Mechanical-Analytical Soil-Dependent Fragility Curves of Existing RC Frames with Column-Driven Failures
Abstract
:1. Introduction
2. Determination of Displacement Capacity of 2D Frame
2.1. Simplified Analytical Model of A 2D Frame
2.2. Frame Section Capacity at x = D, L, C
2.3. Column Capacity at
2.4. Story Capacity at
2.5. Frame Capacity at x = D, L, C
3. Determination of Displacement Demand on a 2D Frame
3.1. Simplified Modal Analysis
3.2. Equivalent SDOF System
3.3. Bilinearization
3.4. Displacement Demands at x = D, L, C
4. Development of Fragility Curves for Frame Typologies
4.1. Definition of Fragility Curve
4.2. Selection of Frame Typologies
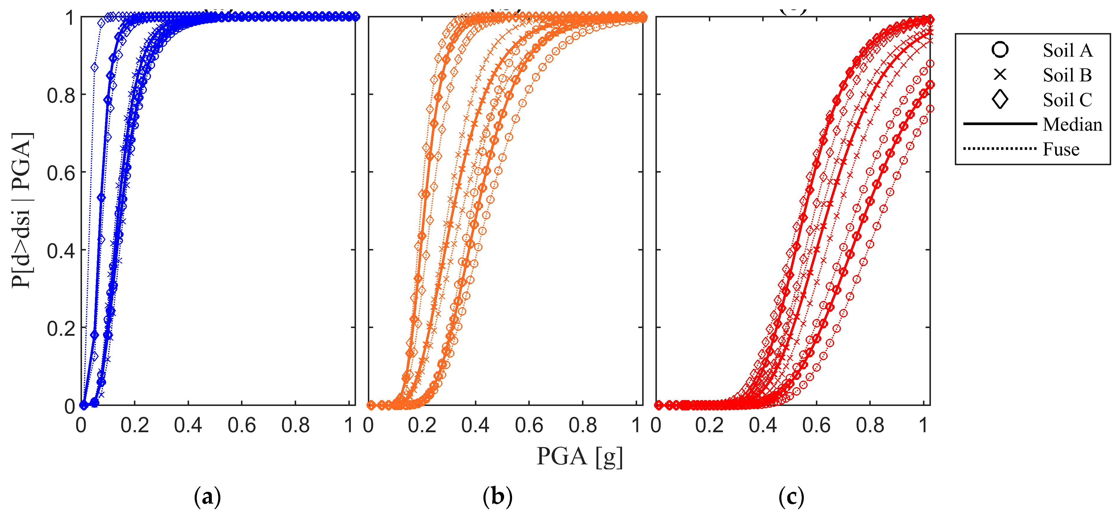
4.3. Effects of Soil Class and Location
4.4. Monte Carlo Analyses
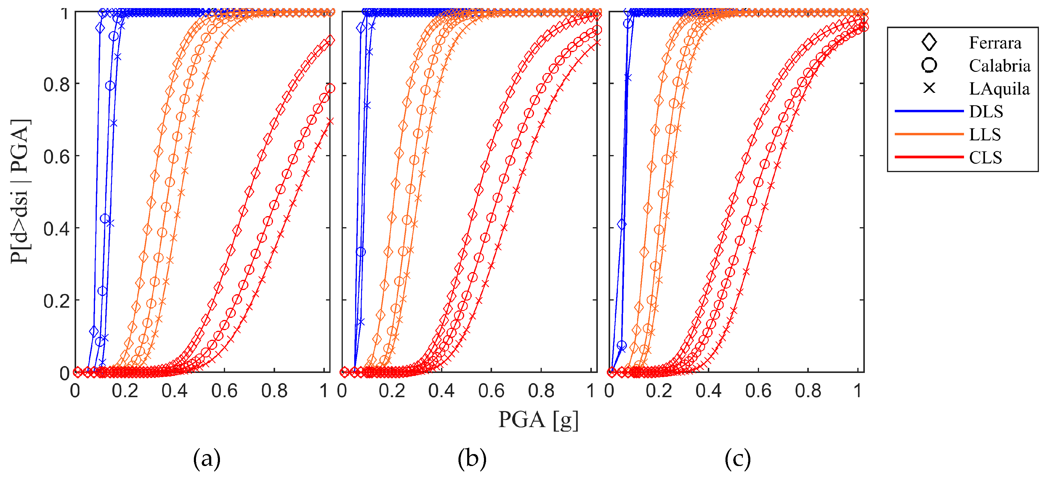
4.5. Resulting Fragility Curves
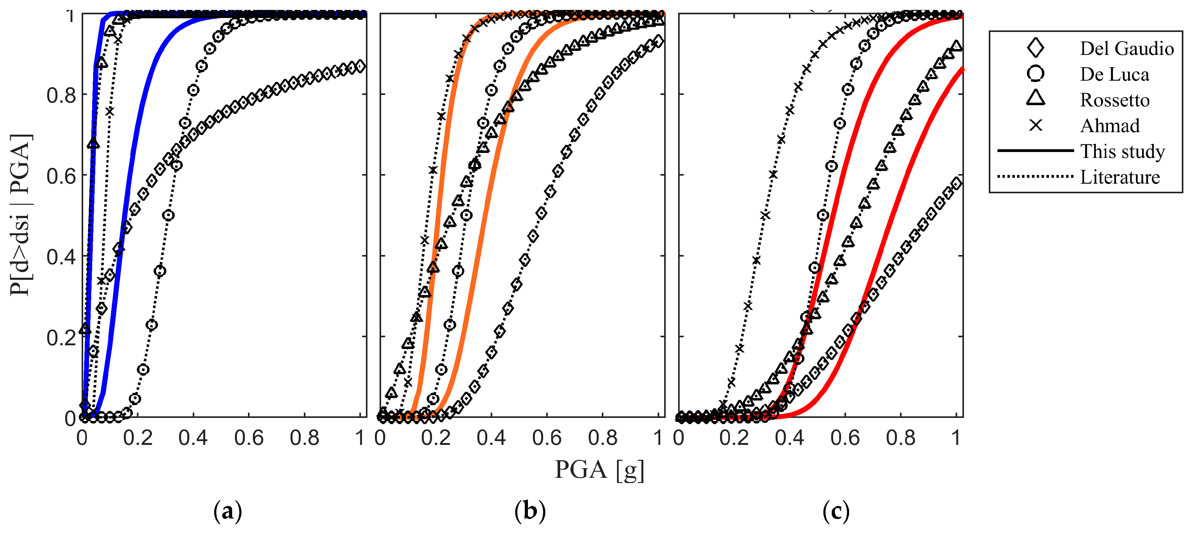
4.6. Comparison with Literature Fragility Curves
5. Conclusions
- Location and soil class influence: when developing analytical fragility curves, the influence of the local hazard curve and of the local soil class must be considered. FCs pertaining to the same typology/building change when used at different locations and/or on different soil classes. This induces significant errors on risk and scenario studies at the territorial level. To carry out this study in a more effective manner, a strategy is under development aiming at transforming, through analytical closed-form functions, FCs developed on a certain location and soil class to another one. This is beyond the scope of the present study and will be discussed and presented in a future article.
- Construction age: RC frames fragility is significantly dependent on the construction age when it spans from pre-seismic-code to seismic-code periods. The fragility curves of the two epochs provide insightful information about the vulnerability features of the structures with respect to their construction age.
- Building height: the building height/number of stories is a crucial parameter to the evaluation of the fragility curves, since the LS-exceedance probability increases with the height/number of stories (here, studied only up to five). Thus, it is effectively used as a key parameter to define different building typologies.
Author Contributions
Funding
Institutional Review Board Statement
Informed Consent Statement
Data Availability Statement
Conflicts of Interest
References
- Jackson, J. Fatal attraction: Living with earthquakes, the growth of villages into megacities, and earthquake vulnerability in the modern world. Philos. Trans. R. Soc. A Math. Phys. Eng. Sci. 2006, 364, 1911–1925. [Google Scholar] [CrossRef] [PubMed]
- Meroni, F.; Squarcina, T.; Pessina, V.; Locati, M.; Modica, M.; Zoboli, R. A Damage Scenario for the 2012 Northern Italy Earthquakes and Estimation of the Economic Losses to Residential Buildings. Int. J. Disaster Risk Sci. 2017, 8, 326–341. [Google Scholar] [CrossRef] [Green Version]
- Dunand, F.; Gueguen, P. Comparison between seismic and domestic risk in moderate seismic hazard prone region: The Grenoble City (France) test site. Nat. Hazards Earth Syst. Sci. 2012, 12, 511–526. [Google Scholar] [CrossRef] [Green Version]
- Rota, M.; Penna, A.; Strobbia, C.; Magenes, G. Post-Earthquake Survey Data. In Proceedings of the 14th World Conference on Earthaquke Engineering, Beijing, China, 12–17 October 2008. [Google Scholar]
- Rossetto, T.; Elnashai, A. Derivation of vulnerability functions for European-type RC structures based on observational data. Eng. Struct. 2003, 25, 1241–1263. [Google Scholar] [CrossRef]
- Czarnecki, R. Earthquake Damage to Tall Buildings; MIT Department of Civil Engineering: Cambridge, MA, USA, 1973. [Google Scholar]
- Di Trapani, F.; Malavisi, M. Seismic fragility assessment of infilled frames subject to mainshock/aftershock sequences using a double incremental dynamic analysis approach. Bull. Earthq. Eng. 2018, 17, 211–235. [Google Scholar] [CrossRef]
- Basone, F.; Cavaleri, L.; Di Trapani, F.; Muscolino, G. Incremental dynamic based fragility assessment of reinforced concrete structures: Stationary vs. non-stationary artificial ground motions. Soil Dyn. Earthq. Eng. 2017, 103, 105–117. [Google Scholar] [CrossRef]
- Bianco, V.; Granati, S. Expeditious seismic assessment of existing moment resisting frame reinforced concrete buildings: Proposal of a calculation method. Eng. Struct. 2015, 101, 715–732. [Google Scholar] [CrossRef]
- Borzi, B.; Pinho, R.J.S.M.; Crowley, H. Simplified pushover-based vulnerability analysis for large-scale assessment of RC buildings. Eng. Struct. 2008, 30, 804–820. [Google Scholar] [CrossRef]
- Sullivan, T.J.; Saborio-Romano, D.; O’Reilly, G.J.; Welch, D.P.; Landi, L. Simplified Pushover Analysis of Moment Resisting Frame Structures. J. Earthq. Eng. 2021, 25, 621–648. [Google Scholar] [CrossRef]
- Del Gaudio, C.; Ricci, P.; Verderame, G.M.; Manfredi, G. Observed and predicted earthquake damage scenarios: The case study of Pettino (L’Aquila) after the 6th April 2009 event. Bull. Earthq. Eng. 2016, 14, 2643–2678. [Google Scholar] [CrossRef]
- Del Gaudio, C.; Ricci, P.; Verderame, G.M. A class-oriented large scale comparison with postearthquake damage for Abruzzi Region. In Proceedings of the 6th International Conference on Computational Methods in Structural Dynamics and Earthquake Engineering Methods in Structural Dynamics and Earthquake Engineering, Rhodes Island, Greece, 15–17 June 2017. [Google Scholar] [CrossRef] [Green Version]
- Buratti, N.; Minghini, F.; Ongaretto, E.; Savoia, M.; Tullini, N. Empirical seismic fragility for the precast RC industrial buildings damaged by the 2012 Emilia (Italy) earthquakes. Earthq. Eng. Struct. Dyn. 2017, 46, 2317–2335. [Google Scholar] [CrossRef]
- Rota, M.; Penna, A.; Strobbia, C. Processing Italian damage data to derive typological fragility curves. Soil Dyn. Earthq. Eng. 2008, 28, 933–947. [Google Scholar] [CrossRef]
- Kappos, A.J.; Panagopoulos, G.; Panagiotopoulos, C.; Penelis, G. A hybrid method for the vulnerability assessment of R/C and URM buildings. Bull. Earthq. Eng. 2006, 4, 391–413. [Google Scholar] [CrossRef]
- Petrone, F.; Monti, G. Unified code-compliant equations for bending and ductility capacity of full and hollow rectangular RC sections. Eng. Struct. 2019, 183, 805–815. [Google Scholar] [CrossRef]
- Hazus. Hazus–MH 2.1: Technical Manual. Fed. Emerg. Manag. Agency 2012, 718. Available online: www.fema.gov/plan/prevent/hazus (accessed on 29 June 2021).
- Structural Engineers Association of California. SEAOC-Vision 2000—A Framework for Performance-Based Design Vol I–III; Structural Engineers Association of California: Sacramento, CA, USA, 1995. [Google Scholar]
- Grünthal, G.; Schwarz, J. European Macroseismic Scale 1998 EMS-98; European Seismological Commission: Luxembourg, 1998. [Google Scholar]
- Rojahn, C.; Abel, M.A.; Ayres, J.M.; Blume, J.A.; Sharpe, R.L.; Brogan, G.E.; Cassano, R.; Christensen, T.M.; Degenkoib, H.J.; Scholl, R.E.; et al. ATC-13 Earthquake Damage Evaluation Data for California; Applied Technology Council: Redwood, CA, USA, 1985. [Google Scholar]
- Ahmad, N.; Crowley, H.; Pinho, R. Analytical Fragility Functions for Reinforced Concrete and Masonry Buildings and Building Aggregates of Euro-Mediterranean Regions; Department of Civil Engineering University of California: Berkeley, CA, USA, 2011. [Google Scholar]
- FEMA. P.695-Quantification of Building Seismic Performance Factors; Federal Emergency Management Agency: Washington, DC, USA, 2009.
- NTC. Aggiornamento Delle «Norme Tecniche per le Costruzioni»; Ministry of Transport and Infrastructure: Rome, Italy, 2018.
- Ang, A.H.S.; Tang, W.H. Probability Concepts in Engineering Planning and Design; John Wiley & Sons: New York, NY, USA, 1975; Volume 1. [Google Scholar]
- Ang, A.H.S.; Tang, W.H. Probability Concepts in Engineering Planning and Design, Volume 2: Decision, Risk, and Reliability; John Wiley & Sons, Inc., 605 Third Ave.: New York, NY, USA, 1984. [Google Scholar]
- Rossetto, T.; Ioannou, I.; Grant, D. Existing Empirical Fragility and Vulnerability Functions: Compendium and Guide for Selection; GEM Foundation: Pavia, Italy, 2013. [Google Scholar]
- Rossetto, T.; Ioannou, I.; Grant, D.; Maqsood, T. Guidelines for Empirical Vulnerability Assessment; GEM Foundations: Pavia, Italy, 2014. [Google Scholar]
- Ioannou, I.; Rossetto, T.; Grant, D. Use of regression analysis for the construction of empirical fragility curves. In Proceedings of the 15th World Conference on Earthquake Engineering, Lisbon, Portugal, 24–28 September 2012. [Google Scholar]
- Del Gaudio, C.; De Martino, G.; Di Ludovico, M.; Manfredi, G.; Prota, A.; Ricci, P.; Verderame, G.M. Empirical fragility curves from damage data on RC buildings after the 2009 L’Aquila earthquake. Bull. Earthq. Eng. 2016, 15, 1425–1450. [Google Scholar] [CrossRef]
- De Luca, F.; Verderame, G.M.; Manfredi, G. Analytical versus observational fragilities: The case of Pettino (L’Aquila) damage data database. Bull. Earthq. Eng. 2014, 13, 1161–1181. [Google Scholar] [CrossRef] [Green Version]












| Damage Limitation Limit State (DLS) | |
| Moment capacity | |
| Curvature capacity | |
| Life Safety Limit State (LLS) | |
| Moment capacity | |
| Curvature capacity | |
| Collapse Prevention Limit State (CLS) | |
| Moment capacity | |
| Curvature capacity | |
| HRC | HAZUS99 | Vision2000 | ATC-13 | EMS98 | Limit State | |
|---|---|---|---|---|---|---|
| Grade | Damage State | |||||
| Slight | Slight damage | Fully operational | Slight | Grade 1 | ||
| Light | Operational | Light | Grade 2 | DS1 | DLS | |
| Moderate | Moderate damage | Life safety | Moderate | Grade 3 | DS2 | LLS |
| Extensive | Extensive damage | Heavy | ||||
| Partial collapse | Near collapse | Major | Grade 4 | DS3 | CLS | |
| Collapse | Collapse | DS4 | ||||
| 2-Bay | 3-Bay | |||||
|---|---|---|---|---|---|---|
| Type 1 | Type 2 | Type 3 | Type 4 | Type 5 | ||
| L = 8 m | L1/L | 0.50 | 0.30 | |||
| L2/L | 0.50 | 0.70 | ||||
| L = 10 m | L1/L | 0.33 | 0.25 | 0.25 | ||
| L2/L | 0.33 | 0.50 | 0.25 | |||
| L3/L | 0.33 | 0.25 | 0.50 | |||
| L = 12 m | L1/L | 0.33 | 0.25 | 0.25 | ||
| L2/L | 0.33 | 0.50 | 0.25 | |||
| L3/L | 0.33 | 0.25 | 0.50 | |||
| Median Concrete Strength
(MPa) | Median Steel Strength
(MPa) | Stirrup Diameter
(mm) | Stirrup Spacing
(mm) | Flexural Reinforcement
(%) | |
|---|---|---|---|---|---|
| Code-Based (New, 1991–2000) | 18–28 | 300–500 | 8–10 | 150–250 | 0.75–1.25 |
| Pre-Code (Old, 1961–1970) | 14–20 | 220–370 | 6–8 | 200–300 | 0.65–1.00 |
| Uniform distribution | Uniform distribution | Discrete distribution | Discrete distribution | Discrete distribution |
| Soil Type | Design Type | Storey | DS1 = DLS | DS2 = LLS | DS3 = CLS | ||||||
|---|---|---|---|---|---|---|---|---|---|---|---|
| ± | ± | ± | |||||||||
| Soil A | Old (GLD) | 1 | 0.207 | 0.016 | 0.337 | 0.813 | 0.050 | 0.320 | 1.162 | 0.048 | 0.368 |
| 2 | 0.158 | 0.022 | 0.332 | 0.478 | 0.048 | 0.323 | 0.902 | 0.052 | 0.356 | ||
| 3 | 0.152 | 0.018 | 0.336 | 0.380 | 0.052 | 0.316 | 0.817 | 0.048 | 0.295 | ||
| 4 | 0.151 | 0.019 | 0.339 | 0.406 | 0.044 | 0.309 | 0.785 | 0.044 | 0.284 | ||
| 5 | 0.149 | 0.020 | 0.337 | 0.377 | 0.040 | 0.321 | 0.690 | 0.046 | 0.286 | ||
| New (Code-Based) | 1 | 0.241 | 0.026 | 0.551 | 0.990 | 0.052 | 0.380 | 1.496 | 0.052 | 0.360 | |
| 2 | 0.198 | 0.020 | 0.505 | 0.636 | 0.044 | 0.338 | 1.275 | 0.048 | 0.352 | ||
| 3 | 0.188 | 0.023 | 0.488 | 0.501 | 0.038 | 0.325 | 0.954 | 0.048 | 0.330 | ||
| 4 | 0.183 | 0.018 | 0.478 | 0.533 | 0.046 | 0.325 | 1.043 | 0.042 | 0.353 | ||
| 5 | 0.170 | 0.016 | 0.483 | 0.506 | 0.042 | 0.323 | 0.934 | 0.046 | 0.313 | ||
| Soil B | Old (GLD) | 1 | 0.149 | 0.024 | 0.303 | 0.602 | 0.044 | 0.320 | 0.972 | 0.045 | 0.350 |
| 2 | 0.133 | 0.023 | 0.298 | 0.433 | 0.048 | 0.379 | 0.843 | 0.050 | 0.359 | ||
| 3 | 0.125 | 0.020 | 0.302 | 0.388 | 0.036 | 0.377 | 0.684 | 0.042 | 0.296 | ||
| 4 | 0.127 | 0.016 | 0.305 | 0.315 | 0.046 | 0.379 | 0.642 | 0.038 | 0.299 | ||
| 5 | 0.124 | 0.018 | 0.303 | 0.292 | 0.040 | 0.361 | 0.571 | 0.044 | 0.266 | ||
| New (Code-Based) | 1 | 0.169 | 0.025 | 0.459 | 0.767 | 0.046 | 0.347 | 1.158 | 0.048 | 0.398 | |
| 2 | 0.135 | 0.021 | 0.421 | 0.516 | 0.035 | 0.360 | 0.960 | 0.047 | 0.312 | ||
| 3 | 0.139 | 0.018 | 0.406 | 0.460 | 0.040 | 0.422 | 0.871 | 0.044 | 0.300 | ||
| 4 | 0.134 | 0.022 | 0.398 | 0.432 | 0.038 | 0.410 | 0.821 | 0.040 | 0.284 | ||
| 5 | 0.127 | 0.019 | 0.403 | 0.406 | 0.036 | 0.428 | 0.750 | 0.050 | 0.260 | ||
| Soil C | Old (GLD) | 1 | 0.122 | 0.024 | 0.303 | 0.308 | 0.044 | 0.330 | 0.850 | 0.038 | 0.360 |
| 2 | 0.088 | 0.020 | 0.298 | 0.300 | 0.036 | 0.337 | 0.747 | 0.042 | 0.332 | ||
| 3 | 0.074 | 0.018 | 0.302 | 0.244 | 0.042 | 0.281 | 0.596 | 0.044 | 0.289 | ||
| 4 | 0.069 | 0.016 | 0.305 | 0.209 | 0.034 | 0.268 | 0.516 | 0.048 | 0.249 | ||
| 5 | 0.064 | 0.018 | 0.303 | 0.199 | 0.040 | 0.242 | 0.474 | 0.050 | 0.243 | ||
| New (Code-Based) | 1 | 0.121 | 0.020 | 0.459 | 0.591 | 0.042 | 0.340 | 0.932 | 0.044 | 0.370 | |
| 2 | 0.096 | 0.018 | 0.421 | 0.409 | 0.038 | 0.320 | 0.868 | 0.052 | 0.323 | ||
| 3 | 0.090 | 0.022 | 0.406 | 0.375 | 0.040 | 0.333 | 0.795 | 0.048 | 0.298 | ||
| 4 | 0.088 | 0.017 | 0.398 | 0.302 | 0.046 | 0.361 | 0.707 | 0.044 | 0.289 | ||
| 5 | 0.085 | 0.018 | 0.403 | 0.280 | 0.048 | 0.311 | 0.671 | 0.048 | 0.282 | ||
| Design Type | # Storey | DS1 = DLS | DS2 = LLS | DS3 = CLS | ||||||
|---|---|---|---|---|---|---|---|---|---|---|
| ± | ± | ± | ||||||||
| Old (GLD) | 1 | 0.161 | 0.063 | 0.314 | 0.564 | 0.300 | 0.323 | 1.011 | 0.199 | 0.359 |
| 2 | 0.124 | 0.056 | 0.309 | 0.395 | 0.131 | 0.346 | 0.830 | 0.125 | 0.349 | |
| 3 | 0.113 | 0.057 | 0.313 | 0.317 | 0.115 | 0.325 | 0.709 | 0.157 | 0.293 | |
| 4 | 0.112 | 0.059 | 0.316 | 0.313 | 0.138 | 0.319 | 0.649 | 0.181 | 0.277 | |
| 5 | 0.108 | 0.062 | 0.314 | 0.288 | 0.129 | 0.308 | 0.580 | 0.156 | 0.265 | |
| New (Code-Based) | 1 | 0.184 | 0.083 | 0.490 | 0.796 | 0.247 | 0.356 | 1.218 | 0.330 | 0.376 |
| 2 | 0.148 | 0.070 | 0.449 | 0.526 | 0.155 | 0.339 | 1.070 | 0.254 | 0.329 | |
| 3 | 0.140 | 0.072 | 0.433 | 0.437 | 0.102 | 0.360 | 0.875 | 0.128 | 0.309 | |
| 4 | 0.136 | 0.065 | 0.425 | 0.418 | 0.162 | 0.365 | 0.874 | 0.211 | 0.309 | |
| 5 | 0.127 | 0.060 | 0.430 | 0.390 | 0.158 | 0.354 | 0.802 | 0.179 | 0.285 | |
| Design Type | # Storey | DS1 = DLS | DS2 = LLS | DS3 = CLS | ||||||
|---|---|---|---|---|---|---|---|---|---|---|
| ± | ± | ± | ||||||||
| Old (GLD) | 1 | 0.161 | 0.063 | 0.373 | 0.564 | 0.300 | 0.514 | 1.011 | 0.199 | 0.538 |
| 2 | 0.124 | 0.056 | 0.368 | 0.395 | 0.131 | 0.529 | 0.830 | 0.125 | 0.531 | |
| 3 | 0.113 | 0.057 | 0.372 | 0.317 | 0.115 | 0.515 | 0.709 | 0.157 | 0.496 | |
| 4 | 0.112 | 0.059 | 0.374 | 0.313 | 0.138 | 0.511 | 0.649 | 0.181 | 0.487 | |
| 5 | 0.108 | 0.062 | 0.373 | 0.288 | 0.129 | 0.505 | 0.580 | 0.156 | 0.480 | |
| New (Code-Based) | 1 | 0.184 | 0.083 | 0.529 | 0.796 | 0.247 | 0.535 | 1.218 | 0.330 | 0.549 |
| 2 | 0.148 | 0.070 | 0.492 | 0.526 | 0.155 | 0.525 | 1.070 | 0.254 | 0.518 | |
| 3 | 0.140 | 0.072 | 0.477 | 0.437 | 0.102 | 0.538 | 0.875 | 0.128 | 0.506 | |
| 4 | 0.136 | 0.065 | 0.469 | 0.418 | 0.162 | 0.542 | 0.874 | 0.211 | 0.505 | |
| 5 | 0.127 | 0.060 | 0.474 | 0.390 | 0.158 | 0.534 | 0.802 | 0.179 | 0.491 | |
Publisher’s Note: MDPI stays neutral with regard to jurisdictional claims in published maps and institutional affiliations. |
© 2021 by the authors. Licensee MDPI, Basel, Switzerland. This article is an open access article distributed under the terms and conditions of the Creative Commons Attribution (CC BY) license (https://creativecommons.org/licenses/by/4.0/).
Share and Cite
Rahmat Rabi, R.; Bianco, V.; Monti, G. Mechanical-Analytical Soil-Dependent Fragility Curves of Existing RC Frames with Column-Driven Failures. Buildings 2021, 11, 278. https://doi.org/10.3390/buildings11070278
Rahmat Rabi R, Bianco V, Monti G. Mechanical-Analytical Soil-Dependent Fragility Curves of Existing RC Frames with Column-Driven Failures. Buildings. 2021; 11(7):278. https://doi.org/10.3390/buildings11070278
Chicago/Turabian StyleRahmat Rabi, Raihan, Vincenzo Bianco, and Giorgio Monti. 2021. "Mechanical-Analytical Soil-Dependent Fragility Curves of Existing RC Frames with Column-Driven Failures" Buildings 11, no. 7: 278. https://doi.org/10.3390/buildings11070278
APA StyleRahmat Rabi, R., Bianco, V., & Monti, G. (2021). Mechanical-Analytical Soil-Dependent Fragility Curves of Existing RC Frames with Column-Driven Failures. Buildings, 11(7), 278. https://doi.org/10.3390/buildings11070278

