Next Article in Journal
Incorporation of Waste in Thermal Mortars—A Literature Review
Next Article in Special Issue
Bond-Damaged Prestressed AASHTO Type III Girder-Deck System with Retrofits: Parametric Study
Previous Article in Journal
Towards the Uptake of Digital Technologies for Construction Information Management: A Partial Least Squares Structural Equation Modelling Approach
Previous Article in Special Issue
Structural Damage Detection Technique of Secondary Building Components Using Piezoelectric Sensors
 
 
Font Type:
Arial Georgia Verdana
Font Size:
Aa Aa Aa
Line Spacing:
Column Width:
Background:
Article

Systematic Calculation of Yield and Failure Curvatures of Reinforced Concrete Cross-Sections

by
John Bellos
1,* and
Apostolos Konstantinidis
2
1
Department of Civil Engineering, Neapolis University Pafos, Paphos 8042, Cyprus
2
BuildingHow PC, 11635 Athens, Greece
*
Author to whom correspondence should be addressed.
Buildings 2024, 14(3), 826; https://doi.org/10.3390/buildings14030826
Submission received: 8 January 2024 / Revised: 1 March 2024 / Accepted: 14 March 2024 / Published: 19 March 2024

Abstract

This paper examines and provides a robust solution to the problem of yield and failure curvatures of reinforced concrete (RC) cross-sections, taking into account cracking. At the same time, it calculates the corresponding necessary reinforcement or the moment of resistance in both yield and failure limit states. Computationally, the problem of determining the actual curvatures is reduced to the bending design problem of the cross-section in the yield and failure limit states. This study shows the researcher and the designer how to systematically calculate the strains for different concrete and steel grades and for standard or random cross-sections. This complex process is quite necessary to determine the respective curvatures. The main concept is presented with an emphasis on the “solution regions” as well as the critical cases of the “asymptotic regions”, both in yield and failure limit states. Our wide-ranging research on RC element design under biaxial bending with axial force for both yield and failure limit states has been completed and validated via sophisticated algorithms and is available for publication.

1. Introduction

The yield and failure curvatures, as well as the respective stiffnesses, depend on cross-section geometry, the amount and distribution of reinforcement, the reinforcement material properties, the concrete material properties, and the axial forces. The large relative displacements of the column heads in relation to their bases, and therefore those displacements of the associated diaphragms, significantly increase the characteristic periods of the building, thus resulting in low seismic accelerations. This fact is very important for the structural robustness of the building, especially when checking the resistance of an existing building structure to an earthquake.
Many researchers dealt with the specific problem in the past. Chen and Hsu [1] developed a semi-empirical formula for the curvature ductility of doubly reinforced beam sections, which, via performance-based design, takes into account the effect of reinforcement ratios as well as the reinforcement and concrete strengths. Hernández-Montes et al. [2] related the curvature ductility capacity of cross-sections designed with optimal reinforcement to those with symmetric reinforcement, for both unconfined and confined concrete cases, under varying axial loads, gross section area, and concrete strength. Chandrasekaran et al. [3] developed a closed form solution to estimate the curvature ductility of RC elements under service loads, considering the nonlinear characteristics of constitutive materials and the reinforcement ratios as required by Eurocodes. Arslan and Cihanli [4] produced a formula predicting the curvature ductility of reinforced high-strength concrete beams based on the parametric study of experimental results to evaluate the effects of various structural parameters. Lee [5] provided a prediction formula for the curvature ductility factor of doubly reinforced beam sections, taking into account the concrete strength, the tensile yield strength of steel, and the compressive ultimate strength of steel. Laterza et al. [6] performed an efficiency study of codal detailing rules for reinforcement design of primary columns and beams within the critical regions by comparing the codal design results to the measured curvature ductility. By examining the effects of spectral acceleration and a strong column factor, Zhou et al. [7] provided an empirical model in the form of a quantitative relationship between the curvature ductility demands of columns and the global displacement ductility demands of frame structures. Baji and Ronagh [8] developed a probabilistic method used to calculate curvature ductility by means of the central limit theorem, considering the specific behavior of the moment redistribution factor with respect to curvature ductility and plastic hinge length. Research on biaxial bending by Breccolotti et al. [9] produced a formula for the curvature ductility of reinforced short columns of varying section geometry, neutral axis direction, reinforcement ratios, and axial forces. Kollerathu [10] proposed an equation to evaluate and compare the curvature ductilities of reinforced masonry and RC walls, as a result of diagrams of flexural strength versus curvature. Recently, Foroughi and Yuksel [11] developed a predictive formula for the curvature ductility of doubly-reinforced beams by performing a numerical parametric study.
Finding the actual curvatures, both in yield and failure states, requires the calculation of concrete strain and steel strain under axial force and bending moment (or equivalently, reinforcement), an extremely complex computational problem with a wide range of solutions. Calculation tables were also used in the past, but they were available in failure states only and usually for specific materials. Nowadays, due to the variety of available materials and the demand for checking the actual strength and possibly retrofitting existing buildings, the design in limit states also becomes imperative. This is the reason for our extensive research to find a robust theoretical solution to the bending design problem, both in yield and failure limit states, a part of which is presented in this article.

2. Column Limit States

2.1. Column in Yield Limit State

Figure 1 presents an exaggerated model of a column in the yield limit state. Flexural cracks are perpendicular to the axis of the bar, while shear cracks have an inclination of 45° to 60° to the axis of the bar. Here, δ1 is the displacement due to shear, which is linear and does not affect the curvature, and δ2 is the displacement due to crack causing bending at the yield limit state.
Considering a differential length ds of the column at the side of its cross-section, the inner fiber compresses and shortens by dsεc, while the outer fiber stretches and expands by ds∙εs1. Then, the resulted differential central angle is as follows:
d θ = d s · ε c + ε s 1 / d   a n d   d θ = d s / R
Equation (1) yields the following:
d s / R = d s · ε c + ε s 1 / d φ y = 1 / R = ε c + ε s 1 / d
where φy represents the actual yield curvature [12].
Note that in the yield state, it must be εcεc2 and εs1εyd, where the yield strain for at least one of the two materials, either εc of the concrete or εs1 of the steel, has been reached.

2.2. Column in the Failure Limit State

The physical behavior of a column functioning in a failure limit state is represented in Figure 2 through the only possible observational method, which is the experimental one. The experiment, which was part of the “Anti-Seismic Thoraces” tests, took place in 1998 in the NTUA’s Reinforced Concrete Laboratory under the auspices of Professor Theodosios Tassios. It is evident that the column failure takes place in relatively small regions at the ends, while the rest of the column is in a yield state (marginal yielding with cracking) [12,13].
Figure 3 presents an exaggerated model of a column in the failure limit state. Flexural and shear cracks are apparent at the critical end regions of the column, while along the rest of the body, they remain similar to the yield limit state case.
The failure curvatures φu are calculated in exactly the same way as the yield limit state, as follows:
φ u , j = 1 / R j = ε c + ε s 1 / d ,   j = 1,2   ( 1 = h e a d , 2 = b a s e )
When the reinforcement of the head and base is the same, as is generally the case, then φu,1 = φu,2 = φu. Note again that in the failure state, it must be εcεcu2 and εs1εud, where the failure strain of at least one of the two materials, either εc of the concrete or εs1 of the steel, has been reached.

2.3. Example: Calculation of Limit State Curvatures

Let us consider a fixed–fixed support column of height h = 3.0 m under axial force Nd = −800 kN (see Figure 1). The cross-section is 400 mm × 400 mm, fck = 30 MPa, γc = 1.50, fyk = 500 MPa, γs = 1.15, εsu = 20‰, and Κ = 1.0 with d1 = d2 = 50 mm. The applied reinforcement is 4Φ20 + 4Φ14 (=1860 mm2, ρ = 1.16%). It is considered that 50% of the total reinforcements are placed at the corners, while the rest are distributed along the sides (see Figure 4).
Required: the yield curvatures φ = 1/R and the moments of resistance MRd at the limit state:
(1)
Yield limit y.
(2)
Failure limit u.

2.3.1. Calculation of Yield Curvature

The uniaxial bending design of the cross-section yields x = 187.5 mm, MRd,y = 185 kN∙m, εc = 2.0‰, and εs1 = 1.734‰. Hence, Equation (2) provides the yield curvature as follows:
φ y = 2.0 + 1.734 × 10 3 / ( 0.40 0.05 ) = 10.67 × 10 3 / m R y = 94   m
The respective elastic curvature (without cracks) at the base of the column is provided by the relation as follows:
φ e = 1 / R = M R d , y / ( Ε · Ι )
According to Eurocode 2 [14], §3.1.2(3), it is fcm = fck + 8 = 38 MPa and E = 22 × (fcm/10)0.3 × 103 = 32.8 GPa, so EI = 32.8 × (0.4 × 0.43/12) = 70.0 × 103 kN∙m2. Substituting, we get:
φ e = 185 / ( 70.0 × 10 3 ) = 2.64 × 10 3 / m R e = 379   m
Therefore, it is:
φ y / φ e = 10.67 × 10 3 / 2.64 × 10 3 = 4.04 ,
which is very important for determining the effective stiffness of a column according to Eurocode 8 [15], §4.3.1(6, 7).

2.3.2. Calculation of Failure Curvature

The uniaxial bending design of the cross-section yields x = 156.1 mm, MRd,u = 219 kN∙m, εc = 3.5‰, and εs1 = 4.35‰. Hence, from Equation (3), the failure curvature is as follows:
φ u = 3.5 + 4.35 × 10 3 / ( 0.40 0.05 ) = 22.42 × 10 3 / m R u = 45   m
Similarly to the yield state case, the elastic curvature is as follows:
φ e = 219 / ( 70.0 × 10 3 ) = 3.13 × 10 3 / m R e = 320   m
Therefore, it is:
φ u / φ y = 22.42 × 10 3 / 10.67 × 10 3 = 2.10   a n d   φ u / φ e = 22.42 × 10 3 / 3.13 × 10 3 = 7.16 .

3. Equilibrium of Internal and External Forces

The following relations are derived from Figure 5:
x = d · ε c / ε c + ε s , ε c = ε s · x / d x , ε s = ε c · d x / x , ε s 2 = ε c · x d 2 / x
k F = α c c · f c d · b , F c = k F · x · α , z c = x · κ
F s 1 = A s 1 · σ s 1 , F s 2 = A s 2 · σ s 2
There are two basic equations balancing the internal forces with the external forces of a cross-section under uniaxial bending with axial force (see Figure 5):
(a)
Equilibrium equation of the forces Fs1, Fc, and Fs2 with the axial force Nd
F s 1 F c F s 2 = N d
(b)
Equilibrium equation of the moments of the forces Fc and Fs2 with the bending moment Md in the cross-section center and the moment of axial force Nd
M d N d · z s 1 = F c · d z c + F s 2 · d d 2
Using the Relations (4)–(6), Equations (7) and (8) transform into:
A s 1 · σ s 1 = A s 2 · σ s 2 + F c + N d
M d = F c · d z c + A s 2 · σ s 2 · d d 2 + N d · z s 1
If ρ1 = As1/Ac and ρ2 = As2/Ac, so ρ2/ρ1 = As2/As1 and As2 = As1ρ2/ρ1, then Equations (9) and (10) can be written as follows:
A s 1 = F c + N d / σ s 1 ρ 2 ρ 1 · σ s 2
M d = F c · d z c + A s 1 · ρ 2 ρ 1 · σ s 2 · d d 2 + N d · z s 1
It is emphasized that the axial force Nd always has a given value, independent of the above relations.
The system of Equations (11) and (12) has three unknown variables in the corresponding problem, that is, εc, εs, and As1 or Md. Therefore, the system solution requires additional conditions to be set, as follows:
  • First condition: the reinforcement ratio ρ2/ρ1 is provided.
  • Second condition: either εc or εs should be in the limit state.
These two conditions, under certain assumptions, can replace the third equation. Nevertheless, the solution is rather difficult, especially in the failure state, due to numerous and complex combinations. The difficulty could be removed by using the trial solution method. However, this process would require the determination of the solution boundaries, which is also a quite complex problem.

4. Solution Regions in the Yield Limit State

The regions comprising possible solutions in the yield limit state are presented in Figure 6.
Let ρ2/ρ1 be the ratio of the compressive to the tensile reinforcement. For any given value of the ratio ρ2/ρ1, there is a characteristic case having compression zone depth x01 (see Figure 6), where the denominator of Equation (11) becomes zero. That is
σ s 1 ρ 2 ρ 1 · σ s 2 = 0 E s · ε s 1 σ s 1 ρ 2 ρ 1 · E s · ε s 2 σ s 2 = 0 ε s 1 = ρ 2 ρ 1 · ε s 2
Taking into account Equation (4), the above relation can be written as
ε c · d x 01 / x 01 ε s 1 = ρ 2 ρ 1 · ε c · x 01 d 2 / x 01 ε s 2 x 01 = d + ρ 2 ρ 1 · d 2 / 1 + ρ 2 ρ 1
Thus, at location 01, corresponding to compression zone depth x01 provided by Equation (13), both tensile reinforcement As1 and bending moment Md will be infinite (see Equations (11) and (12)). Let us name this location existing in the yield limit state “Asymptotic Location”.

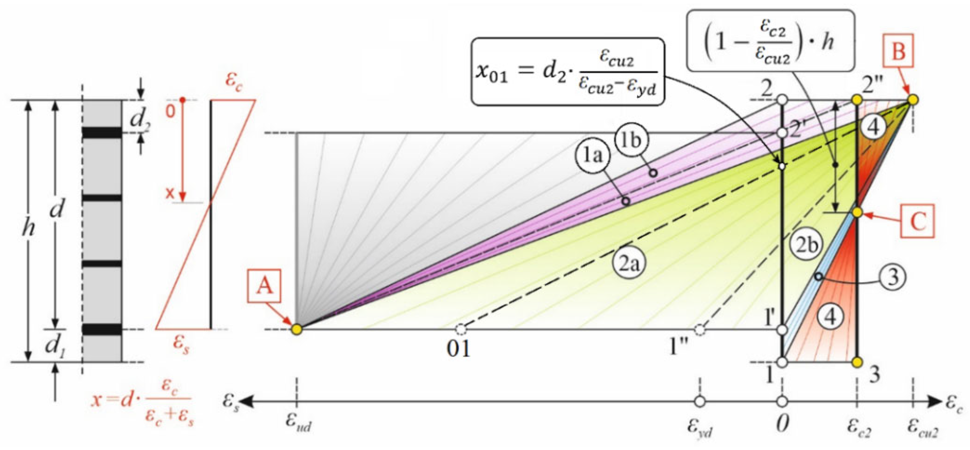
5. Solution Regions in the Failure Limit State

The regions comprising possible solutions in the failure limit state are presented in Figure 7. Region 1, where the steel reaches its failure limit [A], and region 2, where the concrete reaches its failure limit [B], are divided to subregions 1a, 1b and 2a, 2b respectively. Along the boundaries 2″A and 1″B, both Md and As1 tend to infinite values.
For ρ2/ρ1 = 1, the denominator of Equation (11) is written as = σs1σs2.
By observing the strain distributions in Figure 7, the following conclusions can be drawn:
(1)
The boundary 1″B of the subregions 2a and 2b, has εs1 = εydσs1 = fyd and εc = εcu2. Since it is usually εs2εydσs2 = fyd, we have = σs1σs2 = fydfyd = 0.
(2)
To the left of location 1″B will continue to be = 0 until the specific location 01 with εs1 = εs2.
From the last of Equation (4), for εs2 = εyd and εc = εcu2, the compression zone depth at location 01 is as follows:
ε y d = ε c u 2 · ( x 01 d 2 ) / x 01 x 01 = d 2 · ε c u 2 / ( ε c u 2 ε y d )
Thus, for the subregion extended between locations 1″B and 01, corresponding to compression zone depths x01 provided by Equation (14), both the bending moment Md and the tensile reinforcement As1 will be infinite (see Equations (11) and (12)). Let us name this region existing in the failure limit state for ρ2/ρ1 = 1 “Asymptotic Region. Notice that this asymptotic region is independent of the concrete class.

6. Application: The “Typical Rectangular Section” in Limit States

Consider a structural element made of C30/37 concrete and B500 steel with a 300 mm × 550 mm rectangular cross-section, as shown in Figure 8.
Provided:
b = 300 mm, h = 550 mm, d2 = 50 mm, d1 = 50 mm,
fck = 30 MPa, γc = 1.50, acc = 0.85, εc2 = 2.0‰, εcu2 = 3.5‰,
fyk = 500 MPa, γs= 1.15, Es = 200 GPa (for steel grades B500a,b,c)
Derived:
d = hd1 = 500 mm, zs1 = h/2 − d1 = 0.225 m
fcd = fck/γc = 20.0 MPa, kF = acc·b·fcd = 0.85·0.30·20.0·103 = 5100 kN/m,
fyd = fyk/γs = 500/1.15 = 434.78 MPa, εyd = fyd/Es=434.78/(200 × 103) = 2.174‰
For εc = εc2 = 2‰, it is α = 0.6667 and κ = 0.375, while for εc = εcu2 = 3.5‰, it is α = 0.8095 and κ = 0.416.
For B500c steel grade, εud = 20‰ with K = 1.0 is used in the simplified stress–strain diagram, while εud = 67.5‰ is used with K = 1.15 in the exact stress–strain diagram.

6.1. Yield Limit State

Using the regions for the yield limit state presented in Figure 6, we form Figure 9 for the “typical rectangular cross-section”, where the strain-based region boundaries and the corresponding compression zones are clearly illustrated. We define the origin of the compression zone as the outermost upper fiber of the cross-section, while xij represents the compression zone depth corresponding to the location ‘ij’. For practical representation reasons, we consider the cross-section to lie horizontally.

6.1.1. Strain and Curvature Diagrams in the Yield Limit State

The diagrams of strain εc, εs and the corresponding yield curvatures φy are shown in Figure 10. These values are independent of the axial force Nd and the reinforcement ratio ρ2/ρ1.
The compression zone depth is presented on the diagrams in millimeters up to a depth of h = 550 mm, and thereafter in meters on a logarithmic scale. In practice, the values of As1 and Md are required in each characteristic case of the cross-section with respect to x. These values, as obtained from Equations (11) and (12), depend on both the reinforcement ratio ρ2/ρ1 and the axial force Nd.

6.1.2. Asymptotic Location in Yield Limit State for ρ2/ρ1 = 1

For ρ2/ρ1 = 1, Equation (13) yields:
x 01 = ( 500 + 1 × 50 ) / ( 1 + 1 ) = 275   m m   a n d   ( d x 01 ) / x 01 = 0.818 .
Since the concrete reaches its critical value in this case (i.e., εc = εc2 = 2.0‰), Equation (4) yield a tensile strain value for steel εs1 = 2.0‰ × 0.818 = 1.636‰. On the other hand, for εc = εc2 = 2‰, it is α = 0.6667 and κ = 0.375 (see Section 6). Consequently, from Equation (5) the compressive force Fc received by the concrete is F c = k F · x 01 · α = 5100 × 0.275 × 0.6667 = 935.0   k N .

6.1.3. Solution Nomogram in Yield Limit State for ρ2/ρ1 = 1

The method of reinforcement with As2 = As1 (i.e., ρ2/ρ1 = 1) is used in cases where significant axial forces are exerted mainly on columns and/or in cases of beams with special anti-seismic requirements that entail high plasticity requirements [16].
Figure 11 presents a solution nomogram in the yield limit state for ρ2/ρ1 = 1, in the form of paired diagrams (Md, As1) corresponding to different compression zone depths x and axial forces Nd. The asymptotic location here stands for x01 = 275.0 mm, and therefore, region II is divided into two subregions (see Figure 9). For this case, it is εc = 2.0‰ and Fc = 935.0 kN (see results in Section 6.1.2).
At each position x, there is a specific pair (As1, Md) calculated from Equations (11) and (12). For example, for bending moment Md = 200 kN∙m and axial force Nd = 0 kN, the steel reaches the yield state first, so the required tensile reinforcement is As1 = 1028 mm2 (see Figure 11). The respective compression zone depth is found to be x = 153.0 mm, resulting in strains εc = 0.958‰ and εs = 2.174‰, clearly indicating that the steel has reached its yield point (see Figure 10). Then, Equation (2) provides the yield curvature (also presented in Figure 10).
φ y = 0.958 + 2.174 × 10 3 / ( 0.55 0.05 ) = 6.26 × 10 3 / m .

6.2. Failure Limit State

Using the regions for the failure limit state presented in Figure 7, we form Figure 12 for the “typical rectangular cross-section” where the strain-based region boundaries and the corresponding compression zones are illustrated. In any algorithmic process adopted, the region boundaries should be first determined, because the upper and lower bounds of x and the corresponding values of the non-critical strain of the steel or concrete are needed. In the case of an accurate stress–strain diagram of the steel, for example, for εud = 67.5‰ and K = 1.15, the region boundaries A2” and AB change significantly, but the calculation process remains the same. Furthermore, such differences in reinforcement design values are trivial in practice.

6.2.1. Strain and Curvature Diagrams in the Failure Limit State

The diagrams of strain εc, εs and the corresponding failure curvatures φu state are presented in Figure 13. For comparison reasons, the corresponding yield curvatures φy are also shown. Notice that all values are independent of the axial force Nd and the reinforcement ratio ρ2/ρ1. The compression zone depth x is given in millimeters up to the total depth of h = 550 mm, and from there on, in meters on a logarithmic scale. In practice, the values of As1 and Md are required at each characteristic location of the cross-section with respect to x. These values, obtained from Equations (11) and (12), depend on both the reinforcement ratio ρ2/ρ1 and the axial force Nd.

6.2.2. Asymptotic Region in Failure Limit State for ρ2/ρ1 = 1

Equation (14) gives x01 = 50 × 3.5/(3.50 − 2.174) = 132.0 mm, while Equation (5) give the force Fc = 5100 × 0.132 × 0.8095 = 544.9 kN received by the concrete at the location 01.
Equation (4) give x1″B = 500 × 3.5/(3.5 + 2.174) = 308.4 mm, while Equation (5) give the force Fc = 5100 × 0.3084 × 0.8095 = 1273.2 kN received by the concrete at the location 1″B.
Thus, Equation (11) maintains a zero denominator throughout the interval between x01 = 132.0 mm and x1″B = 308.4 mm.

6.2.3. Solution Nomogram in Failure Limit State for ρ2/ρ1 = 1

Figure 14 presents a solution nomogram for ρ2/ρ1 = 1, in the form of paired diagrams (Md, As1) corresponding to different compression zone depths x and axial forces Nd. At each position x, there is a specific pair (As1, Msd) calculated from Equations (11) and (12). The diagram comprises the areas of dominant bending on the left and the areas of dominant compression on the far right. A multiple solution area is also apparent in the middle, theoretically extending to infinity. It should be pointed out that in our case, with ρ2/ρ1 = 1, there are two asymptotic boundary locations (in the sense of zeroing the denominator of Equation (11)), that is, 01 and 1″B, as determined in Section 6.2.2. Consequently, region 2a is divided into two subregions (AB, 01) and (01, 1″B) (see Figure 7 and Figure 12).

6.2.4. Indeterminacy or Multiple Solution Region in Failure Limit State

This region extends between the two asymptotic locations 01 and 1″B, corresponding to compression zone depths x01 = 132 mm and x1″B = 308.4 mm, respectively (see Figure 14).
By relating those to the respective forces, we can say that a cross-section is in the indeterminacy region when stressed by axial forces of 544.9 kN ≤ Nd ≤ 1273.2 kN (see results in Section 6.2.2).
In this region, it is σs1 = σs2. Thus, Equation (11) gives indeterminacy As1 = ∞ for Fc ≠ −Nd and an infinite number of solutions for Fc = −Nd. For each Nd in the region, there is a certain x that gives Fc = −Nd. This location has x = F c / α c c · f c d · b · α , and the force Fc is exerted at the position z c = x · κ (where α = 0.8095 and κ = 0.416 because εc = εcu2 = 3.5‰—see values in Section 6). Furthermore, the tensile strain is ε s 1 = ε c · d x / x ,   while the force is F s 2 = A s 2 · σ s 2 = A s 1 · f y d .
Since Fc = −Nd, ρ2/ρ1 = 1, and σs2 = σs1 = fyd, Equation (12) yields:
M d = A s 1 · f y d · d d 2 N d · d z c z s 1
Notice that Equation (15) directly relates As1 to Md. So, when Md is given in a problem, As1 is uniquely calculated, while when As1 is given, Md is uniquely calculated.
Remark: In the multiple solution region, all pairs (Md, As1) having the same Nd correspond to the same x, implying the same strains εs1 and εc and, hence, constant failure curvatures φu.

6.2.5. Application in Failure Limit State for ρ2/ρ1 = 1 and Nd = −1000 kN

It is x = 1000/(0.85 × 20 × 103 × 0.30 × 0.8095) = 0.2422 m, zc = 0.2422 × 0.416 = 0.101 m, εs1 = 3.5 × (0.50 − 0.2422)/0.2422 = 3.73‰, εc = 3.5‰, and φu = (3.5 + 3.73)/0.50 = 14.46‰/m.
For As1 = As2 = 0 (when reinforcement is barely required), Equation (15) yields Md = 0 + 1000 × (0.50 − 0.101 − 0.225) = 174 kN∙m. That is, for axial force Nd = −1000 kN and moment Md ≤ 174 kN∙m, no reinforcement is required.
For As1 = As2 = 7000 mm2 (selection of maximum reinforcement value As1 in Figure 14), Equation (15) yields Md = 7000 × 10−6 × 434.78 × 103 × (0.50 − 0.05) + 1000 × (0.50 − 0.101 − 0.225) = 1544 kN∙m.
For Md = 800 kN∙m, inverted Equation (15) yields As1 = [800–1000 × (0.50 − 0.101 − 0.225)]/[434.78 × 103 × (0.50 − 0.05)] = 3.200 × 10−3 m2 = 3200 mm2. Hence, the solution is determined as a pair (800, 3200) from the infinite number of pairs of specific solutions on the line Nd = −1000 kN.

7. Conclusions

  • The influence of cracking on the curvature of RC elements is significant in relation to the corresponding elastic curvature, even in the yield state, so the corresponding yield stiffness is significantly smaller than the elastic stiffness.
  • For specific flexural reinforcement, the yield curvature is much smaller than the failure curvature, while the yield moment of resistance is of the same order of magnitude as the failure moment of resistance.
  • During the bending design of a cross-section in the failure limit state, there is an extended region of compressive axial forces where the curvature is practically constant regardless of the acting moment. Then, for any given axial force, the necessary flexural reinforcement is derived from the acting moment based on a first-order equation.
  • It is proposed that the design process should take place in the following order:
    (a)
    Calculate reinforcement in the failure state.
    (b)
    Choose and apply reinforcement.
    (c)
    Calculate failure curvatures φu, yield curvatures φy, and elastic curvatures φe.
    (d)
    Estimate curvature ductilities from the ratios φu/φy and/or φu/φe.
    (e)
    Determine effective stiffness and resolve.

Author Contributions

Conceptualization, A.K.; Data curation, J.B.; Methodology, A.K.; Resources, J.B.; Software, J.B.; Formal analysis, A.K.; Validation, J.B.; Investigation, A.K.; Writing—original draft, A.K.; Writing—review & editing, J.B.; Visualization, A.K. All authors have read and agreed to the published version of the manuscript.

Funding

This research received no external funding.

Data Availability Statement

The raw data supporting the conclusions of this article will be made available by the authors on request.

Conflicts of Interest

Author Apostolos Konstantinidis is the director of the company BuildingHow PC. The remaining author declares that the research was conducted in the absence of any commercial or financial relationships that could be construed as a potential conflict of interest.

Nomenclature

The following symbols are employed in this paper:
Astotal reinforcement
As1tensile reinforcement
As2compressive reinforcement
αcclong-term effects factor
bbeam width
cratio of compressive reinforcement to tensile reinforcement
dbeam effective depth
d1tensile reinforcement cover
d2compressive reinforcement cover
Econcrete modulus of elasticity
Es steel modulus of elasticity
Fcconcrete compressive force
Fs1tensile reinforcement force
Fs2compressive reinforcement force
fckconcrete compressive strength
fcmconcrete mean compressive strength
fyksteel yield strength
fcdconcrete design strength
fydsteel design strength
hbeam height
Icross-section moment of inertia
Kstrain hardening coefficient (ductility property)
kFconcrete compressive force coefficient
Mdbending moment acting in the cross-section center
Msd bending moment acting in the tensile reinforcement position
Ndaxial force acting in the cross-section center
Reradius of elastic curvature
Ryradius of yield curvature
Ruradius of failure curvature
xcompressive zone depth distance of the outermost upper fiber from the neutral axis
xijcompressive zone depth corresponding to the “ij” location
x01compressive zone depth corresponding to the asymptotic location
zcdistance of the outermost upper fiber from the concrete compression center
zs1distance of the tensile reinforcement position from the cross-section center
αdistribution factor of concrete compressive force
γcconcrete safety factor
γssteel safety factor
δ1yield state displacement due to shear
δ2yield state displacement due to bending
εcconcrete strain
εc2concrete yield strain
εcu2concrete ultimate strain
εssteel strain
εs1tensile reinforcement strain
εs2compressive reinforcement strain
εsusteel ultimate strain
εudsteel design ultimate strain
κposition factor of concrete compressive force
ρ1tensile reinforcement percentage
ρ2compressive reinforcement percentage
σs1tensile reinforcement stress
σs2compressive reinforcement stress
φeelastic curvature
φyyield curvature
φufailure curvature

References

  1. Chen, C.C.; Hsu, S.M. Formulas for Curvature Ductility Design of Doubly Reinforced Concrete Beams. J. Mech. 2004, 20, 257–265. [Google Scholar] [CrossRef]
  2. Hernández-Montes, E.; Aschheim, M.; Gil-Martín, L.M. Impact of Optimal Longitudinal Reinforcement on the Curvature Ductility Capacity of Reinforced Concrete Column Sections. Mag. Concr. Res. 2004, 56, 499–512. [Google Scholar] [CrossRef]
  3. Chandrasekaran, S.; Nunziante, L.; Serino, G.; Carannante, F. Curvature Ductility of RC Sections Based on Eurocode: Analytical Procedure. KSCE J. Civ. Eng. 2010, 15, 131–144. [Google Scholar] [CrossRef]
  4. Arslan, G.; Cihanli, E. Curvature Ductility Prediction of Reinforced High-strength Concrete Beam Sections. J. Civ. Eng. Manag. 2010, 16, 462–470. [Google Scholar] [CrossRef]
  5. Lee, H.-J. Predictions of Curvature Ductility Factor of Doubly Reinforced Concrete Beams with High Strength Materials. Comput. Concr. 2013, 12, 831–850. [Google Scholar] [CrossRef]
  6. Laterza, M.; D’Amato, M.; Thanthirige, A.P.; Braga, F.; Gigliotti, R. Comparisons of Codal Detailing Rules for Curvature Ductility and Numerical Investigations. Open Constr. Build. Technol. J. 2014, 8, 132–141. [Google Scholar] [CrossRef]
  7. Zhou, J.; He, F.; Liu, T. Curvature Ductility of Columns and Structural Displacement Ductility in RC Frame Structures Subjected to Ground Motions. Soil. Dyn. Earthq. Eng. 2014, 63, 174–183. [Google Scholar] [CrossRef]
  8. Baji, H.; Ronagh, H.R. Probabilistic Models for Curvature Ductility and Moment Redistribution of RC Beams. Comput. Concr. 2015, 16, 191–207. [Google Scholar] [CrossRef]
  9. Breccolotti, M.; Materazzi, A.L.; Regnicoli, B. Curvature Ductility of Biaxially Loaded Reinforced Concrete Short Columns. Eng. Struct. 2019, 200, 109669. [Google Scholar] [CrossRef]
  10. Kollerathu, J.A. Curvature Ductility of Reinforced Masonry Walls and Reinforced Concrete Walls. In Sustainability Trends and Challenges in Civil Engineering: Select Proceedings of CTCS 2020; Lecture Notes in Civil Engineering; Springer: Singapore, 2021; pp. 9–23. [Google Scholar] [CrossRef]
  11. Foroughi, S.; Yuksel, S.B. A New Approach for Determining the Curvature Ductility of Reinforced Concrete Beams. Slovak. J. Civ. Eng. 2022, 30, 8–20. [Google Scholar] [CrossRef]
  12. Karayannis, C.G. Design and Behavior of Reinforced Concrete Structures for Seismic Actions: Chapter 8—Element Ductility; Editions SOFIA: Sofia, Bulgaria, 2019; (In Greek). ISBN 978-960-633-005-6. [Google Scholar]
  13. Konstantinides, A. Earthquake Resistant Buildings Made of Reinforced Concrete: The Art of Construction and the Detailing According to Eurocodes; Alta Grafico SA: Ano Liossia, Greece, 2010; Volume A, ISBN 978-960-85506-3-6. [Google Scholar]
  14. EN 1992-1-1: 2004; Eurocode 2: Design of Concrete Structures. Part 1-1: General Rules and Rules for Buildings. British Standard Institution: London, UK, 2005.
  15. EN 1998-1: 2004; Eurocode 8: Design of Structures for Earthquake Resistance. Part 1: General Rules, Seismic Actions and Rules for Buildings. European Committee for Standardization: Brussels, Belgium, 2005.
  16. Konstantinides, A.; Bellos, J. Earthquake Resistant Buildings Made of Reinforced Concrete: Static and Dynamic Analysis According to Eurocodes; Alta Grafico SA: Ano Liossia, Greece, 2013; Volume B, ISBN 978-960-85506-4-3. [Google Scholar]
Figure 1. Column in yield limit state (not to scale).
Figure 1. Column in yield limit state (not to scale).
Buildings 14 00826 g001
Figure 2. The way to create a plastic joint at the two ends of a node due to strong alternating tension (Tests of “Anti-Seismic Thoraces”—Reinforced Concrete Laboratory, NTUA).
Figure 2. The way to create a plastic joint at the two ends of a node due to strong alternating tension (Tests of “Anti-Seismic Thoraces”—Reinforced Concrete Laboratory, NTUA).
Buildings 14 00826 g002
Figure 3. Column in the failure limit state with plastic joints at both ends (not to scale).
Figure 3. Column in the failure limit state with plastic joints at both ends (not to scale).
Buildings 14 00826 g003
Figure 4. Column cross-section with its reinforcement and corresponding model for bending design.
Figure 4. Column cross-section with its reinforcement and corresponding model for bending design.
Buildings 14 00826 g004
Figure 5. External and internal forces in a cross-section under uniaxial bending with axial force.
Figure 5. External and internal forces in a cross-section under uniaxial bending with axial force.
Buildings 14 00826 g005
Figure 6. Permissible strain distributions in the yield limit state.
Figure 6. Permissible strain distributions in the yield limit state.
Buildings 14 00826 g006
Figure 7. Permissible strain distributions in the failure limit state.
Figure 7. Permissible strain distributions in the failure limit state.
Buildings 14 00826 g007
Figure 8. A typical rectangular section.
Figure 8. A typical rectangular section.
Buildings 14 00826 g008
Figure 9. Strain-based region boundaries and corresponding compression zones in the yield limit state for the “typical rectangular section”.
Figure 9. Strain-based region boundaries and corresponding compression zones in the yield limit state for the “typical rectangular section”.
Buildings 14 00826 g009
Figure 10. Strain diagrams and corresponding yield curvatures for the “typical rectangular section”.
Figure 10. Strain diagrams and corresponding yield curvatures for the “typical rectangular section”.
Buildings 14 00826 g010
Figure 11. Paired diagrams (Md, As1) corresponding to compression zone depths x and axial forces Nd in yield limit state for the “typical rectangular section” and ρ2/ρ1 = 1.
Figure 11. Paired diagrams (Md, As1) corresponding to compression zone depths x and axial forces Nd in yield limit state for the “typical rectangular section” and ρ2/ρ1 = 1.
Buildings 14 00826 g011
Figure 12. Strain-based region boundaries and corresponding compression zones in the failure limit state for the “typical rectangular section”.
Figure 12. Strain-based region boundaries and corresponding compression zones in the failure limit state for the “typical rectangular section”.
Buildings 14 00826 g012
Figure 13. Strain diagrams and corresponding curvatures in the failure limit state for the “typical rectangular section”.
Figure 13. Strain diagrams and corresponding curvatures in the failure limit state for the “typical rectangular section”.
Buildings 14 00826 g013
Figure 14. Paired diagrams (Md, As1) corresponding to compression zones x and axial forces Nd in the failure limits state for the “typical rectangular section” and ρ2/ρ1 = 1.
Figure 14. Paired diagrams (Md, As1) corresponding to compression zones x and axial forces Nd in the failure limits state for the “typical rectangular section” and ρ2/ρ1 = 1.
Buildings 14 00826 g014
Disclaimer/Publisher’s Note: The statements, opinions and data contained in all publications are solely those of the individual author(s) and contributor(s) and not of MDPI and/or the editor(s). MDPI and/or the editor(s) disclaim responsibility for any injury to people or property resulting from any ideas, methods, instructions or products referred to in the content.

Share and Cite

MDPI and ACS Style

Bellos, J.; Konstantinidis, A. Systematic Calculation of Yield and Failure Curvatures of Reinforced Concrete Cross-Sections. Buildings 2024, 14, 826. https://doi.org/10.3390/buildings14030826

AMA Style

Bellos J, Konstantinidis A. Systematic Calculation of Yield and Failure Curvatures of Reinforced Concrete Cross-Sections. Buildings. 2024; 14(3):826. https://doi.org/10.3390/buildings14030826

Chicago/Turabian Style

Bellos, John, and Apostolos Konstantinidis. 2024. "Systematic Calculation of Yield and Failure Curvatures of Reinforced Concrete Cross-Sections" Buildings 14, no. 3: 826. https://doi.org/10.3390/buildings14030826

APA Style

Bellos, J., & Konstantinidis, A. (2024). Systematic Calculation of Yield and Failure Curvatures of Reinforced Concrete Cross-Sections. Buildings, 14(3), 826. https://doi.org/10.3390/buildings14030826

Note that from the first issue of 2016, this journal uses article numbers instead of page numbers. See further details here.

Article Metrics

Back to TopTop