Abstract
Recycled aggregate concrete has received increasing attention owing to its broad development prospects in recent years. This study discusses the enhancement mechanism of various fibers on the mechanical properties, high-temperature resistance, and freeze–thaw cycle resistance of recycled aggregate concrete. It reviews the effects of fiber types and content on the strength, failure state, and resistance to recycled aggregate concrete’s high and low temperatures. The results indicate that fibers can significantly improve the flexural strength and tensile strength of recycled aggregate concrete in the bridging effect but have little effect on compressive strength. Regarding high-temperature resistance, fibers with a lower melting point can form channels in the concrete, reducing the internal pressure of water vapor. Fibers with higher melting points can act as bridges, inhibiting the generation and propagation of cracks in recycled aggregate concrete. Therefore, fiber-reinforced recycled aggregate concrete can perform better at higher temperatures than ordinary recycled aggregate concrete. Due to the high water absorption rate in recycled aggregate concrete, which is approximately 7–10 times that of natural aggregate concrete, it is easier to reach the critical water saturation of freeze–thaw damage. Results show that 0.2 kg/m3 polypropylene fiber and 1.2 kg/m3 basalt fiber show excellent performance in improving the frost resistance of recycled aggregate concrete.
1. Introduction
With the increasingly severe shortage of natural aggregate (NA) and the continuous improvement of the public’s awareness about environmental protection, recycled aggregate (RA) is applied more and more in construction. Compared with natural aggregate concrete (NAC), recycled aggregate concrete (RAC) refers to the concrete consisting of RA made from waste concrete after crushing, cleaning, and screening, partially replacing NA [1]. RA has the advantages of comprehensive sources, low cost, and good impermeability [2]. In construction, RAC can be used for sidewalks, curbs, drainage ditches [3], pavement [4], and island projects [5]. Although RAC has been applied in practice, there are still some shortcomings, such as low compressive strength, shearing strength [6], elastic modulus [7], and significant shrinkage [8], which limits the further application of RAC. Researchers have found that adding fibers to concrete can effectively improve its performance of concrete, making it a new type of composite material [9]. Fiber-reinforced RAC is made by adding a certain amount of randomly dispersed chopped fibers to RAC. Under the combined action of fiber and matrix, the generation and development of internal cracks in concrete can be effectively controlled, and some defects of RAC can be compensated for [10]. However, the reinforcing effect of fibers on RAC has a great relationship with the fibers’ properties, the number of fibers, and the dispersion in the cement matrix [11]. Therefore, different fibers have various effects on the properties of RAC, and the optimal dosage of different fibers is not entirely consistent.
Fibers can effectively bridge RA and cement mortar into a whole to improve the overall compactness of RAC, inhibiting the generation and propagation of internal micro-cracks [12]. It achieves the effect of improving the compressive strength and permeability of RAC. During the concrete casting process, a large amount of hydration heat is generated during the hardening process due to excess water, and shrinkage cracks will quickly occur during the tamping process, affecting the concrete’s strength. Therefore, an appropriate amount of fibers can play a bridging role in concrete. It limits the generation and development of initial cracks and improves the compactness of the concrete’s interior, improving the compressive strength of the concrete. Abed et al. [13] studied the influence of steel fiber and polypropylene fiber (PP fiber) on the performance of concrete. The results show that the workability of concrete will decrease with the increase of steel fiber or PP fiber content. However, the bending resistance and splitting tensile properties of concrete will be strengthened with increased fiber content in a specific range. Kang et al. [14] found that 0.5% steel fiber can improve the lightweight concrete’s compressive strength and tensile strength by 13% and 40% and significantly improve the damage resistance and ductility of the structure. Furthermore, with the increase of the steel fiber’s volume fraction, the lightweight concrete’s failure mode can change from brittleness to toughness. Zheng et al. [15] found that nano-SiO2 and basalt fiber can improve the interfacial transition zone (ITZ) compactness of RAC, inhibit the generation of early microcracks, and enhance the compressive strength and splitting tensile strength of RAC at room temperature and high temperature. When the content of nano-SiO2 and basalt fiber is 1.2%, and 3 kg/m3, respectively, the compressive strength and splitting tensile strength of RAC increased by 9.04% and 17.42%, respectively. Basalt fiber and PE fiber can improve the impact resistance, ductility, and toughness of concrete to a certain extent, inhibit plastic shrinkage, and enhance the crack resistance of cement matrices. However, they will affect the workability of concrete [16]. Soe et al. [17] explored the reinforcement effect of the mixed fibers of Polyacrylic alcohol fiber (PVA) and steel on cement composites. The result shows that the mixture’s compressive strength, Young’s modulus, ultimate flexural strength, flexural strain, initial crack tensile strength, and ultimate tensile strength will be improved when the Steel-PVA fibers are mixed at the volume fraction of 1.75% and 0.58%, respectively. Adding high-performance polypropylene (HPP) fiber [18] to concrete can reduce the penetration depth of chloride ions and improve concrete’s ductility and energy absorption capacity. The mechanical test results show that 0.8% volume HPP fiber can improve the compressive strength of concrete by 3.3% and the splitting tensile strength by 10%.
The fiber content, fiber length, and other factors should also be considered besides the properties of the fiber itself for the reinforcement effect of fiber on RAC [19]. Three aspects should be considered when selecting fibers to reinforce RAC [20]: (1) Compatibility between fiber and RAC. (2) There should be enough connection strength between fiber and concrete matrix to transfer stress. (3) Appropriate length-diameter ratio to ensure that the fiber can still play a role after the concrete cracks.
In order to maximize the synergy between fibers and RAC, the paper studies the mechanism of different fibers on RAC. It considers the effects of fiber types, volume content, high temperature, and freeze–thaw cycle on the basic mechanical properties, bonding degree between fiber and matrix, and resistance to temperature change of RAC. Finally, compared with ordinary concrete, some suggestions for applying fiber-reinforced RAC are put forward.
2. Fiber Types and Properties
Fibers have been used as building reinforcing materials, such as straw and horsehair used for brick reinforcement to enhance its toughness [21]. Straw was used as a reinforcing material in The Aqar Quf (near Baghdad today), built 3500 years ago [22]. With the invention of the Hatscheck process in 1898, asbestos began to be widely used as reinforcing fiber in cement. However, due to the great harm of asbestos to the human body, other synthetic fibers were gradually introduced from 1960 to 1970 to replace asbestos. Table 1 summarizes the physical indexes and mechanical properties of fibers used commonly in buildings.
Table 1.
Physical indexes and mechanical properties of different fibers.
Steel fiber is available in various geometries and sizes, which significantly improves the toughness and tensile strength of concrete [33]. The different geometric shapes of steel fiber can be divided into corrugated steel fiber, hook-end steel fiber, and twisted steel fiber. Furthermore, in the light of their different diameters can be divided into micro (df ≤ 0.8 mm), fine (0.8 mm ≤ df ≤ 1.0 mm), and ordinary (df > 1.0 mm). Furthermore, based on their different lengths, they can be divided into ultra-short (lf ≤ 8 mm), short (8 mm ≤ lf ≤ 13 mm), long (13 mm ≤ lf ≤ 30 mm), and ultra-long (lf > 30 mm).
Carbon fiber is an inorganic carbon material that is rigid and has a certain bending elasticity because it is made into a slender shape. Although a single carbon fiber is thinner than a human hair (20–120 um), it can be twisted together and bonded to the matrix material to form a composite material with high toughness and light weight [34]. Unlike metallic materials, this material does not break over time and has good impact resistance [35], and is now widely used in aerospace [36], transportation [37], construction industry [38], medical equipment [39], and sports equipment [40].
Unmodified polypropylene fine fiber has low elastic modulus and poor adhesion to concrete. When the dosage is too large, it will affect its uniform distribution in concrete. A few years later, polypropylene crude fiber was manufactured with a larger diameter, higher elastic modulus, and improved adhesion to concrete compared with fine polypropylene fiber [41]. PP fiber has a strong deformation ability and can play a good role in micro-reinforcing when distributed in concrete [42], which can maintain the structure’s integrity and prevent the structure from spalling into many fragments when it is damaged by impact. In addition, PP fiber has stable chemical properties, high acid and alkali resistance, corrosion resistance, and is not easy to react with other substances [43].
Polyvinyl alcohol fiber (PVA) fiber is provided with good hydrophilicity, impact resistance, and acid and alkali resistance [44] and can maintain high stability in the alkaline environment of the cement matrix, while the low permeability of this fiber [45] can slow down the corrosion of reinforcement in concrete by external media.
Ultra-high molecular weight polyethylene (UHMWPE) fiber is one of the three primary high-tech fibers in the world. It has incredibly high toughness [46] and must be cut with special machines. UHMWPE fiber has a dense structure and chemical inertness [32]; concentrated acid, alkali solutions, and organic solvents have little effect on their strength. The fiber has excellent radiation [47], fatigue, and impact resistance [48,49]. In addition, the density is low, and the effect on the concrete weight after being added to the concrete is negligible. Therefore, UHMWPE fiber is suitable as a reinforcing fiber for RAC.
3. Fiber Addition Method
Different preparation methods of fiber-reinforced concrete will affect the distribution of fibers in the concrete. Compared with steel fibers, most synthetic fibers are soft and slender, resulting in being prone to agglomeration and entanglement. Wang et al. [50] found that the agglomeration rate of PVA fibers in concrete specimens can be reduced by adding a small amount of PVA fibers into the mixture several times during the preparation of PVA fiber RAC. Compared with mixing all PVA fibers at one time, it is more obvious than adding PVA fibers in small amounts and multiple times. Li et al. [51] studied the effect of carbon fiber on the impermeability of concrete, and the results showed that carbon fiber can effectively improve the impermeability of concrete. However, different fiber incorporation methods will affect the effect of carbon fiber on the improvement of concrete impermeability. The impermeability of concrete specimens obtained by adding carbon fiber into concrete twice is 10–15% higher than that by adding all fibers into concrete at one time. This is mainly because the diameter of carbon fiber is usually less than 10 μ m. Compared with other fibers, carbon fibers with too small a diameter are easier to wrap around each other and are not easy to disperse in concrete. The method of adding fibers many times can reduce the agglomeration of carbon fibers, which is conducive to the uniform distribution of carbon fibers in the concrete matrix. AK ç K et al. [52] and Matar et al. [53], respectively, used different material addition sequences to prepare polypropylene fiber concrete. The experimental results show that the order of adding fiber and water will affect the mechanical properties of fiber-reinforced concrete. Adding fiber first and then mixing water can make the fiber disperse more evenly in the concrete, which is conducive to the formation of a three-dimensional skeleton in the matrix and reduce the number of holes formed by fiber agglomeration. For the casting method in which the mixing water is added first and then the fibers are added, the distribution of the fibers in the concrete is not ideal. This is mainly because the water acts as a connection, making the fibers that are already entangled together bond more firmly to each other. Therefore, agglomeration will be generated in the concrete, forming larger fiber voids and reducing the mechanical properties of fiber concrete.
Steel fiber is easy to sink during the vibrating process due to its high density, resulting in a decrease in the content of steel fibers in the upper part of the concrete specimen and an increase in the content of steel fibers in the lower part. Miletić et al. [54] studied the distribution of steel fibers in concrete through industrial CT scanning technology, and the results showed that the arrangement of steel fibers in concrete showed a high degree of anisotropy. The distribution of steel fibers in concrete is uneven, mainly manifested as high content of steel fibers in the middle and lower parts, and low content in the upper part. In addition, compared with other fibers, steel fibers have greater stiffness. Therefore, it is easy to expose steel fibers to the specimen during the preparation process.
4. Mechanical Properties
4.1. Regenerated Aggregate
For RAC, there are differences between RA and NA in appearance and physical indicators, which affect the compressive and flexural strength of RAC to certain degrees. The difference in appearance between NA and RA is shown in Figure 1, and the microscopic morphology of RAC under different magnifications of SEM is shown in Figure 2.
Figure 1.
Appearance of aggregate: (a) Natural aggregate [55]; (b) Recycled concrete aggregate [56]; (c) Recycled concrete-brick aggregate [57]; (d) Recycled brick aggregate [58].
Figure 2.
SEM image of recycled brick aggregate [59]: (a) 500×; (b) 1000×.
It summarizes the test results of different researchers on the physical properties of RA and NA in Table 2. As can be seen from Table 2, the crushing value index of RA tends to be higher, and the high-pressure crushing value leads to a decrease in strength. The crushing value of RA is usually 2–2.5 times that of NA, and the crushing value of the RA aggregate in the saturated surface-dry state is 7.22–18.20% higher than that in the air-dry state [60]. Another significant difference between RA and NA is the difference in water absorption. The water absorption of RA is usually 10–20 times higher than that of natural aggregate [61]. On the one hand, high water absorption will reduce the fluidity of RAC, and on the other hand, it will reduce the water-cement ratio of RAC, which is beneficial to improving strength [62]. These properties of RA have different effects on the strength of RAC with different strengths. For high-strength RAC, the strength weakening effect caused by the high-pressure crushing value of RA is dominant; for low or medium-strength RAC, the strength strengthening effect caused by high water absorption of RA is dominant.
Table 2.
Physical indicators of NAC and RAC.
4.2. Compressive Strength
Compressive strength refers to the strength limit that concrete can withstand when subjected to external pressure. First, a compressive strength test should be carried out to determine whether concrete is suitable for practical engineering. The state of the compressive failure of the RAC without fibers and the fiber-reinforced RAC specimens are shown in Figure 3 and Figure 4, respectively. The compressive failure of RAC specimens without fibers was similar to that of ordinary concrete [55]. Das et al. [56] fabricated 24 RAC cubes of 150 mm × 150 mm × 150 mm according to BIS (IS: 516–1959) standard, and performed 28d compressive strength tests on test specimens. At the initial loading stage, the surface of the concrete specimen without fiber reinforcement does not have cracks. As the load increases, the edge of the specimen cracks first and develops obliquely in the 45°direction, and trapezoidal cracks appear on one or both sides connected by positive and negative. After the load is further increased, the cracks extend to the specimen’s interior, forming deeper cracks. The specimen as a whole appears to bulge outwards, and eventually, the surface concrete falls off. Zhang et al. [57] observed that with the increase in the replacement rate of RA, the number of cracks generated when the RAC undergoes compressive failure also increases, and the integrity of the specimen after failure is poor. However, with the specimen’s size increasing, the specimen’s integrity after compression failure also turns from poor to good. According to ASTM requirements, Alsadey et al. [58] produced 24 RAC cube specimens mixed with fibers of 150 mm × 150 mm × 150 mm and conducted compressive strength tests. The crack development speed of the RAC specimen mixed with fibers is slower than that of the specimen without fibers, and the final failure mode is crack but not scattered [59]. There is no apparent spalling phenomenon on the surface of the test piece. Compared with ordinary concrete, the integrity of RAC specimens mixed with fibers is better after failure [60]. The main reason is that the fibers play a bridging role at the cracks, which absorb and disperse part of the energy and hinder the development of cracks. It is similar to the conclusions of Abbadi [61], Xiong [62], and Nikbin [63] et al.
Figure 3.
Compression failure of RAC without fibers: (a) [67]; (b) [68].
Figure 4.
Compression failure of fiber-reinforced RAC: (a) [55]; (b) [67].
It summarizes the effects of several fibers and different fiber volume content on the compressive strength of RAC in Figure 5. Overall, the enhancement of the compressive strength of RAC by fibers is not apparent when the fiber content is between 0.1% and 1.5%, and even the compressive strength is reduced. According to Figure 5, except for steel fiber, the compressive strength of RAC tends to rise with the increase of fiber content when the volume fraction does not exceed 0.25%. The compressive strength tends to decrease when the fiber content exceeds 0.25% and is even lower than that of RAC without fiber. This is because most synthetic fibers are soft and have a small diameter. These fibers are easily entangled with each other and are not easily dispersed evenly in the concrete. When the fiber content does not exceed 0.25%, the fibers can be better dispersed in the concrete matrix and play a better supporting role. However, when the fiber content is as high as 0.25%, it is difficult for the flexible fibers to be uniformly dispersed in the matrix, resulting in fiber clusters inside the concrete. It reduces the compactness of the concrete, affecting the improvement in the compressive strength of the fibers. When the fiber content is further increased, the density of the concrete will continue to decrease. Therefore, the compressive strength will be lower than the initial compressive strength. The enhancement effect of steel fiber on the compressive strength of RAC is better than the other four fibers. By controlling the different volume content of recycled coarse aggregate and steel fiber, He et al. [69] observed that when the RA replacement rate increased from 0 to 50% and 100%, the compressive strength of concrete decreased, respectively, by 4% and 7.8%. When steel fiber was used as a variable, the content of 0.5%, 1.0% and 1.5% of steel fiber, respectively, could enhance the compressive strength of RAC by an average of 11.73%, 16.72% and 20.41%. Since steel fibers are rigid fibers, compared with flexible fibers, steel fibers are less prone to agglomeration, so the compressive strength of concrete will increase with the increase in the volume of steel fibers. However, this does not mean that the content of steel fibers can be increased all the time. When the content of steel fiber exceeds a specific range, the compressive strength of concrete will also decrease. This may be because the steel fibers are thicker in diameter, and the excess steel fibers are not easily compacted in the concrete. Especially around the steel fiber, more micro-cracks will be generated. When the deteriorating effect of the cracks is greater than the reinforcing effect of the steel fibers, the strength of the concrete decreases. The compressive strength of RAC was improved by adding carbon fiber, but the improvement was not significant. The best compressive strength enhancement of RAC is achieved when the volume content of carbon fiber is 0.2%, which can enhance by 21%. When the carbon fiber content was increased from 0.2% to 0.3%, the compressive strength enhancement of RAC started to weaken, and the enhancement rate decreased from 21% to 19% [70]. Zhang et al. [55] concluded from their experiment that when the fiber content is excess, fibers agglomerate inside the concrete to form cavities, affecting the compressive strength. It also explains why the RAC with 0.3% carbon fiber by volume is lower in compressive strength than the one with 0.2% carbon fiber. The effect of PP fiber [56], PVA fiber [71,72], and UHMWPE fiber [73] on the compressive strength of concrete is similar, which follows the pattern of having an enhancing effect on the compressive strength at low fiber content and a weakening effect at the high fiber content.
Figure 5.
Effect of fiber types and content on the compressive strength of RAC: Steel fiber [64]; Carbon fiber [65]; PP fiber [67]; PVA fiber [68,69]; UHMWPE fiber [70].
4.3. Flexural Strength
There are excellent compressive properties in concrete but poor flexural resistance. Generally, the flexural strength of concrete is approximately 10% to 20% of its compressive strength. Compared with ordinary concrete, RAC has minor variation in compressive-flexural ratio but lower flexural strength. Namely, RA reduces the flexural strength of concrete but has little effect on the ratio of compressive to flexural strength [74]. Zhang et al. [75] concluded that the interface transition zone (ITZ) of RAC is weaker compared to NAC, and in the absence of passive restraint, RAC is more prone to flexural damage. The poorer flexural properties limit the scope of the application of RAC in engineering. According to previous research, adding fibers to concrete effectively improves flexural properties [76].
Sivakumar et al. [77] fabricated a 500 mm × 250 mm × 75 mm cube specimen according to IS 12,269 specification and found through their study that adding an appropriate amount of fibers in concrete can effectively prevent the generation and expansion of macro cracks in concrete and increase the flexural strength of concrete by 15–20%. Sriram et al. [77] concluded that incorporating fibers in concrete can increase the flexural strength of concrete by at least 30%. Jahidul et al. [78] conducted flexural strength tests on fiber-reinforced RAC specimens. The results showed that galvanized steel fiber significantly outperformed PP fiber in improving the flexural properties of concrete by 18% to 30%. Yan et al. [79] studied the effect of UHMWPE fiber on the mechanical properties of concrete. The results showed that UHMWPE fiber had little effect on the compressive strength of concrete but had a better effect on the flexural strength and splitting tensile strength. The 0.5% volume dose of UHMWPE fiber could improve the flexural strength of concrete by more than 23%. Tong [80] studied the effect of basalt fiber on the mechanical aspects of RAC and proved through tests that the flexural strength of RAC could be increased by 36.04% when the length of basalt fiber was 6 mm, and the volume fraction was 0.2%. Ahmadi et al. [81] found through their study that 1% volume content of fiber was more effective than 0.5% volume dose of fiber on the improvement in flexural strength of RAC. That is, within a specific range, the higher the fiber dose, the more significant RAC improvement in flexural properties. Tawfeeq [82] presented a different view from Xiao [74], where Tawfeeq argued that the flexural properties of fiber-reinforced RAC depend only on the fiber content but have little correlation with the RA replacement rate.
In addition to single fiber, some scholars have studied the effect of mixed fibers on various properties of concrete. Combined with the different characteristics of fibers, mixing two or more suitable fibers in concrete helps to improve its mechanical properties [83]. Shen [84] found that blending fibers into ordinary concrete can increase the flexural strength by 50% to 60%, and even higher flexural strength can be obtained by adjusting the volume content of different fiber types. It means hybrid fibers can give a better flexural performance to concrete than a single fiber, which is similar to the finding of Narayanan et al. [85]. Mastali et al. [86] investigated the reinforcing effect of fibers on concrete beams. It was found that hybrid fibers consisting of a 1.5% volume fraction of PP-steel fibers improved the flexural properties of concrete beams better than steel fiber alone. The combination could increase the flexural strength of concrete beams by 10% to 40%. Qiang et al. [87] investigated the effect of PP–basalt hybrid fibers on the mechanical properties of concrete. They demonstrated experimentally that a 0.1% volume of blended fibers could improve the flexural strength of concrete by 10%.
The failure states of different concrete specimens are shown in Figure 6 and Figure 7 when they undergo flexural failure. It summarizes the effect of different fiber volume contents on the flexural properties of RAC in Figure 8. It can be seen that the effect of various fibers on the flexural properties of RAC is from high to low: carbon fiber, PVA–steel hybrid fiber, steel fiber, UHMWPE fiber, PVA fiber and PP fiber. Carbon fiber and PVA–steel hybrid fiber have a better effect on improving the flexural performance of RAC. Carbon fiber with a volume content of 0.2% can increase the flexural strength of RAC by up to 56%, while UHMWPE fiber at the same content can only increase the flexural strength of RAC by 15% significant shrinkage. This is mainly related to the nature of the fiber itself. Carbon fiber has high tensile strength and elastic modulus. Therefore, carbon fibers can distribute more external forces in concrete, thereby reducing the load on the concrete and increasing the flexural strength. The relationship between the fiber content and the flexural strength increase rate of RAC is observed. It can be found that for carbon fiber, PP fiber, and UHMWPE fiber, within a specific range, the flexural strength of RAC increases first and decreases later with the increase of fiber content. This trend is similar to the effect of fiber content on compressive strength. For steel fiber and PVA–steel hybrid fibers within the range of 0.5% to 1.5%, the flexural strength of RAC increases continuously with the increase of fiber content. It can be known from the prediction that when the volume fraction of steel fiber or PVA–steel hybrid fibers in RAC increases to a certain extent, the effect of improving the flexural strength also begins to decrease. The reason is that fiber agglomerates cannot be uniformly dispersed in the concrete when the fiber content is high [88]. At the moment, voids will form inside the concrete. Therefore, the flexural strength of the concrete will begin to decline When the fiber reinforcement effect cannot compensate for the deterioration caused by these voids.
Figure 6.
Flexural failure of concrete without fibers: (a) [88]; (b) [89].
Figure 7.
Flexural failure of fiber-reinforced concrete: (a) [70]; (b) [88].
Figure 8.
Effect of fiber types and content on the flexural strength of RAC: Steel fiber [64]; Carbon fiber [65]; PP fiber [67]; PVA fiber [79]; UHMWPE fiber [70,90]; PVA-Steel hybrid fiber [79].
The optimal volume content of different fibers and the effect of improving the flexural strength is different, which is related to the properties of fibers. The effect of fibers on the flexural strength of RAC is mainly due to the following two reasons. First, fibers are randomly distributed in the concrete to form a skeleton structure, supporting the RAC [91]. Second, The interior plays a bridging role, making up for the adverse effect of the weak ITZ on the flexural properties of concrete and inhibiting the generation of micro-cracks and the development of macro-cracks [92,93]. The distribution of PP fiber and steel fiber in RAC is shown in Figure 9 and Figure 10, respectively. It can be seen that the fibers can be closely combined with the cement matrix. Therefore, the fibers can share part of the external force when the concrete is under load, which prolongs the failure limit and improves the mechanical properties of the RAC.
Figure 9.
Distribution of PP fibers in concrete: (a) [28]; (b) [94].
Figure 10.
Distribution of Steel fibers in concrete: (a) [28]; (b) [11].
In addition to the physical properties and volume content of fibers, which will affect the flexural performance of RAC, other factors such as the length, shape, and combination of fibers will also affect the flexural performance [95]. With the increase of fiber length, the reinforcing effect of fibers on the flexural performance of RAC is gradually weakened. The main reason is that long fibers are not easily compacted in concrete and are more likely to form voids than chopped fibers, reducing flexural strength [96]. Shen et al. [97] studied the enhancement effect of double hook end steel fiber on the flexural properties of RAC. The appearance of a double hook end, single hook end, and corrugated steel fibers are listed in Figure 11. Compared with the single hook end steel fiber, the double hook end steel fiber has better adhesion to the concrete matrix under the same conditions. As a result, the improvement of flexural strength to RAC is more prominent. On the other hand, Laxmi et al. [98] believed that the reinforcing effect is quite different from the same fibers with different shapes of concrete.
Figure 11.
Steel fibers with different appearances: (a) Corrugated steel fibers [23]; (b) Double hook end steel fibers [24]; (c) Single hook end steel fiber [68].
4.4. Tensile Strength
Tensile strength is also one of the important indicators to measure the mechanical properties of RAC. Dimitriou et al. [99] found through experiments that the 28-day splitting tensile strength of natural aggregate concrete can reach 4.20 MPa, while under the same other parameters, the 28-day splitting tensile strength of RAC is only 3.10 MPa, a decrease of 26.2%. Katkhuda et al. [100] found that the splitting tensile strength of RAC is approximately 14.3% lower than that of natural aggregate concrete. This indicates that RA significantly reduces the tensile strength of concrete. This may be due to the old mortar attached to the RA. The connection between old mortar and new mortar, old mortar and RA are weak, forming a weak area, which is more likely to be damaged under load. On the other hand, the RA is more prone to micro-cracks during the crushing process, and these cracks will further affect the tensile strength of RAC.
When fiber is mixed into concrete, its excellent tensile strength, high strength and high elongation are fully reflected in concrete, so that fiber can effectively control the extension of matrix cracks and bear part of the tensile force. Wang et al. [101] studied the effect of PP fibers on the properties of RAC. The results show that the tensile strength of RAC is significantly enhanced after adding PP fibers, and the ability of RAC to resist frost heave stress is improved. This is similar to the findings of Kumar et al. [102] and Karimipour et al. [103]. This is because when the PP fibers can be uniformly distributed in the RAC, the PP fibers can form a good bond with the matrix. During the concrete hardening process, PP fibers can inhibit the generation of large/middle pores and micro-cracks in the RAC, which improves the compactness of the concrete. At the same time, during the tensile process of the RAC specimen, the PP fiber can bear part of the tensile force, which increases the limit value of the tensile load of the RAC specimen.
He et al. [104] studied the effect of steel–PP hybrid fibers on the mechanical properties of RAC. Through experiments, it was found that the use of mixed steel and PP fibers showed an excellent coupling effect on the tensile properties of RAC. Among all the mixtures with different volume fractions of steel fibers and PP fibers, the mixed fibers containing 1.5% steel fibers and 0.9% PP fibers by volume, respectively, had the best enhancement effect on the mechanical properties of the RAC samples. This may be because the incorporation of PP fibers enhances the bond between the RA and the cement matrix. However, the friction force with the matrix is increased due to the rough surface of the steel fiber. Under the combined action of the two fibers, the tensile properties of the RAC are further enhanced.
5. High-Temperature Resistance
The high-temperature resistance of concrete is related to many factors, such as curing conditions and curing time. Abed et al. [105] studied the performance changes of RAC at high temperatures of 20 °C, 150 °C, 300 °C, 500 °C, and 800 °C. The study found that the high-temperature resistance of concrete will increase with the increase of curing time. For the RAC specimens aged 90 days, the flexural strength at high temperature did not decrease significantly, while the compressive strength at high temperature increased with time. Akhtar et al. [98] collected construction waste in the 20–25 age group in different cities and shredded it. The RA was treated in a saturated surface dry state, and the RAC with a target strength of less than 30 MPa was prepared with the obtained RA. The compressive strength was measured at ambient temperature and 300 °C at 3, 7, 14, and 28 days of curing age. The result shows the change in the residual strength of RAC at 300 °C is not much different from that of NAC. However, when the temperature exceeds 300 °C (300–600 °C), the residual strength of RAC is lower than that of NAC. With the increase in temperature and the volume replacement rate of RA, the cracks on the concrete surface at high temperatures also increase, and the concrete brittleness is more obvious [106]. Chen et al. [107] studied the mechanical properties of RAC after high temperatures. The study found that within 400 °C, the compression failure state of the specimen was similar to that at average temperature, and eventually, one or two oblique prominent cracks were formed. When the temperature exceeds 400 °C, many obvious cracks appear after bearing the load. The surface peeling phenomenon of the specimen appeared, and a wider crack band was formed ultimately. Shaikh et al. [108] believed that micro-cracks would be generated during the crushing process of RA. These micro-cracks would further expand under the action of high temperature, which in turn caused the strength of RAC to be lower than that of ordinary concrete. The reducing effect continued to increase with the improvement of temperature. Cree [109] put forward a different view for this view. By summarizing previous research, Cree believes that RAC gradually loses its compressive strength at 450~600 °C, while it is still higher than that of ordinary concrete under the same conditions. Besides, RAC will lose its compressive strength gradually at 500~700 °C. Therefore, there is a better residual strength in RAC than in NAC.
Incorporating fibers into RAC can change its mechanical properties and failure state at high temperatures [110]. Figure 12 shows the morphological changes of the undoped fiber and fiber-reinforced concrete specimens at different temperatures. Mahasneh et al. [111] believed that fibers could improve the fire resistance of concrete. Adding 0.8% fiber by volume can increase the compressive strength of concrete by 20% at 800 °C. Compared with metallic fibers, non-metallic fibers tend to have better improvement effects on concrete at high temperatures [112]. Compared with the residual compressive strength of concrete specimens at room temperature, that of ordinary concrete treated at a high temperature of 400 °C decreased by 34%. In contrast, the residual compressive strength of concrete with 1% and 2% carbon fiber volume fraction decreased by 22% and 20%, respectively. The result means that a higher carbon fiber content can reduce the damage to concrete at high temperatures [113]. Zhu [114] studied the modification effect of glass fiber on RAC at high temperatures and concluded that the residual compressive strength of RAC specimens after high temperature increased and then decreased with the increase of glass fiber content. The improvement effect is the most significant when the fiber content reaches 0.5%. The apparent color of RAC mixed with glass fiber would change from gray to brown as the temperature increased. The RAC without glass fiber generates cracks on the surface at 600 °C, and the corners of the specimen fall off. The RAC mixed with glass fiber can maintain a relatively complete state after a high temperature of 600 °C. Moreover, there are fewer surface cracks.
Figure 12.
Comparison of RAC specimens at 20 °C, 200 °C, 400 °C, and 600 °C [114]: (a) RAC specimen without fiber; (b) RAC specimen incorporating fiber.
Kong [115] et al. studied the effect of hybrid fibers on the high-temperature resistance of RAC. Kong believed that PP–basalt hybrid fibers could improve the high-temperature resistance of RAC. On the one hand, PP fiber has a low melting point. Therefore, it is easy to gasify at high temperatures, providing a channel for escaping water vapor, thereby reducing the damage to concrete caused by internal pressure. On the other hand, basalt fiber has exceptionally high tensile strength. As a result, it can be used in an environment of 760 °C for a long time and withstand high temperatures above 1000 °C in the short term. Therefore, PP–basalt hybrid fibers can inhibit the generation and development of cracks on the surface of RAC under a high-temperature environment and improve the high-temperature resistance of RAC.
The effect of different fibers on the high-temperature resistance of RAC is summarized in Table 3. It can be observed that the residual compressive strength of concrete decreases to a large extent when the temperature reaches 600 °C. It can be seen from the table that the incorporation of a certain volume fraction of glass fiber helps to improve the compressive properties of concrete after high temperatures. When the fiber content is 0.5%, the effect of glass fiber on the residual compressive strength of RAC after the high temperature is the best, and the improvement effect is more evident over 400 °C. It is mainly because the glass fiber has a high melting point and can maintain high toughness and tensile strength at 600 °C. Glass fiber can play a bridging role in the concrete, inhibiting the deformation and development of cracks caused by high temperatures to a certain extent. Eventually, the glass fiber improves the residual compressive strength of concrete after high temperatures [116]. The PP–basalt hybrid fibers have a better effect on improving the compressive strength of RAC after high temperatures [115]. When the temperature increased from 20 °C to 200 °C, the residual compressive strength of RAC without fibers decreased by 7.48%. However, the residual compressive strength of RAC mixed with PP–basalt fibers increased by 3.31~8.73%. This is because a large amount of cement slurry wraps the fibers in the RAC, and the water vapor generated at the high temperature promotes the secondary hydration of the uncured cement inside, thereby increasing the residual compressive strength of the RAC. By comparison, the improvement effect of hybrid fibers on the high-temperature residual compressive strength of RAC is often better than that of a single fiber [117]. At a high temperature of 600 °C, the residual compressive strength of RAC mixed with 0.1% PP fiber and 0.1% basalt fiber was the lowest, only 27.34%. However, the residual compressive strength of RAC without hybrid fibers reinforcement decreased by 43.76% after exposure to a high temperature of 600 °C. The PP–basalt hybrid fibers can effectively enhance the high-temperature compressive performance of RAC.
Table 3.
Change rate of compressive strength of fiber RAC under high temperature.
The high temperature will reduce the tensile properties of concrete [121]. It summarizes the effect of different fiber types and fiber content on the high-temperature residual tensile strength of concrete in Figure 13. By analyzing Figure 13a–c, the RA can affect the tensile properties of concrete. The higher the replacement rate of RA, the more pronounced the deterioration of the tensile properties of concrete at high temperatures [122]. Pliya et al. [123] believed that micro-cracks had already occurred during the crushing process of RA, and the cracks continued to expand in the high-temperature environment, resulting in a rapid decrease in the residual tensile strength of concrete. NA has a dense structure and high strength, and the tensile property of concrete made of NA is usually better than those of RAC at high temperatures. The incorporation of fibers can improve the high-temperature tensile strength of RAC [124]. At 400 °C, the improvement effect of glass fiber on the high-temperature tensile properties of RAC is the most significant. Within a specific range of fiber content, the improvement effect increases with the increase of fiber content. The improvement effect of steel fiber on the high-temperature tensile properties of concrete is prominent. Within a specific range, the improvement effect increases with the increase of the volume content of steel fiber. The improvement effect of PP–basalt hybrid fibers on the high-temperature tensile properties of RAC is also apparent. The improvement effect is the best when the content of PP fiber and basalt fiber are both 0.1%. Wu et al. [125] also concluded that high-temperature mechanical properties of RAC with hybrid fibers are often better than that of a single fiber.
Figure 13.
Effects of different fibers on tensile strength of concrete at high temperature: (a) Changes on tensile strength of RA(30%) with glass fiber [114]; (b) Changes on tensile strength of RA(60%) with glass fiber [114]; (c) Changes on tensile strength of RA with steel fiber [118]; (d) Changes on tensile strength of RA with PP–basalt hybrid fibers [115].
6. Freeze–Thaw Cycle
Gokcea et al. [126] concluded that recycled coarse aggregate significantly affects the frost resistance of concrete. Many RA microcracks and delicate pores are easily generated during the crushing process, resulting in RAC with high water absorption, which is more likely to reach the critical water saturation for freeze–thaw damage [127]. Therefore, compared with NAC, RAC is more affected by freeze–thaw cycles. Especially in severe cold regions, concrete frost resistance is one of the essential indicators to evaluate the durability of concrete, which determines the safety and long-term working performance of concrete structures [128]. Ma et al. [129] concluded that the interface of RAC is more complex than that of NAC. In particular, the interface bond between the old and new mortar is more loose compared to other bonded parts, which in turn increases the water transport channels and reduces the frost resistance of the RAC. Under the action of freeze–thaw cycles, the rate of decrease in the dynamic elastic modulus of RAC is approximately 1.76 times higher than that of NAC. Besides, the mass-loss rate is significantly higher than that of NAC [130].
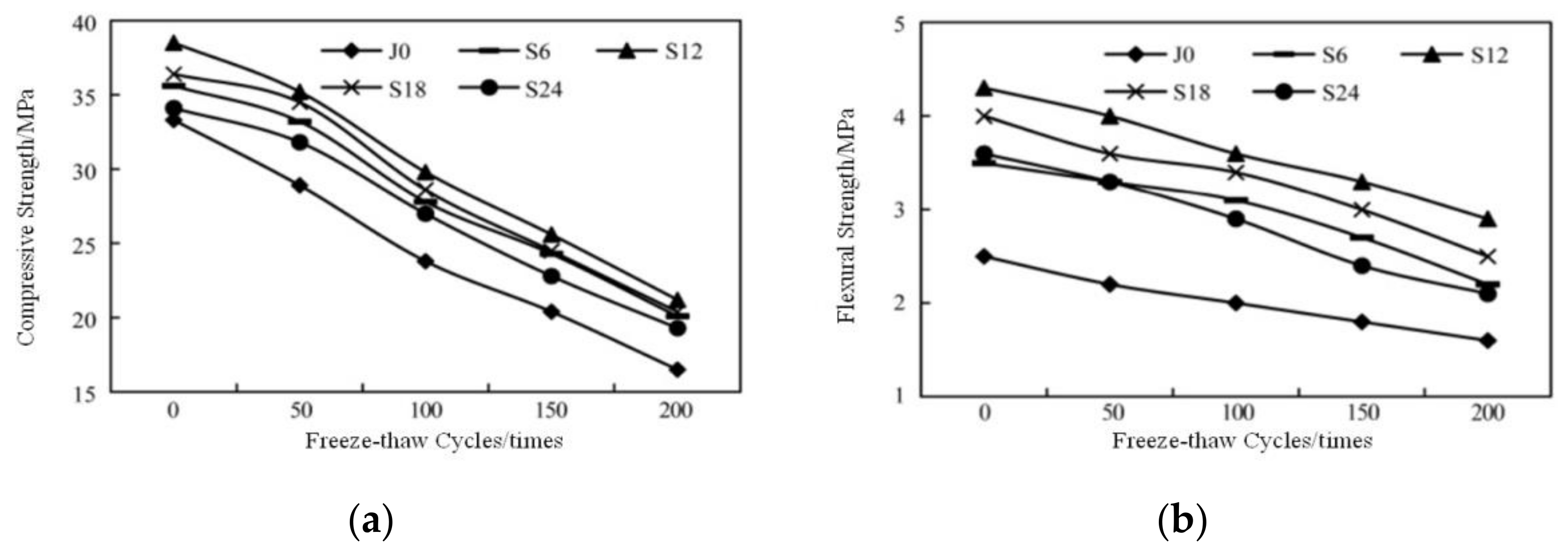
Baena et al. [131] concluded that incorporating fibers in concrete can improve its frost resistance. The fibers are distributed in a three-dimensional chaotic state in the RAC, which can connect the cracks inside the RAC and bear the water pressure and ice expansion force due to freeze–thaw action. Thereby, fibers serve to improve the frost resistance of RAC [132]. Ren et al. [133] studied the effect of basalt fiber on the frost resistance of RAC and conducted freeze–thaw cycle tests on concrete specimens according to the specification GB/T 50082-2009. Furthermore, before the preparation of concrete specimens, all aggregates were treated in a saturated surface dry state to reduce the influence of water absorption on the properties of concrete after hardening. The results showed that after 100 freeze–thaw cycles, the compressive strength of fiber-reinforced RAC was 16% to 32% higher than that of NAC. Nam et al. [134] investigated the effect of short-cut fibers on the freeze-resistance of cement composites. The addition of fibers to cement composites was beneficial in improving frost resistance, and the enhancement effect of composite fibers was better than that of a single fiber. Huo et al. [135] investigated the effect of steel and PP fibers on the frost resistance of RAC. It is found that the incorporation of appropriate amounts of steel and PP fibers would slow down the rate of decline in the relative dynamic elastic modulus and freeze–thaw damage of RAC. However, the excessive amount of fibers would lead to a decrease in the freezing resistance.
It shows the changes in the relative dynamic elastic modulus of steel and PP fibers at different freeze–thaw cycles in Figure 14. It can be seen that steel fiber does not play a role in improving the relative dynamic elastic modulus of RAC when the volume dose of fiber is less than 0.5%. When the content exceeds 0.5%, the role of steel fiber on the frost resistance of RAC becomes apparent, and the enhancement effect increases with the improvement of steel fiber content in a specific range. For PP fiber, the best effect of PP fiber on the frost resistance of RAC was observed at an admixture of 0.2 kg/m3. Li et al. [136] concluded that adding basalt fiber could slow down the freeze–thaw damage of RAC. It shows the changes in compressive strength and splitting tensile strength of basalt fiber with different contents after freeze–thaw cycles in Figure 15 [137]. The residual compressive and splitting tensile strengths of RAC gradually decreased as the number of freeze–thaw cycles increased, but the decrease varied for RAC mixed with different contents of basalt fiber. It can be seen From Figure 15 that in a particular content range, the incorporation of basalt fiber can effectively improve the mechanical properties of RAC after freeze–thawing. After 200 freeze–thaw cycles, the residual compressive and splitting compressive strengths of RAC with 1.2 kg/m3 basalt fiber were 128% and 181% of those of RAC without fibers, respectively.
Figure 14.
Effect of different fiber content on relative dynamic elastic modulus [135]: (a) Steel fiber; (b) Polypropylene fiber.
Figure 15.
Effect of steel fiber content on the mechanical properties of RAC after freeze–thaw cycles [137]: (a) Variation in compressive strength; (b) Variation in tensile strength.
7. Conclusions
This paper summarizes the previous research on fiber-reinforced RAC. It considers the fiber types, admixture amounts, and other factors to derive the effects of fibers on the mechanical properties and high/low-temperature resistance of RAC. Based on the literature summary, the following conclusions can be drawn.
- Different mixing sequences and methods will affect the distribution of fiber in concrete, and then affect the reinforcement effect of fiber on concrete. The method of adding a small number of fibers many times is better than the method of adding all fibers at one time. Moreover, fiber-reinforced concrete is prepared in the order of adding fiber first and then mixing water, which can often make the distribution of fiber in concrete more uniform.
- Fibers similarly influence the compressive strength of RAC and natural aggregate concrete. When the amount of fiber is excess, it will even reduce the compressive strength of concrete. However, fibers can ameliorate the damage pattern of concrete when compressive damage occurs. In other words, the integrity of concrete specimens with fiber reinforcement is better when compressive damage occurs.
- Natural aggregates have lower water absorption and crush values, and the aggregates themselves are complicated with fewer microcracks. Therefore, it often occurs interface transition zone failure. Flexible fibers are usually softer and have a smaller diameter, which can better bridge the interface transition zone. Therefore, it is recommended to use flexible fibers to reinforce natural aggregate concrete.
- Different from natural aggregate, RA has higher water absorption and crushing value. High water absorption will lead to lower fluidity of RAC on the one hand and indirectly improve the strength of concrete due to the decrease of water-cement ratio on the other hand. In low and medium strength RAC, the strength enhancement caused by high water absorption is dominant; in high strength RAC, the strength weakening caused by the high crushing value of an aggregate is dominant.
- Fiber has a significant effect on the flexural strength enhancement of RAC. By comparing several fibers on RAC flexural performance enhancement effect, it is found that carbon fiber has the best enhancement effect. The flexural strength of RAC is improved by 56% at the 0.2% volume content of carbon fiber. Hybrid fibers also have a good improvement effect on the flexural properties of RAC.
- The rougher the surface and the more curved the shape of the fibers, the better the bonding performance with the concrete matrix, and thus the better the mechanical property enhancement of RAC.
- High temperature has a significant impact on concrete. Compared with NAC, the high-temperature resistance of RAC is worse. The high-temperature resistance will decrease rapidly with the increase in RA amount. Under high temperatures, fibers with a lower melting point can form channels within the concrete, reducing the internal pressure of water vapor on RAC. Fibers with a higher melting point can still play a bridging role under high temperatures, inhibiting the generation and development of cracks in RAC and improving high-temperature resistance.
- There is a high water absorption rate on RAC, making RAC more likely to reach the critical water saturation of freeze–thaw damage. Fibers can significantly enhance the frost resistance of RAC. The types and amounts of fibers will affect the frost resistance. The frost resistance of RAC is the best when the content of PP and basalt fiber is 0.2 kg/m3 and 1.2 kg/m3, respectively.
Author Contributions
Conceptualization and methodology, Y.J.; methodology and data curation, X.Y.; investigation, H.Z., Q.G.; formal analysis, F.W., S.W.; writing—original draft preparation, Z.P., X.Y.; funding acquisition, Y.J. All authors have read and agreed to the published version of the manuscript.
Funding
This research was funded by the National College Students Innovation and Entrepreneurship Training Program (202110225187).
Institutional Review Board Statement
Not applicable.
Informed Consent Statement
Not applicable.
Data Availability Statement
All data generated or analyzed during this study are included in this published article.
Conflicts of Interest
The authors declare no conflict of interest.
References
- Xiao, J.Z.; Li, J.B.; Lan, Y. Recent progress and review of research on reclaimed concrete technology. Concrete 2003, 10, 17–21. [Google Scholar]
- Al Ajmani, H.; Suleiman, F.; Abuzayed, I.; Tamimi, A. Evaluation of Concrete Strength Made with Recycled Aggregate. Buildings 2019, 9, 56. [Google Scholar] [CrossRef]
- Lin, L.; Wu, B. Water permeability behavior of recycled lump/aggregate concrete. Constr. Build. Mater. 2022, 323, 126508. [Google Scholar] [CrossRef]
- Kox, S.; Vanroelen, G.; Van Herck, J.; de Krem, H.; Vandoren, B. Experimental evaluation of the high-grade properties of recycled concrete aggregates and their application in concrete road pavement construction. Case Stud. Constr. Mater. 2019, 11, e00282. [Google Scholar] [CrossRef]
- Xiao, J.Z.; Zhang, P.; Zhang, Q.T. Basic mechanical properties of sea sand recycled concrete. J. Build. Eng. 2018, 35, 16–22. [Google Scholar]
- Yang, Z.-C.; Han, L.-H.; Hou, C. Performance of recycled aggregate concrete-filled steel tubular columns under combined compression and shear load. Eng. Struct. 2022, 253, 113771. [Google Scholar] [CrossRef]
- Xiao, J.; Li, J.; Zhang, C. Mechanical properties of recycled aggregate concrete under uniaxial loading. Cem. Concr. Res. 2005, 35, 1187–1194. [Google Scholar] [CrossRef]
- Revilla-Cuesta, V.; Evangelista, L.; de Brito, J.; Skaf, M.; Manso, J.M. Shrinkage prediction of recycled aggregate structural concrete with alternative binders through partial correction coefficients. Cem. Concr. Compos. 2022, 129, 104506. [Google Scholar] [CrossRef]
- Sosa, M.E.; Zaccardi, Y.A.V.; Zega, C.J. A critical review of the resulting effective water-to-cement ratio of fine recycled aggregate concrete. Constr. Build. Mater. 2021, 313, 125536. [Google Scholar] [CrossRef]
- Yan, B.; Huang, L.; Yan, L.; Gao, C.; Kasal, B. Behavior of flax FRP tube encased recycled aggregate concrete with clay brick aggregate. Constr. Build. Mater. 2017, 136, 265–276. [Google Scholar] [CrossRef]
- Anike, E.E.; Saidani, M.; Olubanwo, A.O.; Anya, U.C. Flexural performance of reinforced concrete beams with recycled aggregates and steel fibres. Structures 2022, 39, 1264–1278. [Google Scholar] [CrossRef]
- Yang, W.; Tang, Z.; Wu, W.; Zhang, K.; Yuan, J.; Li, H.; Feng, Z. Effect of different fibers on impermeability of steam cured recycled concrete. Constr. Build. Mater. 2022, 328, 127063. [Google Scholar] [CrossRef]
- Abed, M.A.; Fořt, J.; Naoulo, A.; Essa, A. Influence of Polypropylene and Steel Fibers on the Performance and Crack Repair of Self-Compacting Concrete. Materials 2021, 14, 5506. [Google Scholar] [CrossRef] [PubMed]
- Kang, T.H.-K.; Kim, W.; Kwak, Y.-K.; Hong, S.-G. Shear Testing of Steel Fiber-Reinforced Lightweight Concrete Beams without Web Reinforcement. ACI Struct. J. 2011, 108, 553. [Google Scholar]
- Zheng, Y.; Zhuo, J.; Zhang, P. A review on durability of nano-SiO2 and basalt fiber modified recycled aggregate concrete. Constr. Build. Mater. 2021, 304, 124659. [Google Scholar] [CrossRef]
- Wang, D.; Ju, Y.; Shen, H.; Xu, L. Mechanical properties of high performance concrete reinforced with basalt fiber and polypropylene fiber. Constr. Build. Mater. 2019, 197, 464–473. [Google Scholar] [CrossRef]
- Soe, K.T.; Zhang, Y.X.; Zhang, L.C. Material properties of a new hybrid fibre-reinforced engineered cementitious composite. Constr. Build. Mater. 2013, 43, 399–407. [Google Scholar] [CrossRef]
- Behfarnia, K.; Behravan, A. Application of high performance polypropylene fibers in concrete lining of water tunnels. Mater. Des. 2014, 55, 274–279. [Google Scholar] [CrossRef]
- Zhang, J.W.; Yang, Z.; Li, S.J.; Peng, H.J. Investigation on mechanical property adjustment of multi-scale hybrid fiber-reinforced concrete. Case Stud. Constr. Mater. 2022, 16, e01076. [Google Scholar]
- Ranjbar, N.; Zhang, M. Fiber-reinforced geopolymer composites: A review. Cem. Concr. Compos. 2020, 107, 103498. [Google Scholar] [CrossRef]
- ACI. State-of-the-Art Report on Fiber Reinforced Concrete; American Concrete Institute: Detroit, MI, USA, 1982; p. 554. [Google Scholar]
- ACI. Fiber Reinforced Concrete—Properties and Applications; American Concrete Institute: Detroit, MI, USA, 1987; p. 105. [Google Scholar]
- Sree, K.S.S.; Koniki, S. Mechanical Properties of PVA & Steel Hybrid Fiber Reinforced Concrete. E3S Web Conf. 2021, 309, 01174. [Google Scholar]
- Guler, S.; Akbulut, Z.F. Effect of freeze-thaw cycles on strength and toughness properties of new generation 3D/4D/5D steel fiber-reinforced concrete. J. Build. Eng. 2022, 51, 104239. [Google Scholar] [CrossRef]
- Wang, Z.; Ma, G.; Ma, Z.; Zhang, Y. Flexural behavior of carbon fiber-reinforced concrete beams under impact loading. Cem. Concr. Compos. 2021, 118, 103910. [Google Scholar] [CrossRef]
- Zegardło, B. Heat-resistant concretes containing waste carbon fibers from the sailing industry and recycled ceramic aggregates. Case Stud. Constr. Mater. 2022, 16, e01084. [Google Scholar] [CrossRef]
- Balgourinejad, N.; Haghighifar, M.; Madandoust, R.; Charkhtab, S. Experimental study on mechanical properties, microstructural of lightweight concrete incorporating polypropylene fibers and metakaolin at high temperatures. J. Mater. Res. Technol. 2022, 18, 5238–5256. [Google Scholar] [CrossRef]
- Yan, H.; Gao, D.; Guo, A.; Gu, Z.; Ji, D.; Zhang, Y. Monotonic and cyclic bond responses of steel bar with steel-polypropylene hybrid fiber reinforced recycled aggregate concrete. Constr. Build. Mater. 2022, 327, 127031. [Google Scholar] [CrossRef]
- Liu, F.; Ding, W.; Qiao, Y. Experimental investigation on the tensile behavior of hybrid steel-PVA fiber reinforced concrete containing fly ash and slag powder. Constr. Build. Mater. 2020, 241, 118000. [Google Scholar] [CrossRef]
- Noushini, A.; Samali, B.; Vessalas, K. Effect of polyvinyl alcohol (PVA) fibre on dynamic and material properties of fibre reinforced concrete. Constr. Build. Mater. 2013, 49, 374–383. [Google Scholar] [CrossRef]
- Chhetri, S.; Sarwar, A.; Steer, J.; Dhib, R.; Bougherara, H. Design of a bi-layer coating configuration on ultra-high molecular weight polyethylene (UHMWPE) fibre surface to derive synergistic response on interfacial bond strength. Compos. Part A Appl. Sci. Manuf. 2022, 152, 106678. [Google Scholar] [CrossRef]
- Zhang, Y.W.; Yan, L.H.; Liang, Q.H.; Li, L.F. Research on static mechanical properties of ultra-high molecular weight polyethylene fiber reinforced concrete. Adv. Eng. Sci. 2017, 49, 257–262. [Google Scholar]
- Wen, C.; Zhang, P.; Wang, J.; Hu, S. Influence of fibers on the mechanical properties and durability of ultra-high-performance concrete: A review. J. Build. Eng. 2022, 52, 104370. [Google Scholar] [CrossRef]
- Guo, Y.; Chen, Z.; Li, F.; Xu, X.; Chen, J.; Ren, Y.; Wang, Y. Study on formability and failure modes of steel/CFRP based FMLs consisting of carbon fiber reinforced polymer prepreg and steel sheet. Compos. Struct. 2022, 281, 114980. [Google Scholar] [CrossRef]
- Tabatabaei, Z.S.; Volz, J.S.; Keener, D.I.; Gliha, B.P. Comparative impact behavior of four long carbon fiber reinforced concretes. Mater. Des. 2014, 55, 212–223. [Google Scholar] [CrossRef]
- Sudhin, A.; Remanan, M.; Ajeesh, G.; Jayanarayanan, K. Comparison of Properties of Carbon Fiber Reinforced Thermoplastic and Thermosetting Composites for Aerospace Applications. Mater. Today Proc. 2020, 24, 453–462. [Google Scholar] [CrossRef]
- Jeon, E.-B.; Ahn, S.; Lee, I.-G.; Koh, H.-I.; Park, J.; Kim, H.-S. Investigation of mechanical/dynamic properties of carbon fiber reinforced polymer concrete for low noise railway slab. Compos. Struct. 2015, 134, 27–35. [Google Scholar] [CrossRef]
- Shu, X.; Graham, R.K.; Huang, B.; Burdette, E.G. Hybrid effects of carbon fibers on mechanical properties of Portland cement mortar. Mater. Des. 2015, 65, 1222–1228. [Google Scholar] [CrossRef]
- Varghese, T.K.; Joji, L.A.; Sebastian, N.; Niranjan, V.V.; Sidheek, P.A.; Joseph, M. Carbon fiber reinforced medical implants. Mater. Today Proc. 2022, 56, 121–125. [Google Scholar] [CrossRef]
- Singh, Y.; Singh, J.; Sharma, S.; Lam, T.-D.; Nguyen, D.-N. Fabrication and characterization of coir/carbon-fiber reinforced epoxy based hybrid composite for helmet shells and sports-good applications: Influence of fiber surface modifications on the mechanical, thermal and morphological properties. J. Mater. Res. Technol. 2020, 9, 15593–15603. [Google Scholar] [CrossRef]
- Liang, N.H. Multi-Scale Polypropylene Fiber Reinforced Concrete Mechanical Properties Test and Tensile and Compressive Damage Constitutive Model Research; Chongqing University: Chongqing, China, 2014. [Google Scholar]
- Akın, S.K.; Kartal, S.; Müsevitoğlu, A.; Sancıoğlu, S.; Zia, A.J.; İlgün, A. Macro and micro polypropylene fiber effect on reinforced concrete beams with insufficient lap splice length. Case Stud. Constr. Mater. 2022, 16, e01005. [Google Scholar] [CrossRef]
- Gencel, O.; Kazmi, S.M.S.; Munir, M.J.; Kaplan, G.; Bayraktar, O.Y.; Yarar, D.O.; Karimipour, A.; Ahmad, M.R. Influence of bottom ash and polypropylene fibers on the physico-mechanical, durability and thermal performance of foam concrete: An experimental investigation. Constr. Build. Mater. 2021, 306, 124887. [Google Scholar] [CrossRef]
- Xiong, Y. Mechanical Properties and Finite Element Analysis of PVA Fiber Reinforced Concrete; Hubei University of Technology: Wuhan, China, 2016. [Google Scholar]
- Lin, H. Research on Mechanical and Deformation Properties of PVA Fiber Reinforced Concrete; Nanjing University of Aeronautics and Astronautics: Nanjing, China, 2006. [Google Scholar]
- Sui, Y.; Li, J.; Qiu, Z.; Cui, Y.; Cong, C.; Meng, X.; Ye, H.; Zhou, Q. Effects of the sintering temperature on the superior cryogenic toughness of ultra-high molecular weight polyethylene (UHMWPE). Chem. Eng. J. 2022, 444, 136366. [Google Scholar] [CrossRef]
- Verma, N.; Pathak, H.; Keshri, A.K.; Prasad, A.; Zafar, S. Influence of UV exposure on mechanical behavior and cellular compatibility of nano-hydroxyapatite reinforced ultra-high molecular weight polyethylene. Mater. Today Commun. 2022, 31, 103542. [Google Scholar] [CrossRef]
- Gürgen, S. Wear behavior of UHMWPE composites under oxidative effect. Polym. Degrad. Stab. 2022, 199, 109912. [Google Scholar] [CrossRef]
- Hu, P.; Yang, H.; Zhang, P.; Wang, W.; Liu, J.; Cheng, Y. Experimental and numerical investigations into the ballistic performance of ultra-high molecular weight polyethylene fiber-reinforced laminates. Compos. Struct. 2022, 290, 115499. [Google Scholar] [CrossRef]
- Wang, J.; Dai, Q.; Si, R.; Guo, S. Investigation of properties and performances of Polyvinyl Alcohol (PVA) fiber-reinforced rubber concrete. Constr. Build. Mater. 2018, 193, 631–642. [Google Scholar] [CrossRef]
- Li, M.; He, H.; Senetakis, K. Behavior of carbon fiber-reinforced recycled concrete aggregate. Geosynth. Int. 2017, 24, 480–490. [Google Scholar] [CrossRef]
- Akça, K.R.; Çakır, Ö.; Ipek, M. Properties of polypropylene fiber reinforced concrete using recycled aggregates. Constr. Build. Mater. 2015, 98, 620–630. [Google Scholar] [CrossRef]
- Matar, P.; Zéhil, G.-P. Effects of Polypropylene Fibers on the Physical and Mechanical Properties of Recycled Aggregate Concrete. J. Wuhan Univ. Technol. Sci. Ed. 2019, 34, 1327–1344. [Google Scholar] [CrossRef]
- Miletić, M.; Kumar, L.M.; Arns, J.-Y.; Agarwal, A.; Foster, S.J.; Arns, C.; Perić, D. Gradient-based fibre detection method on 3D micro-CT tomographic image for defining fibre orientation bias in ultra-high-performance concrete. Cem. Concr. Res. 2020, 129, 105962. [Google Scholar] [CrossRef]
- Zhang, C.; Wang, Y.; Zhang, X.; Ding, Y.; Xu, P. Mechanical properties and microstructure of basalt fiber-reinforced recycled concrete. J. Clean. Prod. 2021, 278, 123252. [Google Scholar] [CrossRef]
- Das, C.S.; Dey, T.; Dandapat, R.; Mukharjee, B.B.; Kumar, J. Performance evaluation of polypropylene fibre reinforced recycled aggregate concrete. Constr. Build. Mater. 2018, 189, 649–659. [Google Scholar] [CrossRef]
- Meng, T.; Wei, H.; Dai, D.; Liao, J.; Ahmed, S. Effect of brick aggregate on failure process of mixed recycled aggregate concrete via X-CT. Constr. Build. Mater. 2022, 327, 126934. [Google Scholar] [CrossRef]
- Alsadey, S. Properties of concrete using crushed brick as coarse aggregate. Int. J. Adv. Mech. Civ. Eng. 2019, 6, 43–47. [Google Scholar]
- Dang, J.; Zhao, J.; Pang, S.D.; Zhao, S. Durability and microstructural properties of concrete with recycled brick as fine aggregates. Constr. Build. Mater. 2020, 262, 120032. [Google Scholar] [CrossRef]
- Zhang, B.; Wang, S.L.; Du, Y.F. Influence of crushing value index on compressive strength of recycled concrete. Ind. Archit. 2013, 43, 6. [Google Scholar]
- Yang, Q. Research on the Effect of Water Absorption of Regenerated Orthopedics on the Physical and Mechanical Properties of Recycled Concrete; Zhejiang University: Hangzhou, China, 2011. [Google Scholar]
- Kurda, R.; de Brito, J.; Silvestre, J.D. Water absorption and electrical resistivity of concrete with recycled concrete aggregates and fly ash. Cem. Concr. Compos. 2019, 95, 169–182. [Google Scholar] [CrossRef]
- Rahal, K.N.; Hassan, W. Shear strength of plain concrete made of recycled low-strength concrete aggregates and natural aggregates. Constr. Build. Mater. 2021, 311, 125317. [Google Scholar] [CrossRef]
- Lu, Z.; Tan, Q.; Lin, J.; Wang, D. Properties investigation of recycled aggregates and concrete modified by accelerated carbonation through increased temperature. Constr. Build. Mater. 2022, 341, 127813. [Google Scholar] [CrossRef]
- Zhang, H.; Xiao, J.; Tang, Y.; Duan, Z.; Poon, C.-S. Long-term shrinkage and mechanical properties of fully recycled aggregate concrete: Testing and modelling. Cem. Concr. Compos. 2022, 130, 104527. [Google Scholar] [CrossRef]
- Wang, C.; Xiao, J.; Liu, W.; Ma, Z. Unloading and reloading stress-strain relationship of recycled aggregate concrete reinforced with steel/polypropylene fibers under uniaxial low-cycle loadings. Cem. Concr. Compos. 2022, 131, 104597. [Google Scholar] [CrossRef]
- Gao, D.; Wang, F. Effects of recycled fine aggregate and steel fiber on compressive and splitting tensile properties of concrete. J. Build. Eng. 2021, 44, 102631. [Google Scholar] [CrossRef]
- Grzymski, F.; Musiał, M.; Trapko, T. Mechanical properties of fibre reinforced concrete with recycled fibres. Constr. Build. Mater. 2019, 198, 323–331. [Google Scholar] [CrossRef]
- He, W.C.; Kong, X.Q.; Zhou, C. Research on mechanical properties and microstructure of steel fiber recycled concrete. Concrete 2020, 6, 44–49. [Google Scholar]
- Nuaklong, P.; Wongsa, A.; Boonserm, K.; Ngohpok, C.; Jongvivatsakul, P.; Sata, V.; Sukontasukkul, P.; Chindaprasirt, P. Enhancement of mechanical properties of fly ash geopolymer containing fine recycled concrete aggregate with micro carbon fiber. J. Build. Eng. 2021, 41, 102403. [Google Scholar] [CrossRef]
- Yu, F.; Wang, H.; Song, J.; Fang, Y.; Xu, B.; Wang, J.; Shen, W. Deformation analysis of flexural PVA fiber-reinforced RAC slabs. Structures 2022, 37, 661–670. [Google Scholar] [CrossRef]
- Zhang, Y.Z. Experimental study on the compressive performance of PVA fiber recycled concrete. J. Zhong Yuan Univ. Technol. 2021, 32, 60–65. [Google Scholar]
- Zhang, Y.W.; Yan, L.H.; Li, L.F. Experimental research on anti-penetration properties of UHMWPE fiber reinforced concrete. Prot. Eng. 2014, 36, 5. [Google Scholar]
- Xiao, J.Z. Recycled Concrete, 1st ed.; China Construction Industry Press: Beijing, China, 2008; pp. 132–145. [Google Scholar]
- Zhang, W.; Wang, S.; Zhao, P.; Lu, L.; Cheng, X. Effect of the optimized triple mixing method on the ITZ microstructure and performance of recycled aggregate concrete. Constr. Build. Mater. 2019, 203, 601–607. [Google Scholar] [CrossRef]
- Afroughsabet, V.; Biolzi, L.; Ozbakkaloglu, T. Influence of double hooked-end steel fibers and slag on mechanical and durability properties of high performance recycled aggregate concrete. Compos. Struct. 2017, 181, 273–284. [Google Scholar] [CrossRef]
- Sivakumar, A.; Santhanam, M. A quantitative study on the plastic shrinkage cracking in high strength hybrid fibre reinforced concrete. Cem. Concr. Compos. 2007, 29, 575–581. [Google Scholar] [CrossRef]
- Islam, M.J.; Islam, K.; Shahjalal, M.; Khatun, E.; Islam, S.; Razzaque, A.B. Influence of different types of fibers on the mechanical properties of recycled waste aggregate concrete. Constr. Build. Mater. 2022, 337, 127577. [Google Scholar] [CrossRef]
- Yan, L.; Zhang, Y.; Zhu, L. Basic mechanical properties of ultra high molecular weight polyethylene fiber reinforced concrete. J. Natl. Univ. Def. Technol. 2014, 36, 43–47. [Google Scholar]
- Tong, Y. Experimental Study on the Effect of Basalt Fiber on the Mechanical Properties of Recycled Concrete; Hubei University of Technology: Wuhan, China, 2020. [Google Scholar]
- Ahmadi, M.; Farzin, S.; Hassani, A.; Motamedi, M. Mechanical properties of the concrete containing recycled fibers and aggregates. Constr. Build. Mater. 2017, 144, 392–398. [Google Scholar] [CrossRef]
- Wani, T.A.; Ganesh, S. Study on fresh properties, mechanical properties and microstructure behavior of fiber reinforced self compacting concrete: A review. Mater. Today Proc. 2022, 62, 6663–6670. [Google Scholar] [CrossRef]
- Alhaji, M.A.; Sharma, P.K. Combined effects of rice husk ash and hybrid fibres on the fresh and mechanical properties of recycled aggregate concrete. Mater. Today Proc. 2022, 62, 6695–6700. [Google Scholar] [CrossRef]
- Shen, Q.Z. Research on Mechanical Properties of PVA/Steel Hybrid Fiber Reinforced Cement Concrete; Chang An University: Xi’an, China, 2013. [Google Scholar]
- Narayanan, S.; Muniasamy, G.; Kumar, P.S.; Ragul, K.A.; Muni Selvam, M. Past investigations on mechanical and durability properties of hybrid fiber reinforced concrete. Int. J. Civ. Eng. 2019, 10, 1–10. [Google Scholar]
- Mastali, M.; Dalvand, A.; Sattarifard, A.R.; Abdollahnejad, Z.; Illikainen, M. Characterization and optimization of hardened properties of self-consolidating concrete incorporating recycled steel, industrial steel, polypropylene and hybrid fibers. Compos. Part B Eng. 2018, 151, 186–200. [Google Scholar] [CrossRef]
- Fu, Q.; Xu, W.; Bu, M.; Guo, B.; Niu, D. Effect and action mechanism of fibers on mechanical behavior of hybrid basalt-polypropylene fiber-reinforced concrete. Structures 2021, 34, 3596–3610. [Google Scholar] [CrossRef]
- Hossain, F.Z.; Shahjalal, M.; Islam, K.; Tiznobaik, M.; Alam, M.S. Mechanical properties of recycled aggregate concrete containing crumb rubber and polypropylene fiber. Constr. Build. Mater. 2019, 225, 983–996. [Google Scholar] [CrossRef]
- Su, J.; Qin, H.J.; Shi, C.J.; Fang, Z. Experimental Study on Scale Effect of Flexural Strength of Steel Fiber Reinforced Recycled Concrete. J. Hunan Univ. 2021, 48, 7. [Google Scholar]
- Sriram, M.; Sidhaarth, K.A. Various properties of natural and artificial fibers with cementitious composites in hybrid form—A review. Mater. Today Proc. 2022, 60, 2018–2025. [Google Scholar] [CrossRef]
- Vijayan, V.; Jayakesh, K.; Anand, K.B. Mechanical properties of recycled aggregates concrete with sisal fiber and silica fume. Mater. Today Proc. 2022, 55, 1–8. [Google Scholar] [CrossRef]
- Benedetty, C.A.; Krahl, P.A.; Almeida, L.C.; Trautwein, L.M.; Siqueira, G.H.; de Andrade Silvab, F. Interfacial mechanics of steel fibers in a High-Strength Fiber-Reinforced Self Compacting Concrete. Constr. Build. Mater. 2021, 301, 124344. [Google Scholar] [CrossRef]
- Du, X.; Li, Y.; Si, Z.; Huang, L.; Chen, X. Effects of basalt fiber and polyvinyl alcohol fiber on the properties of recycled aggregate concrete and optimization of fiber contents. Constr. Build. Mater. 2022, 340, 127646. [Google Scholar] [CrossRef]
- Liang, N.; Mao, J.; Yan, R.; Liu, X.; Zhou, X. Corrosion resistance of multiscale polypropylene fiber-reinforced concrete under sulfate attack. Case Stud. Constr. Mater. 2022, 16, e01065. [Google Scholar] [CrossRef]
- Alwesabi, E.A.H.; Bakar, B.H.A.; Alshaikh, I.M.H.; Abadel, A.A.; Alghamdi, H.; Wasim, M. An experimental study of compressive toughness of Steel–Polypropylene hybrid Fibre-Reinforced concrete. Structures 2022, 37, 379–388. [Google Scholar] [CrossRef]
- Cheng, F. Study on Static and Impact Resistance of PVA Fiber-Reinforced Recycled Coarse Aggregate Concrete; Henan Polytechnic University: Jiaozuo, China, 2020. [Google Scholar]
- Shen, D.; Kang, J.; Yi, X.; Zhou, L.; Shi, X. Effect of double hooked-end steel fiber on early-age cracking potential of high strength concrete in restrained ring specimens. Constr. Build. Mater. 2019, 223, 1095–1105. [Google Scholar] [CrossRef]
- Laxmi, G.; Patil, S.G. Effect of fiber types, shape, aspect ratio and volume fraction on properties of geopolymer concrete–A review. Mater. Today Proc. 2022, 157, 1–9. [Google Scholar] [CrossRef]
- Dimitriou, G.; Savva, P.; Petrou, M.F. Enhancing mechanical and durability properties of recycled aggregate concrete. Constr. Build. Mater. 2018, 158, 228–235. [Google Scholar] [CrossRef]
- Katkhuda, H.; Shatarat, N. Improving the mechanical properties of recycled concrete aggregate using chopped basalt fibers and acid treatment. Constr. Build. Mater. 2017, 140, 328–335. [Google Scholar] [CrossRef]
- Wang, L.D.; Zhou, Z.Y.; Ye, L.F. Experimental study on the effect of composite powder and polypropylene fiber on the frost resistance of recycled concrete. J. Univ. Shanghai Sci. Technol. 2017, 39, 301–306. [Google Scholar]
- Kumar, D.N.; Rao, T.V.; Madhu, T.; Saroja, P.L.N.; Prasad, D.S.V. An experimental study of recycled concrete with polypropylene fiber. Int. J. Innov. Res. Adv. Eng. 2014, 7, 67–75. [Google Scholar]
- Karimipour, A.; Brito, J. Influence of polypropylene fibres and silica fume on the mechanical and fracture properties of ultra-high-performance geopolymer concrete. Constr. Build. Mater. 2021, 283, 122753. [Google Scholar] [CrossRef]
- He, W.; Kong, X.; Fu, Y.; Zhou, C.; Zheng, Z. Experimental investigation on the mechanical properties and microstructure of hybrid fiber reinforced recycled aggregate concrete. Constr. Build. Mater. 2020, 261, 120488. [Google Scholar] [CrossRef]
- Abed, M.; Nemes, R.; Lublóy, É. The impact of time on the heat resistance of self-compacting high-performance concrete incorporated with recycled martials. J. Therm. Anal. Calorim. 2019, 138, 35–45. [Google Scholar] [CrossRef]
- Deng, Z.H.; Huang, H.Q.; Ye, B.; Wang, H.; Xiang, P. Investigation on recycled aggregate concretes exposed to high temperature by biaxial compressive tests. Constr. Build. Mater. 2020, 244, 118048. [Google Scholar] [CrossRef]
- Chen, Z.P.; Zhou, C.H.; Li, Y. Research on mechanical properties of recycled concrete after warming. J. Build. Struct. 2017, 38, 9. [Google Scholar]
- Shaikh, F.U.A. Mechanical properties of concrete containing recycled coarse aggregate at and after exposure to elevated temperatures. Struct. Concr. 2018, 19, 400–410. [Google Scholar] [CrossRef]
- Cree, D.; Green, M.; Noumowé, A. Residual strength of concrete containing recycled materials after exposure to fire: A review. Constr. Build. Mater. 2013, 45, 208–223. [Google Scholar] [CrossRef]
- Serafini, R.; Dantas, S.R.; Agra, R.R.; de la Fuente, A.; Berto, A.F.; de Figueiredo, A.D. Design-oriented assessment of the residual post-fire bearing capacity of precast fiber reinforced concrete tunnel linings. Fire Saf. J. 2022, 127, 103503. [Google Scholar] [CrossRef]
- Mahasneh, B.Z. The effect of addition of fiber reinforcement on fire resistant composite concrete material. J. Appl. Sci. 2005, 5, 373–379. [Google Scholar] [CrossRef]
- Lourenço, L.; Barros, J.A.; Santos, S.P.F. High Strength and Ductile Fibrous Concrete of Enhanced Fire Resistance; Springer: Berlin/Heidelberg, Germany, 2007. [Google Scholar]
- Khaleel, O.R.; Al Wahaibi, M.M.; Abed, M.J.; Dawood, M.; Fayyadh, M.M. Performance of carbon fibre concrete subjected to fire. Mater. Today Proc. 2021, 42, 1160–1165. [Google Scholar] [CrossRef]
- Zhu, R.Y. Study on Mechanical Properties of Glass Fiber Modified Recycled Concrete after High Temperature High Temperature; Xiangtan University: Xiangtan, China, 2021. [Google Scholar]
- Kong, X.Q.; Yuan, S.L.; Dong, J.K. Experimental study on high temperature performance of polypropylene-basalt hybrid fiber recycled concrete. Sci. Technol. Eng. 2018, 18, 6. [Google Scholar]
- Gao, D.Y.; Chen, J.W.; Wang, Y.H. Experimental study on mechanical properties of fiber nano-modified rubber concrete at high temperature. J. Tianjin Univ. Nat. Sci. Eng. Technol. 2018, 51, 8. [Google Scholar]
- Nematzadeh, M.; Shahmansouri, A.A.; Fakoor, M. Post-fire compressive strength of recycled PET aggregate concrete reinforced with steel fibers: Optimization and prediction via RSM and GEP. Constr. Build. Mater. 2020, 252, 119057. [Google Scholar] [CrossRef]
- Chen, G.M.; He, Y.H.; Yang, H.; Chen, J.-F.; Guo, Y.C. Compressive behavior of steel fiber reinforced recycled aggregate concrete after exposure to elevated temperatures. Constr. Build. Mater. 2014, 71, 1–15. [Google Scholar] [CrossRef]
- Wang, W.-C.; Wang, H.-Y.; Chang, K.-H.; Wang, S.-Y. Effect of high temperature on the strength and thermal conductivity of glass fiber concrete. Constr. Build. Mater. 2020, 245, 118387. [Google Scholar] [CrossRef]
- Jeyanthi, J. Thermal conductivity of hybrid fibre reinforced concrete under varying temperature. Mater. Today Proc. 2022, 64, 598–604. [Google Scholar] [CrossRef]
- Moghadam, M.A.; Izadifard, R.A. Effects of steel and glass fibers on mechanical and durability properties of concrete exposed to high temperatures. Fire Saf. J. 2020, 113, 102978. [Google Scholar] [CrossRef]
- Silva, J.B.; Pepe, M.; Toledo, R.D. High temperatures effect on mechanical and physical performance of normal and high strength recycled aggregate concrete. Fire Saf. J. 2020, 117, 103222. [Google Scholar] [CrossRef]
- Pliya, P.; Hajiloo, H.; Romagnosi, S.; Cree, D.; Sarhat, S.; Green, M.F. The compressive behaviour of natural and recycled aggregate concrete during and after exposure to elevated temperatures. J. Build. Eng. 2021, 38, 102214. [Google Scholar] [CrossRef]
- Chandrathilaka, E.R.K.; Baduge, S.K.; Mendis, P.; Thilakarathna, P.S.M. Structural applications of synthetic fibre reinforced cementitious composites: A review on material properties, fire behaviour, durability and structural performance. Structures 2021, 34, 550–574. [Google Scholar] [CrossRef]
- Wu, H.; Lin, X.; Zhou, A. A review of mechanical properties of fibre reinforced concrete at elevated temperatures. Cem. Concr. Res. 2020, 135, 106117. [Google Scholar] [CrossRef]
- Gokce, A.; Nagataki, S.; Saeki, T.; Hisada, M. Freezing and thawing resistance of air-entrained concrete incorporating recycled coarse aggregate: The role of air content in demolished concrete. Cem. Concr. Res. 2004, 34, 799–806. [Google Scholar] [CrossRef]
- Bao, J.W.; Yu, Z.H.; Zhang, P. Research progress on the frost resistance of recycled coarse aggregate concrete and its components. J. Build. Struct. 2022, 43, 16. [Google Scholar]
- Chen, Z.H.; Yuan, C.F. Research progress on frost resistance of recycled aggregate concrete. Concrete 2019, 27, 20–23. [Google Scholar]
- Ma, Z.; Liu, M.; Tang, Q.; Liang, C.; Duan, Z. Chloride permeability of recycled aggregate concrete under the coupling effect of freezing-thawing, elevated temperature or mechanical damage. Constr. Build. Mater. 2020, 237, 117648. [Google Scholar] [CrossRef]
- Wang, W.; Wang, Y.; Chen, Q.; Liu, Y.; Zhang, Y.; Ma, G.; Duan, P. Bond properties of basalt fiber reinforced polymer (BFRP) bars in recycled aggregate thermal insulation concrete under freeze–thaw cycles. Constr. Build. Mater. 2022, 329, 127197. [Google Scholar] [CrossRef]
- Baena, M.; Torres, L.; Turon, A.; Llorens, M.; Barris, C. Bond behaviour between recycled aggregate concrete and glass fibre reinforced polymer bars. Constr. Build. Mater. 2016, 106, 449–460. [Google Scholar] [CrossRef]
- Chen, Z.H.; Yuan, C.F. Review on frost resistance property of recycled aggregate concrete. Concrete 2019, 5, 20–27. [Google Scholar]
- Ren, L.; Zhao, H.L.; Yuan, S.C. Experimental study on basic mechanical properties of basalt fiber reinforced recycled concrete after freezing and thawing. Concrete 2017, 8, 46–51. [Google Scholar]
- Nam, J.; Kim, G.; Lee, B.; Hasegawa, R.; Hama, Y. Frost resistance of polyvinyl alcohol fiber and polypropylene fiber reinforced cementitious composites under freeze thaw cycling. Compos. Part B Eng. 2016, 90, 241–250. [Google Scholar] [CrossRef]
- Huo, J.F.; Wang, C.; Hou, Y.L. Research on the frost resistance and pore structure of fiber regenerated concrete. Bull. Chin. Ceram. Soc. 2018, 37, 5. [Google Scholar]
- Li, Y.; Zhang, J.; He, Y.; Huang, G.; Li, J.; Niu, Z.; Gao, B. A review on durability of basalt fiber reinforced concrete. Compos. Sci. Technol. 2022, 225, 109519. [Google Scholar] [CrossRef]
- Xie, G.L.; Shen, X.D.; Liu, J.Y. Frost resistance and damage degradation model of basalt fiber recycled concrete. Compos. Sci. Eng. 2021, 4, 55–60. [Google Scholar]
Publisher’s Note: MDPI stays neutral with regard to jurisdictional claims in published maps and institutional affiliations. |
© 2022 by the authors. Licensee MDPI, Basel, Switzerland. This article is an open access article distributed under the terms and conditions of the Creative Commons Attribution (CC BY) license (https://creativecommons.org/licenses/by/4.0/).



















