Abstract
There are many advantages of the smelting of vanadium–titanium magnetite pellets by hydrogen-based shaft furnace pre-reduction and electric arc furnace process, including high reduction efficiency, low carbon dioxide emission and high recovery of titanium and so on. However, vanadium–titanium magnetite pellets are highly susceptible to severe reduction disintegration when reduced in the gas-based shaft furnaces. H2 and CO are the primary reducing gas components in the gas-based shaft furnace process, which significantly influences the reduction behavior of vanadium–titanium magnetite pellets. In this study, the reduction disintegration behavior and reduction kinetics of vanadium–titanium magnetite under mixed H2–CO atmospheres at low temperatures (450–600 °C) were investigated. The differences in the reduction capacities and rates of H2 and CO on iron oxides and titanium–iron oxides were revealed, along with their impact on the reduction disintegration behavior of the pellets at low temperatures. At lower temperatures, CO exhibited a greater reducing capability for vanadium–titanium magnetite. As the reduction temperature increased, the reduction capacities of both H2 and CO improved; however, the reduction capacity of H2 was more significantly influenced by the temperature. The disparity in the reduction capacities of H2 and CO for vanadium–titanium magnetite pellets caused an inconsistent expansion rate in different regions of the pellet, increasing internal stress, contributing to a more severe reduction disintegration of vanadium–titanium magnetite pellets in the mixed H2–CO atmospheres.
1. Introduction
Vanadium–titanium magnetite is a complex, symbiotic iron ore primarily containing iron, vanadium, and titanium, along with other valuable elements, making it highly valuable for comprehensive utilization [1,2]. Currently, its utilization mainly involves blast furnace and non-blast furnace processes, both of which primarily use vanadium–titanium magnetite pellets as feedstock [3]. The blast furnace process, widely applied in China and Russia, offers high yield and efficiency. However, challenges include the difficulty of titanium recovery from blast furnace slag, as well as high energy consumption and significant carbon dioxide emissions, which limit its further development [4,5,6].
The gas-based shaft furnace pre-reduction followed by electric furnace smelting, a non-blast furnace method for smelting vanadium–titanium magnetite pellets, has garnered significant attention for its high reduction efficiency, reduced energy consumption, low carbon emissions, and enhanced titanium utilization [7,8]. However, during the gas-based shaft furnace process, vanadium–titanium magnetite pellets are susceptible to disintegration under low-temperature reduction, which hinders furnace gas permeability and disrupts production feasibility [9,10]. Currently, the established gas-based shaft furnace reduction processes, such as Midrex, HYL, and COREX, primarily utilize hydrogen and carbon monoxide as the main reducing agents [11].
Current studies on the reduction disintegration behavior of vanadium–titanium magnetite pellets have indicated that disintegration predominantly occurs within the temperature range of 400–600 °C, with variations in disintegration behavior observed at different H2/CO ratios [12]. In the non-blast furnace smelting process of vanadium–titanium magnetite, the differences in reduction properties between H2 and CO are found to significantly affect the reduction disintegration behavior of vanadium–titanium magnetite pellets. Investigating the reduction kinetics of vanadium–titanium magnetite pellets in H2/CO atmospheres is essential for understanding the distinct reduction capabilities of H2 and CO on vanadium–titanium magnetite [13,14]. Such studies also provide insight into the mechanisms underlying reduction-induced disintegration in these pellets, which can inform process improvements for minimizing disintegration during reduction. Previous studies on the reduction behavior and kinetics of iron ore pellets have predominantly examined processes using coal as the reducing agent [15,16]. Although some research has explored gas-based reduction kinetics, these studies have mainly focused on the high-temperature range (700–1100 °C), where iron oxides are fully reduced to metallic iron. However, limited attention has been given to the kinetics of reduction in the lower temperature range of 500–600 °C, leaving gaps in understanding reduction behaviors under these conditions [17].
The kinetics of iron ore pellet reduction in an H2–CO atmosphere at temperatures ranging from 700 to 1100 °C suggest that the process is initially controlled by interfacial chemical reactions and subsequently governed by gas diffusion mechanisms [18,19]. Scanning electron microscopy revealed the presence of numerous internal pores (0–5 μm in diameter) in pellets reduced under a hydrogen atmosphere. These pores served as gas channels, effectively reducing diffusion resistance and thereby shortening the diffusion-controlled stage of the reduction process [20,21,22,23]. An increase in the H2/(H2 + CO) ratio has been observed to enhance the reduction degree of oxidized pellets within this temperature range. However, thermodynamic analyses indicate that CO possesses a higher reduction potential than H2 at lower temperatures. To date, the influence of the kinetic differences between H2 and CO on the disintegration behavior of pellets during hydrogen-based reduction has not been systematically reported. Therefore, the reduction behavior and reaction kinetics of vanadium–titanium magnetite under hydrogen-based conditions at lower temperatures warrant further in-depth investigation [24,25].
In this study, the reduction disintegration behavior of vanadium–titanium magnetite pellets at low temperatures under H2–CO mixed atmospheres was systematically investigated. Emphasis was placed on establishing a kinetic model to elucidate the dominant rate-controlling mechanisms under varying H2/CO ratios and to explain the observed differences in reduction disintegration behavior. By quantitatively analyzing the reduction degree and rate of vanadium–titanium magnetite pellets at different gas compositions and temperatures, the relative reduction capabilities of H2 and CO toward iron oxides were clarified. The kinetic parameters obtained were further used to interpret the variation in internal stress and structural failure that led to reduction-induced disintegration. This approach not only refined the understanding of low-temperature reduction mechanisms but also provided theoretical support for developing strategies to mitigate swelling and pulverization during hydrogen-rich reduction. The findings offer valuable guidance for advancing the industrial application of low-carbon, gas-based reduction technologies for vanadium–titanium magnetite pellets.
2. Materials and Methods
2.1. Materials
The vanadium–titanium magnetite oxidized pellets used in this study were prepared using the same raw material formulation and thermal processing parameters as described in our previously published work [26]. Specifically, vanadium–titanium magnetite concentrate (particle size < 0.074 mm) obtained from the Sichuan Taihe mining area was thoroughly mixed with 1.6 wt.% bentonite binder and 7 wt.% water, and then pelletized into 10–14 mm spheres using a disc pelletizer. The green pellets were dried in a constant-temperature oven for 4 h and subsequently subjected to a two-stage roasting process in an electrically heated horizontal tube furnace: oxidative preheating at 950 °C for 20 min, followed by oxidative roasting at 1220 °C for 30 min. The average compressive strength of the roasted pellets was measured to be 2200 N per pellet. The main chemical composition of the oxidized pellets is presented in Table 1.
Table 1.
Content of main compounds in vanadium–titanium magnetite oxidized pellets (%).
2.2. Methods
2.2.1. Reduction Disintegration
The test method for assessing the reduction disintegration properties of vanadium–titanium magnetite pellets followed a previously published open-access protocol (Chen et al., 2025, CC-BY 4.0) [26]. The reduction disintegration index (RDI) of the pellets was tested in a rotary tube according to ISO 11257:2022 standards [27]. Approximately 250 g of vanadium–titanium magnetite oxidized pellets were placed into the rotary tube, which was connected to the gas supply and exhaust system before being inserted into the furnace. The furnace was heated at 10 °C/min, and the rotary tube was rotated at 10 r/min. Nitrogen (N2) was introduced for protection, then replaced with a reducing gas once the reduction temperature was reached. After reduction, the rotation and gas supply were stopped, and nitrogen was reintroduced for cooling. The reduced pellets and powders were sieved using 6.3 mm, 3.15 mm, and 0.5 mm meshes to determine the reduction disintegration index (RDI), calculated by Equations (1)–(3). The experimental setup for the reduction disintegration test is shown in Figure 1.
where m0—The mass of vanadium–titanium magnetite pellets before dynamic reduction,
m+6.3mm—The mass of specimens greater than 6.3 mm after dynamic reduction,
m+3.15mm—The mass of specimens greater than 3.15 mm after dynamic reduction,
m−0.5mm—The mass of specimens less than 0.5 mm after dynamic reduction.
Figure 1.
Schematic diagram of the experimental procedures.
Figure 1.
Schematic diagram of the experimental procedures.

2.2.2. Reduction Degree and Reduction Rate
The reduction degree and reduction rate of vanadium titanium magnetite pellets were tested according to GB/T 13241-2017, “Iron ores—Determination of reducibility” [28], using a vertical reduction furnace (Figure 1). Approximately 500 g of vanadium titanium magnetite pellets were weighed (denoted as m0) and the reduction was carried out at specific temperatures and in a controlled reduction atmosphere. Nitrogen was used for protection during heating and cooling. The final mass, including pellets and powder, was measured and the carbon content in the reduction products was analyzed. Since low-temperature reduction involves carbon precipitation in the reducing gas, which increases the mass after reduction, the effect on the degree of reduction must be taken into account in the calculations. The reduction degree Rt of vanadium titanium magnetite pellets was calculated by Equation (4).
where w(FeO)—The mass fraction of ferrous iron in vanadium–titanium magnetite pellets, %
TFe—The total iron content of vanadium–titanium magnetite pellets, %
m0—The quality of vanadium–titanium magnetite pellets before reduction, g
mt—The mass of vanadium–titanium magnetite pellets after reduction for t min, g
mc—The carbon content in vanadium–titanium magnetite pellets after reduction for t min.%
The reduction velocity index (RVI) of vanadium–titanium magnetite pellets for the time period t1 to t2 was calculated by Equation (5).
where Rt1—The reduction degree of vanadium–titanium magnetite pellets after reduction for t1, %
Rt2—The reduction degree of vanadium–titanium magnetite pellets after reduction for t2, %
3. Results and Discussion
3.1. Correlation Between Reduction Disintegration and Reduction Degree
Thermodynamic studies on H2/CO reduction had shown that H2 was less effective than CO at low temperatures. However, the reduction behavior of vanadium–titanium magnetite pellets was also governed by gas diffusion rates. Owing to its smaller molecular radius, H2 diffused more rapidly through pellet pores compared to CO. Kinetic studies had demonstrated that the reaction rate constant (kc) and effective diffusion coefficients for the reduction in iron oxides by H2 were 6 to 10 times greater than those for CO. In this section, the reduction degree of vanadium–titanium magnetite was evaluated across a range of temperatures (450–600 °C) and reduction atmospheres (pure H2, pure CO, and mixed H2–CO atmospheres). The effects of varying H2/CO ratios on the reduction degree were also analyzed. The initial total iron and ferrous iron contents of the oxidized pellets are listed in Table 1. Furthermore, this section investigates the kinetic differences between H2 and CO reduction and their respective impacts on the reduction disintegration behavior of vanadium–titanium pellets.
3.1.1. Single-Component H2 or CO Atmosphere
The effects of CO and H2 on the reduction disintegration behavior of vanadium–titanium magnetite pellets were investigated using a dynamic rotary tube at a reduction temperature of 500 °C for 60 min, with results presented in Figure 2. In both single H2 and CO atmospheres, the pellets exhibited favorable low-temperature reduction disintegration performance, with RDI+6.3 mm values of 97.64% and 96.99%, respectively.
Figure 2.
(a) Reduction disintegration index (RDI−0.5 mm), (b) reduction disintegration index (RDI+6.3 mm) and (c) disintegration morphology of vanadium–titanium pellets under single-component H2 or CO atmosphere. (reduction temperature, 500 °C; reduction time, 60 min).
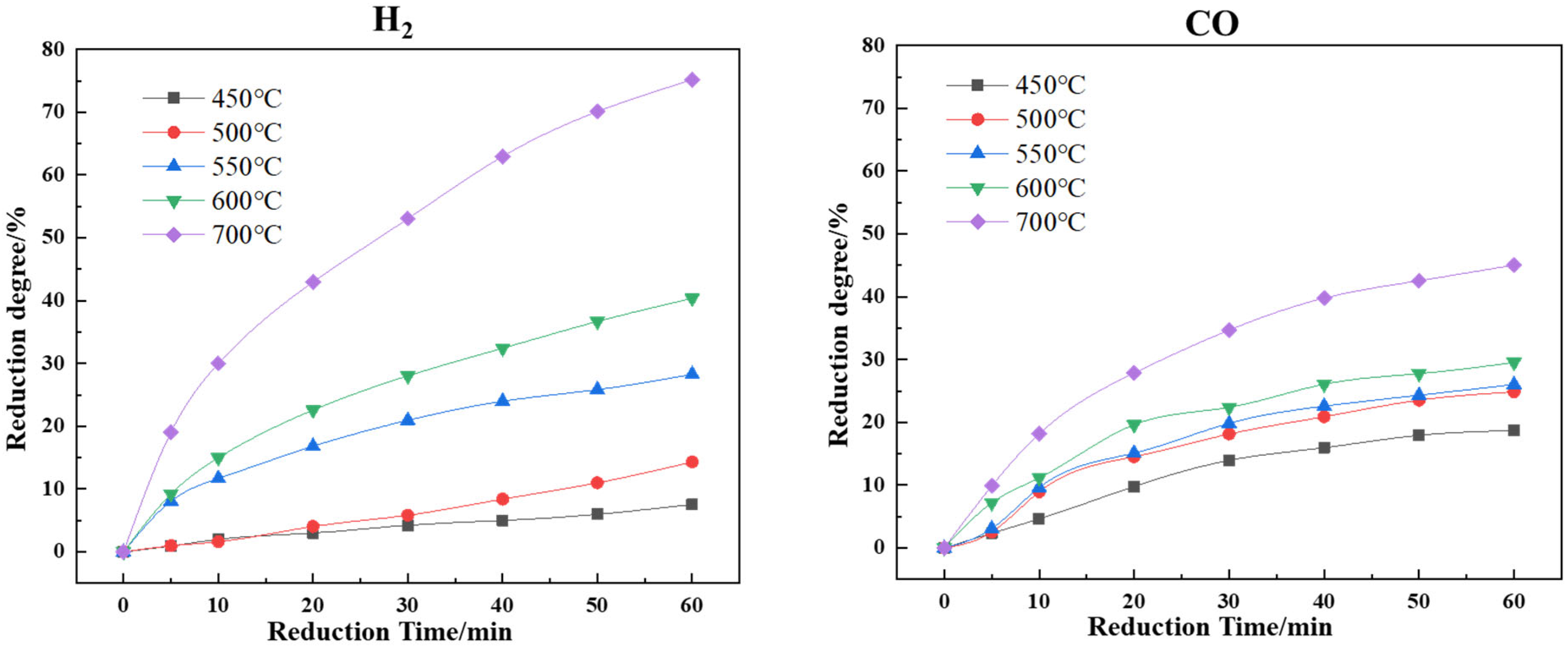
Figure 3 shows the reduction degree of vanadium–titanium magnetite pellets over temperatures in single-component H2 and CO atmospheres. In the temperature range of 450 °C to 700 °C, CO showed greater effectiveness than H2 in reducing iron and titanium oxides, but the reduction degree of vanadium–titanium magnetite pellets also varied depending on the kinetic conditions of the respective atmosphere. With increasing temperature, both H2 and CO showed improved reduction efficiency, with H2 becoming increasingly effective at higher temperatures. A turning point was observed between 500 °C: below this range, CO reduction dominated, while above this range, H2 was more favorable for the reduction in vanadium titanium magnetite pellets.
Figure 3.
Change of reduction degree in single-component H2 or CO atmosphere.
3.1.2. Mixed H2–CO Atmosphere
The effects of mixed H2–CO atmosphere on the reduction disintegration behavior of vanadium–titanium magnetite pellets were shown in Figure 4 and Figure 5. As the H2 proportion in the reducing gas increased, the reduction disintegration index RDI+6.3 mm and RDI+3.15 mm initially decreased, then increased, while RDI−0.5 mm initially increased and then decreased. In both single H2 and CO atmospheres, the pellets exhibited favorable low-temperature reduction disintegration performance. However, mixing CO and H2 in any ratio led to deteriorated disintegration performance, indicating that the combination of CO and H2 was a key factor in the disintegration of vanadium–titanium magnetite pellets during low-temperature reduction. During the low-temperature reduction process, the main reactions occurring between the vanadium–titanium magnetite oxidized pellets and the reducing gases H2 and CO are shown in Equations (6) and (7).
3Fe2O3 + CO = 2Fe3O4 + CO2
3Fe2O3 + H2 = 2Fe3O4 + H2O
Figure 4.
Effect of reducing atmosphere on RDI of vanadium–titanium magnetite pellets.
Figure 5.
Reduction degradation of vanadium–titanium magnetite pellets under different reducing atmospheres.
In the temperature range of 450 °C to 700 °C, the reduction behavior of vanadium–titanium magnetite pellets in a mixed H2–CO atmosphere was investigated, as shown in Figure 6. During the initial 20–30 min, the reduction degree increased rapidly. However, after 30 min, the reduction rate began to decrease. Additionally, due to the different reduction ability of H2 and CO, uneven volume expansion occurred in various regions of the pellets, resulting in internal stress accumulation that promoted structural disintegration. At 600 °C, the reduction capacity of H2 exceeded that of the mixed H2–CO atmosphere, while the mixed atmosphere was more effective than CO alone. At 550 °C, H2 and CO exhibited nearly equivalent reduction performance. Below 500 °C, the reduction capacity of H2 declined significantly, and an increased H2 proportion in the mixture led to a slower rise in reduction degree. The observed difference in reduction rates between H2 and CO under low-temperature conditions might be a key factor contributing to pellet disintegration. Therefore, further investigation into the reduction kinetics of H2 and CO at low temperatures was essential for elucidating this process.
Figure 6.
Reduction degree change of vanadium–titanium magnetite pellets in mixed H2–CO atmosphere.
3.2. Low-Temperature Reduction Kinetics of Vanadium–Titanium Magnetite Pellets
3.2.1. Reduction Kinetics Model
The reduction disintegration of vanadium–titanium magnetite pellets occurs primarily in the temperature range of 400–600 °C, where the thermodynamics and reduction mechanisms differ significantly from those at high temperatures. In this study, kinetic modeling was employed not to calculate the general activation energy (Ea) or reaction order (n), but rather to identify the dominant rate-controlling steps at various H2–CO gas ratios and to explain the observed differences in reduction disintegration behavior.
To achieve this, experimental reduction degree data at four temperatures (450 °C, 500 °C, 550 °C, and 600 °C) were fitted to three classic shrinking-core model equations representing different kinetic control mechanisms: chemical reaction control, internal diffusion control, and mixed control. The linear fitting results were used to determine the apparent reaction rate constants (k+) and effective diffusion coefficients (Deff) under each condition. These parameters were then correlated with the extent of disintegration observed in reduction experiments to evaluate how changes in gas composition influence reduction behavior and internal stress development. This approach provided a mechanistic understanding of the disintegration process, without relying on global kinetic parameters that may be less meaningful in a narrow and mechanism-shifting temperature range. The methodology and rationale for this analysis are further discussed below.
The reduction in vanadium–titanium magnetite pellets in a gas atmosphere was described by the widely used shrinking-core model, in which the unreacted core retreats from the pellet surface toward its center. Five sequential sub-steps were identified:
- (1)
- Diffusion of H2 and CO across the external gas boundary layer to the pellet surface.
- (2)
- Penetration of these gases through pores and cracks to the internal reaction front.
- (3)
- Interfacial chemical reactions—adsorption of H2 and CO, desorption of H2O and CO2, electron transfer, and lattice decomposition—leading to new solid nuclei.
- (4)
- Outward diffusion of H2O and CO2 through the product layer to the pellet surface.
- (5)
- Final transport of H2O and CO2 from the pellet’s boundary layer into the bulk gas.
Rate control was determined by the slowest of these steps, typically either interfacial reaction or internal gas diffusion; steps 4 and 5 had negligible kinetic impact. Given the complex pore structure of vanadium–titanium pellets, a single-interface shrinking-core formulation was chosen to capture the gradual inward advance of the reaction front (Figure 7) and to support subsequent kinetic analyses [17,18].
Figure 7.
Single interface unreactive shrinkage core model.
- (1)
- Control of the reduction gas internal diffusion
When the diffusion resistance of the reducing gas through the product layer to the reaction interface substantially exceeded the resistance of the chemical reaction at the interface, the relationship between the reduction degree (R) and the reduction time (t) was described as follows.
where R—The reduction degree of vanadium–titanium magnetite pellets, %;
Deff—Effective gas diffusion coefficient, cm2/min;
c0—Concentration of the reducing gas in the gas boundary layer, mol/cm3.
ceq—Equilibrium concentration of the reducing gas corresponding to its reaction with iron oxides and iron–titanium oxides, mol/cm3.
t—The elapsed time of the reduction reaction, min;
r1—Radius of the pellet, cm.
ρo—Density of lattice oxygen in spherical clusters, mol/cm3.
The kinetic equation above represents the diffusion of reducing gases through the product layer in vanadium–titanium magnetite pellets. The expression 1 − 3(1 − R)2/3 + 2(1 − R) was graphed against the reduction time t. If the resulting plot formed a straight line, it indicated that the reduction process was controlled by the internal diffusion of the reducing gas. The slope of this line could be further used to calculate the effective diffusion coefficient Deff for the gas.
- (2)
- Control of interfacial chemistry
When the resistance of the interfacial chemical reaction was significantly greater than the resistance of the reducing gas to diffuse through the product layer to the reaction interface, the relationship between the degree of reduction (R) and the reduction time (t) was expressed as follows.
where K—Equilibrium constant of the reduction reaction.
k+—Rate constants for the reductive forward reactions, cm/min.
c0—Concentration of the reducing gas in the gas boundary layer, mol/cm3.
ceq—Equilibrium concentration of the reducing gas corresponding to its reaction with iron oxides and iron–titanium oxides, mol/cm3.
t—The elapsed time of the reduction reaction, min;
r1—Radius of the pellet, cm.
ρo—Density of lattice oxygen in spherical clusters, mol/cm3.
The above equation represents the kinetic equation controlled by the interfacial chemical reaction, with 1 − (1 − R)1/3 used to plot the reduction time t. When the resulting graph displayed a straight line, it indicated that the interfacial chemical reaction was the rate-controlling step for the reduction in vanadium–titanium magnetite pellets. Additionally, the rate constant k+ of the reduction reaction could be further derived from the slope of the line.
- (3)
- Integrated control of internal diffusion and interfacial chemical reactions
When the resistance to internal diffusion of the reducing gas and the resistance of the interfacial chemical reaction were not negligible, meaning that the reduction degree R and the reduction time t in Equations (8) and (9) exhibited nonlinearity, the reduction process of vanadium–titanium magnetite pellets was characterized as an integrated control of internal diffusion and interfacial chemical reactions. In this scenario, the relationship between the reduction degree R and the reduction time t was expressed by the following equation.
where R—The reduction degree of vanadium–titanium magnetite pellets, %;
Deff—Effective gas diffusion coefficient, cm2/min;
c0—Concentration of the reducing gas in the gas boundary layer, mol/cm3.
ceq—Equilibrium concentration of the reducing gas corresponding to its reaction with iron oxides and iron–titanium oxides, mol/cm3.
t—The elapsed time of the reduction reaction, min;
r1—Radius of the pellet, cm.
ρo—Density of lattice oxygen in spherical clusters, mol/cm3.
Equation (10) represented the kinetic equation for the integrated control of internal diffusion and interfacial chemical reactions, which was plotted as R against T. When the resulting graph displayed a straight line, it indicated that the rate-controlling mechanism of the reduction in vanadium–titanium magnetite pellets involved the mixed control of internal diffusion and interfacial chemical reaction. The diffusion coefficient Deff and the reaction rate constant k+ could then be determined from the slope and the intercept of Equation (10), respectively.
3.2.2. Reduction Kinetics
In the temperature range of 450 °C to 600 °C, the rate-controlling factor for the reduction in vanadium–titanium magnetite pellets was found to vary with the reduction temperature, and the kinetic mechanisms of H2, CO, and H2–CO mixtures in the reduction process remained unclear. To ascertain the controlling link of the reduction reaction of vanadium–titanium magnetite pellets at different reduction temperatures, plots were generated using the reduction degree data alongside the three rate-control Equations (8)–(10). Specifically, the relationship curve of 1 − 3(1 − R)2/3 + 2(1 − R) and time t, 1 − (1 − R)1/3 and time t, as well as t/[1 − (1 − R)1/3] and 1 − 3(1 − R)2/3 + 2(1 − R) was plotted. The data points in these plots were then fitted linearly, and the coefficients of determination for the fitted straight lines were obtained. The closer the coefficients of determination were to 100%, the better the agreement between the experimental data and the fitted straight line was indicated.
- (1)
- Reduction kinetics at 600 °C
As shown in Figure 8, the relationship curve of 1 − 3(1 − R)2/3 + 2(1 − R) and t exhibited the best linear fit, with R2 values closest to 100%, for the reduction in vanadium–titanium magnetite pellets at 600 °C by H2, CO, and mixed H2–CO atmosphere. This indicated that the rate-controlling mechanism for the reduction in vanadium–titanium magnetite pellets at 600 °C was internal diffusion. The effective diffusion coefficient Deff of the gas was further calculated based on the slope of the fitted line.
Figure 8.
Kinetic relationship curves of vanadium–titanium magnetite pellets reduced by H2–CO atmosphere at 600 °C. (Relation curves for (a) 1 − 3(1 − R)2/3 + 2(1 − R) ~ t; (b) 1 − (1 − R)1/3 ~ t and (c) t/[1 − (1 − R)1/3] ~ 1 + (1 − R)1/3 − 2(1 − R)2/3 at 600 °C).
The slope k of each line in Figure 8a was calculated, giving the k value in the relationship curve of 1 − 3(1 − R)2/3 + 2(1 − R) and t. Equation (11) provided the relationship between the effective diffusion coefficient Deff and k. At the gas boundary layer, the concentrations of the reducing gases H2 and CO were 16.48 mol/m3 at 600 °C and 101 kPa. Assuming only iron oxides reacted with the gas (as titanium valency remained unchanged), the equilibrium concentration ceq was determined to be 7.41 mol/m3, based on calculations from the Factsage 8.1 software. Using Archimedes’ drainage method, the volume, radius r1, and density of the vanadium–titanium pellets were measured, with the oxygen density ρo calculated to be 5.01 × 104 mol/m3, considering the hematite content.
where Deff—Effective gas diffusion coefficient, cm2/min;
c0—Concentration of the reducing gas in the gas boundary layer, mol/cm3.
ceq—Equilibrium concentration of the reducing gas corresponding to its reaction with iron oxides and iron–titanium oxides, mol/cm3.
r1—Radius of the pellet, cm.
ρo—Density of lattice oxygen in spherical clusters, mol/cm3.
The effective diffusion coefficients of reducing gases under different atmospheres at 600 °C and 101 kPa are listed in Table 2. At 600 °C, the order of diffusion coefficients was as follows: > Dφ(CO)=0.75 > Dφ(CO)=0.5 > Dφ(CO)=0.75 > DCO. Although CO was more reactive with iron–titanium oxides at this temperature, H2 exhibited a higher diffusion rate in the vanadium–titanium magnetite pellet. This facilitated a greater reduction degree with H2. The diffusion rate difference between H2 and CO led to non-uniform diffusion rates within the pellet pores, causing variations in the reduction expansion rates across pellet regions, thus increasing the internal expansion stress.
Table 2.
Effective diffusion coefficient of reducing gas (600 °C, 101 kPa).
- (2)
- Reduction kinetics at 550 °C
To determine the rate-controlling steps for the reduction in vanadium–titanium magnetite pellets under different atmospheres at 550 °C, plots were made of 1 − 3(1 − R)2/3 + 2(1 − R) ~ t, 1 − (1 − R)1/3 ~ t and t/[1 − (1 − R)1/3] ~ 1 + (1 − R)1/3 − 2(1 − R)2/3. As illustrated in Figure 9, the reduction in vanadium–titanium magnetite pellets by H2, CO, and H2–CO mixtures at 550 °C was primarily controlled by internal diffusion.
Figure 9.
Kinetic relationship curves of vanadium–titanium magnetite pellets reduced by H2–CO atmosphere at 550 °C. (Relation curves for (a) 1 − 3(1 − R)2/3 + 2(1 − R) ~ t; (b) 1 − (1 − R)1/3 ~ t and (c) t/[1 − (1 − R)1/3] ~ 1 + (1 − R)1/3 − 2(1 − R)2/3 at 550 °C).
The effective diffusion coefficients of reducing gases under different atmospheres at 550 °C were determined based on the slope of the fitted line for 1 − 3(1 − R)2/3 + 2(1 − R) and t as well as Equation (11), with results presented in Table 3, where the diffusion relationship followed > DCO > Dφ(CO) = 0.5 > Dφ(CO) = 0.75 > Dφ(CO) = 0.25. The reduced diffusion coefficient of the mixed H2–CO atmosphere was attributed to extensive carbon deposition on the pellet surface and within its pores at 550 °C, which obstructed the mixed gases’ inward diffusion. This blockage lowered the H2–CO diffusion rate below that of pure H2 and CO, causing uneven reduction rates across pellet regions, heightened expansion stress, and significant disintegration.
Table 3.
Effective diffusion coefficient of reducing gas (550 °C, 101 kPa).
- (3)
- Reduction kinetics study at 500 °C
Based on the reduction degree data of vanadium–titanium magnetite pellets at 500 °C, the relationship curves of 1 − 3(1 − R)2/3 + 2(1 − R) and t, 1 − (1 − R)1/3 and t, as well as t/[1 − (1 − R)1/3] and 1 + (1 − R)1/3 − 2(1 − R)2/3 were constructed and subsequently linearly fitted. As shown in Figure 10, at the reduction temperature of 500 °C, the reduction capability of H2 towards iron–titanium oxides was found to decrease. Furthermore, the rate-controlling step of H2 reduction in vanadium–titanium magnetite pellets was observed to shift to an interfacial chemical reaction rate control. The reaction rate constant (k+) for the reduction in vanadium–titanium magnetite pellets by H2 was derived from Equation (12). The equilibrium constant (K) for the reduction in hematite by H2 at 500 °C was determined using Factsage 8.1 software. The calculated equilibrium constant K at 600 °C and 101 kPa was 0.51. Consequently, the reaction rate constant k+ for the reduction in vanadium–titanium magnetite pellets by H2 was 1.54 × 10−4 m/s.
where K—Equilibrium constant of the reduction reaction.
Figure 10.
Kinetic relationship curves of vanadium–titanium magnetite pellets reduced by H2–CO atmosphere at 500 °C. (Relation curves for (a) 1 − 3(1 − R)2/3 + 2(1 − R) ~ t; (b) 1 − (1 − R)1/3 ~ t and (c) t/[1 − (1 − R)1/3] ~ 1 + (1 − R)1/3 − 2(1 − R)2/3 at 500 °C).
k+—Rate constants for the reductive forward reactions, cm/min.
c0—Concentration of the reducing gas in the gas boundary layer, mol/cm3.
ceq—Equilibrium concentration of the reducing gas corresponding to its reaction with iron oxides and iron–titanium oxides, mol/cm3.
r1—Radius of the pellet, cm.
ρo—Density of lattice oxygen in spherical clusters, mol/cm3.
CO exhibited a stronger reducing ability than H2 at 500 °C, and the reduction in vanadium–titanium magnetite pellets in both single CO atmosphere and a mixed H2–CO atmosphere was found to be internally diffusion-controlled. The effective diffusion coefficients for the reduction in vanadium–titanium magnetite pellets in single CO atmosphere and H2–CO mixture at 500 °C, were calculated based on the slopes of the straight lines fitted to the relationship 1 − 3(1 − R)2/3 + 2(1 − R)~t and Equation (11), as presented in Table 4. The effective diffusion coefficient for the single CO atmosphere was found to be larger than that for the H2–CO mixture, likely due to carbon precipitation in the mixture, which hindered gas diffusion. As the reduction temperature was lowered to 500 °C, the reaction rate constant for H2 decreased, and the disparity in the reducing abilities of H2 and CO to reduce vanadium–titanium magnetite pellets increased. This led to uneven expansion within the pellet, causing higher stress and an increased rate of reduction disintegration.
Table 4.
Effective diffusion coefficient of reducing gas (500 °C, 101 kPa).
- (4)
- Reduction kinetics study at 450 °C
Based on the reduction data at 450 °C, the relationships curves of 1 − 3(1 − R)2/3 + 2(1 − R) and t, 1 − (1 − R)1/3 and t, as well as t/[1 − (1 − R)1/3] and 1 + (1 − R)1/3 − 2(1 − R)2/3 were plotted and linearly fitted. As shown in Figure 11, the reduction in vanadium–titanium magnetite pellets at 450 °C under H2 atmosphere, as well as mixed atmospheres of PCO/(PCO + ) = 0.25 and PCO/(PCO + ) = 0.5, was found to be rate-controlled by the interfacial chemical reaction.
Figure 11.
Kinetic relationship curves of vanadium–titanium magnetite pellets reduced by H2–CO atmosphere at 450 °C. (Relation curves for (a) 1 − 3(1 − R)2/3 + 2(1 − R) ~ t; (b) 1 − (1 − R)1/3 ~ t and (c) t/[1 − (1 − R)1/3] ~ 1 + (1 − R)1/3 − 2(1 − R)2/3 at 450 °C).
According to Equation (12), the rate constant k+ of the pellet reduction reaction could be determined. At 450 °C, the rate constant for the reduction in vanadium–titanium magnetite pellets in single-component H2 atmosphere was found to be 4.61 × 10−5 m/s, indicating that temperature had a significant effect on the rate of the H2 reduction reaction. For the atmosphere with φ(CO) = 0.25, the rate constant was 2.65 × 10−4 m/s, and for the atmosphere with φ(CO) = 0.5, the rate constant increased to 3.77 × 10−4 m/s. This showed that the reduction rate of vanadium–titanium magnetite pellets under a mixed H2–CO mixture accelerated with the increasing ratio of φ(CO), suggesting that the reduction rate of CO was significantly higher than that of H2 at 450 °C. The increased difference in the reduction capacities of H2 and CO exacerbated the issue of low-temperature reduction disintegration of the pellets.
For the reduction in vanadium–titanium magnetite pellets in single-component CO atmosphere and under an atmosphere with φ(CO) = 0.75, the reduction process was found to be controlled by internal diffusion. The effective diffusion coefficients for the single-component CO and the φ(CO) = 0.75 atmospheres were calculated to be 1.33 × 10−7 m2/s and 1.03 × 10−7 m2/s, respectively, as determined by Equation (11).
According to Equation (12), the rate constant k+ of the pellet reduction reaction could be determined. At 450 °C, the rate constant for the reduction in vanadium–titanium magnetite pellets in single-component H2 atmosphere was found to be 4.61 × 10−5 m/s, indicating that temperature had a significant effect on the rate of the H2 reduction reaction. For the atmosphere with φ(CO) = 0.25, the rate constant was 2.65 × 10−4 m/s, and for the atmosphere with φ(CO) = 0.5, the rate constant increased to 3.77 × 10−4 m/s. This showed that the reduction rate of vanadium–titanium magnetite pellets under a mixed H2–CO mixture accelerated with the increasing ratio of φ(CO), suggesting that the reduction rate of CO was significantly higher than that of H2 at 450 °C. The increased difference in the reduction capacities of H2 and CO exacerbated the issue of low-temperature reduction disintegration of the pellets.
For the reduction in vanadium–titanium magnetite pellets in single-component CO atmosphere and under an atmosphere with φ(CO) = 0.75, the reduction process was found to be controlled by internal diffusion. The effective diffusion coefficients for the single-component CO and the φ(CO) = 0.75 atmospheres were calculated to be 1.33 × 10−7 m2/s and 1.03 × 10−7 m2/s, respectively, as determined by Equation (11).
The reduction kinetics of H2, CO, and mixed H2–CO atmospheres on vanadium–titanium magnetite pellets indicated that the effective diffusion coefficients (Deff) and the rate constants (k+) of the reduction reaction for the single H2 atmosphere, single CO atmosphere, and the mixed H2–CO atmosphere decreased with a decrease in reduction temperature, within the temperature range of 450 °C to 600 °C. However, the reduction ability of H2 on the iron oxides in the pellets was more significantly affected by the reduction temperature. Specifically, when the temperature exceeded 550 °C, the effective diffusion coefficient and reduction rate constant of H2 were higher than those of CO. In contrast, at temperatures below 500 °C, the reduction rate constant of H2 was considerably lower than that of CO.
The carbon deposition occurring in the mixed H2–CO atmosphere, which blocked the gas diffusion channels within the pellet, led to a lower diffusion coefficient for the mixed H2–CO atmosphere compared to the single-component H2 or CO atmospheres. This disparity in the reduction capacities of H2 and CO resulted in inconsistent reduction and expansion rates across different regions of the pellet, further exacerbating the issue of pellet disintegration under the mixed H2–CO atmosphere.
3.2.3. Reduction Rates
Differences in the reduction rates of vanadium–titanium magnetite pellets by H2 and CO led to varying rates of volume swelling across different regions of the pellet during reduction, which, in turn, induced internal stresses that compromised the pellet’s structural integrity. Therefore, investigating the disparity in the reduction rates of vanadium–titanium magnetite pellets under different reducing gases can provide insight into the mechanism underlying reduction disintegration. The reduction rates for the various stages of vanadium–titanium magnetite pellet reduction within the temperature range of 450 °C to 600 °C were calculated by Equation (5).
As shown in Figure 12, with the extension of reduction time at 600 °C, the reduction rate of vanadium–titanium magnetite pellets exhibited an overall decreasing trend. The reduction rate of vanadium–titanium magnetite pellets in an H2 atmosphere was faster than that in a CO atmosphere. Although the reduction rate differed significantly between the two gases, both gases, at 600 °C, were capable of rapidly reducing the titano-hematite in the pellets to titano-magnetite. The high reduction rate helped mitigate stress accumulation within the pellets, thereby alleviating the chalking issue caused by volume expansion during reduction. During the first 10 min of reduction, the mixed H2–CO atmosphere reduced titano-magnetite at a faster rate than either single-component H2 or CO. However, the carbon deposition associated with the mixed H2–CO atmosphere led to a decrease in the overall reduction rate of vanadium–titanium magnetite pellets.
Figure 12.
Reduction rates of vanadium–titanium magnetite pellets in different time periods at 450~600 °C.
At a reduction temperature of 550 °C, during the first 20 min of reduction, there was a significant difference in the reduction rates between H2 and CO. This disparity led to the generation of expansion stresses as titano-hematite was reduced to titano-magnetite within the pellets. After 20 min of reduction, the difference in the reduction rates of H2 and CO gradually decreased. During the first 10 min of reduction, the reduction rates of the mixed H2–CO atmosphere and CO were similar. However, after 10 min, the issues of carbon deposition and pellet disintegration caused a decrease in the reduction rate of the mixed H2–CO atmosphere in the reduction in vanadium–titanium magnetite pellets.
4. Conclusions
The effects of different H2/CO ratios on the reduction disintegration rate and reduction degree of vanadium–titanium magnetite pellets were systematically investigated. The differences in the reduction kinetics and reduction rates of vanadium–titanium magnetite pellets reduced by varying H2/CO ratios at different temperatures were revealed. The main conclusions drawn from the study were as follows:
- (1)
- In the single-component H2 or CO atmosphere, vanadium–titanium magnetite pellets demonstrated favorable reduction disintegration behavior. However, as φ(H2) increased from 0 to 0.17, the reduction disintegration behavior declined markedly, with the RDI+6.3 mm fraction dropping sharply from 96.99% to 0%. Further increases in H2 concentration led to an improvement in disintegration behavior.
- (2)
- When the reduction temperature was below 550 °C, CO demonstrated a stronger reduction capability than H2, leading to a faster reduction rate and a higher reduction degree in the pellets. In contrast, at temperatures above 550 °C, H2 exhibited a stronger reduction effect on vanadium–titanium magnetite.
- (3)
- The effective diffusion coefficient Deff of the reducing gas and the rate constant k+ for the forward reduction reaction increased as the reduction temperature increased within the range of 450–600 °C. The reduction capacity of H2 on the iron oxides in the pellets was more significantly affected by the reduction temperature.
- (4)
- During the first 10 min of reduction, the mixed H2–CO atmospheres exhibited a faster reduction rate compared to single-component H2 or CO atmosphere. The differing reduction capacities of H2 and CO generated inconsistent reduction and swelling rates across pellet regions, which were observed to increase internal stress within the pellets and exacerbate the disintegration.
In summary, the differences in low-temperature (400–600 °C) reduction disintegration behavior of vanadium–titanium magnetite pellets under various gas compositions were explained from the perspective of reduction kinetics. This work provided theoretical support for understanding the mechanisms of reduction-induced disintegration and swelling, and contributed to the advancement and application of low-carbon metallurgical technologies.
Author Contributions
F.C.: Funding acquisition, Conceptualization, Validation, Writing—Review and Editing. H.L.: Conceptualization, Software, Writing—Original Draft, Writing—Review and Editing. S.W.: Methodology, Funding acquisition, Project administration, Supervision. M.C.: Methodology, Funding acquisition, Project administration, Supervision. W.T.: Funding acquisition, Conceptualization, Investigation. Y.G.: Methodology, Funding acquisition, Project administration, Supervision. Y.W.: Writing—Review and Supervision. L.Y.: Resources and Software. All authors have read and agreed to the published version of the manuscript.
Funding
This work was funded by the State Key Laboratory of Vanadium and Titanium Resources Comprehensive Utilization Foundation (Grant No. 2023P4FZG01A).
Data Availability Statement
The original contributions presented in this study are included in the article. Further inquiries can be directed to the corresponding author(s).
Acknowledgments
The authors would like to thank the anonymous reviewers.
Conflicts of Interest
The authors declare no conflicts of interest.
References
- Gao, F.; Olayiwola, A.U.; Liu, B.; Wang, S.; Du, H.; Li, J.; Wang, X.; Chen, D.; Zhang, Y. Review of vanadium production part I: Primary resources. Miner. Process. Extr. Metall. Rev. 2022, 43, 466–488. [Google Scholar] [CrossRef]
- Qiu, G.; Guo, Y. Current situation and development trend of titanium metal industry in China. Int. J. Miner. Metall. Mater. 2022, 29, 599–610. [Google Scholar] [CrossRef]
- Taylor, P.R.; Shuey, S.A.; Vidal, E.E.; Gomez, J.C. Extractive metallurgy of vanadium-containing titaniferous magnetite ores: A review. Min. Metall. Explor. 2006, 23, 80–86. [Google Scholar] [CrossRef]
- Zhang, S.; Zhang, J.; Wang, Z.; Zhong, Y.; Guo, P.; Jiang, D.; Zhang, S. Advancements in oxygen blast furnace technology and its application in the smelting of vanadium-titanium magnetite: A comprehensive review. Miner. Eng. 2024, 212, 108732. [Google Scholar] [CrossRef]
- Chen, S.; Fu, X.; Chu, M.; Liu, Z.; Tang, J. Life cycle assessment of the comprehensive utilization of vanadium titano-magnetite. Miner. Eng. 2015, 101, 122–128. [Google Scholar] [CrossRef]
- Pang, Z.; Jiang, Y.; Ling, J.; Lu, X.; Yan, Z. Blast furnace ironmaking process with super high TiO2 in the slag: Density and surface tension of the slag. Int. J. Miner. Metall. Mater. 2022, 29, 1170–1178. [Google Scholar] [CrossRef]
- Cai, Y.; Song, N.; Yang, Y.; Sun, L.; Hu, P.; Wang, J. Recent progress of efficient utilization of titanium-bearing blast furnace slag. Int. J. Miner. Metall. Mater. 2022, 29, 22–31. [Google Scholar] [CrossRef]
- Yi, L.; Huang, Z.; Jiang, T.; Zhong, R.; Liang, Z. Iron or, e pellet disintegration mechanism in simulated shaft furnace conditions. Powder Technol. 2017, 317, 89–94. [Google Scholar] [CrossRef]
- Liu, R.; Liu, Y.; Gao, Y.; Yan, G.; Lan, C.; Lv, Q. Non-isothermal kinetics and thermodynamics analysis of vanadium-titanium magnetite. Metall. Res. Technol. 2024, 121, 415. [Google Scholar] [CrossRef]
- Hu, Q.; Ma, D.; Zhou, K.; Liu, Y.; You, Y.; You, Z.; Lv, X. Phase transformation and slag evolution of vanadium–titanium magnetite pellets during softening–melting process. Powder Technol. 2022, 396, 710–717. [Google Scholar] [CrossRef]
- Sarkar, S.; Bhattacharya, R.; Roy, G.G.; Sen, P.K. Modeling MIDREX based process configurations for energy and emission analysis. Steel Res. Int. 2018, 89, 1700248. [Google Scholar] [CrossRef]
- Hu, Q.; Xin, R.; Gao, X.; Wang, Y.; You, Y.; You, Z.; Lv, X. Reduction disintegration behavior of vanadium titanomagnetite pellets in H2-CO-CO2-N2 mixtures. Powder Technol. 2023, 413, 118073. [Google Scholar] [CrossRef]
- Chen, D.; Song, B.; Wang, L.; Qi, T.; Wang, Y.; Wang, W. Solid state reduction of Panzhihua titanomagnetite concentrates with pulverized coal. Miner. Eng. 2011, 24, 864–869. [Google Scholar] [CrossRef]
- Zhang, J.; Xing, X.; Cao, M.; Jiao, K.; Wang, C.; Ren, S. Reduction kinetics of vanadium titano-magnetite carbon composite pellets adding catalysts under high temperature. J. Iron Steel Res. Int. 2013, 20, 1–7. [Google Scholar] [CrossRef]
- Lu, C.; Zou, X.; Lu, X.; Xie, L.; Zheng, K.; Xiao, W.; Cheng, H.; Li, G. Reductive kinetics of Panzhihua ilmenite with hydrogen. Trans. Nonferrous Met. Soc. China 2016, 26, 3266–3273. [Google Scholar] [CrossRef]
- Zare Ghadi, A.; Radfar, N.; Valipour, M.S.; Sohn, H.Y. A Review on the Modeling of Direct Reduction of Iron Oxides in Gas-Based Shaft Furnaces. Steel Res. Int. 2023, 94, 2200742. [Google Scholar] [CrossRef]
- Sharma, T.; Prakash, B. Effect of reduction rate on the swelling behavior of iron ore pellets. ISIJ Int. 1992, 32, 812–818. [Google Scholar] [CrossRef]
- Chen, J.; Chen, W.; Mi, L.; Jiao, Y.; Wang, X. Kinetic studies on gas-based reduction of vanadium titano-magnetite pellet. Metals 2019, 9, 95. [Google Scholar] [CrossRef]
- Towhidi, N.; Szekely, J. The influence of carbon deposition on the reduction kinetics of commercial grade hematite pellets with CO, H2, and N2. Met. Trans B 1983, 14, 359. [Google Scholar] [CrossRef]
- Guo, D.; Hu, M.; Pu, C.; Xiao, B.; Hu, Z.; Liu, S. Kinetics and mechanisms of direct reduction of iron ore-biomass composite pellets with hydrogen gas. Int. J. Hydrogen Energy 2015, 40, 4733–4740. [Google Scholar] [CrossRef]
- Wang, Z.; Chu, M.; Liu, Z.; Chen, S.; Xue, X. Effects of Temperature and Atmosphere on Pellets Reduction Swelling Index. J. Iron Steel Res. Int. 2012, 19, 7–19. [Google Scholar] [CrossRef]
- Yang, J.; Li, L.; Liang, Z.; Peng, X.; Deng, X.; Li, J. Direct reduction of iron ore pellets by H2-CO mixture: An in-situ investigation of the evolution and dynamics of swelling. Mater. Today Commun. 2023; 36, 106940. [Google Scholar] [CrossRef]
- Wang, H.; Sohn, H.Y. Effects of Reducing Gas on Swelling and Iron Whisker Formation during the Reduction of Iron Oxide Compact. Steel Res. Int. 2012, 83, 903–909. [Google Scholar] [CrossRef]
- Cheng, G.J.; Liu, J.X.; Liu, Z.G.; Chu, M.S.; Xue, X.X. Non-isothermal reduction mechanism and kinetics of high chromium vanadium–titanium magnetite pellets. Ironmak. Steelmak. 2015, 42, 17–26. [Google Scholar] [CrossRef]
- Cheng, G.; Zhang, X.; Gao, Z. Isothermal reduction behavior and kinetics of Russian high-chromium vanadium-titanium magnetite pellets under gas atmospheres of CO–CO2–N2 and CO–N2 at 873 K–1173 K. Energy Sources Part A-Recovery Util. Environ. Eff. 2022, 44, 5490–5507. [Google Scholar] [CrossRef]
- Chen, F.; Li, H.; Guo, Y.; Liu, K.; Wang, S.; Yang, L.; Wen, Y.; Zhang, M. Reduction disintegration behavior and crystallographic transformation of vanadium–titanium magnetite pellets during hydrogen-based reduction. J. Mater. Res. Technol.-JMRT 2024, 34, 152–163. [Google Scholar] [CrossRef]
- ISO 11257—2022; Iron Ores for Shaft Direct-Reduction Feedstocks—Determination of the Low-Temperature Reduction Disintegration Index and Degree of Metallization. International Organization for Standardization: Geneva, Switzerland, 2022.
- GB/T 13241—2017; Iron Ores—Determination of Reducibility. China Standard Press: Beijing, China, 2017.
Disclaimer/Publisher’s Note: The statements, opinions and data contained in all publications are solely those of the individual author(s) and contributor(s) and not of MDPI and/or the editor(s). MDPI and/or the editor(s) disclaim responsibility for any injury to people or property resulting from any ideas, methods, instructions or products referred to in the content. |
© 2025 by the authors. Licensee MDPI, Basel, Switzerland. This article is an open access article distributed under the terms and conditions of the Creative Commons Attribution (CC BY) license (https://creativecommons.org/licenses/by/4.0/).










