Abstract
Recent earthquake events have highlighted the importance of critical infrastructure (CI) resilience, as a strong correlation was found between economic loss and severity of CI damage. CIs are characterized by a complex structure composed of sub-components that are essential for the continuous performance of the system. CI owners and governments allocate ample resources to retrofitting and upgrading CI systems and components to increase the resilience of CIs and reduce risk in case of seismic events. Governments and decision makers must manage and optimize the retrofitting efforts to meet budget and time constraints. This research presents a probabilistic methodology for CI seismic risk mitigation and management. The risk expectancy is appraised according to an FTA-based stochastic simulation. The simulation includes the development of exclusive fragility curves for the CI and an examination of the expected damage distribution as a function of earthquake intensity and fragility uncertainty of the components. Furthermore, this research proposes a novel RMIR (risk mitigation to investment ratio) indicator for the priority setting of seismic mitigation alternatives. The RMIR is a quantitative indicator that evaluates each alternative’s cost-effectiveness in terms of risk expectancy mitigation. Following the alternative’s RMIR value, it is possible to prioritize the alternatives meeting budget and time constraints. This paper presents the implementation of the proposed methodology through a case study of a generic oil pumping station. The case study includes twelve mitigation alternatives examined and evaluated according to the RMIR indicator.
1. Introduction
Damage or disruption to critical infrastructures (CIs) can have a significant adverse effect on the economy, safety, and well-being of the public and private sector [1]. Recent earthquake events have highlighted the importance of critical infrastructure resilience, as a strong correlation was found between economic loss and the severity of CI damage [2,3]. Furthermore, along with the development of CIs, gradual increasing of essential services has depended on the continuous performance of multiple critical infrastructures such as energy, power supply, water supply, communications, etc. Typical CIs are nuclear power plants, desalination plants, bridges, security, and governance facilities characterized by complex systems architecture with a need to combine robustness, resilience, and redundancy in the design for continuous performance [4,5,6,7,8,9,10,11].
CI systems are characterized by a complex structure that is composed of various essential components (e.g., building, pumps, electro-mechanical equipment, and power supply in an oil pumping station) and subcomponents (e.g., building and pump foundations). The full functionality of the system requires a continuous performance of all components. Subsequently, the CI resilience is derived from the resilience, robustness, and redundancy of its core components and subcomponents. Studies show that there is a consistent interdependency across sectors of CI systems, as most of the CIs are connected and dependent on each other, and damage to one critical infrastructure will, most likely, lead to other CI failures [12,13,14]. Consequently, a failure of a single CI component can lead to a series of propagating disruptions of other CIs and affects a wide range of consumers from different sectors. The CI systems’ interdependent structure increases vulnerability for cascading and rippling effects that increase the impact and the magnitude of each damage or disruption by initiating multi-hazard events [15]. The growing dependency on CIs, interdependencies between different infrastructures, and the growing number of infrastructures significantly increase CI seismic risk. Therefore, there is a vital need to protect and ensure the continuous performance and resilience of CI systems and assets after extreme seismic events.
In general, risk is defined as a measure of the probability and severity of adverse effects [16,17]. In the case of seismic risk, it should reflect the value of the potential consequences resulting from possible earthquakes throughout a defined duration of time [18]. Since the risk is calculated for CI in a specific location, the occurrence probability of possible earthquakes should be represented as the exceedance probability for a certain severity of IM in the location of interest. The deterministic approach focuses on a single earthquake, a small number of earthquakes, or a specific ground motion value [19,20,21]. This approach is useful for worst-case scenario analysis and for particular seismic scenarios. Several studies for seismic risk assessment were carried out based on deterministic approach [22,23,24]. However, the deterministic approach does not consider the uncertainties of the time, location, and magnitude of possible earthquakes. Moreover, targeting the retrofit efforts based on deterministic risk assessment may mislead the decision makers due to potential ignoring of possible events and subsequently avoiding the optimal alternative. Probabilistic Seismic Hazard Analysis (PSHA) is aimed at considering all possible earthquake scenarios and ground-motion levels that can occur in the system’s location. The PSHA process produces a hazard curve that presents the annual rate of exceedance for any value for IM [25,26]. The probabilistic approach has been widely used to assess risk and develop seismic hazard maps [27,28,29,30,31].
Consequences are the outcome and the effects of an earthquake event. An examination of previous earthquakes reveals inconsistency in the severity of post-earthquake consequences [1]. For a specific earthquake event, there is a wide range of damage levels observed in similar types of structures and infrastructures in the same place. Many parameters can influence actual consequences, such as integrated maintenance and seismic retrofit frameworks [32,33,34], quality of materials reducing partial seismic capacity due to poor materials, quality of construction, degree of supervision during construction, and more. In [35], the authors presented the influence of different levels of corrosion on the seismic performance of concrete bridges.
Fragility curves are traditional damage functions to evaluate the expected damage distribution of CIs due to earthquake events [36,37,38,39,40,41,42,43,44,45,46]. A variety of generic fragility curves for CI systems and components are presented [47,48,49,50]. However, generic fragility curves do not necessarily reflect the actual system layout and components. In [51], the authors presented a comprehensive methodology for developing exclusive fragility curves for CIs by decomposing the system into subcomponents and a fault tree analysis to determine the system’s failure mechanisms. Moreover, the condition of CI components will affect the seismic performance of the CI.
CI private sector owners and the public sector (governments) allocate ample resources in retrofitting and upgrading CI systems and components to improve the resilience of CIs and reduce risk in case of seismic events. However, governments and decision makers have to consider several possible mitigation strategies and choose the best solution to reduce risk under budget constraints, i.e., the optimal mitigation strategy/alternative. Several fundamental questions must be addressed in this process: how many earthquakes and what intensities should be considered for risk assessment, what are the exceedance probabilities of a certain intensity in a specific location, what are the expected consequences for a given earthquake, how to assess the effectiveness of a mitigation alternative, and more. However, no comprehensive and universal framework offers a systematic decision support tool for CI seismic risk assessment and risk mitigation.
There is a lack of risk-based key performance indicators in the literature. Several studies have offered approaches to measure risk management performance and risk management indices [52]. The model proposed by [53] evaluates and quantifies the performance indicators by the opinion of local experts. Hence, the values are based on expert opinions and are not fully objective parameters. In [54], prioritizing risk reduction is proposed according to the disaster risk management index (DRMi), physical risk factors, and aggravating coefficient. However, in their study, the DRMi was also evaluated by a survey of experts and not by fully objective values and parameters. Furthermore, Ref. [55] proposes a scenario-based model to evaluate the effectiveness of earthquake emergency management by simulations of possible earthquake disaster scenarios. However, this model is scenario-based, that is, it does not cover all possible seismic threats and therefore may present a limited risk assessment that depends on the selected scenario. In [56], the authors developed a technological platform for resource allocation under budget limitations in order to achieve the optimal seismic risk mitigation.
This paper presents a comprehensive and efficient framework for CI seismic risk assessment and management. The proposed framework intends to address three key issues: (1) seismic risk assessment; (2) quantification of mitigation alternative effectiveness; and (3) prioritization of alternative mitigation strategies.
2. Methodology
A four-step methodology is proposed: (1) determination of the seismic scenarios; (2) calculation of CI system vulnerability; (3) quantitative assessment of risk; (4) implementation of risk-mitigation alternatives and prioritization of risk-mitigation alternatives.
2.1. Determination of the Seismic Scenarios
The first step of the risk appraisal process is the definition of the threat scenarios that critical infrastructure (CI) components are exposed to. In our case, this is an occurrence of an earthquake event and its subsequent effects on the CI. An earthquake can occur at various locations and with different intensities. However, the on-site ground motion will determine the impact on a specific CI system after the earthquake. In this research, the seismic scenarios are defined by a hazard curve. The seismic hazard curve is derived using a PSHA [57], and it determines the annual probability of exceeding a peak ground motion in a specific location. Theoretically, the hazard curve represents possible seismic scenarios and their occurrence probabilities. The hazard curve can be derived based on the probabilities of exceedance of 10%, 5%, and 2% in 50 years or by producing a complete PSHA process.
2.2. Definition of System Seismic Vulnerability
The seismic vulnerability of the system is represented by an exclusive fragility curve. The fragility curves express the probability of reaching or exceeding different damage states for a given level of ground intensity motion (e.g., PGA, PGV, and PGD). The exclusive fragility curve allows for a customized, in-depth risk analysis and later examination of the effectiveness of various retrofit alternatives. The exclusive curves are derived following the methodology presented in [51].
The fragility curves for CI systems are formed as a lognormal cumulative distribution function (CDF) that expresses the probability of reaching or exceeding a certain damage state (DS) for a given level of ground motion intensity (e.g., PGA, PGV, and PGD). This fragility function is defined by the median capacity to resist the damage state (θi) and the standard deviation of the capacity (βi), as formulated in Equation (1). Then, Equation (2) calculates the probability of exceeding a specific damage state:
where stands for a conditional probability of being at or exceeding a damage state for a given seismic intensity, and is defined by the earthquake intensity measure (). Furthermore:
- —Damage state of a particular component {0, 1,... NDS}.
- —A particular value of DS.
- —Number of possible damage states.
- —Uncertain excitation, the ground motion intensity measure (i.e., PGA, PGD, or PGV).
- —A particular value of IM.
- Φ—Standard cumulative normal distribution function.
- —The median capacity of the component to resist damage state DS measured in terms of IM.
- —The logarithmic standard deviation of the uncertain capacity of the component to resist damage state DS.
2.3. Quantitative Assessment of Risk
The product of this step is a seismic risk curve that expresses the expected annual risk for any given value of IM. Since risk represents the potential impact and loss and is defined as the product of the occurrence probability and the expected consequences, this curve is constructed by multiplying the annual rate of the exceedance curve by the direct damage curve by matching between the IM values in both curves and correlating the expected consequence and its probability to occur. This matching produces a curve that correlates the annual risk expectancy and the IM value.
The total risk expectancy for a T-years lifespan (Equation (4)) expresses the overall risk to which the system is exposed to earthquake events during the system’s lifespan. The is calculated based on possible seismic scenarios, their occurrence probability, and the expected consequences. The (Equation (3)) expresses the overall consequences that are expected in case of complete damage to the system, which is expressed in terms of cost (USD).
where:
- —Repair cost (USD).
- —Direct loss (USD).
- —Indirect loss coefficient.
- —Overall consequences (USD).
- —Total risk expectancy for T years.
- —Damage rate of damage state i.
- —Conditional probability of being in a certain damage state for a given .
- —Design life cycle.
- —Annual rate of exceedance of a given .
2.4. Implementation of Risk-Mitigation Alternatives and Prioritization of the Risk-Mitigation Alternatives
Based on the derived risk curve and the total risk expectancy (TRE), mitigation alternatives are considered to find the most beneficial one. The mitigation alternatives are examined to predict their cost-effectiveness on the preparedness level of the CIs by quantifying the reduction of risk. Each alternative has different effects on the robustness and resilience of the system, which is reflected through the fragility curve parameters. The change in the fragility parameters will subsequently affect the system’s level of risk; therefore, evaluating mitigation strategies according to risk reduction level is proposed. To examine the cost-effectiveness of the mitigation alternative, a novel risk mitigation to investment ratio (RMIR) performance indicator is proposed. The RIMR is a quantitative indicator that attempts to calculate the overall value of the examined alternative (Equation (5)). The RMIR is the ratio of the expected risk mitigation along T years of service life (ERMT), expressed in monetary terms, to the estimated mitigation cost (EMC). The RMIR aims to examine and prioritize the alternatives. If an alternative has an RMIR greater than 1.0, the alternative is expected to be efficient in terms of cost–benefit analysis. On the other hand, if the alternative has an RMIR lower than 1.0, the alternative is considered to be inefficient, meaning that the investment is higher than the expected benefits of risk mitigation. Moreover, it is possible to prioritize the mitigation alternatives based on their RMIR value. The higher the value of RMIR, the higher the cost-effectiveness of the mitigation alternative. Figure 1 presents the general flowchart of the risk-mitigation alternative’s evaluation and prioritization process.
where:
Figure 1.
Critical infrastructure risk mitigation flow chart.
- —Risk mitigation to investment ratio.
- —Expected risk mitigation along T years of service life.
- —Estimated mitigation cost for the alternative.
3. Case Study
3.1. Introduction
This section presents an implementation of the methodology through a pumping station facility case study. This case study is based on the generic pumping station presented in [51]. The generic pumping station is composed of four main subcomponents that are vital for the functionality of the pumping station: building, pumps, electro-mechanical equipment, and power supply. In this example, the original pumping station is composed of a one-story RC concrete moment frame building, one horizontal pump, mechanical and electrical equipment, and the electric power supply is based on the external commercial power grid. The derived exclusive fragility parameters and curves are as proposed by [51] presented in Figure 2. The probability of damage states (1–4) is derived from the median fragility and the standard deviation.
Figure 2.
The exclusive fragility curves that were derived for an oil pumping station (based on [51]).
3.2. Risk Appraisal
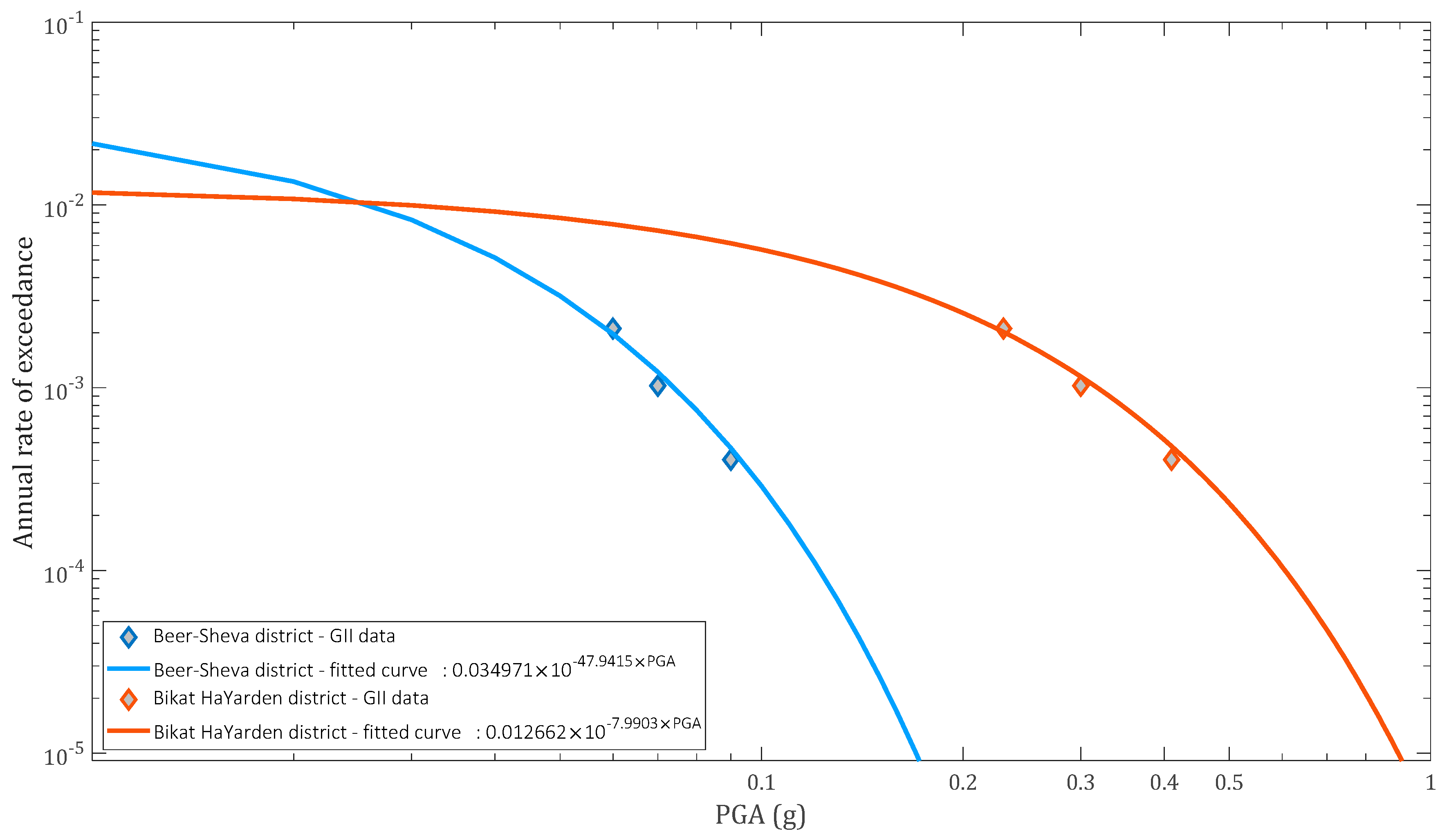
The risk appraisal processes were carried out for two seismic zones in Israel: Be’er Sheva region and Bik’at HaYarden region. The Be’er Sheva region is considered an area with low seismic risk, while the Bik’at HaYarden region is considered an area with relatively high seismic risk. The selected ground-motion intensity measure for the pumping station is peak ground acceleration (PGA). The hazard curves for those regions (Figure 3) were approximated to exponential function according to the Geophysical Institute of Israel (GII) data of annual rate ground motion for 2%, 5%, and 10% probability of exceedance in 50 years [58]. The PGA values of 2%, 5%, and 10% probability of exceedance in 50 years for the Be’er Sheva region are 0.09 g, 0.07 g, and 0.06 g and for Bik’at HaYarden are 0.41 g, 0.30 g, and 0.23 g.
Figure 3.
Hazard curve for Be’er Sheva and Bik’at HaYarden regions.
The full repair cost of the station was calculated as the cost of constructing a new station, estimated at USD 1.5 million. The direct loss is calculated according to disruption to the average daily capacity in barrels for seven consecutive days. In this scenario, the indirect loss was estimated by an indirect-damage coefficient of 2.5. Moreover, in the case of CI such as a pumping station, the facility is not occupied with stuff permanently, and there will not be human casualties.
Following the methodology, the risk curves for each region were yielded (Figure 4). The yielded risk curves are the composition of the rate exceedance and expected damage of a specific value of the PGA. Afterward, according to Equation (4), the total risk expectancy for a life span of 50 years (TRE50) was calculated. The TRE50 for the Be’er Sheva region is estimated at USD 364,721, and the TRE50 for the Bik’at HaYarden region it is estimated at USD 2,913,852. The difference between the values is consistent with the assumption that the seismic risk in the Be’er Sheva region is significantly lower than in the Bik’at HaYarden region.
Figure 4.
Risk curve for Be’er Sheva and Bik’at HaYarden regions.
3.3. Examination of Possible Mitigation Alternatives
In the risk management process, the mitigation alternatives are aimed at reducing the vulnerability of the sub-component and subsequently decreasing the vulnerability of the pumping station. The examined mitigation alternatives are focused on the sub-components of the station: pump layout (single pump or two pumps), the power supply (power grid only, power grid and diesel backup generator without seismic isolation, and power grid and a diesel backup generator with seismic isolation), and the building type (concrete moment frame building (C1L) or concrete shear walls building (C2L)). The fragility parameters for the components are based on [47,49,51].
In total, twelve alternatives were examined for each site to find the most beneficial one. The mitigation alternatives are composed of different combinations of sub-component layouts. Table 1 presents the sub-component layouts in each alternative and the estimated costs of the alternative.
Table 1.
Alternative mitigation strategies.
The risk management process is intended to indicate the optimal mitigation alternative. The optimal alternative weighs the contribution of the alternative to risk-mitigating and the cost of the alternative.
3.4. Results and Discussion
For each region, a dozen proposed mitigation alternatives have been implemented and investigated. Table 2 presents the total risk expectancy for a 50-year designed life cycle (TRE50), the estimated risk mitigation (ERM50), and the calculated RMIR for each alternative. Figure 5 and Figure 6 present the risk mitigation and risk mitigation to investment (RMIR) ratios. Alternative number one, the generic station, is used as a default alternative for the examination of risk reduction.
Table 2.
Total risk expectancy for 50-year designed life cycle (TRE50), estimated risk mitigation (ERM50), and calculated RMIR for different mitigation alternatives.
Figure 5.
Analysis of the mitigation alternatives by the percentage of risk mitigation and RMIR case of the Be’er Sheva region.
Figure 6.
Analysis of the mitigation alternatives by the percentage of risk mitigation and RMIR case of the Bik’at HaYarden region.
In the case of the Be’er Sheva region, alternatives 8, 9, 11, and 12 reduce the risk by 51.5%, 51.6%, 51.5%, and 51.6%, respectively. Those alternatives include the building retrofit and an addition of a backup generator, while alternatives 11 and 12 include the addition of a redundant pump. However, the ERM change is minor, indicating that the redundant pump’s marginal benefit to the risk mitigation is minor. Alternative number four, which included the addition of a backup pump, has a negligible effect on the risk mitigation and the RMIR value is zero. Accordingly, it can be concluded that the pump’s influence on the station’s seismic vulnerability is very low. Therefore, it is not beneficial to retrofit this component. The efficiency of the alternatives can be analyzed by the proposed RMIR indicator, which evaluates the alternative’s cost-effectiveness in terms of risk expectancy mitigation. Alternatives two, seven, and nine have an RMIR value higher than 1.0 (1.035, 1.104, and 1.043, respectively). Therefore, it can be determined that only these alternatives are economically viable. However, the values of the RMIR are only slightly higher than 1.0, which makes the efficiency of the alternative uncertain. That is, it is possible that if the cost of the alternative turns out to be higher than planned, the alternative’s viability will turn negative in terms of cost–benefit analysis. Therefore, in cases where the RMIR value is close to 1.0, it is advisable to perform an additional estimate of the retrofit costs. In addition, it is important to note that alternatives 11 and 12, which have a high value of ERM, are unviable according to the RMIR cost–benefit analysis.
In the case of the Bik’at HaYarden region, alternatives 8, 9, 11, and 12 have the highest values of ERM at 20.9%, 21.3%, 21.0%, and 21.3%, respectively. These results were expected since these alternatives had the highest ERM values in the Be’er Sheva region. The mitigation alternatives improve the seismic vulnerability of the station, which depends only on the components of the station. On the other hand, the alternative’s effectiveness highly depends on the station location since it is analyzed according to the risk. Alternatives 2, 3, 7, 8, 9, 11, and 12 have RMIR values higher than 1.0, that is, these alternatives are economically justifiable according to RMIR cost–benefit analysis. Alternative number eight has the highest value of RMIR (3.589), meaning that this alternative achieves the best risk-mitigation percentage per money. Alternative number nine has the second-best value of RMIR (3.432), with an ERM of 21.3%, which is higher than alternative eight (20.9%). This alternative achieves higher risk mitigation but lower cost–benefit efficiency. In addition, the RMIR value enables budget-based considerations. In case of budget constraints, alternatives two and three present good values of RMIR (2.604 and 2.337, respectively) and can be considered for implementation.
4. Conclusions
This research introduces a comprehensive methodology for seismic risk appraisal and management. The proposed methodology examines the preparedness of critical infrastructures through an appraisal of the risk that CIs are exposed to in case of extreme seismic events. This research establishes a probabilistic quantitative model that assesses the total risk expectancy of CIs to extreme earthquake events and produces a decision support tool that allows decision makers to manage and analyze alternative courses of action in order to mitigate the risk considering a wide range of risk scenarios. The proposed methodology was illustrated through a case study of an oil pumping station. In this case study, three alternative mitigation strategies were examined: additional pump installation (redundancy), installation of a diesel generator with and without seismic isolation (redundancy), and a building retrofit (robustness).
Twelve possible combinations of those strategies were examined. It was found that an additional pump (pump redundancy) yields only a minor contribution to the risk mitigation, whereas the building retrofit yields the most significant impact on the risk mitigation and cost-effectiveness. The pump sub-component is not vulnerable to low accelerations; therefore, it has a low impact on the overall risk. In contrast, according to the structure’s sub-component fragility curve, it is vulnerable to low-to-moderate acceleration intensities; consequently, its impact on overall risk reduction is high.
In addition, this study proposes the RMIR (risk mitigation to investment ratio) as a novel quantitative indicator in order to examine and prioritize alternative mitigation strategies. The proposed RMIR indicator evaluates alternative mitigation strategies based on cost-effectiveness of the mitigation strategies, considering integrated probabilities of all damage states and all possible seismic scenarios. This indicator is unbiased and depends on quantitative values and objective estimates of the seismic risk, CI resistance, and derived effectiveness of the mitigation alternative. Moreover, the proposed RMIR indicator covers all possible seismic scenarios due to the PSHA approach that is implemented systematically in the methodology. The RMIR examines and prioritizes the alternatives based on the risk mitigation to investment ratio. If an alternative has an RMIR greater than 1.0, the alternative is expected to be efficient in terms of risk mitigation. On the other hand, if the alternative has an RMIR lower than 1.0, the alternative is considered to be inefficient in terms of risk mitigation, meaning that the investment is higher than the expected benefits of risk mitigation. In addition, the higher the value of RMIR, the higher the cost-effectiveness of the mitigation alternative. The benefits of the proposed indicator were illustrated in the case study. The indicator allows us to examine the cost-effectiveness of the alternatives and prioritize the mitigation alternatives according to decision-maker policies. The research’s novelty focuses on a synthesis of the fragility and morphology of the system into the risk expectancy and derives a coherent indicator for seismic risk mitigation in critical infrastructures. This contribution can be used for stimulating the preparedness of energy-related CI for extreme events and can be extended to risk mitigation of other hazards such as storms, floods, shocks, and blasts [10,59].
The presented methodology considers damage as a result of a single earthquake (i.e., mainshock) and does not consider sequential seismic events (aftershocks and foreshocks). Furthermore, the maintenance levels and wear and tear of the CI components are usually not reflected in the fragility curves. Moreover, adjustments will be required in order to include unique seismic retrofit solutions [32,60,61]. These issues can be addressed in follow-up studies.
Author Contributions
Conceptualization, I.M.S.; data curation, A.U.; investigation, A.U. and I.M.S.; methodology, A.U.; project administration, I.M.S.; software, A.U.; supervision, I.M.S.; validation, I.M.S.; visualization, A.U.; writing—original draft, A.U.; writing—review and editing, I.M.S. All authors have read and agreed to the published version of the manuscript.
Funding
This research received no external funding.
Conflicts of Interest
The authors declare no conflict of interest.
References
- Urlainis, A.; Ornai, D.; Levy, R.; Vilnay, O.; Shohet, I.M. Loss and Damage Assessment in Critical Infrastructures Due to Extreme Events. Saf. Sci. 2022, 147, 105587. [Google Scholar] [CrossRef]
- Urlainis, A.; Shohet, I.M.; Levy, R.; Ornai, D.; Vilnay, O. Damage in Critical Infrastructures Due to Natural and Man-Made Extreme Events—A Critical Review. Procedia Eng. 2014, 85, 529–535. [Google Scholar] [CrossRef][Green Version]
- Yu, J.; Cruz, A.M.; Piatyszek, E.; Lesbats, M.; Tardy, A.; Hokugo, A.; Tatano, H. A Survey of Impact on Industrial Parks Caused by the 2011 Great East Japan Earthquake and Tsunami. J. Loss Prev. Process Ind. 2017, 50, 317–324. [Google Scholar] [CrossRef]
- Moteff, J.; Parfomak, P. Critical Infrastructure and Key Assets: Definition and Identification; Library of Congress: Washington, DC, USA, 2004. [Google Scholar]
- Mendonça, D.; Lee, E.E., II; Wallace, W.A. Impact of the 2001 World Trade Center Attack on Critical Interdependent Infrastructures. In Proceedings of the 2004 IEEE International Conference on Systems, Man and Cybernetics, SMC 2004, The Hague, The Netherlands, 10–13 October 2004; Volume 5, pp. 4053–4058. [Google Scholar]
- Mendonça, D.; Wallace, W.A. Impacts of the 2001 World Trade Center Attack on New York City Critical Infrastructures. J. Infrastruct. Syst. 2006, 12, 260–270. [Google Scholar] [CrossRef]
- Johansson, J.; Hassel, H. An Approach for Modelling Interdependent Infrastructures in the Context of Vulnerability Analysis. Reliab. Eng. Syst. Saf. 2010, 95, 1335–1344. [Google Scholar] [CrossRef]
- Poljanšek, K.; Bono, F.; Gutiérrez, E. Seismic Risk Assessment of Interdependent Critical Infrastructure Systems: The Case of European Gas and Electricity Networks. Earthq. Eng. Struct. Dyn. 2012, 41, 61–79. [Google Scholar] [CrossRef]
- Ornai, D.; Elkabets, S.M.; Kivity, Y.; Ben-Dor, G.; Chadad, L.; Gal, E.; Tavron, B.; Gilad, E.; Levy, R.; Shohet, I.M. A Methodology of Risk Assessment, Management, and Coping Actions for Nuclear Power Plant (NPP) Hit by High-Explosive Warheads. Adv. Eng. Inform. 2020, 46, 101192. [Google Scholar] [CrossRef]
- Yao, X.; Wei, H.H.; Shohet, I.M.; Skibniewski, M.J. Assessment of Terrorism Risk to Critical Infrastructures: The Case of a Power-Supply Substation. Appl. Sci. 2020, 10, 7162. [Google Scholar] [CrossRef]
- Urlainis, A.; Shohet, I.M. Probabilistic Risk Appraisal and Mitigation of Critical Infrastructures for Seismic Extreme Events. In Proceedings of the Creative Construction Conference (CCC2018), Ljubljana, Slovenia, 30 June–3 July 2018. [Google Scholar]
- Lam, C.Y.; Shimizu, T. A Network Analytical Framework to Analyze Infrastructure Damage Based on Earthquake Cascades: A Study of Earthquake Cases in Japan. Int. J. Disaster Risk Reduct. 2021, 54, 102025. [Google Scholar] [CrossRef]
- Rinaldi, S.M.; Peerenboom, J.P.; Kelly, T.K. Identifying, Understanding, and Analyzing Critical Infrastructure Interdependencies. IEEE Control Syst. Mag. 2001, 21, 11–25. [Google Scholar] [CrossRef]
- Pescaroli, G.; Alexander, D. Critical Infrastructure, Panarchies and the Vulnerability Paths of Cascading Disasters. Nat. Hazards 2016, 82, 175–192. [Google Scholar] [CrossRef]
- Cutter, S.L. Compound, Cascading, or Complex Disasters: What’s in a Name? Environment 2018, 60, 16–25. [Google Scholar] [CrossRef]
- Shamseldin, A.; Lowrance, W.W. Of Acceptable Risk: Science and the Determination of Safety. J. Am. Stat. Assoc. 1978, 73, 686. [Google Scholar] [CrossRef][Green Version]
- Haimes, Y.Y. Risk Modeling, Assessment, and Management, 3rd ed.; John Wiley & Sons: Hoboken, NJ, USA, 2008; ISBN 978-0-470-28237-3. [Google Scholar]
- Bozorgnia, Y.; Campbell, K.W. Chapter 5: Engineering Characterization of Ground Motion. In Earthquake Engineering: From Engineering Seismology to Performance-Based Engineering; CRC Press: Boca Raton, FL, USA, 2004; Volume 1, pp. 1–976. ISBN 9780429204968. [Google Scholar]
- Robinson, T.R.; Rosser, N.J.; Densmore, A.L.; Oven, K.J.; Shrestha, S.N.; Guragain, R. Use of Scenario Ensembles for Deriving Seismic Risk. Proc. Natl. Acad. Sci. USA 2018, 115, E9532–E9541. [Google Scholar] [CrossRef]
- Starita, S.; Scaparra, M.P. Optimizing Dynamic Investment Decisions for Railway Systems Protection. Eur. J. Oper. Res. 2016, 248, 543–557. [Google Scholar] [CrossRef]
- Rusydy, I.; Idris, Y.; Mulkal; Muksin, U.; Cummins, P.; Akram, M.N. Syamsidik Shallow Crustal Earthquake Models, Damage, and Loss Predictions in Banda Aceh, Indonesia. Geoenviron. Disasters 2020, 7, 8. [Google Scholar] [CrossRef]
- Oakes, B.D.; Mattsson, L.G.; Näsman, P.; Glazunov, A.A. A Systems-Based Risk Assessment Framework for Intentional Electromagnetic Interference (IEMI) on Critical Infrastructures. Risk Anal. 2018, 38, 1279–1305. [Google Scholar] [CrossRef]
- Cao, X.; Lam, J.S.L. Simulation-Based Catastrophe-Induced Port Loss Estimation. Reliab. Eng. Syst. Saf. 2018, 175, 1–12. [Google Scholar] [CrossRef]
- McDonald, M.; Mahadevan, S.; Ambrosiano, J.; Powell, D. Risk-Based Policy Optimization for Critical Infrastructure Resilience against a Pandemic Influenza Outbreak. ASCE ASME J. Risk Uncertain. Eng. Syst. A Civ. Eng. 2018, 4, 04018007. [Google Scholar] [CrossRef]
- Sucuoglu, H.; Akkar, S. Basic Earthquake Engineering: From Seismology to Analysis and Design, 2014th ed.; Springer: Cham, Switzerland, 2014; Volume 1, ISBN 9783319010250. [Google Scholar]
- Baker, J.W. Efficient Analytical Fragility Function Fitting Using Dynamic Structural Analysis. Earthq. Spectra 2015, 31, 579–599. [Google Scholar] [CrossRef]
- Abrahamson, N.A.; Kuehn, N.M.; Walling, M.; Landwehr, N. Probabilistic Seismic Hazard Analysis in California Using Nonergodic Ground-Motion Models. Bull. Seismol. Soc. Am. 2019, 109, 1235–1249. [Google Scholar] [CrossRef]
- Giardini, D.; Danciu, L.; Erdik, M.; Şeşetyan, K.; Demircioğlu Tümsa, M.B.; Akkar, S.; Gülen, L.; Zare, M. Seismic Hazard Map of the Middle East. Bull. Earthq. Eng. 2018, 16, 3567–3570. [Google Scholar] [CrossRef]
- Akkar, S.; Kale, Ö.; Yakut, A.; Çeken, U. Ground-Motion Characterization for the Probabilistic Seismic Hazard Assessment in Turkey. Bull. Earthq. Eng. 2018, 16, 3439–3463. [Google Scholar] [CrossRef]
- Peñarubia, H.C.; Johnson, K.L.; Styron, R.H.; Bacolcol, T.C.; Sevilla, W.I.G.; Perez, J.S.; Bonita, J.D.; Narag, I.C.; Solidum, R.U.; Pagani, M.M.; et al. Probabilistic Seismic Hazard Analysis Model for the Philippines. Earthq. Spectra 2020, 36 (Suppl. 1), 44–68. [Google Scholar] [CrossRef]
- Mulargia, F.; Stark, P.B.; Geller, R.J. Why Is Probabilistic Seismic Hazard Analysis (PSHA) Still Used? Phys. Earth Planet. Inter. 2017, 264, 63–75. [Google Scholar] [CrossRef]
- Vona, M.; Flora, A.; Carlucci, E.; Foscolo, E.; Aprile, A.; Monti, G. Seismic Retrofitting Resilience-Based for Strategic RC Buildings. Buildings 2021, 11, 111. [Google Scholar] [CrossRef]
- Menna, C.; Felicioni, L.; Negro, P.; Lupíšek, A.; Romano, E.; Prota, A.; Hájek, P. Review of Methods for the Combined Assessment of Seismic Resilience and Energy Efficiency towards Sustainable Retrofitting of Existing European Buildings. Sustain. Cities Soc. 2022, 77, 103556. [Google Scholar] [CrossRef]
- Tena-Colunga, A.; Godínez-Domínguez, E.A.; Hernández-Ramírez, H. Seismic Retrofit and Strengthening of Buildings. Observations from the 2017 Puebla-Morelos Earthquake in Mexico City. J. Build. Eng. 2022, 47, 103916. [Google Scholar] [CrossRef]
- Crespi, P.; Zucca, M.; Valente, M.; Longarini, N. Influence of Corrosion Effects on the Seismic Capacity of Existing RC Bridges. Eng. Fail. Anal. 2022, 140, 106546. [Google Scholar] [CrossRef]
- Afrouz, S.G.; Farzampour, A.; Hejazi, Z.; Mojarab, M. Evaluation of Seismic Vulnerability of Hospitals in the Tehran Metropolitan Area. Buildings 2021, 11, 54. [Google Scholar] [CrossRef]
- Dolce, M.; Prota, A.; Borzi, B.; da Porto, F.; Lagomarsino, S.; Magenes, G.; Moroni, C.; Penna, A.; Polese, M.; Speranza, E.; et al. Seismic Risk Assessment of Residential Buildings in Italy. Bull. Earthq. Eng. 2021, 19, 2999–3032. [Google Scholar] [CrossRef]
- Flenga, M.G.; Favvata, M.J. Fragility Curves and Probabilistic Seismic Demand Models on the Seismic Assessment of RC Frames Subjected to Structural Pounding. Appl. Sci. 2021, 11, 8253. [Google Scholar] [CrossRef]
- O’Rourke, M.J.; So, P. Seismic Fragility Curves for On-Grade Steel Tanks. Earthq. Spectra 2000, 16, 801–815. [Google Scholar] [CrossRef]
- Razzaghi, M.S.; Eshghi, S. Probabilistic Seismic Safety Evaluation of Precode Cylindrical Oil Tanks. J. Perform. Constr. Facil. 2015, 29. [Google Scholar] [CrossRef]
- Rosti, A.; del Gaudio, C.; Rota, M.; Ricci, P.; di Ludovico, M.; Penna, A.; Verderame, G.M. Empirical Fragility Curves for Italian Residential RC Buildings. Bull. Earthq. Eng. 2021, 19, 3165–3183. [Google Scholar] [CrossRef]
- Rosti, A.; Rota, M.; Penna, A. Empirical Fragility Curves for Italian URM Buildings. Bull. Earthq. Eng. 2021, 19, 1–20. [Google Scholar] [CrossRef]
- Rahmani, A.Y.; Bourahla, N.; Bento, R.; Badaoui, M. An Improved Upper-Bound Pushover Procedure for Seismic Assessment of High-Rise Moment Resisting Steel Frames. Bull. Earthq. Eng. 2018, 16, 315–339. [Google Scholar] [CrossRef]
- Amin, J.; Gondaliya, K.; Mulchandani, C. Assessment of Seismic Collapse Probability of RC Shaft Supported Tank. Structures 2021, 33, 2639–2658. [Google Scholar] [CrossRef]
- Belejo, A.; Bento, R. Improved Modal Pushover Analysis in Seismic Assessment of Asymmetric Plan Buildings under the Influence of One and Two Horizontal Components of Ground Motions. Soil Dyn. Earthq. Eng. 2016, 87, 1–15. [Google Scholar] [CrossRef]
- Porter, K.; Hamburger, R.; Kennedy, R. Practical Development and Application of Fragility Functions. In Proceedings of the Research Frontiers at Structures Congress 2007, Long Beach, CA, USA, 20 June 2007. [Google Scholar]
- Gehl, P.; Desramaut, N.; Réveillère, A.; Modaressi, H. Fragility Functions of Gas and Oil Networks. In SYNER-G: Typology Definition and Fragility Functions for Physical Elements at Seismic Risk; Springer: Dordrecht, The Netherlands, 2014; Volume 1, ISBN 9789400778719. [Google Scholar]
- ALA. ALA Seismic Fragility Formulations For Water Systems. In Alliance American Lifelines (ALA); ASCE-FEMA: Reston, VA, USA, 2001; p. 104. [Google Scholar]
- NIBS. HAZUS-MH: Users’s Manual and Technical Manuals. Report Prepared for the Federal Emergency Management Agency; National Institute of Building Sciences, Federal Emergency Management Agency (FEMA): Washington, DC, USA, 2004. [Google Scholar]
- Rossetto, T.; D’Ayala, D.; Ioannou, I.; Meslem, A. Evaluation of Existing Fragility Curves. In SYNER-G: Typology Definition and Fragility Functions for Physical Elements at Seismic Risk; Pitilakis, K., Crowley, H., Kaynia, A., Eds.; Springer: Dordrecht, The Netherlands, 2014. [Google Scholar] [CrossRef]
- Urlainis, A.; Shohet, I.M. Development of Exclusive Seismic Fragility Curves for Critical Infrastruc-Ture: An Oil Pumping Station Case Study. Buildings 2022, 12, 842. [Google Scholar] [CrossRef]
- Carreño, M.L.; Cardona, O.D.; Barbat, A.H. A Disaster Risk Management Performance Index. Nat. Hazards 2007, 41, 1–20. [Google Scholar] [CrossRef]
- Carreño, M.L.; Cardona, O.D.; Barbat, A.H. New Methodology for Urban Seismic Risk Assessment from a Holistic Perspective. Bull. Earthq. Eng. 2012, 10, 547–565. [Google Scholar] [CrossRef]
- Lantada, N.; Carreño, M.L.; Jaramillo, N. Disaster Risk Reduction: A Decision-Making Support Tool Based on the Morphological Analysis. Int. J. Disaster Risk Reduct. 2020, 42, 101342. [Google Scholar] [CrossRef]
- Zhang, Y.; Weng, W.G.; Huang, Z.L. A Scenario-Based Model for Earthquake Emergency Management Effectiveness Evaluation. Technol. Soc. Chang. 2018, 128, 197–207. [Google Scholar] [CrossRef]
- Nuzzo, I.; Caterino, N.; Novellino, A.; Occhiuzzi, A.; Ditommaso, R.; di Cesare, A.; Shohet, I.M.; Asteris, P.G. Computer-Aided Decision Making for Regional Seismic Risk Mitigation Accounting for Limited Economic Resources. Appl. Sci. 2021, 11, 5539. [Google Scholar] [CrossRef]
- Baker, J.; Bradley, B.; Stafford, P. Seismic Hazard and Risk Analysis; Cambridge University Press: Cambridge, UK, 2021; ISBN 978-1-108-42505-6. [Google Scholar]
- Klar, A.; Meirova, T.; Zaslavsky, Y.; Shapira, A. Spectral Acceleration Maps for Use in SI 413 Amendment No.5; The Geophysical Institute of Israel: Jerusalem, Israel, 2011. [Google Scholar]
- Yum, S.-G.G.; Kim, J.-M.M.; Wei, H.H. Development of Vulnerability Curves of Buildings to Windstorms Using Insurance Data: An Empirical Study in South Korea. J. Build. Eng. 2020, 34, 101932. [Google Scholar] [CrossRef]
- Shmerling, A.; Gerdts, M. Optimization of Inelastic Multistory Structures under Seismic Vibrations Using Shape-Memory-Alloy Material. Sci. Rep. 2022, 12, 16844. [Google Scholar] [CrossRef]
- Abbaszadeh, A.; Chaallal, O. Enhancing Resilience and Self-Centering of Existing RC Coupled and Single Shear Walls Using EB-FRP: State-of-the-Art Review and Research Needs. J. Compos. Sci. 2022, 6, 301. [Google Scholar] [CrossRef]
Publisher’s Note: MDPI stays neutral with regard to jurisdictional claims in published maps and institutional affiliations. |
© 2022 by the authors. Licensee MDPI, Basel, Switzerland. This article is an open access article distributed under the terms and conditions of the Creative Commons Attribution (CC BY) license (https://creativecommons.org/licenses/by/4.0/).





