Investigations on the Response of Novel Layered Geopolymer Fibrous Concrete to Drop Weight Impact
Abstract
:1. Introduction
2. Materials and Methods
2.1. Raw Materials
- For the binder, Class F fly ash (FA) in compliance with ASTM C618-08 standards [31], provided by Neyveli Lignite Corporation, was used. GC was made using a mixture of silica fume (SF), GGBFS and FA, and the fabricated specimens were cured at room temperature throughout the process. GGBFS and CaO concentrations have been shown to speed up polymerization in previous research [32]. A dense matrix may also be formed by silica fumes that have a lower particle size by reacting more quickly with an alkaline solution [32]. The alkali solutions, GGBFS and SF were supplied by Astra Chemicals Chennai. Table 1 demonstrates the chemical properties of GGBFS, FS and SF. Figure 1 depicts the raw materials used in this study.
- River sand with a specific gravity of 2.65 and a fineness modulus of 2.41 was used as fine aggregate in accordance with the standards of IS 383 [33]. The particle size of the fine aggregate did not exceed 2.36 mm.
- Crushed granite gravel having a size of 12.5 was utilized as coarse aggregate in accordance with IS 383 [33]. The bulk density, specific gravity and water absorption of coarse aggregate were 1700 kg/m3, 2.69 and 0.56%, respectively.
- A superplasticizer (Tech Mix 550) was used with a dosage of 1.5% by cement weight to produce a workable GC.
- The pozzolanic binders were activated using a mixture of NaOH and Na2SiO3. When preparing an alkaline solution, pellets of sodium hydroxide were liquified in distilled water to the required molar content, and then sodium silicate was added to make an alkaline solution. One day before casting the specimens, the solution was made and stored. A Na2SiO3/NaOH ratio = 1.5 and molar content of 12 were employed in this study. These ratios were determined based on the several trials of the compressive strength test.
- Four different types of fibres were used: short polypropylene fibre (SPF), long polypropylene fibre (LPF), short steel fibre (SSF) and long steel fibre (LSF). The details of the fibres and their properties are demonstrated in Table 2. The appearance of the four different fibres is shown in Figure 2. The dosage of fibres was taken or calculated based on the volume of the concrete.
2.2. Mixing Combination and Specimen Preparation
2.3. Drop Weight Impact Testing Device
3. Discussion of Results
3.1. Compressive Strength of GFC
3.2. Impact Test Results
3.2.1. Influence of SPF on the Impact Strength of GFC
- The recorded A1 and A2 values for the SPF-F100 specimens were 22 and 68, respectively, and these values were 5.5 and 13.6 times higher than that of GC.
- For the SPF-75-F25 specimen, the recorded values were 12 and 50 for A1 and A2, respectively. However, 3.0- and 11.2-fold improvements were recorded for A1 and A2, respectively.
- The A1 and A2 values reported for the SPF-50-F50 specimens were 15 and 56, respectively, which were 3.75 and 11.2 times higher than the GC values.
- The A1 and A2 values for the SPF-25-F75 specimens were recorded as 18 and 61, respectively, and these values were 4.5 and 12.2 times higher than those for the GC specimens, respectively.
- SPF-F25-75 specimens had A1 and A2 values of 14 and 49, which were 3.5 and 9.8 times higher than those of GC.
- The recorded values for SPF-F50-50 specimens were 17 and 53 for A1 and A2, respectively. However, improvements of 4.25 and 10.6 times were seen for A1 and A2, respectively.
- For the SPF-F75-25 specimen, the values associated with A1 and A2 were 19 and 58, respectively, as recorded. A1 and A2 had the greatest gains, with increases of 4.75 and 11.6 times, respectively.
3.2.2. Influence of LPF on the Impact Strength of GFC
- The A1 and A2 values for the LPF-F100 specimens were recorded as 22 and 95, respectively, and these values were 5.5 and 19 times higher than those for the GC specimens, respectively.
- The recorded values for the LPF-75-F25 specimen were 20 and 78, which corresponded to the A1 and A2 subtypes, respectively. For A1 and A2, improvements of 5.0 and 15.6 times were seen, respectively.
- It was noted that the A1 and A2 values recorded for the LPF-50-F50 specimens were 26 and 86, respectively. This indicates a 3.75- and 11.2-fold increase compared to the GC values.
- The A1 and A2 values for the LPF-25-F75 specimens were 24 and 88, respectively, which were 6.0 and 17.6 times more than those of the GC specimens.
- The A1 and A2 values of LPF-F25-75 specimens were 22 and 69, respectively, which were 5.5 and 13.8 times more than those of GC.
- For LPF-F50-50 specimens, the measurement results for A1 and A2 were 21 and 74, respectively. However, A1 and A2 showed increases of 5.25 and 14.8 times, respectively.
- The values associated with A1 and A2 for the LPF-F75-25 specimen were 22 and 77, respectively, as recorded. The highest improvements were in A1 and A2, with increases of 5.5 and 15.4 times, respectively.
3.2.3. Influence of SSF on the Impact Strength of GFC
- For the SSF-F100 specimens, the A1 and A2 values were recorded as 30 and 106, respectively, and these values were 7.5 and 21.2 times higher than the corresponding values for the GC specimens.
- When the SSF-75-F25 specimen was tested, the recorded values were 20 and 72, belonging to A1 and A2 respectively. Improvements in A1 and A2 were around 5.0 and 14.4 times, respectively.
- A1 and A2 values recorded for the SSF-50-F50 specimens were 23 and 85, respectively, according to the test results, which were 5.75 and 17 times higher than the GC values, respectively.
- In the case of the SSF-25-F75 specimens, the A1 and A2 values were 24 and 92, respectively, which were 6.0 and 18.4 times higher than those of the GC specimens.
- SSF-F25-75 specimens had A1 and A2 values of 22 and 71, respectively, which were 5.5 and 14.2 times more than those of GC.
- Results for A1 and A2 were 24 and 81, respectively for SSF-F50-50 specimens. Increases of 6.0 and 16.2 times were seen in A1 and A2, respectively.
- The values associated with A1 and A2 for the SSF-F75-25 specimen were 26 and 90, respectively, as recorded. The highest improvements were in A1 and A2, with increases of 6.5 and 18 times, respectively.
3.2.4. Influence of LSF on the Impact Strength of LGFC
- The recorded A1 and A2 values for the LSF-F100 specimens were 72 and 278, respectively, and these values were 18 and 55.6 times higher than those of GC.
- The recorded values for the LSF-75-F25 specimen were 44 and 156, which corresponded to the A1 and A2 subtypes, respectively. For A1 and A2, improvements of 11.0 and 31.2 times were seen, respectively.
- A1 and A2 values recorded for the LSF-50-F50 specimens were 49 and 205, respectively, according to the test results, which were 12.25 and 41 times higher than the GC values, respectively.
- The A1 and A2 values for the LSF-25-F75 specimens were recorded as 66 and 238, respectively, and these values were 16.5 and 47.6 times higher than those for the GC specimens, respectively.
- The A1 and A2 values of LSF-F25-75 specimens were 49 and 152, respectively, which were 12.25 and 30.40 times more than those of GC.
- Results for A1 and A2 were 53 and 188, respectively, for LSF-F50-50 specimens. Increases of 13.25 and 37.6 times were seen in A1 and A2, respectively.
- For the LSF-F75-25 specimen, the values associated with A1 and A2 were 56 and 224, respectively, as recorded. A1 and A2 had the greatest gains, with increases of 14.0 and 44.8 times, respectively.
3.2.5. Impact Ductility Index
3.2.6. Failure Pattern
3.2.7. Scanning Electron Microscope
4. Conclusions
- The highest compressive strength improvements observed were 73.88, 50.15, 35.82 and 14.5% for the LSF, SSF, LPF and SPF based on single-layered specimens, respectively. Comparing the performance of the four different fibres, LSF exhibited a significant improvement in strength. However, the layered specimens also influenced the positive impact on compressive strength, particularly for LSF, followed by SSF, LPF and SPF.
- For single-layered concrete, the highest impact energy was exhibited by the LSF-F100 specimen, followed by SSF-F100, LPF-F100 and SPF-F100 specimens. Compared to the GC specimen, the A1 values were improved by 55.6, 21.2, 19 and 13.6%, respectively. The higher impact strength is due to LSF with hooked ends, which provides stronger adhesion to the matrix and allows for higher stress transfer between the LSF and the surrounding matrix. For the two-layered specimens, when the depth of the fibrous layer at the bottom was increased from 25 to 75%, the impact strength was significantly improved for all four types of fibres. However, the performance of two-layered specimens was significantly lower compared to a single-layered specimen. Additionally, the contribution of LSF in increasing impact strength was greater than that in the other three types of fibres.
- Altering the depth in the fibrous layer of the specimens from 25 to 75% resulted in moderate impact strength, which occurred for fibrous specimen having a depth of close to 100%. In this regard, the cost of fibres can be minimized by providing two layers with GC and GFC, without compromising the strength to the maximum extent. Hence, two-layer concrete can be implemented in practice based on the design requirements, and provides improved ductility.
- The failure that occurred was brittle in the GC specimens, in which the specimens were broken into three parts, whereas all fibrous specimens reflected a ductile nature. This failure pattern was similar in both single- and double-layered composites, irrespective of the fibre type. Adding fibres to GC can change the single main cracks into multiple radial cracks, which have a positive impact on fibrous concrete.
Author Contributions
Funding
Institutional Review Board Statement
Informed Consent Statement
Data Availability Statement
Acknowledgments
Conflicts of Interest
References
- Nikbakht, E.; Wong Weng Lok, J.; Teo, W. Structural behaviour of novel composite beams consisting of geopolymer concrete and high-performance concrete. Structures 2021, 32, 106–115. [Google Scholar] [CrossRef]
- Wang, L.; Zeng, X.; Yang, H.; Lv, X.; Guo, F.; Shi, Y.; Hanif, A. Investigation and Application of Fractal Theory in Cement-Based Materials: A Review. Fractal Fract. 2021, 5, 247. [Google Scholar] [CrossRef]
- Wang, L.; Luo, R.; Zhang, W.; Jin, M.; Tang, S. Effects of fineness and content of phosphorus slag on cement hydration, permeability, pore structure and fractal dimension of concrete. Fractals 2021, 29, 2140004. [Google Scholar] [CrossRef]
- Wang, L.; Jin, M.; Guo, F.; Wang, Y.A.N.; Tang, S. Pore structural and fractal analysis of the influence of fly ash and silica fume on the mechanical property and abrasion resistance of concrete. Fractals 2021, 29, 2140003. [Google Scholar] [CrossRef]
- Nazari, A.; Sanjayan, J.G. Handbook of Low Carbon Concrete; Butterworth-Heinemann: Oxford, UK, 2016; ISBN 9780128045404. [Google Scholar]
- Khale, D.; Chaudhary, R. Mechanism of geopolymerization and factors influencing its development: A review. J. Mater. Sci. 2007, 42, 729–746. [Google Scholar] [CrossRef]
- Hassan, A.; Arif, M.; Shariq, M. Use of geopolymer concrete for a cleaner and sustainable environment—A review of mechanical properties and microstructure. J. Clean. Prod. 2019, 223, 704–728. [Google Scholar] [CrossRef]
- Hassan, A.; Arif, M.; Shariq, M. A review of properties and behaviour of reinforced geopolymer concrete structural elements- A clean technology option for sustainable development. J. Clean. Prod. 2020, 245, 118762. [Google Scholar] [CrossRef]
- Ferdous, W.; Manalo, A.; Khennane, A.; Kayali, O. Geopolymer concrete-filled pultruded composite beams—Concrete mix design and application. Cem. Concr. Compos. 2015, 58, 1–13. [Google Scholar] [CrossRef]
- Albitar, M.; Mohamed Ali, M.S.; Visintin, P. Experimental study on fly ash and lead smelter slag-based geopolymer concrete columns. Constr. Build. Mater. 2017, 141, 104–112. [Google Scholar] [CrossRef]
- Santhakumar, A.; Ganesan, N.; Indira, P.V. Bond behaviour of reinforcing bars embedded in steel fibre reinforced geopolymer concrete. Mag. Concr. Res. 2015, 67, 9–16. [Google Scholar]
- Abid, S.R.; Murali, G.; Amran, M.; Vatin, N.; Fediuk, R.; Karelina, M. Evaluation of mode II fracture toughness of hybrid fibrous geopolymer composites. Materials 2021, 14, 349. [Google Scholar] [CrossRef]
- Ranjbar, N.; Zhang, M. Fiber-reinforced geopolymer composites: A review. Cem. Concr. Compos. 2020, 107, 103498. [Google Scholar] [CrossRef]
- Noushini, A.; Hastings, M.; Castel, A.; Aslani, F. Mechanical and flexural performance of synthetic fibre reinforced geopolymer concrete. Constr. Build. Mater. 2018, 186, 454–475. [Google Scholar] [CrossRef]
- Khan, M.Z.N.; Hao, Y.; Hao, H.; Shaikh, F.u.A. Mechanical properties and behaviour of high-strength plain and hybrid-fiber reinforced geopolymer composites under dynamic splitting tension. Cem. Concr. Compos. 2019, 104, 103343. [Google Scholar] [CrossRef]
- Payakaniti, P.; Pinitsoontorn, S.; Thongbai, P.; Amornkitbamrung, V.; Chindaprasirt, P. Electrical conductivity and compressive strength of carbon fiber reinforced fly ash geopolymeric composites. Constr. Build. Mater. 2017, 135, 164–176. [Google Scholar] [CrossRef]
- Rovnaník, P.; Šimonová, H.; Topolář, L.; Bayer, P.; Schmid, P.; Keršner, Z. Carbon nanotube reinforced alkali-activated slag mortars. Constr. Build. Mater. 2016, 119, 223–229. [Google Scholar] [CrossRef]
- Ranjbar, N.; Mehrali, M.; Mehrali, M.; Alengaram, U.J.; Jumaat, M.Z. Graphene nanoplatelet-fly ash based geopolymer composites. Cem. Concr. Res. 2015, 76, 222–231. [Google Scholar] [CrossRef]
- Sukontasukkul, P.; Pongsopha, P.; Chindaprasirt, P.; Songpiriyakij, S. Flexural performance and toughness of hybrid steel and polypropylene fibre reinforced geopolymer. Constr. Build. Mater. 2018, 161, 37–44. [Google Scholar] [CrossRef]
- Mohseni, E.; Kazemi, M.J.; Koushkbaghi, M.; Zehtab, B.; Behforouz, B. Evaluation of mechanical and durability properties of fiber-reinforced lightweight geopolymer composites based on rice husk ash and nano-alumina. Constr. Build. Mater. 2019, 209, 532–540. [Google Scholar] [CrossRef]
- Shaikh, F.U.A. Deflection hardening behaviour of short fibre reinforced fly ash based geopolymer composites. Mater. Des. 2013, 50, 674–682. [Google Scholar] [CrossRef] [Green Version]
- Ganesan, N.; Indira, P.V.; Santhakumar, A. Engineering properties of steel fibre reinforced geopolymer concrete. Adv. Concr. Constr. 2013, 1, 305–318. [Google Scholar] [CrossRef] [Green Version]
- Patil, S.S.; Patil, A.A. Properties of Polypropylene Fiber Reinforced Geopolymer Concrete. Int. J. Curr. Eng. Technol. 2015, 5, 2909–2912. [Google Scholar]
- Li, W.; Xu, J. Impact characterization of basalt fiber reinforced geopolymeric concrete using a 100-mm-diameter split Hopkinson pressure bar. Mater. Sci. Eng. A 2009, 513–514, 145–153. [Google Scholar] [CrossRef]
- Jacob, M.; Bharatkumar, B.H.; Rajendran, M.G. Studies on the Impact Behaviour of Fiber Reinforced Geopolymer Concrete. Int. J. Adv. Technol. Eng. Sci. 2015, 3, 376–386. [Google Scholar]
- Puertas, F.; Amat, T.; Vázquez, T. Behaviour of alkaline cement mortars reinforced with acrylic and polypropylene fibres. Mater. Constr. 2000, 2000, 69–84. [Google Scholar] [CrossRef] [Green Version]
- Ulzurrun, G.S.D.; Zanuy, C. Enhancement of impact performance of reinforced concrete beams without stirrups by adding steel fibers. Constr. Build. Mater. 2017, 145, 166–182. [Google Scholar] [CrossRef]
- Asrani, N.P.; Murali, G.; Parthiban, K.; Surya, K.; Prakash, A.; Rathika, K.; Chandru, U. A feasibility of enhancing the impact resistance of hybrid fibrous geopolymer composites: Experiments and modelling. Constr. Build. Mater. 2019, 203, 56–68. [Google Scholar] [CrossRef]
- Cao, Y.Y.Y.; Liu, G.; Brouwers, H.J.H.; Yu, Q. Enhancing the low-velocity impact resistance of ultra-high performance concrete by an optimized layered-structure concept. Compos. Part B Eng. 2020, 200, 108221. [Google Scholar] [CrossRef]
- Prasad, N.; Murali, G.; Abid, S.R.; Vatin, N.; Fediuk, R.; Amran, M. Effect of Needle Type, Number of Layers on FPAFC Composite against Low-Velocity Projectile Impact. Buildings 2021, 11, 668. [Google Scholar] [CrossRef]
- ASTM C618-08; Standard Specification for Coal Fly Ash and Raw or Calcined Natural Pozzolan for Use in Concrete. American Society for Testing and Materials: West Conshohocken, PA, USA, 2008.
- Karthik, S.; Mohan, K.S.R. A taguchi approach for optimizing design mixture of geopolymer concrete incorporating fly ash, ground granulated blast furnace slag and silica fume. Crystals 2021, 11, 1279. [Google Scholar] [CrossRef]
- IS 383; Coarse and Fine Aggregate for Concrete Specification. Bureau of Indian Standards: New Delhi, India, 2016. Available online: https://archive.org/details/gov.in.is.383.2016/page/n1/mode/2up (accessed on 27 December 2021).
- Ahmad, S.H.; Arockiasamy, M.; Balaguru, P.N.; Ball, C.G.; Ball, H.P., Jr.; Batson, G.B.; Bentur, A.; Craig, R.J.; Criswell, M.E.; Freedman, S.; et al. Measurement of Properties of Fiber Reinforced Concrete; ACI 544-2R; American Concrete Institute: Indianapolis, IN, USA, 1999. [Google Scholar]
- ASTM C39/C39M-21; Standard Test Method for Compressive Strength of Cylindrical Concrete Specimens. ASTM International: West Conshohocken, PA, USA, 2004.
- Karimipour, A.; de Brito, J. Influence of polypropylene fibres and silica fume on the mechanical and fracture properties of ultra-high-performance geopolymer concrete. Constr. Build. Mater. 2021, 283, 122753. [Google Scholar] [CrossRef]
- Yoo, D.Y.; Kim, S.; Park, G.J.; Park, J.J.; Kim, S.W. Effects of fiber shape, aspect ratio, and volume fraction on flexural behavior of ultra-high-performance fiber-reinforced cement composites. Compos. Struct. 2017, 174, 375–388. [Google Scholar] [CrossRef]
- Rithanyaa, R.; Murali, G.; Salaimanimagudam, M.P.; Fediuk, R.; Abdelgader, H.S.; Siva, A. Impact response of novel layered two stage fibrous composite slabs with different support type. Structures 2021, 29, 1–13. [Google Scholar] [CrossRef]
- Liu, Y.; Zhang, Z.; Shi, C.; Zhu, D.; Li, N.; Deng, Y. Development of ultra-high performance geopolymer concrete (UHPGC): Influence of steel fiber on mechanical properties. Cem. Concr. Compos. 2020, 112, 103670. [Google Scholar] [CrossRef]
- Murali, G.; Asrani, N.P.; Ramkumar, V.R.; Siva, A.; Haridharan, M.K. Impact Resistance and Strength Reliability of Novel Two-Stage Fibre-Reinforced Concrete. Arab. J. Sci. Eng. 2019, 44, 4477–4490. [Google Scholar] [CrossRef]
- Afroughsabet, V.; Ozbakkaloglu, T. Mechanical and durability properties of high-strength concrete containing steel and polypropylene fibers. Constr. Build. Mater. 2015, 94, 73–82. [Google Scholar] [CrossRef]
- Ramakrishnan, K.; Depak, S.R.; Hariharan, K.R.; Abid, S.R.; Murali, G.; Cecchin, D.; Fediuk, R.; Mugahed Amran, Y.H.; Abdelgader, H.S.; Khatib, J.M. Standard and modified falling mass impact tests on preplaced aggregate fibrous concrete and slurry infiltrated fibrous concrete. Constr. Build. Mater. 2021, 298, 123857. [Google Scholar] [CrossRef]
- Ramkumar, V.R.; Murali, G.; Asrani, N.P.; Karthikeyan, K. Development of a novel low carbon cementitious two stage layered fibrous concrete with superior impact strength. J. Build. Eng. 2019, 25, 100841. [Google Scholar] [CrossRef]
- Asrani, N.P.; Murali, G.; Abdelgader, H.S.; Parthiban, K.; Haridharan, M.K.; Karthikeyan, K. Investigation on Mode I Fracture Behavior of Hybrid Fiber-Reinforced Geopolymer Composites. Arab. J. Sci. Eng. 2019, 44, 8545–8555. [Google Scholar] [CrossRef]
- Niş, A.; Özyurt, N.; Özturan, T. Variation of Flexural Performance Parameters Depending on Specimen Size and Fiber Properties. J. Mater. Civ. Eng. 2020, 32, 4020054. [Google Scholar] [CrossRef]
- Murali, G.; Fediuk, R. A Taguchi approach for study on impact response of ultra-high-performance polypropylene fibrous cementitious composite. J. Build. Eng. 2020, 30, 101301. [Google Scholar] [CrossRef]
- Abid, S.R.; Gunasekaran, M.; Ali, S.H.; Kadhum, A.L.; Al-Gasham, T.S.; Fediuk, R.; Vatin, N.; Karelina, M. Impact performance of steel fiber-reinforced self-compacting concrete against repeated drop weight impact. Crystals 2021, 11, 91. [Google Scholar] [CrossRef]
- Abirami, T.; Murali, G.; Saravana Raja Mohan, K.; Salaimanimagudam, M.P.; Nagaveni, P.; Bhargavi, P. Multi-layered two stage fibrous composites against low-velocity falling mass and projectile impact. Constr. Build. Mater. 2020, 248, 118631. [Google Scholar] [CrossRef]
- Manohar, T.; Suribabu, C.R.; Murali, G.; Salaimanimagudam, M.P. A novel steel-PAFRC composite fender for bridge pier protection under low velocity vessel impacts. Structures 2020, 26, 765–777. [Google Scholar] [CrossRef]
- Haridharan, M.K.; Matheswaran, S.; Murali, G.; Abid, S.R.; Fediuk, R.; Mugahed Amran, Y.H.; Abdelgader, H.S. Impact response of two-layered grouted aggregate fibrous concrete composite under falling mass impact. Constr. Build. Mater. 2020, 263, 120628. [Google Scholar] [CrossRef]
- Niş, A.; Eren, N.A.; Çevik, A. Effects of nanosilica and steel fibers on the impact resistance of slag based self-compacting alkali-activated concrete. Ceram. Int. 2021, 47, 23905–23918. [Google Scholar] [CrossRef]
- Murali, G.; Ramprasad, K. A feasibility of enhancing the impact strength of novel layered two stage fibrous concrete slabs. Eng. Struct. 2018, 175, 41–49. [Google Scholar] [CrossRef]
- Abirami, T.; Loganaganandan, M.; Murali, G.; Fediuk, R.; Vickhram Sreekrishna, R.; Vignesh, T.; Januppriya, G.; Karthikeyan, K. Experimental research on impact response of novel steel fibrous concretes under falling mass impact. Constr. Build. Mater. 2019, 222, 447–457. [Google Scholar] [CrossRef]
- Salaimanimagudam, M.P.; Suribabu, C.R.; Murali, G.; Abid, S.R. Impact response of hammerhead pier fibrous concrete beams designed with topology optimization. Period. Polytech. Civ. Eng. 2020, 64, 1244–1258. [Google Scholar] [CrossRef]
- Rezakhani, R.; Scott, D.A.; Bousikhane, F.; Pathirage, M.; Moser, R.D.; Green, B.H.; Cusatis, G. Influence of steel fiber size, shape, and strength on the quasi-static properties of ultra-high performance concrete: Experimental investigation and numerical modeling. Constr. Build. Mater. 2021, 296, 123532. [Google Scholar] [CrossRef]
- Aliabdo, A.A.; Abd Elmoaty, A.E.M.; Salem, H.A. Effect of water addition, plasticizer and alkaline solution constitution on fly ash based geopolymer concrete performance. Constr. Build. Mater. 2016, 121, 694–703. [Google Scholar] [CrossRef]
- Mehta, A.; Siddique, R.; Ozbakkaloglu, T.; Uddin Ahmed Shaikh, F.; Belarbi, R. Fly ash and ground granulated blast furnace slag-based alkali-activated concrete: Mechanical, transport and microstructural properties. Constr. Build. Mater. 2020, 257, 119548. [Google Scholar] [CrossRef]
- Chen, X.Y.; Ding, Y.N.; Azevedo, C. Combined effect of steel fibres and steel rebars on impact resistance of high performance concrete. J. Cent. South Univ. Technol. 2011, 18, 1677–1684. [Google Scholar] [CrossRef] [Green Version]
- Alwesabi, E.A.; Abu Bakar, B.H.; Alshaikh, I.M.H.; Akil, H.M. Impact resistance of plain and rubberized concrete containing steel and polypropylene hybrid fiber. Mater. Today Commun. 2020, 25, 101640. [Google Scholar] [CrossRef]
- Nili, M.; Afroughsabet, V. Combined effect of silica fume and steel fibers on the impact resistance and mechanical properties of concrete. Int. J. Impact Eng. 2010, 37, 879–886. [Google Scholar] [CrossRef] [Green Version]
- Mohammadhosseini, H.; Tahir, M.M.; Sam, A.R.M. The feasibility of improving impact resistance and strength properties of sustainable concrete composites by adding waste metalized plastic fibres. Constr. Build. Mater. 2018, 169, 223–236. [Google Scholar] [CrossRef]
- Loganaganandan, M.; Murali, G.; Salaimanimagudam, M.P.; Haridharan, M.K.; Karthikeyan, K. Experimental Study on GFRP Strips Strengthened New Two Stage Concrete Slabs under Falling Mass Collisions. KSCE J. Civ. Eng. 2020, 25, 235–244. [Google Scholar] [CrossRef]
- Murali, G.; Amran, M.; Fediuk, R.; Vatin, N.; Raman, S.N.; Maithreyi, G.; Sumathi, A. Structural behavior of fibrous-ferrocement panel subjected to flexural and impact loads. Materials 2020, 13, 5648. [Google Scholar] [CrossRef]
- Jabir, H.A.; Abid, S.R.; Murali, G.; Ali, S.H.; Klyuev, S.; Fediuk, R.; Vatin, N.; Promakhov, V.; Vasilev, Y. Experimental tests and reliability analysis of the cracking impact resistance of uhpfrc. Fibers 2020, 8, 74. [Google Scholar] [CrossRef]
- Amran, M.; Fediuk, R.; Abdelgader, H.S.; Murali, G.; Ozbakkaloglu, T.; Lee, Y.H.; Lee, Y.Y. Fiber-reinforced alkali-activated concrete: A review. J. Build. Eng. 2022, 45, 103638. [Google Scholar] [CrossRef]
- Prasad, N.; Murali, G.; Vatin, N. Modified falling mass impact test performance on functionally graded two stage aggregate fibrous concrete. Materials 2021, 14, 5833. [Google Scholar] [CrossRef] [PubMed]
- Murali, G.; Abid, S.R.; Amran, M.; Fediuk, R.; Vatin, N.; Karelina, M. Combined effect of multi-walled carbon nanotubes, steel fibre and glass fibre mesh on novel two-stage expanded clay aggregate concrete against impact loading. Crystals 2021, 11, 720. [Google Scholar] [CrossRef]
- Murali, G.; Abid, S.R.; Abdelgader, H.S.; Amran, Y.H.M.; Shekarchi, M.; Wilde, K. Repeated Projectile Impact Tests on Multi-Layered Fibrous Cementitious Composites. Int. J. Civ. Eng. 2021, 19, 635–651. [Google Scholar] [CrossRef]
- Murali, G.; Abid, S.R.; Karthikeyan, K.; Haridharan, M.K.; Amran, M.; Siva, A. Low-velocity impact response of novel prepacked expanded clay aggregate fibrous concrete produced with carbon nano tube, glass fiber mesh and steel fiber. Constr. Build. Mater. 2021, 284, 122749. [Google Scholar] [CrossRef]














| Oxide | SF | GGBFS | Class F FA |
|---|---|---|---|
| (TiO2) | - | - | 0.1 |
| (Na2O) | - | - | 0.2 |
| (K2O) | - | - | 1.6 |
| (MgO) | 0.6 | 8.9 | 5.9 |
| (CaO) | - | 34.62 | 6.4 |
| (Fe2O3) | 0.3 | 1 | 12 |
| (Al2O3) | 0.6 | 17.2 | 27 |
| (SiO2) | 92.8 | 36.7 | 51 |
| Fibre Type | Length (mm) | Diameter (mm) | Tensile Strength (MPa) | Dosage (%) |
|---|---|---|---|---|
| Short polypropylene fibre (SPF) | 13 | 0.01 | 360 | 1.5 |
| Long polypropylene fibre (LPF) | 45 | 0.8 | 500 | 1.5 |
| Short steel fibre (SSF) | 30 | 0.5 | 1200 | 1.5 |
| Long steel fibre (LSF) | 50 | 1 | 1150 | 1.5 |
| S. No. | Mixture Id | FA (kg/m3) | GGBFS (kg/m3) | SF (kg/m3) | Na2SiO3 | NaOH | Layers | Fibre Type | |
|---|---|---|---|---|---|---|---|---|---|
| Top | Bottom | ||||||||
| 1 | GC | 183.6 | 183.6 | 40.8 | 101.39 | 69.93 | 100% GC | - | |
| 2 | SPF-F100 | 100% GFC | SPF | ||||||
| 3 | SPF-75-F25 | 75% GC | 25% GFC | SPF | |||||
| 4 | SPF-50-F50 | 50% GC | 50% GFC | SPF | |||||
| 5 | SPF-25-F75 | 25% GC | 75% GFC | SPF | |||||
| 6 | SPF-F25-75 | 25% GFC | 75% GC | SPF | |||||
| 7 | SPF-F50-50 | 50% GFC | 50% GC | SPF | |||||
| 8 | SPF-F75-25 | 75% GFC | 25% GC | SPF | |||||
| 9 | LPF-F100 | 100% GFC | LPF | ||||||
| 10 | LPF-75-F25 | 75% GC | 25% GFC | LPF | |||||
| 11 | LPF-50-F50 | 50% GC | 50% GFC | LPF | |||||
| 12 | LPF-25-F75 | 25% GC | 75% GFC | LPF | |||||
| 13 | LPF-F25-75 | 25% GFC | 75% GC | LPF | |||||
| 14 | LPF-F50-50 | 50% GFC | 50% GC | LPF | |||||
| 15 | LPF-F75-25 | 75% GFC | 25% GC | LPF | |||||
| 16 | SSF-F100 | 100% GFC | SSF | ||||||
| 17 | SSF-75-F25 | 75% GC | 25% GFC | SSF | |||||
| 18 | SSF-50-F50 | 50% GC | 50% GFC | SSF | |||||
| 19 | SSF-25-F75 | 25% GC | 75% GFC | SSF | |||||
| 20 | SSF-F25-75 | 25% GFC | 75% GC | SSF | |||||
| 21 | SSF-F50-50 | 50% GFC | 50% GC | SSF | |||||
| 22 | SSF-F75-25 | 75% GFC | 25% GC | SSF | |||||
| 23 | LSF-F100 | 100% GFC | LSF | ||||||
| 24 | LSF-75-F25 | 75% GC | 25% GFC | LSF | |||||
| 25 | LSF-50-F50 | 50% GC | 50% GFC | LSF | |||||
| 26 | LSF-25-F75 | 25% GC | 75% GFC | LSF | |||||
| 27 | LSF-F25-75 | 25% GFC | 75% GC | LSF | |||||
| 28 | LSF-F50-50 | 50% GFC | 50% GC | LSF | |||||
| 29 | LSF-F75-25 | 75% GFC | 25% GC | LSF | |||||
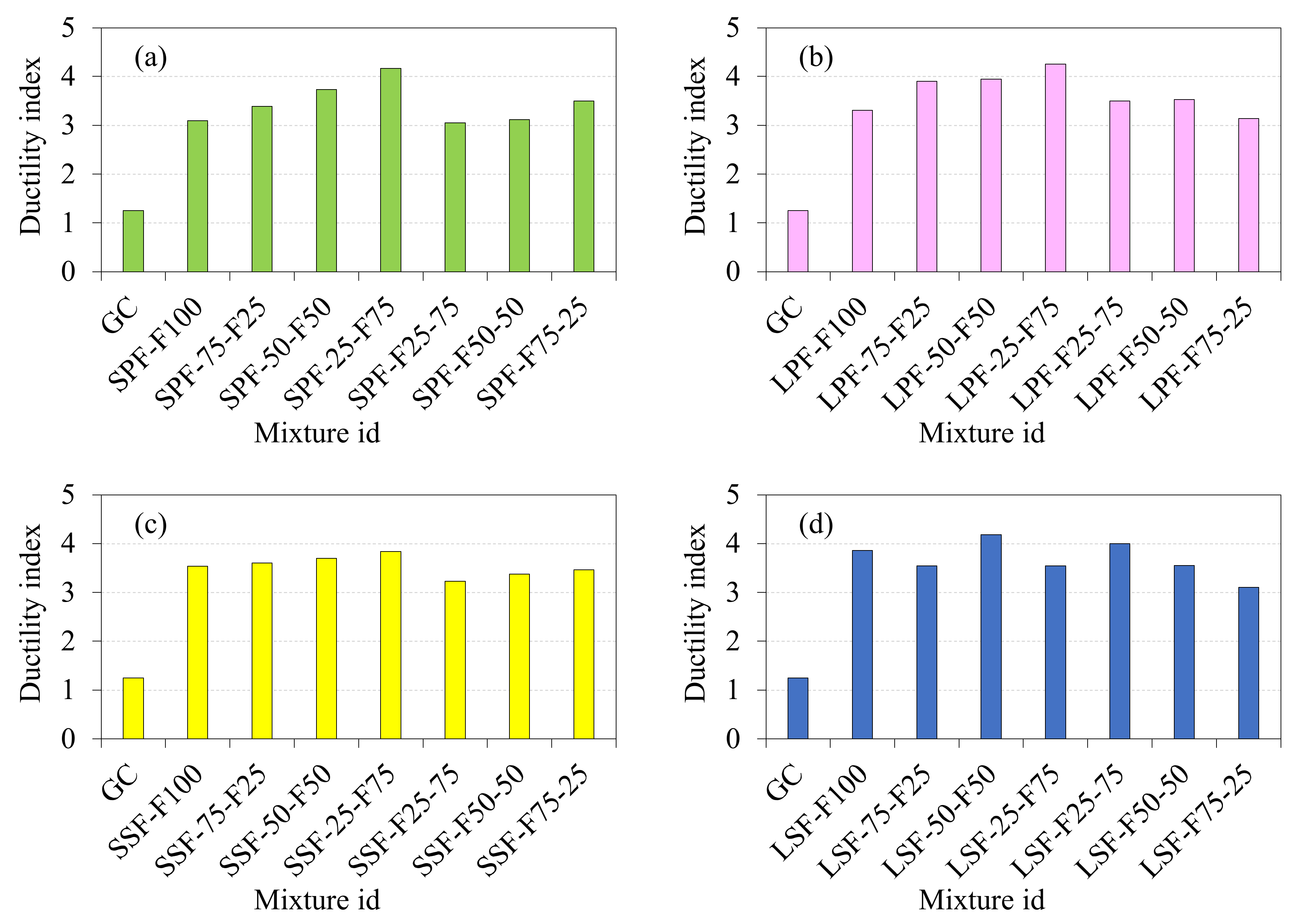
| S. No | Mix ID | Number of Hits | Ductility Index (A2/A1) | |
|---|---|---|---|---|
| A1 | A2 | |||
| 1 | GC | 4 | 5 | 1.25 |
| 2 | SPF-F100 | 22 | 68 | 3.09 |
| 3 | SPF-75-F25 | 12 | 50 | 4.17 |
| 4 | SPF-50-F50 | 15 | 56 | 3.73 |
| 5 | SPF-25-F75 | 18 | 61 | 3.39 |
| 6 | SPF-F25-75 | 14 | 49 | 3.50 |
| 7 | SPF-F50-50 | 17 | 53 | 3.12 |
| 8 | SPF-F75-25 | 19 | 58 | 3.05 |
| 9 | LPF-F100 | 22 | 95 | 4.32 |
| 10 | LPF-75-F25 | 20 | 78 | 3.90 |
| 11 | LPF-50-F50 | 26 | 86 | 3.31 |
| 12 | LPF-25-F75 | 24 | 88 | 3.67 |
| 13 | LPF-F25-75 | 22 | 69 | 3.14 |
| 14 | LPF-F50-50 | 21 | 74 | 3.52 |
| 15 | LPF-F75-25 | 22 | 77 | 3.50 |
| 16 | SSF-F100 | 30 | 106 | 3.53 |
| 17 | SSF-75-F25 | 20 | 72 | 3.60 |
| 18 | SSF-50-F50 | 23 | 85 | 3.70 |
| 19 | SSF-25-F75 | 24 | 92 | 3.83 |
| 20 | SSF-F25-75 | 22 | 71 | 3.23 |
| 21 | SSF-F50-50 | 24 | 81 | 3.38 |
| 22 | SSF-F75-25 | 26 | 90 | 3.46 |
| 23 | LSF-F100 | 72 | 278 | 3.86 |
| 24 | LSF-75-F25 | 44 | 156 | 3.55 |
| 25 | LSF-50-F50 | 49 | 205 | 4.18 |
| 26 | LSF-25-F75 | 66 | 238 | 3.61 |
| 27 | LSF-F25-75 | 49 | 152 | 3.10 |
| 28 | LSF-F50-50 | 53 | 188 | 3.55 |
| 29 | LSF-F75-25 | 56 | 224 | 4.00 |
| Reference | Type of Concrete | Type of Fibre | Dosage of Fibre (%) | Compressive Strength (MPa) | A1 | A2 |
|---|---|---|---|---|---|---|
| [58] | PC | - | - | 67.3 | 15 | 15 |
| [59] | PC | - | - | 38.5 | 3 | 5 |
| [60] | PC, FRC | SF | 1.0 | 47, 55 | 35, 344 | 38, 459 |
| [61] | FRC | WMP | 1.25 | 34 | 105 | 131 |
| [28] | GC, GFC | SF | 1.6 | 62, 84 | 6, 25 | 14, 101 |
| This study | GC, GFC | SF | 1.5 | 41, 62 | 4, 72 | 5, 278 |
Publisher’s Note: MDPI stays neutral with regard to jurisdictional claims in published maps and institutional affiliations. |
© 2022 by the authors. Licensee MDPI, Basel, Switzerland. This article is an open access article distributed under the terms and conditions of the Creative Commons Attribution (CC BY) license (https://creativecommons.org/licenses/by/4.0/).
Share and Cite
Karthik, S.; Mohan, K.S.R.; Murali, G. Investigations on the Response of Novel Layered Geopolymer Fibrous Concrete to Drop Weight Impact. Buildings 2022, 12, 100. https://doi.org/10.3390/buildings12020100
Karthik S, Mohan KSR, Murali G. Investigations on the Response of Novel Layered Geopolymer Fibrous Concrete to Drop Weight Impact. Buildings. 2022; 12(2):100. https://doi.org/10.3390/buildings12020100
Chicago/Turabian StyleKarthik, Sundaravadivelu, Kaliyaperumal Saravana Raja Mohan, and Gunasekaran Murali. 2022. "Investigations on the Response of Novel Layered Geopolymer Fibrous Concrete to Drop Weight Impact" Buildings 12, no. 2: 100. https://doi.org/10.3390/buildings12020100
APA StyleKarthik, S., Mohan, K. S. R., & Murali, G. (2022). Investigations on the Response of Novel Layered Geopolymer Fibrous Concrete to Drop Weight Impact. Buildings, 12(2), 100. https://doi.org/10.3390/buildings12020100

