5Zr master alloys. Chin. J. Nonferrous Met. 2017, 27, 8–14. [Google Scholar]
- Brodova, I.G.; Bashlykov, D.V.; Manukhin, A.B.; Stolyarov, V.V.; Soshnikova, E.P. Formation of nanostructure in rapidly solidified Al-Zr alloy by severe plastic deformation. Scr. Mater. 2001, 44, 1761–1764. [Google Scholar] [CrossRef]
- Li, F.; Zhu, Q.F.; Li, L.; Zhang, J.; Shao, B.; Cui, J.Z. Effect of pouring temperature on the primary Al3Zr phase in Al-5Zr master alloy. Rare Metal Mat. Eng. 2015, 44, 2029–2033. [Google Scholar]
- Li, F.; Zhu, Q.F.; Li, L.; Cui, J.Z. Effect of process parameters on primary Al3Zr phase in Al-Zr master alloys. J. Northeast. Univ. 2013, 34, 1739–1742+1791. [Google Scholar]
- Zheng, Q.; Yang, C.; Wang, S.; Yu, A.; Chen, H.; He, Y. Effect of compound inoculants Ti and Zr on as cast microstructure and mechanical properties of Al–Cu alloy. Mater. Res. Innov. 2014, 18, S2-59. [Google Scholar] [CrossRef]
- Liu, X.; Liu, Y.; Zhou, Z.; Wang, K.; Zhan, Q.; Xiao, X. Grain refinement and crack inhibition of selective laser melted AA2024 aluminum alloy via inoculation with TiC-TiH2. Mater. Sci. Eng. A. 2021, 813, 141171. [Google Scholar] [CrossRef]
- Guo, X.M.; Yang, C.G.; Qian, B.N.; Xu, Q.; Zhang, H.Y. Effects of inoculants Ti and Zr on the microstructure and properties of 2219 Al-Cu alloy welds. Acta Metall. Sin. 2005, 41, 397–407. [Google Scholar]
- Yi, K.K.; Jiang, F.; Xu, P.; Peng, Y.Y. Growth mechanism of Al3Zr phase in Al-4Zr alloy. J. Rare Metals 2019, 43, 213–218. [Google Scholar]







| Elements | Zr | Fe | Si | Al |
|---|---|---|---|---|
| Chemical compositions (wt.%) | 4.97 | 0.2 | 0.16 | Bal. |
| Cooling Rate (°C·s−1) | Holding Time in Two Phase Regions (s) | Largest Long-Axis Length of Al3Zr (μm) | Nucleation Density (mm−2) | Growth Rate along the Long Axis (μm·s−1) |
|---|---|---|---|---|
| 4.6 | 103.2 | 599.5 | 44 | 5.8 |
| 30.8 | 15.3 | 239.1 | 119 | 15.6 |
| 43.9 | 10.9 | 374.2 | 238 | 34.3 |
Disclaimer/Publisher’s Note: The statements, opinions and data contained in all publications are solely those of the individual author(s) and contributor(s) and not of MDPI and/or the editor(s). MDPI and/or the editor(s) disclaim responsibility for any injury to people or property resulting from any ideas, methods, instructions or products referred to in the content. |
© 2023 by the authors. Licensee MDPI, Basel, Switzerland. This article is an open access article distributed under the terms and conditions of the Creative Commons Attribution (CC BY) license (https://creativecommons.org/licenses/by/4.0/).
Share and Cite
Li, Z.; Zhang, W.; Fan, S.; Jiang, Q. Effect of Cooling Rate and Remelting Temperature on the Solidification Structure of Al-5Zr Master Alloy. Metals 2023, 13, 749. https://doi.org/10.3390/met13040749
Li Z, Zhang W, Fan S, Jiang Q. Effect of Cooling Rate and Remelting Temperature on the Solidification Structure of Al-5Zr Master Alloy. Metals. 2023; 13(4):749. https://doi.org/10.3390/met13040749
Chicago/Turabian StyleLi, Zhenhua, Wangming Zhang, Siyue Fan, and Qingwei Jiang. 2023. "Effect of Cooling Rate and Remelting Temperature on the Solidification Structure of Al-5Zr Master Alloy" Metals 13, no. 4: 749. https://doi.org/10.3390/met13040749
APA StyleLi, Z., Zhang, W., Fan, S., & Jiang, Q. (2023). Effect of Cooling Rate and Remelting Temperature on the Solidification Structure of Al-5Zr Master Alloy. Metals, 13(4), 749. https://doi.org/10.3390/met13040749
