Abstract
Hardness is commonly used to determine the suitability of a timber species for flooring applications. In this study, Janka hardness test is conducted on sawlog managed Eucalyptus nitens and regrowth forest Eucalyptus obliqua sourced from Tasmania, Australia. Plantation E. nitens timber is currently entering the Australian market and the feasibility of using this fast grown species in value added applications such as timber flooring is advantageous. Further to testing Janka hardness on solid timber samples, a regime of engineered timber flooring prototypes consisting of plantation E. nitens top layers, veneers and solid densified E. nitens boards were developed and subjected to Janka hardness test. The results were compared against solid E. obliqua flooring and a commercially available engineered flooring product with Tasmanian Oak top layer. The results showed that Janka hardness of plantation grown E. nitens, and E. obliqua currently available in the market are lower than the values published in the literature. This indicates that the material properties of fast grown plantation timber and regrowth forest material are different to the native forest timber properties published decades earlier. Furthermore, some of the tested engineered flooring prototypes showed similar behaviour to timber flooring products currently in market, suggesting that E. nitens engineered flooring would be suitable for domestic/light commercial flooring applications despite the general conception of unsuitability due to lower densities.
1. Introduction
The use of timber is common in domestic/commercial flooring applications due to its strong influence on aesthetics [1,2]. The timber flooring products are categorised as solid timber, parquet, engineered and veneer floorings [3]. Solid timber flooring is made from a single piece of hardwood while engineered timber flooring has a multilayer structure usually consisting of an inner core with a thin layer of solid timber on top [3,4]. This multilayer laminated structure increases the stability of the flooring and the thin top layers facilitate the production of greater floor volume using the same amount of solid timber [5]. Therefore, the current trend for novel product development with quality improvements supported by new consumer habits has made engineered timber flooring more competitive over solid flooring products [3,6,7].
Despite the increasing demand for timber flooring production, only a few, conventional hardwood species are still widely used for flooring applications [5]. Oak (Quercus robur L.) is the major traditional species used for both solid and engineered flooring top layers, especially in Europe [2,4]. However, due to the global depletion and restricted access of native, high density timber resources, it is important to consider non-conventional timber species to the market as a sustainable alternative. Eucalypts: a species of Australian origin, predominate the alternative resource base of fast grown timber species, in terms of volume availability, sustainability and cost implications [5,8,9].
Selection of timber for flooring is influenced by the appearance and cost of the product. Hardness is commonly used to evaluate the functional performance of a species for flooring. Hardness indicates the ability of timber to resist indentations such as impact caused by stiletto heels or dropping or dragging of heavy equipment [10]. The two most commonly used methods to determine the static hardness of timber are Brinell hardness and Janka hardness tests [11]. However, the results generated in the two methods are not comparable to each other [2]. Brinell hardness test as per Standard EN 1534 [12] is conducted in most European countries to determine the hardness of timber species while Janka hardness specified in ASTM D. 143 [13] is commonly used for the same purpose in countries including The United States and Australia. Importance of hardness in a flooring application depends on its expected end use. The absence of benchmark values and limited information of current timber resources in standards used in solid timber flooring restricts the introduction of new species to the market. For instance, most of the hardness values published in Australia for timber species seems to be based on research conducted at CSIRO in 1960’s on native forest timber [14]. It was noted that younger, fast grown regrowth Eucalypt forests are becoming an important hardwood source in Australia [15] and yet, the timber properties of this resource is still not widely published. This indicates that the hardness values published even for native forest species might not represent the hardness of timber currently sold in flooring markets.
This study forms part of a larger project conducted in the state of Tasmania, Australia to determine the feasibility of manufacturing engineered timber flooring using low density hardwood plantation timber, Eucalyptus nitens. There are two types of E. nitens plantations in Tasmania. The majority of E. nitens plantations are known as fibre-managed plantations with management practices designed for short rotations aimed at clearfelling the harvest around 15 years of age, with no pruning or thinning [16,17]. Sawlog plantations are subjected to pruning and thinning regimes with nominal harvesting age of 25 years, anticipating the potential future use as a sawlog resource [16,18]. Due to lower density and presence of many natural features, it was thought that the use of this resource for appearance applications can be challenging [19,20]. Consequently, the introduction of new applications to fast-grown plantation species generally intended to be used in wood chips and pulp industry, could generate novel value-added economic resources [5]. To date, studies examining material properties of Tasmanian plantation E. nitens have produced variable results [17,18,21,22]. With the sawlog E. nitens plantation resource reaching its harvesting age, understanding its mechanical properties is required to introduce the resource to novel markets.
The present study conducted Janka hardness testing on sawlog E. nitens using regrowth forest E. obliqua as the control species to generate new knowledge on the commonly used flooring property on both species. E. obliqua is one of the three Eucalyptus species marketed as Tasmanian Oak which is commonly used for flooring, harvested from native and regenerated forests [21]. Apart from testing standard size specimens, Janka hardness testing of engineered flooring with E. nitens top layers was also conducted. According to authors’ best knowledge, this type of prototype development and testing has not been reported for plantation E. nitens in the literature. In addition, an in-service flooring trial of 19 mm solid timber flooring was installed and monitored at a Tasmanian high school to evaluate the in-service behaviour of the species in comparison with some high density, commonly used flooring species in Australia.
Accordingly, the work presented herein aims to: (i) evaluate the Janka hardness of clear small specimens of sawlog plantation E. nitens and regrowth forest E. obliqua and (ii) evaluate the performance of plantation E. nitens when used as a top layer in an engineered flooring panel through Janka hardness test, with a view of possible introduction to the Australian market encouraging the manufacturers to diversify their product ranges based on end use requirements and consumers in making informed decisions about their timber floors.
2. Materials and Methods
E. nitens timber from three different sources were obtained for this study. The selection was pragmatic due to the timber species not yet been commercially processed, the presence of many plantation sites and coups in Tasmania and the project time frame. Overall, 10 types of timber samples were tested in this study; two types of solid timber specimens with 50 by 50 by 150 mm dimensions as specified in ASTM D. 143 and eight types of timber flooring panels (six: multilayer structures, one: solid overlay, one: solid densified).
2.1. Solid Timber Specimens
Two hardwood species were evaluated for Janka hardness determination of standard clear small specimens. Regrowth forest E. obliqua is widely used in timber flooring, whereas Tasmanian sawlog managed E. nitens is a fast-growing species with no current commercial application in timber flooring. Timber sample sets were obtained from a single sawmill in Tasmania. Timber specimens without visual defects were selected. Upon arrival at the workshop, the timber was dressed to standard size and allowed to stabilise for three months, and the density and moisture content of the timber was measured.
2.2. Timber Flooring Specimens
The design of prototypes was determined based on feedback received from interviews conducted with a group of Tasmanian timber manufacturers, Australian architects and flooring specifiers with prior experience in specifying Tasmanian timber, especially Tasmanian Oak. Six different prototypes of timber flooring using E. nitens were manufactured specifically for this research. The configurations, material layer thicknesses and density of the tested specimens are presented in Table 1.
Table 1.
Characteristics of the tested timber flooring configurations.
The experiments were conducted on samples of different structures along with control samples for comparison purposes: three-layer floor boards with sawlog and fibre managed E. nitens on top layer (Specimen A and B), two layer floor boards with sawlog E. nitens on top layer (Specimen C), Densified solid E. nitens boards (Specimen D), Sawlog managed E. nitens veneers with two different plywood substrates (Specimen E and F), solid regrowth forest E. obliqua boards (Specimen Gc) and commercially available Tasmanian Oak engineered flooring boards (Specimen Hc).
The timber and veneer material used for prototypes A, C, E, F, Gc were obtained from a single sawmill in North-West Tasmania while fibre-managed E. nitens for the top layer of prototype B was sourced from a sawmill in North-East of Tasmania. The densified samples were obtained from 26-year-old sawlog E. nitens harvested from plantations located in Ridgely, Tasmania. Densification process was conducted by University of Melbourne. The densified materials were conditioned at 23 °C and 65% relative humidity until constant mass was reached (12% Moisture content). The densification process consisted of three stages adapted from Tenorio and Moya [23]: (1) preheating at 150 °C for 10 min; (2) compression perpendicular to the grain until reaching the target thickness of 12 mm (compression ratio of 25%) for 20 min, at the temperature maintained in stage 1; (3) cooling where the timber were kept compressed but without heat (platens temperature < 60 °C) for an additional 10 min. The E. nitens veneers used in the prototypes were obtained randomly from a commercial production line customised at 0.6 mm thickness. Therefore, the 1.2 mm thick top layer for prototypes E and F were obtained by gluing two commercial grade 0.6 mm veneers together. Specimens Gc and Hc were obtained from commercial lots ready for market from their respective manufacturer/seller based in Tasmania.
The prototyping was conducted in industry with existing production methods and all timber layers in prototypes A, B, C, E and F were glued with polyvinyl acetate (PVA) using a hot press. All tested surfaces except control Hc were coated manually with Urethane two-pack polyurethane waterborne coating system with a clear satin finish adhering to general industry practice. Control Hc is a prefinished product subjected to UV coating system. Figure 1 shows cross sections of the tested flooring products.
Figure 1.
Cross sections of prototypes and controls (A: 6 mm sawlog E. nitens on marine plywood substrate with veneer backing, B: 6 mm fibre E. nitens on marine plywood substrate with veneer backing, C: 6 mm sawlog E. nitens on marine plywood substrate, D: densified E. nitens, E: 1.2 mm E nitens veneer on marine plywood with veneer backing, F: 1.2 mm E. nitens veneer on fibre E. nitens plywood with veneer backing, Gc: solid E. obliqua, Hc: prefinished 3.2 mm Tasmanian Oak on Rubberwood substrate)).
2.3. Janka Hardness Testing
Janka hardness test for both standard size specimens and timber flooring panels was conducted according to ASTM D 143. Test was conducted using Hounsfield universal testing machine (Figure 2 and Figure 3). Janka hardness test involves projecting a steel ball with a diameter of 11.284 mm at a speed rate of 6 mm/min on the surface of the specimen. The load at which the ball penetrates to half of its diameter (5.642 mm) is recorded as the Janka hardness. The specimen size specified for the test is 50 by 50 by 150 mm in ASTM D 143. The standard specifies to conduct two penetrations each on tangential and radial surfaces and one on each end, so that altogether six penetrations are conducted per each specimen. A distinction is made on the hardness determined on the end and side of the specimen. The average force value determined on radial and tangential surfaces is recorded as the side hardness [24] and generally reported as the Janka hardness of a particular species. Obtaining the end grain properties for flooring applications is irrelevant. Sixty samples of solid 50 by 50 mm thick sawlog E. nitens and E. obliqua were tested for the purpose, each sample subjected to six indentations as specified. The dimensions and weight of specimens were recorded immediately before testing to determine the volume and equilibrated air-dried weight (ADW) of each specimen. After hardness test, the specimens were placed in an oven at 103 ± 2 °C until constant weight to obtain the oven dry weight (ODW). Using ADW and ODW, moisture content (MC) of specimens were calculated and ADW and the specimen volume was used to calculate the air-dried density (ADD) at the time of testing. The MC and density at 12% for solid timber specimens were determined as per Australian/New Zealand Standards (AS/NZS) 1080.1:2012 and AS/NZS 1080.3:2000 [25,26] respectively.
Figure 2.
Janka Hardness test on 50 mm thick solid timber sample.
Figure 3.
Adapted Janka test on E. nitens engineered flooring surface.
For flooring boards, Janka test was conducted only on the surface layer considering the practical aspects of service exposure and composition. For densified floorboards, 30 samples were tested, and two indentations were conducted on the top surface of each sample. For the rest of flooring prototypes, 20 samples per each configuration with nominal dimensions as per in Table 1 was used. Figure 2 and Figure 3 show Janka hardness test conducted on solid E. nitens and engineered flooring samples. For flooring prototypes ADD was calculated for each layer (Table 1).
3. Results
3.1. Janka Hardness of Standard Size Clear Small Specimens of Sawlog E. nitens and Regrowth Forest E. obliqua
A summary of the Janka hardness and density results for solid timber specimens is presented in Table 2. The MC of tested E. nitens and E. obliqua were 11% and 10%, respectively, at the time of testing. The average density of sawlog E. nitens at 12% MC was 580 kg/m3, ranging from 440 to 755 kg/m3. The density of the selected E. nitens material is lower than the reported values in the literature for seasoned natural forest E. nitens at 12% MC (Shining gum) (WoodSolutions [27]: 680 kg/m3; Bolza and Kloot [14]: 700 kg/m3). The average density of E. obliqua at 12% MC was 695 kg/m3, ranging from 510 to 820 kg/m3. Similar observation to E. nitens was received when comparing the tested material with the literature for E. obliqua (Messmate, Stringybark) (WoodSolutions [27]: 770 kg/m3; Bolza and Kloot [14]: 785 kg/m3).
Table 2.
Janka hardness and density of sawlog E. nitens and regrowth forest E. obliqua.
Table 2 provides Janka hardness values tested on radial, tangential and axial surface of the species. It should be noted that side hardness which is derived by the average of radial and tangential hardness is commonly used as the Janka hardness of a particular species. The average hardness values for E. nitens on tangential, radial and axial surfaces were 3691, 3884 and 5122 respectively. Similarly, the results of E. obliqua in order of tangential, radial and axial surfaces were 5054, 5057 and 6864 N. These results indicate the axial surface was superior in hardness to the tangential and radial surfaces of both species. The tangential and radial surfaces are generally similar in value.
When considering the average side hardness, among the two tested species, E. obliqua showed higher value with 5056 N. The smallest and largest values for E. obliqua were 2530 and 7150 N for a 5th percentile value of 3686 N. The majority (42%) of the tested samples performed within the 4000–4999 N range where 77% of all tested samples performed within the 4000–5999 N range (Figure 4).
Figure 4.
Distribution of Janka hardness results for E. obliqua.
The average side hardness value for E. nitens was 3787 N. The smallest and largest values for nitens were 2325 and 6775 N for a 5th percentile value of 2389 N. The majority (23%) of the tested samples performed within the 2500–2999 N range where 43% of all the tested samples performed within the 2500–3499 N range (Figure 5).
Figure 5.
Distribution of Janka hardness results for sawlog E. nitens.
As expected, the Janka hardness testing results were closely related to the density of the tested samples (Figure 6 and Figure 7). For sawlog E. nitens, 82% of the Janka variability could be predicted from the density of tested samples. In E. obliqua the fit between the Janka hardness and density was 72%.
Figure 6.
Correlation between hardness and density for E. obliqua.
Figure 7.
Correlation between Janka hardness and density for sawlog E. nitens.
3.2. Janka Hardness Response on Flooring Prototypes
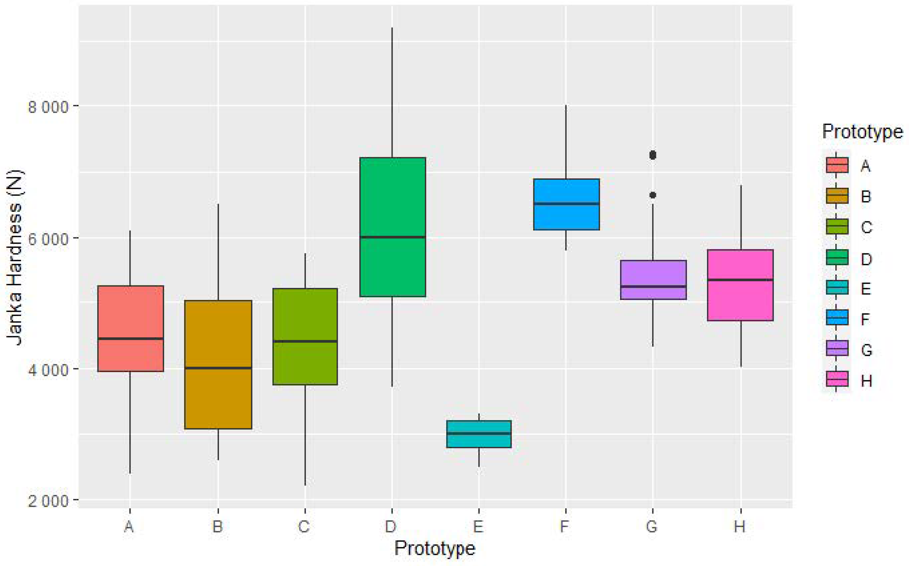
In this analysis, the Janka hardness corresponding to the different compositions of engineered timber flooring prototypes were analysed. Figure 8 shows the Janka hardness of tested specimens.
Figure 8.
Janka hardness of engineered flooring prototypes and controls.
The hardness values shown in Figure 8 are listed in Table 3. The flooring specimens Gc and Hc currently used in Australian market had Janka hardness of 5512 and 5323 N respectively. Specimens E and F which are the veneer flooring products proved that Janka hardness is largely impacted by the substrate for veneer flooring [2]. Specimen F with E. nitens plywood substrate resulted in the highest Janka hardness value with 6623 while Specimen E with marine plywood backing recorded the lowest hardness value of 2972 N. Specimen D with densified E. nitens material recorded 6137 N and was higher in hardness than the controls. All three prototypes consisting of E. nitens 6 mm thick top layers generated similar results and were below the hardness of controls. Fibre managed prototype (B) was 4188 N while the sawlog managed E. nitens specimens A and C were 4468 and 4389 N, respectively, (Figure 7). Although the same marine plywood backing material with different thicknesses (Table 1) was used in prototypes of A, B, C and E, it seems that the 6 mm top layer majorly contributed to the hardness value unlike in the case with 1.2 mm veneers.
Table 3.
Janka hardness of engineered flooring prototypes and controls with homogenous groups (HG).
Depending on the type of specimen, the results of ANOVA analysis of variance with 0.05 significant level, demonstrated statistically significant differences between the mean values of Janka hardness. Table 3 summarises the division of average Janka hardness into homogenous groups (HG). No differences of the average values occurred for nine pairs of samples (A, B), (A, C), (A, Hc), (C, B), (Hc, C), (F, D), (Gc, D), (Hc, D) and (Hc, Gc). Prototype E differed from all others. No statistically significant differences were observed between prototype D made from densified E. nitens when compared with F, Gc, Hc. Solid E. obliqua (Gc) showed statistical variation from all tested specimens except D and Hc. Mean hardness of prototypes A, C, D were not statistically different from the commercial Tasmanian Oak product (Hc), while Prototype F with the highest recorded average mean hardness was statistically non-significant with D. The results indicate that Prototypes A, C, D show similar hardness values to a commercial engineered flooring product already used in the market. Prototypes D and F are higher in Janka Hardness than both solid 12 mm E. obliqua (Gc) and commercial engineered flooring product (Hc) which are already commonly used in Australian timber flooring market.
4. Discussion
The hardness values obtained for the solid timber specimens for both E. nitens and E. obliqua in this study are lower than the values published in the literature. Tasmanian native forest E. obliqua is widely used in the flooring market. Since the current timber market is penetrated by younger, regrowth hardwoods, their timber properties might differ from the available information determined for the same species decades ago [15,28]. It should be noted that properties such as hardness may vary considerably on moisture content, density, rate of growth, proportion of sapwood/latewood, origin, and even the position of tree. In some species, the hardness value of younger growth material could be much lower than the mature material of the same species [10]. Therefore, comparing the hardness of native to regrowth timber and fast grown plantation material, potentially over different life spans is identified as a knowledge gap observed through this study. Interviews conducted with several timber flooring specifiers and flooring manufacturers indicated that they are aware of the fact that the hardness values currently used for specifications might be different to the material available at the market. Furthermore, some information might be based only on small samplings making it inappropriate to make distinctions between species, as observed by the wide variation between maximum and minimum hardness values for same species observed in this study (Table 2).
A study on determining the properties of regrowth E. obliqua [29], conducted Janka hardness test on four different age classes of regrowth forest stands established after subjected to forest fires. The values obtained for each age group, respectively, were, 5500, 6000, 7200 and 5800 N. The study could not conclude that there was a significant effect of age on hardness. Figure 9 summarises Janka hardness values published for E. obliqua in comparison with the results obtained in the present study.
Figure 9.
Comparing the Janka hardness of E. obliqua.
The values for sawlog E. nitens were also lower than the hardness values published in the literature for native forest E. nitens. Table 4 presents hardness results published in the literature for E. nitens.
Table 4.
Janka hardness comparison of E. nitens (it should be noted that due to the different adaptations of methodology and sample sizes, the values cannot be directly compared to each other).
Hardness of a timber species is positively related with density [30] and it is observed that plantation E. nitens has a wide variation in density. For instance, the density for fibre managed E. nitens in Derikvand, Kotlarewski [17] is reported to be 9.2% higher than the density of the same plantation resource (480.6 kg/m3) used in Derikvand, Kotlarewski [31].
Although generally considered to be in the moderate range of hardness when compared with the hardwoods commonly used for flooring in Australia, Tasmanian Oak consisting of E. obliqua is widely used in Australia for flooring. Similarly, the most common flooring timber used globally for flooring is Oak with moderate hardness (Quercus robur L. (European Oak)/Q. rubra (Red Oak). Although these hardwoods do not have very high hardness ratings, they have performed well in-service and are generally accepted as fit for purpose flooring species (Figure 10). In Australia, Hoop pine (Araucaria cunninghamii), a Queensland species is a softwood, yet some Hoop pine floors are 100 years old and people in older homes or replicas prefer using this species. Furthermore, the serviceability trial conducted parallel to this study observed that 19 mm thick sawlog managed E. nitens had performance levels comparable with E. obliqua, and high-density species such as E. pilularis (Blackbutt), and E. sieberi (Silvertop Ash) of the same thickness when monitored for one year. Since the trial was installed in extreme environmental conditions with exposure to sunlight in a glass atrium and medium traffic levels with majority of the people wearing sneaker shoes, indicated the feasibility of using E. nitens for domestic flooring applications.
Figure 10.
Comparing Janka hardness of studied species with commonly used flooring species. Source: Q. robur L. and Q. rubra Data from [32], A. cunninghamii, E. pilularis and and E. sieberi Data from [27].
The Janka hardness values obtained for engineered flooring prototypes consisting of 6 mm top layer of sawlog managed and fibre managed E. nitens were similar. The 1.2 mm sawlog veneer with E. nitens plywood as the substrate resulted in the highest Janka hardness value (6623 N) despite the same veneer on marine plywood resulted in the lowest value (2972 N). Janka hardness of densified E. nitens (6137 N) and prototype with E. nitens veneer on E. nitens plywood (6623 N), was higher than E. obliqua flooring (5512 N) and commercial Tasmanian Oak engineered flooring product (5323 N) used in the study. Balasso, Kutnar [21] treated samples of fibre managed E. nitens, and Tasmanian Oak under short-period thermo-hydro mechanical treatment and densified 8 mm thick samples to a final thickness of 5 mm. Adapted Brinell hardness test revealed E. nitens obtained the highest increment in hardness (+94%) over Tasmanian Oak and sawlog managed Pinus radiata used in the study. However, in the present study, the authors observed that the workability of the densified samples were not very acceptable since the samples were brittle and caused difficulties in installation at a serviceability trial. It should be noted that the densification conducted in the present study was only for the purpose of preliminary understanding of the behaviour of E. nitens and more research needs to be conducted to adapt a suitable technology for the purpose.
The performance requirements of timber engineered flooring slightly differ from solid flooring as the engineered flooring is prefinished with a multilayered structure [30,33]. This means that the density and hardness of the timber species as a factor to determine suitability is lessened in terms of engineered flooring due to its non-homogeneous structure. Moreover, when quoting the hardness of multilayer engineered flooring as discussed above, the value often quoted relates to the species on the surface and not on the overall composite. It should be noted that when the surface layer is thin, the resistance to indentation is governed by the core layer and not by the surface layer itself [2,34]. The results obtained for veneer top layers in this study agrees with this fact. For instance, the two veneer prototypes with 1.2 mm thick E. nitens top layer tested in this study gave different hardness values (prototype E: Janka hardness 2972, core layer density 495 kg/m3, prototype F: Janka hardness 6623, core layer density 765 kg/m3) governed by the density of the substrate. This is due to the steel ball used in the Janka hardness test penetrated the substrate (Figure 11).
Figure 11.
Cross sections of tested engineered flooring with red line showing the top layer boundary, ((a): veneer prototype with both top layer and substrate penetrated (b): indentation only observed in 6 mm thick top layer).
Similarly, Sepliarsky, Acuña [3] reports that dynamic hardness test results conducted on veneer floorings with a top layer of 0.6 mm thickness and high density fibreboard (HDF) backing exhibited performance levels comparable with solid timber flooring and traditional engineered flooring with a top layer thickness of 3 mm of the same species. However, it should be noted that although veneer products will give higher hardness values when combined with a high-density substrate, the product tends to have a limited technical lifespan. For instance, when considering the in-service behaviour, it is worth noting that veneer flooring with a top layer thickness of less than 0.7 mm might be only subjected to re-coating [3], unlike higher thicknesses of top layers which can be re-sanded and recoated to accommodate re-decoration, colour change or removal of indentations marks. Therefore, the use of Janka hardness value of the top layer which usually consist of a hard, dense species in marketing engineered flooring might not always be an accurate approach since the hardness of the flooring element depends on the thickness and composition of the multilayer structure.
5. Conclusions
There was a greater variability of hardness values in plantation E. nitens and regrowth E. obliqua when subjected to standard Janka hardness test. The hardness values obtained in the present study are lower than the values published in the literature for the species, indicating that the properties of plantation and regrowth forest timbers available in the current market are different to the available publications addressing the native forest resources. Some of the engineered flooring prototypes with E. nitens top layers tested in the study showed similar or higher Janka hardness values to two commonly used commercial flooring products used in Australia. The study also identified that Janka hardness is influenced by the substrate depending on the thicknesses of the multilayer structure and might not always replicate the in-service behaviour. This suggests that the standard marketing practice of using the hardness of the top layer of timber to predict the performance of engineered flooring panels might not always be accurate. The study further suggests that the relevance of Janka hardness in determining the service performance of a particular timber flooring product needs further evaluation and potentially subsequent tests to highlight other material properties that validate context specific applications. Other than hardness, such physical properties like abrasion resistance and dimensional stability could be used to validate the performance of flooring products. Therefore, educating the end users that hardness values are the most important timber property for flooring applications is questionable, and its variable relevancy on different end use applications is identified as a timely requirement to facilitate the introduction of new species to flooring markets. In terms of the Janka hardness results, it is shown that fast grown E. nitens has the potential to be used in a value-added engineered flooring application fit for domestic or light commercial purposes. The species could be a promising, sustainable alternative for the Australian flooring market in view of in-state manufacturing.
Author Contributions
Conceptualization, K.M.; methodology, K.M., N.K., A.T. and L.W.; formal analysis, K.M.; investigation, K.M.; writing—original draft preparation, K.M.; writing—review and editing, K.M., N.K, L.W., A.T. and G.N.; supervision, N.K., L.W., A.T. and G.N. All authors have read and agreed to the published version of the manuscript.
Funding
This research was supported by the National Institute for Forest Product Innovation (Grant number: NT015/NIF079: Developing a New Generation of Tasmanian Appearance Hardwood Products for In-State Design and Manufacturing).
Data Availability Statement
Data will be made available on request.
Acknowledgments
National Institute for Forest Product Innovation (NIFPI) is acknowledged for funding this research (Grant number: NT015/NIF079). Benoit Bellenville from University of Melbourn is acknowledged for conducting densification of timber samples and provision of insight. Britton Timbers, Neville Smith Forest Products and CUSP Building Solutions are acknowledged for providing timber materials and enabling to conduct prototype development. Authors are grateful for the support given by Launceston College for the in-service trial. Luke Dineen, Stuart Meldrum and Malcolm Liehr are acknowledged for the technical assistance.
Conflicts of Interest
The authors declare no conflict of interest.
References
- Costa, A.C.S.; Oliveira, A.C.; Pereira, B.L.; Silva, J.R.; Oliveira, M.B.; Xavier, C.N. Quality of Tropical Hardwood Floors. Rev. Árvore 2021, 45, e4503. [Google Scholar] [CrossRef]
- Grześkiewicz, M.; Kozakiewicz, P.; Borysiuk, P.; Romanovski, V.; Cichy, A. Influence of top layer density and thickness on hardness of two-layer floor elements. Drew. Pr. Nauk. Doniesienia Komun. 2020, 62, 69–80. [Google Scholar]
- Sepliarsky, F.; Acuña, L.; Balmori, J.A.; Martínez, R.D.; Spavento, E.; Keil, G.; Casado, M.; Martín-Ramos, P. Modeling of Falling Ball Impact Test Response on Solid, Veneer, and Traditional Engineered Wood Floorings of Several Hardwoods. Forests 2022, 13, 167. [Google Scholar] [CrossRef]
- Németh, R.; Molnárné Posch, P.; Molnár, S.; Bak, M. Performance evaluation of strip parquet flooring panels after long-term, in-service exposure. Drewno 2014, 57, 119–134. [Google Scholar]
- Acuña, L.; Sepliarsky, F.; Spavento, E.; Martínez, R.D.; Balmori, J.A. Modelling of impact falling ball test response on solid and engineered wood flooring of two Eucalyptus species. Forests 2020, 11, 933. [Google Scholar] [CrossRef]
- Castro, G.; Zanuttini, R. Multilaminar wood: Manufacturing process and main physical-mechanical properties. For. Prod. J. 2004, 54, 61–67. [Google Scholar]
- Bergman, R.D.; Bowe, S.A. Life cycle inventory of manufacturing prefinished engineered wood flooring in eastern US with comparison to solid strip wood flooring. Wood Fiber Sci. 2011, 43, 421–441. [Google Scholar]
- Hague, J. Utilisation of Plantation Eucalypts in Engineered Wood Products; Forest and Wood Products Australia: Melbourne, VIC, Australia, 2013. [Google Scholar]
- Kimberley, M. Wood properties of young Eucalyptus nitens, E. globulus, and, E. maidenii in Northland, New Zealand. New Zealand J. For. Sci. 2002, 32, 334–356. [Google Scholar]
- ATFA. Timber Flooring Hardness; Australian Timber Flooring Association: Shelly Beach, QLD, Australia, 2010. [Google Scholar]
- Vörös, Á.; Németh, R. The History of Wood Hardness Tests. In IOP Conference Series: Earth and Environmental Science; IOP Publishing: Bristol, UK, 2020; Volume 505, No. 1; p. 012020. [Google Scholar]
- EN 1534; Wood Flooring and Parquet—Determination of Resistance to Indentation—Test Method. European Committee for Standardisation: Brussels, Belgium, 2020.
- ASTM D. 143; Standard Test Methods for Small Clear Specimens of Timber. American Society for Testing and Materials (ASTM) International: Conshohocken, PA, USA, 2009.
- Bolza, E.; Kloot, N. The Mechanical Properties of 174 Australian Timbers; Division of Forest Products Technological Paper no. 25; CSIRO: Melbourne, Australia, 1963. [Google Scholar]
- Innes, I.; Armstrong, M.; Siemon, G. The Impact of Harvesting Age/Tree Size on Sawing, Drying and solid Wood Properties of Key Regrowth Eucalypt Species; Australian Government, Forest and Wood Products Research and Development Corporation: Victoria, Australia, 2005. [Google Scholar]
- Harwood, C. Sawn timber from native forests and plantations in Tasmania. Coop. Res. Cent. For. Bull. 2010, 13. Available online: https://webarchive.libraries.tas.gov.au/20120306075341/http://www.crcforestry.com.au/publications/downloads/Bulletin-13-Sawn-timber-properties.pdf (accessed on 10 August 2022).
- Derikvand, M.; Kotlarewski, N.; Lee, M.; Jiao, H.; Nolan, G. Characterisation of physical and mechanical properties of unthinned and unpruned plantation-grown Eucalyptus nitens, H. Deane & Maiden lumber. Forests 2019, 10, 194. [Google Scholar]
- Washusen, R.; Harwood, C.; Morrow, A.; Northway, R.; Valencia, J.C.; Volker, P.; Wood, M.; Farrell, R. Pruned plantation-grown Eucalyptus nitens: Effect of thinning and conventional processing practices on sawn board quality and recovery. New Zealand J. For. Sci. 2009, 39, 39–55. [Google Scholar]
- Nolan, G.B.; Greaves, B.L.; Washusen, R.; Parsons, M.; Jennings, S. Eucalypt Plantations for Solid Wood Products in Australia—A Review ‘If You Don’t Prune It, We Can’t Use It’. 2005. Available online: https://eprints.utas.edu.au/7045/ (accessed on 10 August 2022).
- Derikvand, M.; Nolan, G.; Jiao, H.; Kotlarewski, N. What to do with structurally low-grade wood from Australia’s plantation eucalyptus; building application? BioResources 2017, 12, 4–7. [Google Scholar] [CrossRef]
- Balasso, M.; Kutnar, A.; Niemelä, E.P.; Mikuljan, M.; Nolan, G.; Kotlarewski, N.; Hunt, M.; Jacobs, A.; O’Reilly-Wapstra, J. Wood properties characterisation of thermo-hydro mechanical treated plantation and native tasmanian timber species. Forests 2020, 11, 1189. [Google Scholar] [CrossRef]
- Kotlarewski, N.; Lee, M.; Schwartzkopf, M.; Pecnik, J.; Mikuljan, M. Thermo-Hydro-Mechanical Treatment of Australian Sawlog and Pulplog Hardwood Resources. In Proceedings of the InnoRenew CoE International Conference 2020: Integrating Sustainability and Health in Buildings through Renewable Materials, Izola, Slovenia, 9 June 2020; p. 16, ISSN 2784-6679. [Google Scholar]
- Tenorio, C.; Moya, R. Development of a thermo-hydro-mechanical device for wood densification adaptable to universal testing machines and its evaluation in a tropical species. J. Test. Eval. 2019, 49, 2597–2608. [Google Scholar] [CrossRef]
- Green, D.W.; Begel, M.; Nelson, W. Janka Hardness Using Nonstandard Specimens; US Department of Agriculture, Forest Service, Forest Product Laboratory: Madison, WI, USA, 2006; Research Note FPL-RN-0303; p. 13. [Google Scholar]
- AS/NZS 1080.1; Timber—Methods of Test—Moisture Content. Standards Australia: Sydney, Australia, 2012.
- AS/NZS 1080.3; Timber—Methods of test, Method 3: Density. Standards Australia: Sydney, Australia; Standards New Zealand: Wellington, New Zealand, 2000.
- WoodSolutions. 2022. Available online: www.woodsolutions.com.au (accessed on 10 August 2022).
- Underhill, I.D. The Development and Assessment of Engineered Wood Products Manufactured from Low Grade Eucalyptus Plantation Thinnings; Queensland College of Arts, Griffith University: Queensland, Australia, 2017. [Google Scholar]
- Innes, T. Processing and wood properties of four ages of Eucalyptus obliqua. Holz Als Roh-Und Werkst. 2007, 65, 197–200. [Google Scholar] [CrossRef]
- Sydor, M.; Pinkowski, G.; Kučerka, M.; Kminiak, R.; Antov, P.; Rogoziński, T. Indentation Hardness and Elastic Recovery of Some Hardwood Species. Appl. Sci. 2022, 12, 5049. [Google Scholar] [CrossRef]
- Derikvand, M.; Kotlarewski, N.; Lee, M.; Jiao, H.; Chan, A.; Nolan, G. Visual stress grading of fibre-managed plantation Eucalypt timber for structural building applications. Constr. Build. Mater. 2018, 167, 688–699. [Google Scholar] [CrossRef]
- Meier, E. The Wood Database. 2015. Available online: www.wood-database.com (accessed on 10 August 2022).
- Drerup, M.J.; Erdem, I.; Anthony, R.W. Trouble Underfoot—In Situ and Laboratory Investigation of Engineered Wood Flooring. In Proceedings of the Forensic Engineering 2012: Gateway to a Safer Tomorrow, San Francisco, CA, USA, 31 October–3 November 2012; pp. 621–630. [Google Scholar]
- ATFA. Engineered Flooring Industry Standards; Australian Timber Flooring Association: Shelly Beach, QLD, Australia, 2012. [Google Scholar]
Publisher’s Note: MDPI stays neutral with regard to jurisdictional claims in published maps and institutional affiliations. |
© 2022 by the authors. Licensee MDPI, Basel, Switzerland. This article is an open access article distributed under the terms and conditions of the Creative Commons Attribution (CC BY) license (https://creativecommons.org/licenses/by/4.0/).










