Development and Characterization of Alkali-Activated Lithium Slag-Fly Ash Composite Cement
Abstract
1. Introduction
2. Experimental Method
2.1. Raw Materials
2.2. Specimen Preparation
2.3. Test Method
2.3.1. Laser Particle Size Analysis of LS
2.3.2. Workability of ALFC
2.3.3. Mechanical Properties of ALFC
2.3.4. The XRD Analysis of ALFC
2.3.5. FTIR Analysis of ALFC
2.3.6. SEM/EDS Analyses of ALFC
2.3.7. TG/DTG Analyses of ALFC
3. Results and Discussion
3.1. The Impact of Milling Duration on the Particle Size of LS
3.2. Workability
3.2.1. Effect of W/B on the Fluidity of ALFC
3.2.2. Influence of LS Dosages on the Fluidity of ALFC
3.3. Mechanical Properties
3.3.1. Influence of LS Fineness on the Mechanical Properties of ALFC
3.3.2. Impact of Calcination on the Mechanical Properties of ALFC
3.3.3. Impact of W/B on the Strengths of ALFC
3.3.4. Influence of NaOH Concentration on the Strengths of ALFC
3.3.5. Impact of LS Dosages on the Strengths of ALFC
3.3.6. Statistical Analysis
3.4. XRD Analysis of ALFC
3.4.1. Alterations in Mineral Composition of LS After Calcination
3.4.2. XRD Analysis of ALFC with Different NaOH Dosages
3.4.3. XRD Analysis of ALFC with Various LS Contents
3.5. FTIR Analysis of LS After Calcination Treatment
3.6. Analysis of ALFC by SEM/EDS
3.7. Composition of Hydration Products in ALFC
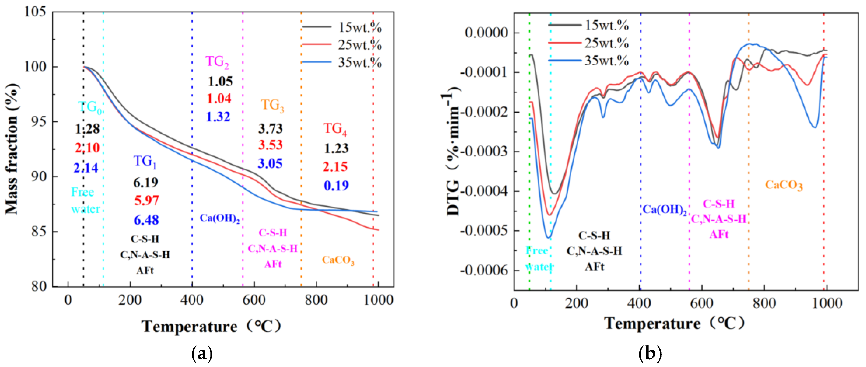
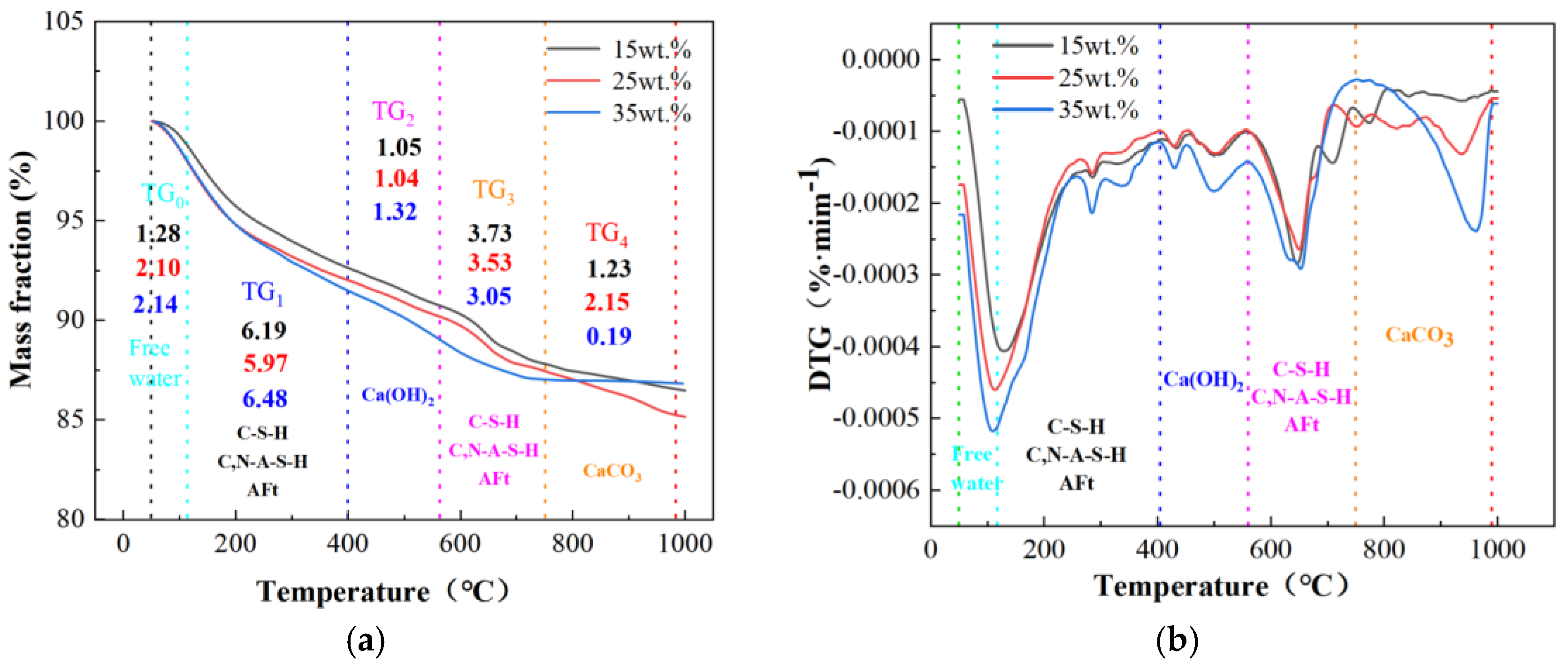
3.8. TG/DTG Analysis of ALFC
3.8.1. Effect of NaOH Concentration on Hydration Products
3.8.2. Effect of LS Content on Hydration Products
4. Conclusions
Author Contributions
Funding
Data Availability Statement
Conflicts of Interest
References
- Monteiro, P.J.M.; Miller, S.A.; Horvath, A. Towards sustainable concrete. Nat. Mater. 2017, 16, 698–699. [Google Scholar] [CrossRef]
- Nam, M.; Park, D.; Doh, H.J. Performance improvement of cement materials by mineral carbonation accelerated by CO2 microbubble water. Constr. Build. Mater. 2024, 447, 138210. [Google Scholar] [CrossRef]
- Asgharian, H.; Iov, F.; Nielsen, P.M.; Liso, V.; Burt, S.; Baxter, L. Analysis of cryogenic CO2 capture technology integrated with Water-Ammonia Absorption refrigeration cycle for CO2 capture and separation in cement plants. Sep. Purif. Technol. 2025, 353, 128419. [Google Scholar] [CrossRef]
- Blissett, R.S.; Rowson, N.A. A review of the multi-component utilisation of coal fly ash. Fuel 2012, 97, 1–23. [Google Scholar] [CrossRef]
- Yao, Z.T.; Ji, X.S.; Sarker, P.K.; Tang, J.H.; Ge, L.Q.; Xia, M.S.; Xi, Y.Q. A comprehensive review on the applications of coal fly ash. Earth-Sci. Rev. 2015, 141, 105–121. [Google Scholar] [CrossRef]
- Zeng, J.; Shui, Z.; Wang, S. Hydration and pore structure of steam cured high-strength mortar with metakaolin and slag at early age. J. Cent. South Univ. (Sci. Technol.) 2014, 45, 2857–2863. [Google Scholar]
- Zhang, Y.; Lin, C.; Zhang, X. Optimized Matching of Cement-Slag Composite Cementitious System. J. Chin. Ceram. Soc. 2014, 42, 494–499. [Google Scholar]
- Liu, W.; Du, H.; Yi, P.; Li, Y.; Luo, Y.; Chen, Q.; Xing, F. The early hydration and rheological characteristics of cement paste containing co-combustion fly ash. J. Build. Eng. 2023, 78, 107736. [Google Scholar] [CrossRef]
- Chen, G.; Yao, N.; Ye, Y.; Fu, F.; Hu, N.; Zhang, Z. Influence of partial cement substitution by ground blast furnace slag on the mechanical properties of phosphogypsum cemented backfill. Environ. Sci. Pollut. Res. Int. 2023, 30, 102972–102985. [Google Scholar] [CrossRef]
- Boudache, S.; Loukili, A.; Izoret, L.; Rozière, E. Investigating the role played by portlandite and C-A-S-H in the degradation response of pozzolanic and slag cements to external sulphate attack. J. Build. Eng. 2023, 67, 106053. [Google Scholar] [CrossRef]
- Barbosa, L.I.; González, J.A.; Ruiz, M.D.C. Extraction of lithium from β-spodumene using chlorination roasting with calcium chloride. Thermochim. Acta 2015, 605, 63–67. [Google Scholar] [CrossRef]
- Granata, G.; Moscardini, E.; Pagnanelli, F.; Trabucco, F.; Toro, L. Product recovery from li-ion battery wastes coming from an industrial pre-treatment plant: Lab scale tests and process simulations. J. Power Sources 2012, 206, 393–401. [Google Scholar] [CrossRef]
- Zhu, B.Q.; Chen, Q.R.; Zhu, X.K.; Yang, Z.B.; Tang, J.S.; Liu, Y. Study on Theretardation echanism of Lithium Mica Slag and Verification ofIts Modification Effect. Mater. Rep. 2023, 37, 265–268. [Google Scholar]
- Li, L.; Zhang, Y.; Shi, Y.; Xue, Z.; Cao, M. Surface Cracking and Fractal Characteristics of Cement Paste after Exposure to High Temperatures. Fractal Fract. 2022, 6, 465. [Google Scholar] [CrossRef]
- Zhai, M.Y.; Zhao, J.H.; Wang, D.M. Applying LS Powders to Cementbased Materials as Supplementary Cementitious Component: An Overview. Mater. Rep. 2017, 31, 139–144. [Google Scholar]
- Dong, B.Q.; Luo, X.L.; Tian, K.G.; Hong, S.X.; Wang, Y.S. Preparation and Characterization of Alkali-activated LS-basedArtificial Aggregates. Mater. Rep. 2021, 35, 15011–15016. [Google Scholar]
- Zheng, W.; Zou, M.; Wang, Y. Literature review of alkali-activated cementitious materials. J. Build. Struct. 2019, 40, 28–39. [Google Scholar]
- Wang, Y.; Wang, D.; Cui, Y.; Zheng, D.; Liu, Z. Micro-morphology and phase composition of LS from lithium carbonate production by sulphuric acid process. Constr. Build. Mater. 2019, 203, 304–313. [Google Scholar]
- Ding, R.; He, Y.; Li, X.C. Research Status of Alkali-activated Cementitious Materials. China Concr. Cem. Prod. 2021, 7, 7–11. [Google Scholar]
- Cao, M.; Li, L.; Zhang, C.; Feng, J. Behaviour and damage assessment of a new hybrid-fibre-reinforced mortar under impact load. Mag. Concr. Res. 2018, 70, 905–918. [Google Scholar] [CrossRef]
- He, Z.; Li, L.; Du, S. Mechanical properties, drying shrinkage, and creep of concrete containing LS. Constr. Build. Mater. 2017, 147, 296–304. [Google Scholar] [CrossRef]
- Rahman, S.M.A.; Mahmood, A.H.; Shaikh, F.U.A.; Sarker, P.K. Fresh state and hydration properties of high-volume LS cement composites. Mater. Struct. 2023, 56, 91. [Google Scholar] [CrossRef]
- Chen, S.L.; Zhou, Y.W.; Liu, L.W.; Chen, Z. Effect of LS on mechanical properties of cement composite soil. J. Drain. Irrig. Mach. Eng. 2023, 41, 1142–1147. [Google Scholar]
- Zhai, Y.; Miao, M.; Xiao, L.X. Effect of LS Fineness on Rheological Properties of Cement PasteMixed with Superplasticizers. Mater. Rep. 2020, 34, 18056–18059. [Google Scholar]
- Luo, Q.; Wang, Y.; Hong, S.; Xing, F.; Dong, B. Properties and microstructure of lithium-slag-based geopolymer by one-part mixing method. Constr. Build. Mater. 2021, 273, 121723. [Google Scholar] [CrossRef]
- Luo, Q.; Liu, Y.; Dong, B.; Ren, J.; He, Y.; Wu, K.; Wang, Y. LS-based geopolymer synthesized with hybrid solid activators. Constr. Build. Mater. 2023, 365, 130070. [Google Scholar] [CrossRef]
- Liu, Z.; Wang, J.X.; Li, L.; Wang, D.M. Characteristics of Alkali-Activated Lithium Slag at Early Reaction Age. J. Mater. Civ. Eng. 2019, 31, 04019312. [Google Scholar] [CrossRef]
- Liang, J.; Zou, W.; Tian, Y.; Wang, C.; Li, W. Effect of high temperature on mechanical properties of lithium slag concrete. Sci. Rep. 2024, 14, 11872. [Google Scholar] [CrossRef]
- Tan, H.; Li, M.; He, X.; Su, Y.; Zhang, J.; Pan, H.; Yang, J.; Wang, Y. Preparation for micro-lithium slag via wet grinding and its application as accelerator in Portland cement. J. Clean. Prod. 2019, 250, 119528. [Google Scholar] [CrossRef]
- Stempkowska, A.; Mastalska-Popławska, J.; Izak, P.; Ogłaza, L.; Turkowska, M. Stabilization of kaolin clay slurry with sodium silicate of different silicate moduli. Appl. Clay Sci. 2017, 146, 147–151. [Google Scholar] [CrossRef]
- Ma, Q.; Zhang, B. Study on the performance mechanism of alumina-alkali activator synergistic solidified lunar soil simulant. Case Stud. Constr. Mater. 2024, 21, e03680. [Google Scholar] [CrossRef]
- GB/T 2419-2005; Test Method for Fluidity of Cement Mortar. State General Administration of the People’s Republic of China for Quality Supervision and Inspection and Quarantine. Standardization Administration of China: Beijing, China, 2005.
- GB/T 17671-2021; Test Method of Cement Mortar Strength (ISO Method). State Administration of Market Supervision and Administration. Standardization Administration of China: Beijing, China, 2021.
- Oyebisi, S.O.; Ede, A.N.; Owamah, H.I.; Oluwafemi, J.O.; Sani, R.O.; Odetoyan, A.O.; Akpabot, A.I. Optimizing the Rheology of Concrete modified with High Silica and Alumina Precursor for Normal Workability in the Built Environment. IOP Conf. Ser. Mater. Sci. Eng. 2021, 1107, 012211. [Google Scholar] [CrossRef]
- Shah, S.F.A.; Chen, B.; Ahmad, M.R.; Haque, M.A. Development of Cleaner One-part geopolymer from lithium slag. J. Clean. Prod. 2020, 291, 125241. [Google Scholar] [CrossRef]
- Wang, X.Q.; Wen, P.H.; Gao, Z.W.; Wang, C.H. Research on influence of water-cement ratio on workability and mechanical properties of geopolymer grouting material. IOP Conf. Ser. Mater. Sci. Eng. 2018, 292, 012087. [Google Scholar] [CrossRef]
- Wu, F.; Shi, K.; Dong, S.; Chen, L.; Ci, J.; Wang, X.; Zhang, K. Influence of admixture and water-cement ratio on hydration products and mechanical properties of cement-based materials. Editor. Off. Trans. Chin. Soc. Agric. Eng. 2016, 32, 119–126. [Google Scholar]
- Mehrez, I.; Hachem, H.; Gheith, R.; Jemni, A. Effect of the incorporation of NaOH-treated wood aggregates on thermal and mechanical properties of plaster mortar. Eur. J. Wood Wood Prod. 2022, 81, 411–420. [Google Scholar] [CrossRef]
- Tong, G.Q.; Zhang, W.Y.; Gao, Y.T.; Tang, X.Y. Mechanical Properties and Micromechanism of Alkali-activated Fly Ash Geopolymer. Mater. Rep. 2022, 36, 129–134. [Google Scholar]
- Fei, W.F.; Bin, S.K.; Kuai, D.S. Influence of Concrete with Lithium-Slag and Steel Slag by early Curing Conditions. Key Eng. Mater. 2014, 599, 52–55. [Google Scholar]
- Dong, J.L.; Chen, L.W.; Li, L.H.; Zhou, P.; Shi, Z.H.; Cai, J.P.; Zhang, T.T. Investigation into the Alkali-Activation of Lithium Slag: A Sustainable Alternative to Conventional Cement with Optimized Mechanical Properties. Constr. Build. Mater. 2024, 416, 135022. [Google Scholar] [CrossRef]
- Ahmad, M.R.; Qian, L.P.; Fang, Y.; Wang, A.; Dai, J.G. A multiscale study on gel composition of hybrid alkali-activated cement partially utilizing air pollution control residue as an activator. Cem. Concr. Compos. 2023, 136, 104856. [Google Scholar] [CrossRef]
- Myers, R.J.; Bernal, S.A.; San Nicolas, R.; Provis, J.L. Generalized structural description of calcium-sodium aluminosilicate hydrate gels: The cross-linked substituted tobermorite model. Langmuir ACS J. Surf. Colloids 2013, 29, 5294–5306. [Google Scholar] [CrossRef] [PubMed]
- Provis, J.L.; Bernal, S.A. Geopolymers and Related Alkali-activated cement. Annu. Rev. Mater. Res. 2014, 44, 299–327. [Google Scholar] [CrossRef]






















| Raw Materials | SiO2 | Al2O3 | Fe2O3 | CaO | MgO | SO3 | K2O | LOI |
|---|---|---|---|---|---|---|---|---|
| LS | 78.05 | 8.15 | 0.43 | 1.98 | 0.77 | 2.12 | 3.6 | 0.9 |
| Cement | 22.06 | 6.14 | 3.43 | 62.98 | 2.77 | 2.12 | - | 0.5 |
| Fly ash | 55.13 | 33.45 | 0.85 | 5.62 | - | 2.03 | 2.54 | 0.38 |
| Specimen | Water | WG * + NaOH | WRG * | Sand | Cementitious Materials | ||
|---|---|---|---|---|---|---|---|
| Cement | LS | Fly Ash | |||||
| W1 | 135.0 | 90 + 5.4 | 2.25 | 1125 | 225 | 112.5 | 112.5 |
| W2 | 146.25 | 90 + 5.4 | 2.25 | 1125 | 225 | 112.5 | 112.5 |
| W3 | 157.05 | 90 + 5.4 | 2.25 | 1125 | 225 | 112.5 | 112.5 |
| W4 | 168.75 | 90 + 5.4 | 2.25 | 1125 | 225 | 112.5 | 112.5 |
| N1 | 146.25 | 90 + 2.7 | 2.25 | 1125 | 225 | 112.5 | 112.5 |
| N2 | 146.25 | 90 + 5.4 | 2.25 | 1125 | 225 | 112.5 | 112.5 |
| N3 | 146.25 | 90 + 8.1 | 2.25 | 1125 | 225 | 112.5 | 112.5 |
| N4 | 146.25 | 90 + 10.8 | 2.25 | 1125 | 225 | 112.5 | 112.5 |
| L1 | 146.25 | 90 + 5.4 | 2.25 | 1125 | 225 | 157.5 | 67.5 |
| L2 | 146.25 | 90 + 5.4 | 2.25 | 1125 | 225 | 135.0 | 90.0 |
| L3 | 146.25 | 90 + 5.4 | 2.25 | 1125 | 225 | 112.5 | 112.5 |
| L4 | 146.25 | 90 + 5.4 | 2.25 | 1125 | 225 | 90.0 | 135.0 |
| L5 | 146.25 | 90 + 5.4 | 2.25 | 1125 | 225 | 67.5 | 157.5 |
| Source of Variation | Sum of Squares | Degrees of Freedom | Mean Square | F-Value | p-Value * | |||||
|---|---|---|---|---|---|---|---|---|---|---|
| Y1 | Y2 | Y1 | Y2 | Y1 | Y2 | Y1 | Y2 | Y1 | Y2 | |
| Calcination temperature | 63.77 | 2.737 | 4 | 4 | 21.259 | 0.912 | 3.482 | 5.598 | 0.043 | 0.009 |
| Water–gel ratio | 17.137 | 1.042 | 4 | 4 | 5.712 | 0.347 | 0.620 | 1.259 | 0.613 | 0.324 |
| NaOH concentration | 17.655 | 0.854 | 4 | 4 | 5.885 | 0.285 | 0.641 | 0.986 | 0.600 | 0.426 |
| LS dosage | 47.528 | 0.513 | 5 | 5 | 11.882 | 0.128 | 1.543 | 0.385 | 0.244 | 0.816 |
| Samples | Region | O | Na | Al | Si | Ca | Ca/Si | Al/Si | Na/Si |
|---|---|---|---|---|---|---|---|---|---|
| N1 | A | 51.45 | 1.05 | 9.97 | 11.30 | 20.63 | 1.83 | 0.88 | 0.09 |
| B | 50.75 | 1.12 | 7.87 | 9.96 | 26.26 | 2.64 | 0.79 | 0.11 | |
| N2 | C | 58.07 | 0.71 | 0.44 | 25.91 | 21.80 | 0.84 | 0.02 | 0.03 |
| D | 58.38 | 0.59 | 0.46 | 25.86 | 22.87 | 0.88 | 0.07 | 0.02 | |
| N3 | E | 57.11 | 3.12 | 9.69 | 14.05 | 11.10 | 0.78 | 0.69 | 0.22 |
| F | 59.73 | 3.21 | 8.12 | 13.87 | 11.10 | 0.80 | 0.59 | 0.23 | |
| N4 | G | 44.33 | 1.21 | 12.86 | 32.31 | 14.16 | 0.44 | 0.40 | 0.04 |
| H | 43.50 | 1.43 | 11.93 | 37.86 | 13.94 | 0.37 | 0.32 | 0.04 |
Disclaimer/Publisher’s Note: The statements, opinions and data contained in all publications are solely those of the individual author(s) and contributor(s) and not of MDPI and/or the editor(s). MDPI and/or the editor(s) disclaim responsibility for any injury to people or property resulting from any ideas, methods, instructions or products referred to in the content. |
© 2024 by the authors. Licensee MDPI, Basel, Switzerland. This article is an open access article distributed under the terms and conditions of the Creative Commons Attribution (CC BY) license (https://creativecommons.org/licenses/by/4.0/).
Share and Cite
Dong, J.; Tu, Z.; Shang, X.; Wu, H.; Li, Z.; Ding, H. Development and Characterization of Alkali-Activated Lithium Slag-Fly Ash Composite Cement. Buildings 2024, 14, 3766. https://doi.org/10.3390/buildings14123766
Dong J, Tu Z, Shang X, Wu H, Li Z, Ding H. Development and Characterization of Alkali-Activated Lithium Slag-Fly Ash Composite Cement. Buildings. 2024; 14(12):3766. https://doi.org/10.3390/buildings14123766
Chicago/Turabian StyleDong, Jingliang, Zhen Tu, Xiaopeng Shang, Hao Wu, Zhiping Li, and Haibin Ding. 2024. "Development and Characterization of Alkali-Activated Lithium Slag-Fly Ash Composite Cement" Buildings 14, no. 12: 3766. https://doi.org/10.3390/buildings14123766
APA StyleDong, J., Tu, Z., Shang, X., Wu, H., Li, Z., & Ding, H. (2024). Development and Characterization of Alkali-Activated Lithium Slag-Fly Ash Composite Cement. Buildings, 14(12), 3766. https://doi.org/10.3390/buildings14123766

