Abstract
In this paper, the structural responses and failure characteristics of a new type of water conveyance tunnel lining structure subjected to reverse fault conditions were numerically investigated by considering multiple loads and interaction separation modes between different structural layers. This study proposes a new evaluation standard for the safety level of the damage state of the composite lining water conveyance tunnel. It also discusses the influences of fault dislocation displacement (Δf), dip angle (β), and the mechanical properties of the surrounding rock in the fault fracture zone on the water conveyance tunnel response and damage. The results indicate that the buckling failure of the steel tube under axial compression is the dominant failure mode of the composite lining structure. With increasing fault dislocation displacement, the axial compressive strain and circumferential shear strain of the composite lining are most severely damaged on the sliding plane. With decreasing fault dip angle, the axial compressive strain of the composite lining weakens, while the bending and shear strains increase. The increase in rock stiffness in the fault fracture zone reduces the damage scope but increases the composite lining structural damage severity. Overall, the numerical results of this study provide a better understanding of the failure mode and damage process of composite lining water conveyance tunnels under reverse fault conditions; therefore, this study can serve as a reference for composite lining structure disaster assessments.
1. Introduction
With the continuous development of underground space excavation technology, the field of underground engineering has expanded greatly. To realize the optimal allocation of water resources, many long—distance and large—diameter water conveyance tunnels have been constructed in China. Due to increasing internal water pressure requirements, tunnel lining structures have evolved from single lining structures to composite lining structures with high strengths and excellent performances [1,2]. With the development of monitoring technology, Structural health monitoring (SHM) can effectively prevent failures and significantly improve pipeline management with informed decision-making support [3,4]. A steel tube–concrete composite structure is a new type of water conveyance tunnel lining that fully utilizes the material strengths of both steel tubes and concrete; furthermore, it is lightweight and rapidly constructed. The combined properties of steel tubes and concrete can effectively avoid cracking and leakage throughout the long-term operation of water transmission tunnels. Composite lining water conveyance tunnels are restrained by the presence and movement of surrounding rocks. Fault dislocation is a typical form of surrounding rock motion that is always accompanied by forced displacement, causing underground structural cracks and large deformations, and it can even lead to overall structural failure. Once fault dislocation occurs, it can bring serious structural disasters and socioeconomic losses [5,6]. The socioeconomic losses caused by fault dislocations often exceed the structural repair costs, especially for long-distance water conveyance tunnels. Therefore, fault dislocation has always been a major concern for the safe operation of underground structures [7,8]. Due to the long-distance linear structural characteristics of the water conveyance tunnel, the tunnel will inevitably intersect with the fault during construction. Additionally, the interactions between the different-material structural layers in composite lining structures increase the complexity of underground structural failure research [9,10,11].
Both numerical and experimental studies have been conducted in the past two decades to investigate the seismic responses and design methods of tunnels that cross active faults. Scale model and centrifuge tests were performed with sand and clay samples, respectively, to study active fault propagation in bedrock overburden [12,13,14,15,16]. Scale model tests were used to study the key mechanical characteristics of the tunnel structure, such as deformation, strain distribution, surrounding rock pressure, and cracking shape, under different fault dip angles and dislocation displacements; additionally, the response law of the tunnel structure under the fault was analyzed [17,18]. The centrifuge test can simulate the interaction between the surrounding rock lining structure more realistically than the scale model test, and it can obtain the deformation characteristics of the strata [19]. Burridge et al. [20] created the first centrifuge physical model to assess the interactions between continuous tunnels and faults during an earthquake. Subsequently, many scholars have utilized centrifuge tests to consider the influence of parameters, such as fault dislocation displacement, burial depth, fault dip angle, and formation material properties, on the internal force response, failure location, and failure mechanism of the tunnel lining structure [21,22,23]. Although the model test can intuitively characterize the deformation mode and damage state of the structure affected by the fault, it is not possible to comprehensively study the influence of the fault on the underground structure using this test due to the test condition limitations.
Unlike model tests, the numerical simulation method can simultaneously consider the nonlinearity of the surrounding medium and the tunnel and the interactions between different structural layers. Moreover, its feasibility has been verified by experiments, making it an important scientific research technique in underground engineering [24,25,26]. Russo et al. [27] first proposed the use of a series of simplified elastoplastic springs to simulate the mechanical properties of media around underground structures, but the researchers did not provide any numerical analysis results. Tohidifar et al. [26] used the beam–spring model to study the effects of fault zone width and longitudinal reinforcement ratio on tunnel response under reverse fault conditions. Yao et al. [28] used the beam–spring model for parametric studies to investigate the active length of a structure (continuous pipe or tunnel) in a reverse fault and the factors that affect its properties. Nevertheless, in the beam–spring model where the springs are spaced at certain distances from each other in three vertical directions, this discrete concept cannot continuously simulate interactions between different media [29]. In recent years, innovative analyses and comparative studies have been conducted to explore the interactions between tunnels and the surrounding media. The results of the three-dimensional continuum contact element model simulation display the interactions between different media without any clearance. Meanwhile, it also considers the initial stress state of the surrounding rock during tunnel excavation, which is more consistent with the real-world scenario than the results of the beam–spring model simulation. Considering some factors, such as fault dislocation displacement, fault dip angle, and fault fracture zone width, numerical studies on the structural response of tunnels across faults have been carried out by using the three-dimensional continuum contact element model [19,30,31,32]. Overall, both model simulation and numerical analysis studies have helped to enhance the public awareness of the tremendous threats that active faults pose to the structural safety of tunnels.
A literature survey shows that the existing research is mainly focused on single lining structures. However, the composite lining is obviously different from the single lining in terms of their structural forms, structural responses, and failure characteristics under fault conditions. Due to the large differences in the material properties of different structural layers and the bonding properties between layers, the difficulty and complexity of research are increased. By considering the change in the bond performance between structural layers, there are few reports of damage assessments of the composite lining water conveyance tunnel structure under reverse fault conditions, especially for tunnels affected by a fault and internal water pressure. Due to the lack of literature on the topic, a 3D finite element model was established; by using the model, the composite lining water conveyance tunnel structural response was studied and analyzed under the influences of different fault displacements, dip angles, and the mechanical properties of the surrounding rock in different fault fracture zones under reverse fault conditions. A quantitative damage assessment was performed to provide technical support for the safe operation and maintenance of composite lining water conveyance tunnels.
2. Numerical Modeling
2.1. Brief Introduction to Composite Lining Structures
In recent years, a new type of composite lining structure has been adopted in the construction of long-distance water conveyance tunnels: steel tube and primary linings are combined, and self-compacting high-performance concrete is filled between the linings to form a three-layer tunnel lining system of “shield primary lining-self-compacting concrete-steel tube lining”, as shown in Figure 1a. In this paper, the tunnel lining system consists of the primary lining, which comprises 0.18 m thick shotcrete, surrounding rock bolts, and a steel arch. The inner lining has a 0.024 m thick stiffened steel tube with a stiffening rib height of 0.012 m and a spacing of 1.2 m on the surface of the steel tube. The steel tube and the primary lining are backfilled with self-compacting concrete (thickness 0.52 m), as shown in Figure 1b. The tunnel has a circular cross section with an internal diameter of 4.0 m and a working pressure of 0.9 MPa. The outer concrete lining in the composite lining structure not only bears the external surrounding rock pressure but also shares the burden of the internal water pressure with the steel tube. The internal water pressure reduces the damage to the outer concrete because of the tension it generates. The constraints of the external surrounding rock, concrete lining, and stiffening rib on the steel tube surface are beneficial to the enhancement of the lateral stiffness and the prevention of local buckling and instability of the thin-walled steel tube.
Figure 1.
Schematic diagram of the composite lining structure: (a) Composite lining structure; (b) Tunnel supporting system constructed by drilling and blasting method.
2.2. Numerical Modeling
A 3D numerical model of the water conveyance tunnel subjected to reverse fault conditions was established by ABAQUS general finite element software. When the ratio of the cross-section size to the tunnel section size is between 4 and 10, the boundary effect can be eliminated [33]. The overall dimensions of the numerical model were 200 m × 100 m × 100 m. In this paper, the tunnel axis was orthogonal to the fault, and the fault plane was set in the middle of the fault fracture zone, dividing the model into two parts: a moving block and a fixed block. Figure 2 shows a typical three-dimensional model, with a buried depth of 50 m, fault fracture zone width of 10 m, and fault dip angle of β = 60° for illustration purposes. The four-node reduced integral shell element (S4R) was employed for modeling the stiffened steel tube, and the surrounding rock, fault fracture zone, and concrete were simulated by eight-node reduced integral “brick” elements (C3D8R). To ensure the calculation efficiency and accuracy, much finer meshes were applied to the parts of the model close to the fault fracture zone and tunnel excavation area; the mesh sizes in the longitudinal direction of the tunnel were 0.6 m and 0.7 m, and the dimensions of the concrete and stiffened steel tube were 0.8 m and 0.4 m, respectively [33]. The whole model had approximately 200,000 elements.
Figure 2.
3D numerical model: (a) rock mass mesh; (b) concrete mesh; (c) stiffened steel tube mesh; (d) surrounding rock in x–y plane near tunnel mesh; and (e) concrete cross-section element.
The surrounding rock and fault fracture zone adopted the ideal elastoplastic Mohr-Coulomb model. The material parameters are cohesion c, Poisson’s ratio ν, the friction angle ϕ, and the dilation angle ψ. The dilation angle is 1/8 of the friction angle [32], as listed in Table 1.
Table 1.
Material parameters of the surrounding rock mass.
An ideal elastoplastic constitutive model was used to define the stress-strain relationship for stiffened steel tubes, as shown in Figure 3a. The concrete damaged plasticity model (CDP) was assigned to the primary and secondary linings of the water conveyance tunnel. The tension and compressive stress-strain relationships of the concrete material are shown in Figure 3b,c, with the subscripts t and c denoting tension and compression, respectively. The uniaxial compression damage factor dc and uniaxial tensile damage factor dt were used to characterize the stiffness degradation characteristics of concrete structures caused by plastic-stage damage. The damage factor in the CDP model can be determined by the following formula [34]:
where i = c is compression, i = t is tension, di is the damage variable, and σi and εi are the stress and strain of concrete, respectively. The material parameters of the composite lining are shown in Table 2.
Figure 3.
Stress–strain relationships of various materials: (a) stiffened steel tube; (b) concrete under uniaxial loading in tension; and (c) concrete under uniaxial loading in compression.
Table 2.
Material parameters of the composite lining.
The interactions between the rock mass–concrete, concrete–stiffened steel tube, and fault plane under fault movement are found by applying contact pairs in ABAQUS [30,32]. The normal contact interface direction adopted “hard contact” behavior to allow the separation of the contact surface. The classical isotropic Coulomb friction found through the penalty method was used to describe the tangential behavior of the interface. The friction coefficients between the concrete–rock mass and concrete-stiffened steel tube are 0.4 [35] and 0.7 [36], respectively, and the friction coefficient between fault planes is 0.63 [35].
2.3. Analysis Procedure and Boundary Conditions
The numerical simulation of a composite lining water conveyance tunnel subjected to reverse fault conditions is conducted in four steps. (1) The lining structure is removed by element birth-and-death technology, and the initial stress of the surrounding rock is obtained by ground stress balance. (2) The softening modulus method is used to simulate stress release during tunnel excavation. (3) The working load (composite lining gravity, water weight in the pipe, and internal pressure) is applied. The water weight load is calculated by the conversion formula of buoyancy and water weight. When applying internal pressure, it is assumed that the tunnel elevation in the calculation section is the same, and that uniform pressure is applied to the inner side of the steel tube. (4) The static fault displacement method is used to simulate the relative fault movement. The influence of reciprocating movement is not considered, and it is assumed that the fault movement is carried out in only one direction.
In the process of numerical analysis, the first three steps constrain the normal displacement of the side of the model (X and Y), the bottom is constrained by the fixed end, and the top surface is set to the free surface, as shown in Figure 2a. When applying the fault dislocation displacement load, release the Y and Z constraints of the moving block, and based on the distributed loading increment method, the 20 cm fault movement is divided into several smaller quantities and applied to the Y and Z directions of the moving block to eliminate the influence of dynamic effects. The constraint condition of the fixed block remains unchanged.
3. Structural Damage Indicators
The composite lining structure is composed of multiple structural layers of different materials. The damage to different structural layers will reduce the overall bearing capacity and affect the safety and durability of the water conveyance tunnel. Under strong permanent ground-induced actions, composite lining structures exhibit severe deformation beyond the elastic limit. Concrete can crack and break due to tensile, shear, and compressive stresses. Steel material is ductile and capable of sustaining a significant amount of inelastic deformation; however, at locations with large tensile and excessive compressive strains, rupture and wrinkling (local buckling) of the pipeline wall may occur. Based on the above discussion, the following performance limit states are described and quantified: the overall structural damage index of concrete and the ultimate strain of the steel tube.
3.1. Overall Structural Damage Index of Concrete
There are two main damage measurement standards for the overall structural damage index of concrete. One is to determine the damage of each component [37,38], and the other is to directly determine the structural damage [39]. Park and Ang [37] proposed a damage index calculated by a linear combination of the damage caused by excessive deformation to individual elements that was contributed to by the repeated cyclic loading effect. This damage index reflects the damage degree of each component. The overall structural damage is an energy-weighted average of the damage index of each element. This method has been widely used in the overall damage assessment of tunnel lining structures. Chen et al. [40] assessed the overall damage of tunnel lining based on the stiffness degradation damage index of concrete materials, and established a quantitative relationship between ground motion parameters and tunnel damage degree. Zhong et al. [32] established a quantitative relationship between the concrete cracking width and damage index, and the team conducted a quantitative study on the overall damage index and the structural integrity and damage status of water conveyance tunnels that cross multiple strike-slip faults. Therefore, the damage degree of a concrete structure with a composite lining section under reverse fault conditions is quantified by considering the influence of local damage on the overall safety of the composite lining and by taking energy dissipation as a weighted function.
The overall damage index is a weighted average of the local damage index of each element in the same cross section, and the unit dissipation energy is used as a weighting factor during calculation. There are two primary forms of concrete damage. Excessive axial pressure will cause the concrete to be crushed or spalled, and then the concrete will lose its load-bearing capacity. Additionally, the tensile forces will cause concrete lining cracks, and crack development will lead to a reduction in the waterproof performance, which affects its durability indirectly. Therefore, the overall lining damage indices in compression (OLDC) and in tension (OLDT) are used to estimate the lining damage state, which can be defined as follows [37]:
where i is the element number in the tunnel cross section, is the energy dissipation of the ith element, and and denote the tensile and compressive damage indices of the ith element.
This paper refers to the statistical results of mountain tunnel earthquake damage by Wang and Zhang [41], the definition and limitations of underground lifeline engineering damage status [42], and the seismic failure grade standard of tunnel structures based on the damage coefficient [43]. Then, it divides concrete tensile damage in a water conveyance tunnel into four grades, as shown in Table 3. When the overall compressive damage (OLDC) of the concrete lining reaches 0.9, local or overall collapse will occur [32].
Table 3.
Tensile damage state of composite lining concrete.
3.2. Ultimate Strain of Steel Tube
An internal steel tube damage evaluation index has not yet been proposed in response to the composite lining water conveyance tunnel damage. Therefore, references to the research of buried steel tube damage, and the water conveyance tunnel steel tube damage state are analyzed. In the case of extreme ground-induced loading conditions, which act on the buried steel tube under deformation-controlled conditions, the pipeline exhibits significant inelastic deformation. Therefore, pipeline performance should be addressed in terms of limit states based on strain or deformation rather than stress. Note that the axial compressive strain causing the buckling failure of the steel tube under seismic action is usually lower than the axial tensile strain causing the tensile failure [44]. Thus, in this paper, axial compressive strain is used for the definition of the steel tube damage limit state. Limit states are conditions under which a structure is considered to have failed since the structure no longer fulfills the relevant design criteria. Therefore, suitable limit states are essential conditions for evaluating structural damage. Based on the work of [45], the limit states of steel tubes are divided into the following three types:
- (1)
- Operable limit state (OL)
In the OL state, the pipeline is expected to continue its operation immediately regardless of any necessary repairs; although, some plastic deformation may occur in the pipeline. The corresponding axial compressive strain is as follows:
- (2)
- Pressure integrity limit state (PI)
The PI limit state assumes that significant pipeline deformation is possible without leakage. The corresponding axial compressive strain is as follows:
- (3)
- Ultimate limit state (UL)
The state before structural collapse is the UL state, at which the pipeline will leak and cause damage to the entire structure. The corresponding axial compressive strain is as follows:
where t is the wall thickness of the steel tube, D is the inner diameter, and εc is the compressive strain. According to the above strain limit state, the damage state of the steel tube is divided into four damage states: no damage, slight damage, moderate damage, and severe damage, as shown in Table 4.
Table 4.
Damage state of composite lining steel tube.
4. Numerical Case Studies
The performance of composite lining water conveyance tunnels that cross reverse faults is affected by many factors. Chen et al. [7] studied the damage characteristics and effects of mountain tunnels under strong earthquakes and concluded that fault dislocation displacement is the main cause of damage to mountain tunnels. Hashash et al. [46] pointed out that in the seismic design and analysis of underground structures, the influence of fault displacement should be considered for tunnel structures that pass through fault fracture zones. Based on earthquake case history and centrifuge models, Ha et al. [47] concluded that if the faulting direction is unknown, one should design the pipe route closer to 90° perpendicular to the fault trace since any other angle will induce either compression or tension and bending of the pipe. Li et al. [19] used numerical methods to conclude that the surrounding rock properties and fault dip angle can have a significant impact on the damage of tunnel lining structures under the same fault displacement. Therefore, this paper mainly considers the three influencing factors of fault displacement (Δf), dip angle (β), and the mechanical properties of the surrounding rock in the fault fracture zone. The following numerical model with the parameters listed below is used as the benchmark for comparison: fault dip angle β = 60°, the surrounding rock of the fault fracture zone is stiff, and the water conveyance tunnel is orthogonal to the fault. The structural response of the composite lining water conveyance tunnel under the reverse fault is studied and analyzed, and the damage state of the composite lining structure under reverse fault conditions is quantitatively analyzed. In the following results, a negative coordinate axis value represents the moving block, and a positive value represents the fixed block.
4.1. Effects of Fault Dislocation Displacement (Δf)
This section focuses on the effects of different dislocation displacements (Δf) on the structural performance of composite lining water conveyance tunnels under reverse fault conditions. Figure 4 shows the circumferential shear strain nephogram of the composite lining structure under different Δf values. As seen in Figure 4, the shear strain of the composite lining structure under reverse fault conditions is mainly distributed in the fault plane arch waist sidewall area, and the shear strain increases with increasing Δf. When Δf < 8 cm, the axial influence range gradually expands to the two blocks with different dislocation displacements. When Δf ≥ 8 cm, the axial influence range does not change, but the damage degree at the fault plane increases significantly. The shear strain values at the crown and invert are small, indicating that the concrete arch waist sidewall of the composite lining structure is prone to shear failure under reverse fault conditions.
Figure 4.
Circumferential shear strain nephogram of composite lining structures under different fault displacements (β = 60°; Stiff).
Figure 5 shows the axial strain nephogram under different Δf values. Under reverse fault conditions, the composite lining structure is dominated by compressive strain in the axial direction; the compressive strain is distributed along both sides of the fault plane. Among them, the compressive strain of concrete is consistent with the direction of the fault plane, and the distribution of the steel tube and fault plane is in an “X” shape. With the increase in Δf, the axial compressive strain shows a monotonically increasing trend. The concrete arch waist sidewall, the steel tube moving block spandrel, and the fixed block arch foot are more seriously deformed than the other parts. This phenomenon is caused by the bending, compression, and shearing of the composite lining under reverse fault dislocation.
Figure 5.
Axial strain nephogram under different fault displacements (β = 60°; Stiff): (a) Concrete lining and (b) steel tube lining.
Figure 6 shows the changes in the overall compression (OLDC) and tensile damage (OLDT) of the concrete lining in the longitudinal direction of the tunnel under different fault displacements. Under the reverse fault, when Δf is small, the composite lining structure at the fault plane is mainly subjected to axial tensile stress and shear stress. With the increase in fault displacements, the axial compressive stress increases significantly, thereby reducing the tensile damage of the concrete lining under the fault. Therefore, the overall axial tensile damage of the concrete lining increases first and then decreases. When Δf = 5 cm, the concrete OLDT becomes severe at approximately 4 m away from the fault plane on the side of the fixed block. When Δf > 8 cm, the overall tensile damage tends to be stable, and cracks are only visible within 3 m of the axial extension of the fault plane to both blocks. However, due to the compression of the reverse fault, the composite lining structure suffers severe overall compression failure near the fault plane, which is positively correlated with the dislocation displacement. When Δf = 10 cm, the peak values of OLDC for the cross sections of the tunnel close to the fault plane exceed 0.9, indicating that the concrete lining has partially or completely collapsed at the fault plane. It is also found that both OLDC and OLDT remain nearly constant after the fault displacement exceeds 8 cm. Therefore, Δf = 8 cm is adopted in the numerical study of the dip angles of faults and mechanical properties of the surrounding rock mass on the performance of the tunnel in the following sections.
Figure 6.
Overall concrete lining damage under different fault displacements (β = 60°; Stiff) and axial stress curve of concrete vault and invert (a) OLDC, (b) OLDT, (c) vault and (d) invert.
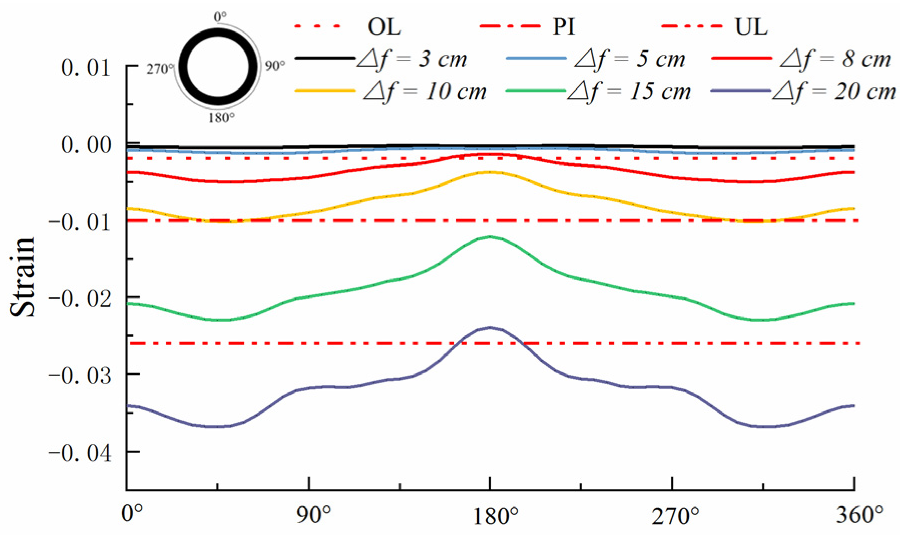
With the increase in fault displacements, the axial compressive strain of the steel tube tends to increase and concentrate near the fault plane, and the axial influence range decreases with increasing distance from the fault plane, as shown in Figure 5. Figure 7 shows the axial strain distribution curve of the steel tube in the peak strain section under different dislocation displacements. When Δf < 5 cm, the fault dislocation is mainly concentrated on the outer concrete, and the steel tube is only slightly deformed to adapt to the fault dislocation. When Δf > 8 cm, the outer concrete is damaged due to the stresses of tension, compression, and shear. At this time, both the internal and external loads are borne by the steel tube, and the steel tube at the fault plane section has obvious compression deformation and is in a state of slight damage. When Δf > 10 cm, the plastic deformation of the steel tube at the fault plane section increases obviously. When Δf = 15 cm, the section has severe plastic deformation and reaches moderate damage, and there is a risk of leakage. When Δf > 20 cm, the steel tube experiences buckling failure throughout the hoop direction at the fault plane.
Figure 7.
Axial strain distribution curves of the steel tube at peak strain sections under different fault displacements (β = 60°; Stiff).
Through the above research, it is found that fault dislocation displacement is one of the main factors causing the failure of the composite lining structure. With the increase in fault displacement, the stress of the composite lining structure changes—from tensile and shear action to the joint action of tensile, compressive, and shear action. In addition, the presence of an inner steel tube reduces the radial extension of concrete tensile damage, reduces the risk of internal water seepage caused by concrete cracking, and enhances the resistance of the composite lining structure to fault dislocation. To a certain extent, this improves the safety of the water tunnel structure.
4.2. Effects of Fault Dip Angle (β)
As one of the important parameters to characterize the geological characteristics of the fault, the fault dip angle has a very significant influence on fault movement. The Chinese code for highway engineering geological investigations states that when tunnels must pass through a fault fracture zone, they should pass through a narrow part of the fault at a large angle [48]. However, due to the influence of external factors, such as line site selection and construction cost, the water conveyance tunnel cannot fully meet the code recommendations during construction. Therefore, based on the range of the reverse fault dip angle, this paper sets β to 50°, 60°, 70°, 75°, and 85° to study the structural response and damage state of the composite lining structure under the reverse fault.
Figure 8 shows the hoop shear strain nephogram of the composite lining structure under different β values. It can be seen from the figure that with the increase in β, the influence range of concrete lining shear failure gradually decreases and is concentrated near the fault plane, but the damage degree increases with increasing fault dip angle, and most severe damage is mainly concentrated in the fault plane waist. The peak shear strain increases monotonically from 0.055 at β = 50° to 0.181 at β = 85°.
Figure 8.
Circumferential shear strain nephogram with different fault dip angles (Δf = 8 cm and stiff).
Figure 9 is the axial strain nephogram of the composite lining structure under different β values. Under reverse fault conditions, with the increase in β, the axial strain of the composite lining structure at the fault plane changes obviously, and the changing trend of the concrete lining and the steel tube lining is consistent. When β < 70°, the composite lining structure under reverse fault conditions is mainly subjected to compressive strain in the axial direction, which is concentrated at the fault plane. When β > 70°, the concrete lining is subjected to tensile strain at the moving block crown and fixed block invert, and the steel tube is subjected to tensile strain at the moving block invert and fixed block crown, which is positively correlated with β. With increasing β, the axial compressive strain of the composite lining structure decreases significantly. At this time, the composite lining structure is mainly affected by the axial combined bending and shear stress of the fault plane section. Among them, the axial strain at the fault plane section of the steel tube also decreases monotonically from −5.482 × 10−3 when β = 50° to −1.675 × 10−3 when β = 85°. When β = 85°, the fault plane of the steel tube is mainly subjected to tensile strain, and the tensile strain is in the same direction as the fault plane. The tensile strain area of the concrete lining is antisymmetrically distributed on both sides with the fault plane as the center.
Figure 9.
Axial strain nephogram at different dip angles of faults (Δf =8 cm and stiff): (a) Concrete lining and (b) steel tube lining.
Figure 10 shows the overall axial damage distribution curve of the concrete lining under different β values. It can be seen from the figure that the axial influence range of the concrete lining OLDC is negatively correlated with β, and the damage degree at the fault plane increases monotonically with the increase in β. When β < 60°, the axial compressive strain of the composite lining structure is obvious, which reduces the tensile damage of the concrete lining, achieving only moderate damage in the local fault plane area. When β > 60°, the axial OLDC gradually concentrates on the fault plane. At the same time, OLDT occurs near the fault plane of the two blocks, which is concentrated in the area approximately 3 m away from the fault plane. The axial damage range and damage degree tend to increase with increasing β because under reverse fault conditions, different structural layers lead to the local detachment of the moving block crown and the fixed block invert near the fault plane due to material and bonding property differences. Furthermore, stress concentration occurs at the critical part of axial detachment and combination, resulting in large tensile stress and failure. This finding shows that when the water conveyance tunnel passes through the fault fracture zone, increasing β will lead to the concrete lining being damaged by the tension, compression, and shear stresses.
Figure 10.
Overall concrete lining damage under different fault dip angles (Δf = 8 cm; stiff) and axial stress curve of concrete vault and invert (a) OLDC, (b) OLDT, (c) vault and (d) invert.
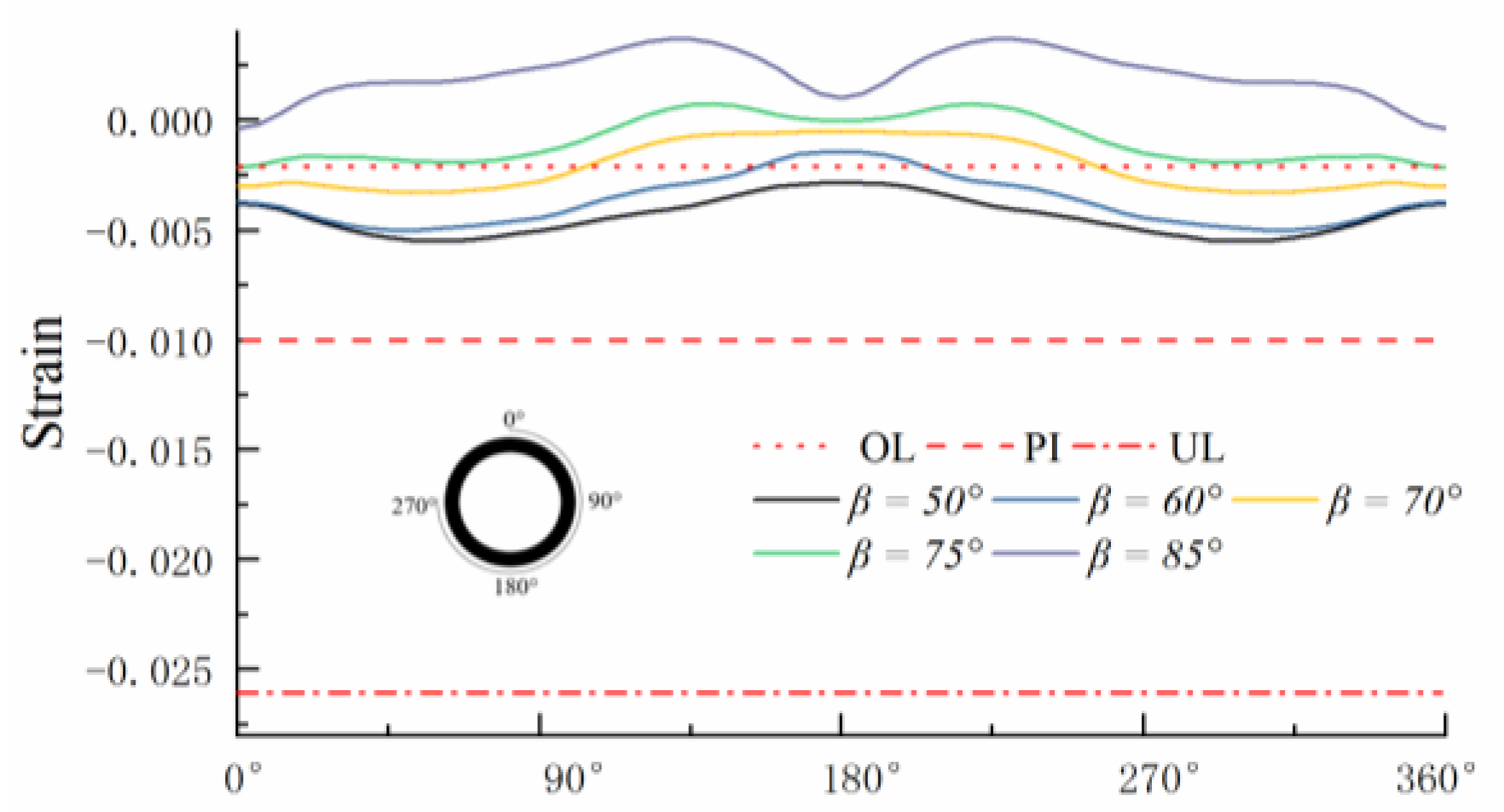
Figure 11 shows the axial strain distribution curve of the section corresponding to the peak strain of the steel tube at different β values. Under reverse fault conditions, with increasing β, the fault plane section of the water conveyance tunnel is gradually reduced by axial compression. Under the same fault displacement (Δf = 8 cm), when β = 75°, although the steel tube is subjected to compressive strain, it is still in the elastic stage without permanent damage. When β < 75°, the steel tube at the fault plane section undergoes obvious plastic deformation under axial compressive stress, and the peak compressive strain appears at the spandrel. When β > 75°, the fault plane section is subjected to large tensile strain due to bending and shearing, and the peak value appears at the arch foot (0.4%). At this time, the steel tube suffers tensile plastic damage. With the increase in β, the steel tube will change from axial compressive buckling failure to tensile cracking failure. By considering the damage degree and range of different composite lining materials, β = 75° is found to be the safest angle for a composite lining to cross the reverse fault.
Figure 11.
Axial strain distribution curve of the section corresponding to the peak strain of the steel tube at different dip angles of faults (Δf = 8 cm; stiff).
Through the above research, it is found that the change in fault dip angle has a significant effect on the stress response of the composite lining structure. When the fault dip angle is small, the composite lining structure will be subjected to large compressive stress under the action of reverse fault, causing local buckling failure of the steel tube lining, which is unfavorable for the stress of this composite lining structure. On the contrary, when the fault dip angle is large, although the damage degree near the fault glide plane is increased, the anti-fault performance of the whole structure is obviously better than that of the small angle crossing fault zone.
4.3. Effects of Mechanical Properties of Surrounding Rock Mass in the Fault Fracture Zone
The different properties of the surrounding rock in the fault fracture zone will affect the overall stability and durability of underground structures [32,49]. This section mainly discusses the influence of the surrounding rock properties of different fault fracture zones on the structural responses and damage characteristics of composite lining water conveyance tunnels. According to the China highway tunnel design guidelines [50], the physical and mechanical properties of the surrounding rock mass (IV) in the fault fracture zone are divided into three cases: hard, medium, and soft, as shown in Table 5.
Table 5.
Physical and mechanical properties of the surrounding rock mass in the fault fracture zone.
Figure 12 shows the circumferential shear strain nephogram of the composite lining structure with different fault properties in the fault fracture zone. Under the same dislocation displacement, with the increase in the stiffness of the surrounding rock in the fault fracture zone, the shear strain at the arched waist of the composite lining structure tends to increase. While the axial influence range does not change significantly, the hoop influence range near the fault plane gradually develops to the crown and invert positions with the increase in the surrounding rock stiffness.
Figure 12.
Circumferential shear strain nephogram of composite lining structures with different fault properties in the fault fracture zone (△f = 8 cm and β = 60°).
Figure 13 shows the axial strain nephogram of composite linings with different surrounding rock properties in the fault fracture zone. With the increase in the stiffness of the surrounding rock in the fault fracture zone, the axial compressive strains of the concrete and steel tube linings at the fault plane tend to increase, and the influence range in the axial direction gradually concentrates on the fault plane. The compressive strain changes are most obvious at the concrete-lined spandrel, the steel tube moving block spandrel, and the fixed block haunch; the steel tube axial peak strain appears at the moving block spandrel position.
Figure 13.
Axial strain nephogram of composite lining structures with different fault properties in the fault fracture zone (Δf = 8 cm and β = 60°): (a) Concrete lining and (b) steel tube lining.
Figure 14 shows the overall axial damage distribution curve of concrete with different surrounding rock properties in the fault fracture zone. Different surrounding rock stiffnesses in the fault fracture zone will affect the damage characteristics of composite lining structures. The axial OLDC degree of the concrete lining increases with the increasing stiffness of the surrounding rock in the fracture zone, but the axial influence range is negatively correlated with the stiffness of the surrounding rock in the fracture zone. In contrast, for the axial OLDT, the tensile damage degree of the concrete lining structure increases with the decrease in the stiffness of the surrounding rock in the fracture zone. This finding shows that under reverse fault conditions, the softer the surrounding rock of the fault fracture zone is, the greater the deformation capacity of the composite lining structure; thus, the hoop tensile deformation of the composite lining structure increases. When △f = 8 cm, moderate damage occurs in the range of 4 m to the two blocks from the center of the fault plane; the influence range of the soft surrounding rock in the axial direction is wider than that of the hard surrounding rock on the side of the fixed block. Figure 13 shows that the softer the fault plane of the surrounding rock in the fault fracture zone is, the greater the tensile strain in the local area of the moving block vault and the fixed block invert.
Figure 14.
Axial overall damage distribution curves of concrete with different surrounding rock properties in the fault fracture zone (Δf = 8 cm and β = 60°) and axial stress curve of concrete vault and invert (a) OLDC, (b) OLDT, (c) vault and (d) invert.
Figure 15 shows the axial strain distribution curve of the peak strain section of the steel tube with different surrounding rock properties in the fault fracture zone. It can be seen from the figure that under reverse fault conditions, the variation trend of the steel tube lining axial strain does not change with the change in the surrounding rock stiffness in the fault fracture zone; additionally, the composite lining structure near the fault plane is mainly subjected to compressive strain in the ring upward direction. With the increase in the stiffness of the surrounding rock in the fault fracture zone, the axial strain of the steel tube increases obviously, and the peak strain appears at the spandrel. This finding shows that with the increase in the surrounding rock stiffness in the fault fracture zone, the composite lining structure is strongly restrained by the outer surrounding rock, leading to the dislocation failure of the tunnel lining due to compression and shearing at the fault plane. Although the outer concrete lining will produce tensile failure in the form of severe cracks in the soft surrounding rock in the fracture zone, due to the existence of the inner steel tube, the use function of the water conveyance tunnel is not affected by the concrete lining. In contrast, when the composite lining passes through the weak zone with poor surrounding rock properties, it can withstand greater fault dislocation displacement.
Figure 15.
Axial strain distribution curves of peak strain sections of steel tubes with different surrounding rock properties in fault fracture zones (△f = 8 cm and β = 60°).
Through the above research, it is found that the change in surrounding rock stiffness in the fault fracture zone will not change the stress characteristics of the composite structure, but will affect the safety performance of the composite lining structure. When the surrounding rock stiffness of the fault fracture zone is harder, the safety of the composite lining structure is more unfavorable. On the contrary, when the stiffness of the surrounding rock in the fault fracture zone is softer, although the outer concrete is obviously cracked by tension, the whole structure will not have an internal water leakage phenomenon, due to the constraint of the inner steel pipe, which is safe for this composite lining structure.
5. Conclusions
In this paper, the structural responses and damage characteristics of composite lining water conveyance tunnels subjected to reverse fault conditions are studied by numerical methods. The evaluation standard for the safety level of the damage state of the composite lining water conveyance tunnel is proposed. The influence laws of fault dislocation displacement, dip angle, and the surrounding rock properties of the fault fracture zone on the failure characteristics of composite lining water conveyance tunnels under reverse faults are discussed. The following conclusions can be drawn from the study.
- Under reverse fault conditions, the composite lining structure is most severely damaged at the fault plane arch waist sidewall by the stresses of tension, compression, and shearing. Different from the failure forms of traditional water conveyance tunnels, the buckling failure of the steel tube lining under axial compressive strain is the dominant failure mode of the composite lining structure.
- Fault dislocation displacement is the main factor leading to the failure of composite lining water conveyance tunnels. When the dislocation displacement is small, the composite lining is mainly damaged by tensile and shear strains. With the increase in the dislocation displacement, the axial compressive stress increases significantly, thereby reducing the tensile damage of the concrete lining under fault dislocation; however, it increases the buckling deformation of the steel tube and aggravates the overall failure of the composite lining structure.
- As the fault dip angle increases, the composite lining water conveyance tunnel gradually changes from axial compression failure to combined bending and shear stress failure. Considering the damage degree and range of the composite lining, the structure is the safest when crossing the thrust fault fracture zone at β = 75°.
- The change in the surrounding rock properties of the fault fracture zone will not change the failure mode of the composite lining structure. However, the increase in rock stiffness in the fault fracture zone reduces the scope of damage while increasing the severity of structural damage to the composite lining.
6. Further Development
This paper mainly provides a structural response analysis and damage state assessment of composite lining water conveyance tunnels under reverse fault conditions through a numerical simulation. Laboratory and field tests of composite lining water conveyance tunnels under reverse fault conditions need to be further studied.
Author Contributions
X.S.: Conceptualization, Methodology, Formal analysis, and Writing—original draft. X.F.: Supervision, Funding acquisition, Investigation, Software, and Writing—review and editing. All authors have read and agreed to the published version of the manuscript.
Funding
This article is based on the National Natural Science Foundation of China (Grant No. 52079024).
Institutional Review Board Statement
Not applicable.
Informed Consent Statement
Not applicable.
Data Availability Statement
Some or all data, models, or code that support the findings of this study are available from the corresponding author upon reasonable request.
Conflicts of Interest
The authors declare no conflict of interest.
References
- Kang, J.; Davidson, J. Structural effects of concrete lining for concrete-lined corrugated steel pipes. Struct. Infrastruct. Eng. 2013, 9, 130–140. [Google Scholar] [CrossRef]
- Yang, F.; Cao, S.; Qin, G. Performance of the Prestressed Composite Lining of a Tunnel: Case Study of the Yellow River Crossing Tunnel. Int. J. Civ. Eng. 2018, 16, 229–241. [Google Scholar] [CrossRef]
- Li, M.; Feng, X. Multisensor data fusion-based structural health monitoring for buried metallic pipelines under complicated stress states. J. Civ. Struct. Health Monit. 2022, 1–13. [Google Scholar] [CrossRef]
- Chen, J.; Feng, X.; Xiao, S. Leakage zone identifcation for water distribution networks based on the alarm levels of pressure sensors. J. Civ. Struct. Health Monit. 2022, 1–13. [Google Scholar] [CrossRef]
- Wang, W.; Wang, T.; Su, J.; Lin, C.; Seng, C.; Huang, T. Assessment of damage in mountain tunnels due to the Taiwan Chi-chi earthquake. Tunn. Undergr. Space Technol. 2001, 16, 133–150. [Google Scholar] [CrossRef]
- Yu, H.; Chen, J.; Bobet, A.; Yuan, Y. Damage observation and assessment of the Longxi tunnel during the Wenchuan earthquake. Tunn. Undergr. Space Technol. 2016, 54, 102–116. [Google Scholar] [CrossRef]
- Chen, Z.; Shi, C.; Li, T.; Yuan, Y. Damage characteristics and influence factors of mountain tunnels under strong earthquakes. Nat. Hazards 2012, 61, 387–401. [Google Scholar] [CrossRef]
- Lai, J.; He, S.; Qiu, J.; Chen, J.; Wang, L.; Wang, K.; Wang, J. Characteristics of seismic disasters and aseismic measures of tunnels in Wenchuan earthquake. Environ. Earth Sci. 2017, 76, 94. [Google Scholar] [CrossRef]
- Ong, D.E.L.; Choo, C.S. Back-analysis and finite element modeling of jacking forces in weathered rocks. Tunn. Undergr. Space Technol. 2016, 51, 1–10. [Google Scholar] [CrossRef]
- Li, H.; Feng, X.; Zhao, L. Failure analysis of a buried large-diameter prestressed concrete cylinder pipeline subjected to strike-slip fault displacement. Tunn. Undergr. Space Technol. 2022, 121, 104334. [Google Scholar] [CrossRef]
- Zhai, K.; Fang, H.; Guo, C.; Fu, B.; Ni, P.; Ma, H.; He, H.; Wang, F. Mechanical properties of CFRP-strengthened prestressed concrete cylinder pipe based on multi-field coupling. Thin-Walled Struct. 2021, 162, 107629. [Google Scholar] [CrossRef]
- Lin, M.; Chung, C.; Jeng, F. Deformation of overburden soil induced by thrust fault slip. Eng. Geol. 2006, 88, 70–89. [Google Scholar] [CrossRef]
- Johansson, J.; Konagai, K. Fault induced permanent ground deformations—An experimental comparison of wet and dry soil and implications for buried structures. Soil Dyn. Earthq. Eng. 2006, 26, 45–53. [Google Scholar] [CrossRef]
- Bransby, M.; Davies, M.; El Nahas, A.; Nagaoka, S. Centrifuge modelling of reverse fault–foundation interaction. Bull. Earthq. Eng. 2008, 6, 607–628. [Google Scholar] [CrossRef]
- Baziar, M.; Nabizadeh, A.; Jung Lee, C.; Hung, W.Y. Centrifuge modeling of interaction between reverse faulting and tunnel. Soil Dyn. Earthq. Eng. 2014, 65, 151–164. [Google Scholar] [CrossRef]
- Tali, N.; Lashkaripour, G.; Hafezi Moghadas, N.; Ghalandarzadeh, A. Centrifuge modeling of reverse fault rupture propagation through single-layered and stratifified soil. Eng. Geol. 2019, 249, 273–289. [Google Scholar] [CrossRef]
- Jalali, H.; Rofooei, F.; Attari, N.; Samadian, M. Experimental and finite element study of the reverse faulting effects on buried continuous steel gas pipelines. Soil Dyn. Earthq. Eng. 2016, 86, 1–14. [Google Scholar] [CrossRef]
- Liu, X.; Li, X.; Sang, Y.; Lin, L. Experimental study on normal fault rupture propagation in loose strata and its impact on mountain tunnels. Tunn. Undergr. Space Technol. 2015, 49, 417–425. [Google Scholar] [CrossRef]
- Li, H.; Li, X.; Yang, Y.; Liu, Y.; Ma, M. Structural Stress Characteristics and Joint Deformation of Shield Tunnels Crossing Active Faults. Appl. Sci. 2022, 12, 3229. [Google Scholar] [CrossRef]
- Burridge, P.; Scott, R.; Hall, J. Centrifuge study of faulting effects on tunnel. J. Geotech. Eng. 1989, 115, 949–967. [Google Scholar] [CrossRef]
- Chang, Y.; Lee, C.; Huang, W.; Huang, W.J.; Lin, M.; Hung, W.; Lin, Y. Use of centrifuge experiments and discrete element analysis to model the reverse fault slip. Int. J. Civ. Eng. 2013, 11, 79–89. [Google Scholar]
- Kiani, M.; Akhlaghi, T.; Ghalandarzadeh, A. Experimental modeling of segmental shallow tunnels in alluvial affected by normal faults. Tunn. Undergr. Space Technol. 2016, 51, 108–119. [Google Scholar] [CrossRef]
- Sabagh, M.; Ghalandarzadeh, A. Centrifugal modeling of continuous shallow tunnels at active normal faults intersection. Transp. Geotech. 2020, 22, 100325. [Google Scholar] [CrossRef]
- Hu, B.; Fang, H.; Wang, F.; Zhai, K. Full-scale test and numerical simulation study on load-carrying capacity of prestressed concrete cylinder pipe (PCCP) with broken wires under internal water pressure. Eng. Fail. Anal. 2019, 104, 513–530. [Google Scholar] [CrossRef]
- Ni, P.; Moore, I.D.; Take, W.A. Numerical modeling of normal fault-pipeline interaction and comparison with centrifuge tests. Soil Dyn. Earthq. Eng. 2018, 105, 127–138. [Google Scholar] [CrossRef]
- Tohidifar, H.; Moosavi, M.; Jafari, M.K. Behavior of tunnels against the reverse faulting deformations using centrifuge test and numerical modelling. JSEE 2020, 2, 22–38. [Google Scholar]
- Russo, M.; Germani, G.; Amberg, W. Design and construction of large tunnel through active faults: A recent application. In Proceedings of the International Conference of Tunneling and Underground Space Use, Istanbul, Turkey, 16–18 October 2002. [Google Scholar]
- Yao, C.; He, C.; Takemura, J.; Feng, K.; Guo, D.; Huang, X. Active length of a continuous pipe or tunnel subjected to reverse faulting. Soil Dyn. Earthq. Eng. 2021, 148, 106825. [Google Scholar] [CrossRef]
- Monshizadeh Naeen, A.; Seyedi Hosseininia, E. Numerical Investigation on the Deformational Behavior of Continuous Buried Pipelines Under Reverse Faulting. Arab. J. Sci. Eng. 2020, 45, 8475–8490. [Google Scholar] [CrossRef]
- Baziar, M.; Nabizadeh, A.; Mehrabi, R.; Lee, C.; Hung, W. Evaluation of underground tunnel response to reverse fault rupture using numerical approach. Soil Dyn. Earthq. Eng. 2016, 83, 1–17. [Google Scholar] [CrossRef]
- Ghadimi Chermahini, A.; Tahghighi, H. Numerical finite element analysis of underground tunnel crossing an active reverse fault: A case study on the Sabzkouh segmental tunnel. Geomech. Geoeng. 2019, 14, 155–166. [Google Scholar] [CrossRef]
- Zhong, Z.; Wang, Z.; Zhao, M.; Du, X. Structural damage assessment of mountain tunnels in fault fracture zone subjected to multiple strike-slip fault movement. Tunn. Undergr. Space Technol. 2020, 104, 103527. [Google Scholar] [CrossRef]
- Gazetas, G.; Pecker, A.; Faccioli, E.; Paolucci, R.; Anastasopoulos, I. Preliminary design recommendations for dip-slip fault–foundation interaction. Bull. Earthq. Eng. 2008, 6, 677–687. [Google Scholar] [CrossRef]
- Sidoroff, F. Description of anisotropic damage application to elasticity. In Physical Non-Linearities in Structural Analysis; Springer: Berlin/Heidelberg, Germany, 1981; pp. 237–244. [Google Scholar]
- Zhao, Y.; Guo, E.; Liu, Z.; Gao, L. Damage analysis of urban metro tunnel under strike-slip fault. Rock Soil Mech. 2014, 35, 467–473. (In Chinese) [Google Scholar]
- ACI 318; Building Code Requirements for Structural Concrete: Commentary on Building Code Requirements for Structural Concrete. ACI Report; American Concrete Institute: Farmington Hills, MI, USA, 2019.
- Park, Y.; Ang, A.H.S. Mechanistic seismic damage model for reinforced concrete. Struct. Eng. 1985, 111, 722–739. [Google Scholar] [CrossRef]
- Bracci, J.; Reinhorn, A.; Mander, J.; Kunnath, S.K. Deterministic Model for Seismic Damage Evaluation of Reinforced Concrete Structures; NCEER-89-0033; National Center for Earthquake Engineering Research, State University of New York at Buffalo: Buffalo, NY, USA, 1989. [Google Scholar]
- Roufaiel, M.S.L.; Meyer, C. Reliability of concrete frames damaged by earthquakes. Struct. Eng. ASCE 1987, 113, 445–457. [Google Scholar] [CrossRef]
- Chen, Z.; Wei, J. Correlation between ground motion parameters and lining damage indices for mountain tunnels. Nat. Hazards 2013, 65, 1683–1702. [Google Scholar] [CrossRef]
- Wang, Z.; Zhang, Z. Seismic damage classification and risk assessment of mountain tunnels with a validation for the 2008 Wenchuan earthquake. Soil Dyn. Earthq. Eng. 2013, 45, 45–55. [Google Scholar] [CrossRef]
- Federal Emergency Management Agency. Multi-Hazard Loss Estimation Methodology: Earthquake Model HAZUS-MH 2.1 User Manual; FEMA Mitigation Division: Washington, DC, USA, 2010. [Google Scholar]
- Liu, G.; Xiao, M.; Chen, J. Seismic performance assessment of tunnel structure based on incremental dynamic analysis. Adv. Eng. Sci. 2019, 51, 92–100. [Google Scholar]
- Shakib, H.; Jahangiri, V. Intensity measures for the assessment of the seismic response of buried steel pipelines. Bull. Earthq. Eng. 2016, 14, 1265–1284. [Google Scholar] [CrossRef]
- Jahangiri, V.; Shakib, H. Seismic risk assessment of buried steel gas pipelines under seismic wave propagation based on fragility analysis. Bull. Earthq. Eng. 2018, 16, 1571–1605. [Google Scholar] [CrossRef]
- Hashash, Y.M.A.; Hook, J.J.; Schmidt, B.; Yao, I.C. Seismic design and analysis of underground structures. Tunn. Undergr. Space Technol. 2001, 16, 247–293. [Google Scholar] [CrossRef]
- Ha, D.; Abdoun, T.H.; O’Rourke, M.J.; Symans, M.; O’Rourke, T.D.; Palmer, M.; Stewart, H. Earthquake faulting effects on buried pipelines-case history and centrifuge study. Earthq. Eng. 2010, 14, 646–669. [Google Scholar] [CrossRef]
- Ministry of Transport of the People’s Republic of China. JTG C20-2011: Code for Highway Engineering Geological Investigation; Communications Press: Beijing, China, 2011; p. 72. (In Chinese) [Google Scholar]
- Xing, Y.; Kulatilake, P.H.S.W.; Sandbak, L.A. Effect of rock mass and discontinuity mechanical properties and delayed rock supporting on tunnel stability in an underground mine. Eng. Geol. 2018, 238, 62–75. [Google Scholar] [CrossRef]
- Ministry of Transport of the People’s Republic of China. JTG/TD70-2010: Guidelines for Design of Highway Tunnel; Communications Press: Beijing, China, 2010. (In Chinese) [Google Scholar]
Publisher’s Note: MDPI stays neutral with regard to jurisdictional claims in published maps and institutional affiliations. |
© 2022 by the authors. Licensee MDPI, Basel, Switzerland. This article is an open access article distributed under the terms and conditions of the Creative Commons Attribution (CC BY) license (https://creativecommons.org/licenses/by/4.0/).














