Preparation of Magnesium Ammonium Phosphate Mortar by Manufactured Limestone Sand Using Compound Defoaming Agents for Improved Strength and Impermeability
Abstract
:1. Introduction
2. Material and Methods
2.1. Material
2.1.1. Magnesium Ammonium Phosphate Cement (MAPC)
2.1.2. Fine Aggregates
2.1.3. Defoaming Admixtures
2.2. Preparation Methods of MAPC Mortar
2.3. Properties of MAPC Mortar with Limestone Sand
2.3.1. Flowability and Setting Time
2.3.2. Volume Stability
2.3.3. Compressive Strength
2.3.4. Interfacial Bonding Strength
2.3.5. Water-Tight Performance
2.3.6. Resistance to Chloride Ion Penetration
2.3.7. Microstructure Analysis
3. Results and Discussion
3.1. Effects of Limestone Fines on MAPC Mortar
3.1.1. Volume Stability
3.1.2. Mechanical Strength
3.2. Efficacy of Different Admixtures on Expansion Reduction
3.2.1. Polyether Modified Silicone (PMS) Defoamer
3.2.2. Compound Defoaming Admixtures
3.3. Improvement on Mechanical Properties of MAPC Mortar after Defoaming
3.4. Improvement on Impermeability of MAPC Mortar after Defoaming
3.5. Microstructure Analysis
4. Conclusions
- The limestone fines in manufactured sand caused significant blistering and expansion of MAPC mortar before setting and further resulted in decreased compressive strength and interfacial bonding strength. The blistering was inferred to be induced by generation of CO2 from the reaction between CaCO3 and ADP.
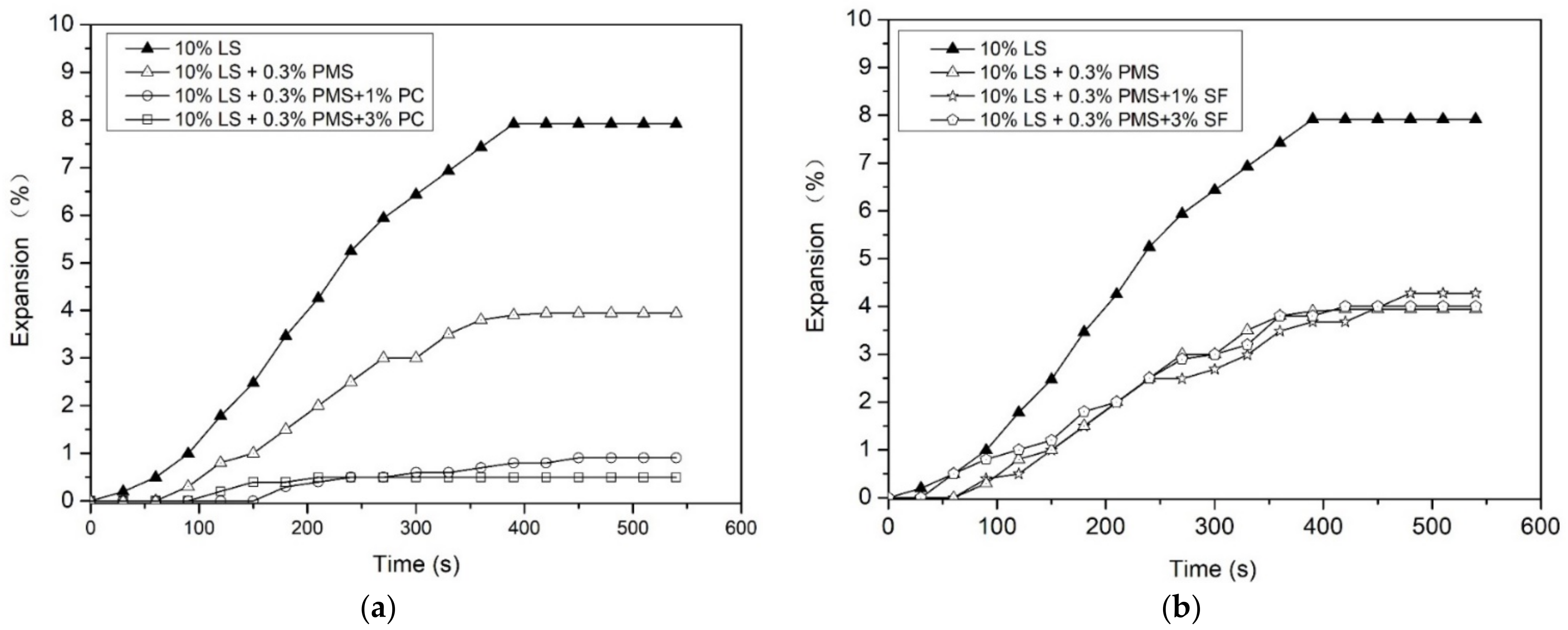
- The polyether modified silicone (PMS) defoamer had a certain effect on breaking bubbles and reducing partial expansion caused by limestone fines. The addition of 0.3% PMS (by weight of MAPC) achieved around 50% reduction in expansion. But higher dosage of PMS caused a decrease in fluidity of MAPC mortar which weakened the defoaming effect on the contrary.
- The compound addition of silica fume did not show enhancement on the defoaming effect on the basis of PMS defoamer.
- The compound use of PMS defoamer and Portland cement showed significant effectiveness in disappearing and inhibiting bubbles caused by limestone fines in MAPC mortar. The strong alkalinity of Portland cement and its reactive mineral contents enable it to fast react with ADP and suppress the bubbling reaction of limestone fines (CaCO3). The addition of 0.3% PMS defoamer and 1% Portland cement achieved almost 90% reduction in expansion and this formula was tested to be effective for different content of limestone fines at 10% and 20%.
- After treatment by the compound defoaming admixture, MAPC mortar containing limestone fines obtained enhanced compressive strength, interfacial bonding strength and impermeability performance including resistance to chloride ion penetration and water-tightness.
- The MIP test results confirmed that the blistering and expansion caused by limestone fines resulted in a porous structure of MAPC mortar with high porosity and lots of macropores larger than 1 μm. After treatment by the compound defoaming admixture, the pore structure of MAPC mortar was modified to be finer with lower porosity and much less macropores.
Author Contributions
Funding
Acknowledgments
Conflicts of Interest
References
- Walling, S.A.; Provis, J.L. Magnesia-based cements: A journey of 150 Years, and cements for the future? Chem. Rev. 2016, 116, 4170–4204. [Google Scholar] [CrossRef]
- Qian, J. 4-Magnesium phosphate cement. In Magnesia Cements; Shand, M.A., Al-Tabbaa, A., Qian, J., Mo, L., Jin, F., Eds.; Elsevier: Amsterdam, The Netherlands, 2020; pp. 85–170. ISBN 9780123919250. [Google Scholar] [CrossRef]
- Yang, Q.; Zhu, B.; Wu, X. Characteristics and durability test of magnesium phosphate cement-based material for rapid repair of concrete. Mat. Struct. 2000, 33, 229–234. [Google Scholar] [CrossRef]
- Haque, M.A.; Chen, B. Research progresses on magnesium phosphate cement: A review. Constr. Build. Mater. 2019, 211, 885–898. [Google Scholar] [CrossRef]
- Qiao, F.; Chau, C.K.; Li, Z. Property evaluation of magnesium phosphate cement mortar as patch repair material. Constr. Build. Mater. 2010, 24, 695–700. [Google Scholar] [CrossRef]
- Yang, N.; Shi, C.; Yang, J.; Chang, Y. Research progresses in magnesium phosphate cement-based materials. J. Mater. Civ. Eng. 2014, 26, 04014071–4014078. [Google Scholar] [CrossRef]
- You, C.; Qian, J.; Qin, J.; Wang, H.; Wang, Q.; Ye, Z. Effect of early hydration temperature on hydration product and strength development of magnesium phosphate cement (MPC). Cem. Concr. Res. 2015, 78, 179–189. [Google Scholar] [CrossRef]
- Qin, J.; Qian, J.; You, C.; Fan, Y.; Li, Z.; Wang, H. Bond behavior and interfacial micro characteristics of magnesium phosphate cement onto old concrete substrate. Constr. Build. Mater. 2018, 167, 166–176. [Google Scholar] [CrossRef]
- Jia, X.; Li, J.; Wang, P.; Qian, J.; Tang, M. Preparation and mechanical properties of magnesium phosphate cement for rapid construction repair in ice and snow. Constr. Build. Mater. 2019, 229, 116927. [Google Scholar] [CrossRef]
- Ma, C.; Wang, F.; Zhou, H.; Jiang, Z.; Ren, W.; Du, Y. Effect of early-hydration behavior on rheological properties of borax-admixed magnesium phosphate cement. Constr. Build. Mater. 2021, 283, 122701. [Google Scholar] [CrossRef]
- Yang, Q.; Wu, X. Factors influencing properties of phosphate cement-based binder for rapid repair of concrete. Cem. Concr. Res. 1999, 29, 389–396, ISSN 0008-8846. [Google Scholar] [CrossRef]
- Yue, L.; Bai, W.; Shi, T. A study of the bonding performance of magnesium phosphate cement on mortar and concrete. Constr. Build. Mater. 2017, 142, 459–468. [Google Scholar] [CrossRef]
- Wang, Y.S.; Dai, J.G.; Wang, L.; Tsang, D.C.W.; Poon, C.S. Influence of lead on stabilization/solidification by ordinary Portland cement and magnesium phosphate cement. Chemosphere 2018, 190, 90–96. [Google Scholar] [CrossRef] [PubMed]
- Xiao, J.; Xu, Z.; Murong, Y.; Wang, L.; Lei, B.; Chu, L.; Jiang, H.; Qu, W. Effect of Chemical Composition of Fine Aggregate on the Frictional Behavior of Concrete–Soil Interface under Sulfuric Acid Environment. Fractal Fract. 2022, 6, 22. [Google Scholar] [CrossRef]
- Lei, W.; Luo, R.Y.; Zhang, W. Effects of fineness and content of phosphorus slag on cement hydration, permeability, pore structure and fractal dimension of concrete. Fractals 2021, 29, 2140004. [Google Scholar] [CrossRef]
- Wang, L.; Lu, X.; Liu, L.; Xiao, J.; Zhang, G.; Guo, F.; Li, L. Influence of MgO on the hydration and shrinkage behavior of low heat Portland cement-based materials via pore structural and fractal analysis. Fractal Fract. 2022, 6, 40. [Google Scholar] [CrossRef]
- Wang, D.; Shi, C.; Farzadnia, N.; Shi, Z.; Jia, H. A review on effects of limestone powder on the properties of concrete. Constr. Build. Mater. 2018, 192, 153–166. [Google Scholar] [CrossRef]
- Liu, S.; Yan, P. Effect of limestone powder on microstructure of concrete. J. Wuhan Univ. Technol. Mat. Sci. Edit. 2010, 25, 328–331. [Google Scholar] [CrossRef]
- ASTMC939-10; Standard Test Method for Flow of Grout for Preplaced-Aggregate Concrete (Flow Cone Method). ASTM International: West Conshohocken, PA, USA, 2010. Available online: https://standards.globalspec.com/std/3840648/ASTM%20C939-10(accessed on 26 January 2022).
- ASTMC187-10; Standard Test Method for Normal Consistency of Hydraulic Cement. ASTM International: West Conshohocken, PA, USA, 2010. Available online: https://standards.globalspec.com/std/3839853/astm-c187-10(accessed on 26 January 2022).
- JTG 3420-2020 (T 0518-2020); Testing Methods of Cement and Concrete for Highway Engineering: Testing Method for Free Bleeding Rate and Free Expansion Rate of Cement Slurry. Ministry of Transport of the People’s Republic of China: Beijing, China, 2020.
- ASTMC596-18; Standard Test Method for Drying Shrinkage of Mortar Containing Hydraulic Cement. ASTM International: West Conshohocken, PA, USA, 2018. Available online: https://standards.globalspec.com/std/13162334/astm-c596-18(accessed on 26 January 2022).
- ISO 679:2009; Cement—Test Methods—Determination of Strength. ISO/TC 74: Geneva, Switzerland, 2009. Available online: https://www.iso.org/standard/45568.html(accessed on 26 January 2022).
- GB/T 50081-2002; Standard for Test Method of Mechanical Properties on Ordinary Concrete. Ministry of Construction of the People’s Republic of China: Beijing, China, 2002.
- JGJ/T 70-2009; Standard for Test Method of Performance on Building Mortar. Ministry of Construction of the People’s Republic of China: Beijing, China, 2009.
- ASTMC 1202-2012; Standard Test Method for Electrical Indication of Concrete’s Ability to Resist Chloride Ion Penetration. ASTM International: West Conshohocken, PA, USA, 2012. Available online: https://salmanco.com/wp-content/uploads/2017/06/ASTM-c-1202.pdf(accessed on 26 January 2022).
- Chong, L.; Shi, C.; Yang, J.; Jia, H. Effect of limestone powder on the water stability of magnesium phosphate cement-based materials. Constr. Build. Mater. 2017, 148, 590–598. [Google Scholar] [CrossRef]
- Yang, Q.; Zhu, B.; Zhang, S.; Wu, X. Properties and applications of magnesia–phosphate cement mortar for rapid repair of concrete. Cem. Concr. Res. 2000, 30, 1807–1813. [Google Scholar] [CrossRef]
- Xing, J.; Bi, Y.; Li, X.; Xiong, L. The Influence of Different Anti-foaming Agent on Concrete. In Proceedings of the 4th International Conference on Mechanical Materials and Manufacturing Engineering (MMME 2016), Wuhan, China, 15–16 October 2016. [Google Scholar]
- Zheng, D.; Ji, T.; Wang, C.Q.; Sun, C.J.; Lin, X.J.; Hossain, K.M.A. Effect of the combination of fly ash and silica fume on water resistance of Magnesium–Potassium Phosphate Cement. Constr. Build. Mater. 2016, 106, 415–421. [Google Scholar] [CrossRef]
- Tong, W. Study on the Properties of Mineral Admixture and Portland Cement Modified Magnesium Phosphate Cement. Ph.D. Thesis, Xi’an University of Architecture and Technology, Xi’an, China, 2016. Available online: https://kns.cnki.net/kcms/detail/detail.aspx?dbcode=CMFD&dbname=CMFD201701&filename=1016739902.nh&uniplatform=NZKPT&v=jBM3Qj%25mmd2FxHSR1%25mmd2F9zandtWT5jc8UC1eNB%25mmd2Bxj9OHOSDhjGf%25mmd2FYLz2%25mmd2BhkDbxZHLEXDxl6 (accessed on 8 January 2022). (In Chinese).
- Xu, X.; Lin, X.; Pan, X. Influence of silica fume on the setting time and mechanical properties of a new magnesium phosphate cement. Constr. Build. Mater. 2020, 235, 117544. [Google Scholar] [CrossRef]
- Qin, Z.; Ma, C.; Zheng, Z. Effects of metakaolin on properties and microstructure of magnesium phosphate cement. Constr. Build. Mater. 2020, 234, 117353. [Google Scholar] [CrossRef]
- Liu, Y.; Chen, B.; Dong, B.; Wang, Y.; Xing, F. Influence mechanisms of fly ash in magnesium ammonium phosphate cement. Constr. Build. Materials. 2022, 314, 125581. [Google Scholar] [CrossRef]
- Jiang, Z.; Qian, C.; Chen, Q. Experimental investigation on the volume stability of magnesium phosphate cement with different types of mineral admixtures. Constr. Build. Mater. 2017, 157, 10–17. [Google Scholar] [CrossRef]
- Wang, L.; Song, X.; Yang, H.; Wang, L.; Tang, S.; Wu, B.; Mao, W. Pore structural and fractal analysis of the effects of MgO reactivity and dosage on permeability and F–T resistance of concrete. Fractal Fract. 2022, 6, 113. [Google Scholar] [CrossRef]
- Lian, H.; Shi, H. Clarification of a Hypothesis on Centroplasm of Cement-based Composite’ Proposed by Wu Zhongwei. J. Chin. Ceram. Soc. 2020, 48, 777–786. [Google Scholar] [CrossRef]
- Huang, J.; Li, W.; Huang, D. Fractal analysis on pore structure and hydration of magnesium oxysulfate cements by first principle, thermodynamic and microstructure-based methods. Fractal Fract. 2021, 5, 164. [Google Scholar] [CrossRef]
- Lei, W.; Jin, M.; Guo, F.; Wang, Y.; Tang, S. Pore structural and fractal analysis of the influence of fly ash and silica fume on the mechanical property and abrasion resistance of concrete. Fractals 2021, 29, 2140003. [Google Scholar] [CrossRef]










| Group | Reference Sample with QS | MAPC with 10% Limestone Fines | MAPC with 20% Limestone Fines | ||
|---|---|---|---|---|---|
| Performance | / | Before defoaming | After defoaming | Before defoaming | After defoaming |
| Electric flux value (C) | 1015 | 2824 | 869 | 3473 | 733 |
| Impermeability grade(MPa) | 0.7 | 0.5 | 0.9 | 0.4 | 0.7 |
Publisher’s Note: MDPI stays neutral with regard to jurisdictional claims in published maps and institutional affiliations. |
© 2022 by the authors. Licensee MDPI, Basel, Switzerland. This article is an open access article distributed under the terms and conditions of the Creative Commons Attribution (CC BY) license (https://creativecommons.org/licenses/by/4.0/).
Share and Cite
Mao, W.; Cao, C.; Li, X.; Qian, J.; You, C. Preparation of Magnesium Ammonium Phosphate Mortar by Manufactured Limestone Sand Using Compound Defoaming Agents for Improved Strength and Impermeability. Buildings 2022, 12, 267. https://doi.org/10.3390/buildings12030267
Mao W, Cao C, Li X, Qian J, You C. Preparation of Magnesium Ammonium Phosphate Mortar by Manufactured Limestone Sand Using Compound Defoaming Agents for Improved Strength and Impermeability. Buildings. 2022; 12(3):267. https://doi.org/10.3390/buildings12030267
Chicago/Turabian StyleMao, Wenting, Chunpeng Cao, Xincheng Li, Jueshi Qian, and Chao You. 2022. "Preparation of Magnesium Ammonium Phosphate Mortar by Manufactured Limestone Sand Using Compound Defoaming Agents for Improved Strength and Impermeability" Buildings 12, no. 3: 267. https://doi.org/10.3390/buildings12030267
APA StyleMao, W., Cao, C., Li, X., Qian, J., & You, C. (2022). Preparation of Magnesium Ammonium Phosphate Mortar by Manufactured Limestone Sand Using Compound Defoaming Agents for Improved Strength and Impermeability. Buildings, 12(3), 267. https://doi.org/10.3390/buildings12030267

