Energy and Economic Advantages of Using Solar Stills for Renewable Energy-Based Multi-Generation of Power and Hydrogen for Residential Buildings
Abstract
1. Introduction
1.1. Background
1.2. Literature Review
1.3. Contributions of This Paper
1.4. Organization of the Paper
2. Methods and Materials
2.1. The Studied System
2.2. Energy Simulation
2.2.1. PV
2.2.2. PEMEC
2.2.3. Desalination Units
2.2.4. Compressor
2.2.5. Electrolyzer H2 Mass Flow Determination
2.2.6. Hydrogen Storage Tank
2.2.7. PEMFC
2.3. Economic Simulation
- The initial purchase price of the components;
- The cost of purchasing materials;
- The cost of operation and maintenance.
3. Case Study
Parameter | Value | Reference |
---|---|---|
PV module type | Mono-crystalline | [57] |
Tracking status of PV | Single-axis tracking | - |
number of PV per string | 5 | - |
βref of PV | −0.30%·K−1 | [57] |
of PV | 17.7% | [57] |
PV nominal power | 290 W | [57] |
PV dimensions | 1.64 × 1.00 × 0.035 m3 | [57] |
of compressor | 0.85 | [54] |
of compressor | 10 | [54] |
of PEMFC | 25 cm2 per each cell | [54] |
L of PEMFC | 0.036 cm | [54] |
of PEMFC | 0.80 | [54] |
of PEMFC | −0.9514 V | [54] |
of PEMFC | 0.00312 V·K−1 | [54] |
of PEMFC | 0.000074 V·K−1 | [54] |
of PEMFC | −0.000187 V·K−1 | [54] |
of PEMEC | 0.74 | [58] |
Parameter | Value | References | |
---|---|---|---|
System life span | 25 years | - | |
Bought hydrogen cost | USD 3 per kg | [59] | |
Discount | 6.54% | [60] | |
Inflation | 3.1% | [60] | |
Price of electricity | Variable during year | [61] | |
Cost for operation and maintenance | 0.045 IPP | [50,62] | |
The initial purchase price | ST | USD 0.03975 per m3 of capacity | [63] |
MVC | USD 80 per daily m3 | [64] | |
RO | USD 0.2340 per m3 of capacity | [65] | |
Miscellaneous items | 0.05 of the summation of the indicated components | [54] | |
PEMFC | USD 2000 per kW | [66] | |
Inverter | USD 100 per kW | [67] | |
Hydrogen storage tank | USD 1.7 per m3 | [68] | |
Compressor | USD 240 per kW | [69] | |
PEMEC | USD 900 per kW | [70] | |
PV | USD 250 per kW | [71] |
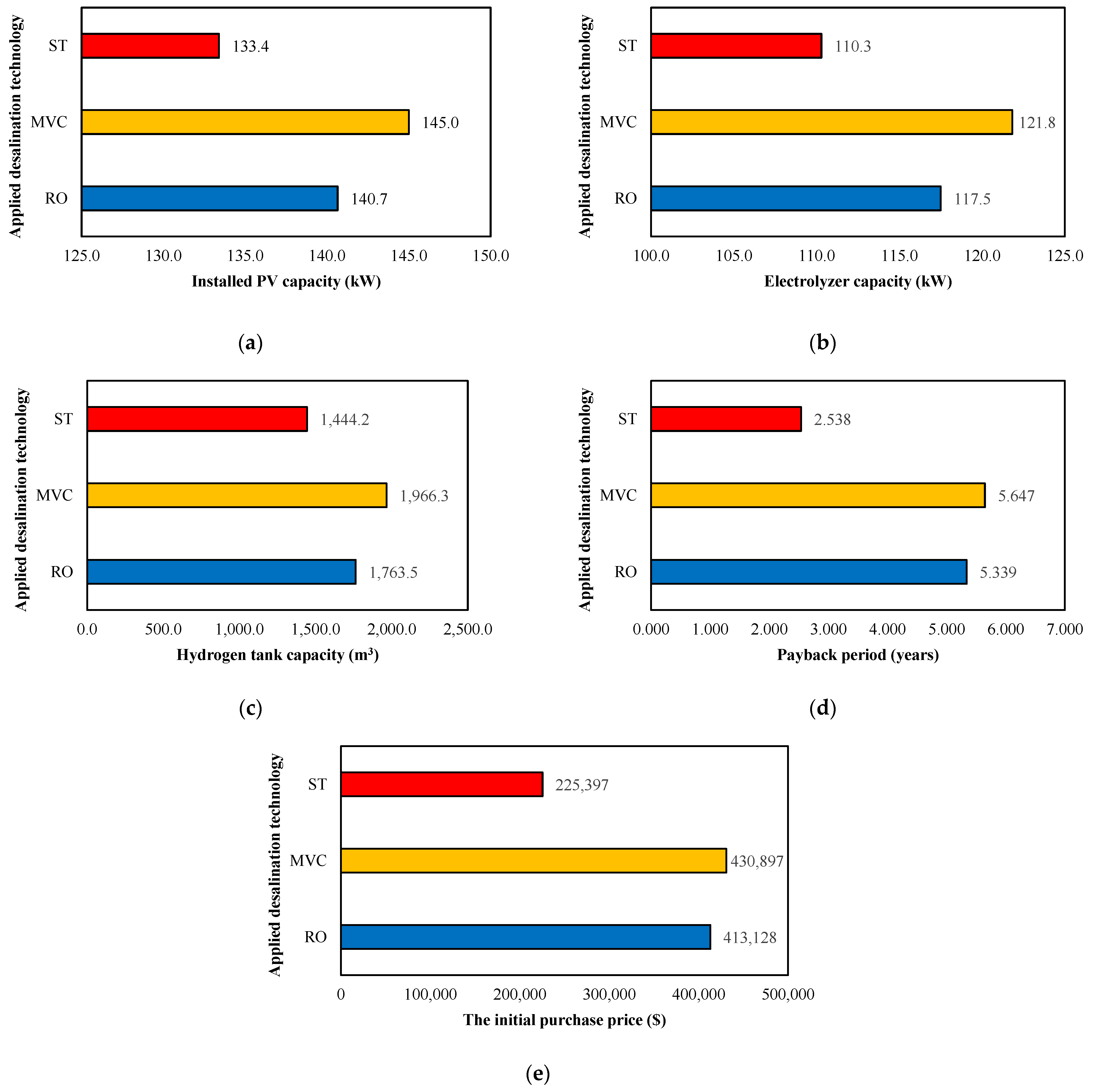
4. Results and Discussion
4.1. The Enhancement Potential of the Proposed System
4.2. Impact of the Building Load
5. Conclusions
Author Contributions
Funding
Data Availability Statement
Acknowledgments
Conflicts of Interest
Nomenclature and Abbreviations
Abbreviations | |
ASEL | Annual saving in electricity |
ABLF | Annual building load factor |
SAPM | Sandia Array Performance Model |
PEMEC | Proton exchange membrane electrolyzer |
PV | Photovoltaic |
PBP | Payback period |
PEMFC | Proton exchange membrane fuel cell |
Symbols | |
Coefficient of SAPM model (-) | |
N | Number |
IPP | Initial purchase price (USD) |
t | Time |
Discount | |
Cash flow (USD) | |
Present worth (USD) | |
Molar mass (kg·kmol−1) | |
Length (m) | |
Resistance (Ω) | |
Concentration | |
Partial pressure | |
Current (A) | |
Current density (A·m−2) or inflation | |
The gas constant (kJ·kg−1·K−1) | |
Volume (m3) | |
The constant volume heat capacity (kJ·kg−1·K−1) | |
The isobaric-to-constant-volume heat capacity ratios | |
Mass flow rate (kg·s−1) | |
The isobaric heat capacity (kJ·kg−1·K−1) | |
Voltage (V) | |
Faraday constant (96,485.3321 sA·mol−1) | |
Mass (kg) | |
Area (m2) | |
Power (W) or pressure (kPa) | |
Work (W) | |
Wind speed (m·s−1) | |
Coefficient of SAPM model (m−1·s) | |
Solar radiation (W·m−2) | |
Temperature (K) | |
Greek symbols | |
The thermal coefficient of PV (%·K−1) | |
Efficiency | |
ρM | Membrane-specific resistance |
The coefficient of activation loss of PEMFC equation (V·K−1 or V) | |
Air stoichiometry | |
Subscripts | |
electricity saving | Electricity saving |
O&M cost | Operating and maintenance cost |
capital cost | Capital cost |
eff | Effective |
0 | The time of 0 |
internal | Internal |
O2 | Oxygen |
H2O | Water |
sold hydrogen | Sold hydrogen |
concentration | Concentration |
activation | Activation |
ohmic | Ohmic |
nernst | Nernest (Ideal fuel cell procution) |
des | Desalination system |
FC | Fuel cell |
max | Maximum |
tank | Tank |
in | Inlet |
hum | Humidity |
C | Compressor |
V | Voltage |
H2 | Hydrogen |
required load | The required load |
other gases | Other gases |
elz | Electrolyzer |
ref | The reference condition |
a | Ambient |
PV | Photovoltaic |
corr | Corrected |
Superscripts | |
channel | Channel |
sat | Saturation |
References
- Goodarzi, M.; Li, Q. Micro Energy-Water-Hydrogen Nexus: Data-driven Real-time Optimal Operation. arXiv 2023, arXiv:2311.12274. [Google Scholar]
- Masala, F.; Groppi, D.; Nastasi, B.; Piras, G.; Astiaso Garcia, D. Techno-economic analysis of biogas production and use scenarios in a small island energy system. Energy 2022, 258, 124831. [Google Scholar] [CrossRef]
- Kolahi, M.; Jannatichenar, M.; Davies, K.; Hoffmann, C. Legal conflicts among natural resources stakeholders in Iran. Br. J. Middle East. Stud. 2023, 50, 160–179. [Google Scholar] [CrossRef]
- Kolahi, M.; Entegham-Kesh, N.; Mahmoudmolaei Kermani, B. The role of socio-cultural components on citizens’ environmental behavior, case study: Shirvan. J. Urban Ecol. Res. 2019, 10, 41–56. [Google Scholar]
- Ashofteh, H.; Behzadi Forough, A. Renewable Energy’s Potential Scrutiny by PVSYST and RETSCREEN softwares Case study: Khoy City, Iran. Renew. Energy Res. Appl. 2022, 3, 207–216. [Google Scholar]
- Mehrzad, A.; Darmiani, M.; Mousavi, Y.; Shafie-Khah, M.; Aghamohammadi, M. A Review on Data-Driven Security Assessment of Power Systems: Trends and Applications of Artificial Intelligence. IEEE Access 2023, 11, 78671–78685. [Google Scholar] [CrossRef]
- Gharapetian, D.; Fini, M.A.; Bazargan, M. An exergy-economic analysis of a concentrated photovoltaic-thermal system with phase change materials cooled by a nanofluid in porous media. J. Energy Storage 2023, 72, 108336. [Google Scholar] [CrossRef]
- Ashofteh, H.; Orangian, E. Evaluating the effectiveness and calculating the rate of return on investment of training courses using Kirk Patrick and Phillips models. Manag. Educ. Perspect. 2021, 3, 143–179. [Google Scholar]
- Mehrzad, A.; Darmiani, M.; Mousavi, Y.; Shafie-Khah, M.; Aghamohammadi, M. An Efficient Rapid Method for Generators Coherency Identification in Large Power Systems. IEEE Open Access J. Power Energy 2022, 9, 151–160. [Google Scholar] [CrossRef]
- Vosoughkhosravi, S.; Dixon-Grasso, L.; Jafari, A. The impact of LEED certification on energy performance and occupant satisfaction: A case study of residential college buildings. J. Build. Eng. 2022, 59, 105097. [Google Scholar] [CrossRef]
- Goodarzi, M.; Li, Q. Economic Viability of the Energy-Water-Hydrogen Nexus for Power System Decarbonization. arXiv 2023, arXiv:2311.11111. [Google Scholar]
- Mousavi, Y.; Alfi, A.; Kucukdemiral, I.B. Enhanced fractional chaotic whale optimization algorithm for parameter identification of isolated wind-diesel power systems. IEEE Access 2020, 8, 140862–140875. [Google Scholar] [CrossRef]
- Vosoughkhosravi, S.; Jafari, A.; Zhu, Y. Application of American time use survey (ATUS) in modelling energy-related occupant-building interactions: A comprehensive review. Energy Build. 2023, 294, 113245. [Google Scholar] [CrossRef]
- Dezhdar, A.; Assareh, E.; Agarwal, N.; Bedakhanian, A.; Keykhah, S.; Fard, G.Y.; Zadsar, N.; Aghajari, M.; Lee, M. Transient optimization of a new solar-wind multi-generation system for hydrogen production, desalination, clean electricity, heating, cooling, and energy storage using TRNSYS. Renew. Energy 2023, 208, 512–537. [Google Scholar] [CrossRef]
- Bozgeyik, A.; Altay, L.; Hepbasli, A. A parametric study of a renewable energy based multigeneration system using PEM for hydrogen production with and without once-through MSF desalination. Int. J. Hydrogen Energy 2022, 47, 31742–31754. [Google Scholar] [CrossRef]
- Ahmadi, S.; Gharehghani, A.; Soltani, M.M.; Fakhari, A.H. Design and evaluation of renewable energies-based multi-generation system for hydrogen production, freshwater and cooling. Renew. Energy 2022, 198, 916–935. [Google Scholar] [CrossRef]
- Karapekmez, A.; Dincer, I. Development of a multigenerational energy system for clean hydrogen generation. J. Clean. Prod. 2021, 299, 126909. [Google Scholar] [CrossRef]
- Assareh, E.; Delpisheh, M.; Farhadi, E.; Peng, W.; Moghadasi, H. Optimization of geothermal- and solar-driven clean electricity and hydrogen production multi-generation systems to address the energy nexus. Energy Nexus 2022, 5, 100043. [Google Scholar] [CrossRef]
- Hashemian, N.; Noorpoor, A. A geothermal-biomass powered multi-generation plant with freshwater and hydrogen generation options: Thermo-economic-environmental appraisals and multi-criteria optimization. Renew. Energy 2022, 198, 254–266. [Google Scholar] [CrossRef]
- Pietrasanta, A.M.; Mussati, S.F.; Aguirre, P.A.; Morosuk, T.; Mussati, M.C. Optimization of a multi-generation power, desalination, refrigeration and heating system. Energy 2022, 238, 121737. [Google Scholar] [CrossRef]
- Khanmohammadi, S.; Razi, S.; Delpisheh, M.; Panchal, H. Thermodynamic modeling and multi-objective optimization of a solar-driven multi-generation system producing power and water. Desalination 2023, 545, 116158. [Google Scholar] [CrossRef]
- Wang, S.; Lin, H.; Abed, A.M.; Sharma, A.; Fooladi, H. Exergoeconomic assessment of a biomass-based hydrogen, electricity and freshwater production cycle combined with an electrolyzer, steam turbine and a thermal desalination process. Int. J. Hydrogen Energy 2022, 47, 33699–33718. [Google Scholar] [CrossRef]
- Bozgeyik, A.; Altay, L.; Hepbasli, A. Energetic, exergetic, exergoeconomic, environmental and sustainability analyses of a solar, geothermal and biomass based novel multi-generation system for production of power, hydrogen, heating, cooling and fresh water. Process Saf. Environ. Prot. 2023, 177, 400–415. [Google Scholar] [CrossRef]
- Akci Turgut, H.S.; Dincer, I. A microalgal biogas driven multigenerational system developed for producing power, freshwater and hydrogen. J. Clean. Prod. 2023, 411, 137341. [Google Scholar] [CrossRef]
- Abdul Hussain Ratlamwala, T.; Javed, H.; Naseem, S.; Kamal, K. Comparative analysis of a multi-generation system using different conventional & nano based working fuels. Int. J. Hydrogen Energy 2024, 52, 1–12. [Google Scholar] [CrossRef]
- Dobos, A.P. PVWatts Version 5 Manual; National Renewable Energy Lab (NREL): Golden, CO, USA, 2014. [Google Scholar]
- King, D.L.; Kratochvil, J.A.; Boyson, W.E. Photovoltaic Array Performance Model; Citeseer: Albuquerque, NM, USA, 2004; Volume 8. [Google Scholar]
- Belhadi, M.E.A.; Hamasha, S.D.; Alahmer, A.; Zhao, R.; Prorok, B.C.; Alavi, S. The impact of Bi content on the coarsening kinetics of IMC particles and creep deformation under thermal cycling. J. Electron. Mater. 2024, 53, 380–393. [Google Scholar] [CrossRef]
- Vyas, P.P.; Alahmer, A.; Alavi, S.S.; Belhadi, M.E.A. Comparative Drop Shock Reliability Study of SAC-Based Alloys in BGA Assemblies. IEEE Trans. Compon. Packag. Manuf. Technol. 2024; early access. [Google Scholar] [CrossRef]
- Fereidoon, A.; Hemmatian, H.; Mohammadzadeh, A.; Assareh, E. Sandwich panel optimization based on yielding and buckling criteria by using of imperialist competitive algorithm. Modares Mech. Eng. 2013, 13, 25–35. [Google Scholar]
- Rahim, A.H.A.; Tijani, A.S.; Kamarudin, S.K.; Hanapi, S. An overview of polymer electrolyte membrane electrolyzer for hydrogen production: Modeling and mass transport. J. Power Sources 2016, 309, 56–65. [Google Scholar] [CrossRef]
- Ranjbar Hasani, M.; Nedaei, N.; Assareh, E.; Alirahmi, S.M. Thermo-economic appraisal and operating fluid selection of geothermal-driven ORC configurations integrated with PEM electrolyzer. Energy 2023, 262, 125550. [Google Scholar] [CrossRef]
- Shakibi, H.; Assareh, E.; Chitsaz, A.; Keykhah, S.; Behrang, M.; Golshanzadeh, M.; Ghodrat, M.; Lee, M. Exergoeconomic and optimization study of a solar and wind-driven plant employing machine learning approaches; a case study of Las Vegas city. J. Clean. Prod. 2023, 385, 135529. [Google Scholar] [CrossRef]
- Habibollahzade, A.; Gholamian, E.; Ahmadi, P.; Behzadi, A. Multi-criteria optimization of an integrated energy system with thermoelectric generator, parabolic trough solar collector and electrolysis for hydrogen production. Int. J. Hydrogen Energy 2018, 43, 14140–14157. [Google Scholar] [CrossRef]
- Jazani, O.; Bennett, J.; Liguori, S. Effect of temperature, air exposure and gas mixture on Pd82–Ag15–Y3 membrane for hydrogen separation. Int. J. Hydrogen Energy 2024, 51, 624–636. [Google Scholar] [CrossRef]
- Shaygan, M.; Ehyaei, M.A.; Ahmadi, A.; Assad, M.E.H.; Silveira, J.L. Energy, exergy, advanced exergy and economic analyses of hybrid polymer electrolyte membrane (PEM) fuel cell and photovoltaic cells to produce hydrogen and electricity. J. Clean. Prod. 2019, 234, 1082–1093. [Google Scholar] [CrossRef]
- Rabbani, M.; Hosseini, A.; Karim, M.A.; Fahimi, A.; Karimi, K.; Vahidi, E. Environmental impact assessment of a novel third-generation biorefinery approach for astaxanthin and biofuel production. Sci. Total Environ. 2024, 912, 168733. [Google Scholar] [CrossRef] [PubMed]
- DESWARE: Encyclopedia of Desalination and Water Treatment. Energy Requirements of Desalination Processes. Available online: https://www.desware.net/Energy-Requirements-Desalination-Processes.aspx (accessed on 23 December 2023).
- Cengel, Y.A.; Boles, M.A.; Kanoğlu, M. Thermodynamics: An Engineering Approach; McGraw-Hill: New York, NY, USA, 2011; Volume 5. [Google Scholar]
- Kamali, Z.; Khashehchi, M.; Zarafshan, P.; Pipelzadeh, E. Enhanced desalination performance of capacitive deionization using ZIF-8/Graphene nanocomposite electrode. Appl. Water Sci. 2020, 10, 1–8. [Google Scholar] [CrossRef]
- Molaeimanesh, G.R.; Torabi, F. Fuel Cell Modeling and Simulation: From Microscale to Macroscale; Elsevier: Amsterdam, The Netherlands, 2022. [Google Scholar]
- Al-Baghdadi, M.A.R.S. Modelling of proton exchange membrane fuel cell performance based on semi-empirical equations. Renew. Energy 2005, 30, 1587–1599. [Google Scholar] [CrossRef]
- Miansari, M.; Sedighi, K.; Amidpour, M.; Alizadeh, E.; Miansari, M.O. Experimental and thermodynamic approach on proton exchange membrane fuel cell performance. J. Power Sources 2009, 190, 356–361. [Google Scholar] [CrossRef]
- Qureshy, A.M.M.I.; Dincer, I. Investigation of a solar hydrogen generating system design for green applications. Appl. Therm. Eng. 2021, 193, 117008. [Google Scholar] [CrossRef]
- Tlili, N.; Neily, B.; Salem, F.B. Modeling and simulation of hybrid system coupling a photovoltaic generator, a PEM fuel cell and an electrolyzer (Part I). In Proceedings of the 2014 IEEE 11th International Multi-Conference on Systems, Signals & Devices (SSD14), Barcelona, Spain, 11–14 February 2014; pp. 1–8. [Google Scholar]
- Goodarzi, M.; Li, Q. Evaluate the capacity of electricity-driven water facilities in small communities as virtual energy storage. Appl. Energy 2022, 309, 118349. [Google Scholar] [CrossRef]
- Goodarzi, M.; Li, Q. Real-time Optimization for Wind-to-H2 Driven Critical Infrastructures: High-fidelity Active Constraints and Integer Variables Prediction Enhanced by Feature Space Expansion. arXiv 2023, arXiv:2306.17395. [Google Scholar]
- Mousavi, Y.; Bevan, G.; Kucukdemiral, I.B.; Fekih, A. Sliding mode control of wind energy conversion systems: Trends and applications. Renew. Sustain. Energy Rev. 2022, 167, 112734. [Google Scholar] [CrossRef]
- Alian Fini, M.; Gharapetian, D.; Asgari, M. Efficiency improvement of hybrid PV-TEG system based on an energy, exergy, energy-economic and environmental analysis; experimental, mathematical and numerical approaches. Energy Convers. Manag. 2022, 265, 115767. [Google Scholar] [CrossRef]
- Sohani, A.; Cornaro, C.; Shahverdian, M.H.; Moser, D.; Pierro, M.; Olabi, A.G.; Karimi, N.; Nižetić, S.; Li, L.K.B.; Doranehgard, M.H. Techno-economic evaluation of a hybrid photovoltaic system with hot/cold water storage for poly-generation in a residential building. Appl. Energy 2023, 331, 120391. [Google Scholar] [CrossRef]
- Hoseinzadeh, S.; Groppi, D.; Sferra, A.S.; Di Matteo, U.; Astiaso Garcia, D. The PRISMI plus toolkit application to a grid-connected mediterranean island. Energies 2022, 15, 8652. [Google Scholar] [CrossRef]
- Hoseinzadeh, S.; Nastasi, B.; Groppi, D.; Garcia, D.A. Exploring the penetration of renewable energy at increasing the boundaries of the urban energy system—The PRISMI plus toolkit application to Monachil, Spain. Sustain. Energy Technol. Assess. 2022, 54, 102908. [Google Scholar] [CrossRef]
- European Comission. PVGIS Typical Meteorological Year (TMY) Generator. Available online: https://joint-research-centre.ec.europa.eu/photovoltaic-geographical-information-system-pvgis/pvgis-tools/pvgis-typical-meteorological-year-tmy-generator_en (accessed on 1 December 2023).
- Shahverdian, M.H.; Sohani, A.; Sayyaadi, H. A 3E water energy nexus based optimum design for a hybrid PV-PEMFC electricity production systems for off-gird applications. Energy Convers. Manag. 2022, 267, 115911. [Google Scholar] [CrossRef]
- Okundamiya, M.S. Size optimization of a hybrid photovoltaic/fuel cell grid connected power system including hydrogen storage. Int. J. Hydrogen Energy 2021, 46, 30539–30546. [Google Scholar] [CrossRef]
- Ghenai, C.; Bettayeb, M. Grid-Tied Solar PV/Fuel Cell Hybrid Power System for University Building. Energy Procedia 2019, 159, 96–103. [Google Scholar] [CrossRef]
- LG Company. High Efficiency Mono X® NeON Module Cells Specifications. Available online: https://www.lg.com/us/business/solar-panels/lg-LG290N1C-G3 (accessed on 12 December 2023).
- Oruc, M.E.; Desai, A.V.; Kenis, P.J.A.; Nuzzo, R.G. Comprehensive energy analysis of a photovoltaic thermal water electrolyzer. Appl. Energy 2016, 164, 294–302. [Google Scholar] [CrossRef]
- SGH2 Energy Global Corp. Cost Comparison of H2 Production from Different Technologies. Available online: https://www.sgh2energy.com/economics#:~:text=COST%20COMPARISON&text=Blue%20hydrogen%20%E2%80%94produced%20from%20natural,per%20kg%20%2C%20depending%20on%20availability (accessed on 8 December 2023).
- Department of Business, Economic Development & Tourism, Research & Economic Analysis. Outlook for the Economy. Available online: https://dbedt.hawaii.gov/economic/qser/outlook-economy/#:~:text=Hawaii’s%20consumer%20inflation%2C%20measured%20by,the%20nation%20at%204.6%20percent (accessed on 9 December 2023).
- Hawaii Electric. Time of Use Rate History. Available online: https://www.hawaiianelectric.com/products-and-services/save-energy-and-money/shift-and-save/time-of-use-rate-history (accessed on 2 December 2023).
- Business Analytiq. Labor Cost per Country Index. Available online: https://businessanalytiq.com/procurementanalytics/index/labor-cost-per-country/ (accessed on 17 March 2024).
- Sedayevatan, S.; Bahrami, A.; Delfani, F.; Sohani, A. Uncertainty Covered Techno-Enviro-Economic Viability Evaluation of a Solar Still Water Desalination Unit Using Monte Carlo Approach. Energies 2023, 16, 6924. [Google Scholar] [CrossRef]
- Shamet, O.; Antar, M. Mechanical vapor compression desalination technology—A review. Renew. Sustain. Energy Rev. 2023, 187, 113757. [Google Scholar] [CrossRef]
- Alibaba. EDI Water Filter Ultra Pure Water Machine Reverse Osmosis System 1000 Liters per Hour Water Treatment. Available online: https://www.alibaba.com/product-detail/EDI-water-filter-ultra-pure-water_1600243406975.html (accessed on 3 January 2024).
- Glarity Website. Economic Analysis of PEM Fuel Cells: Cost Comparison and Future Viability. Available online: https://glarity.app/youtube-summary/science-technology/the-economic-breakdown-of-pem-fuel-15269963_1513146 (accessed on 17 March 2024).
- Amazon Webstie. Y&H 4.2 KW 24 VDC On/Off-Grid Solar Hybrid Inverter Cost. Available online: https://www.amazon.it/Inverter-sinusoidale-indipendente-caricatore-DC55-450V/dp/B0CHJ7D2JX?source=ps-sl-shoppingads-lpcontext&ref_=fplfs&smid=A2J7W1M0JR7O3Z&th=1 (accessed on 17 March 2024).
- Sohani, A.; Shahverdian, M.H.; Sayyaadi, H.; Nižetić, S.; Doranehgard, M.H. An optimum energy, economic, and environmental design based on DEVAP concept to reach maximum heat recovery in a PV-wind turbine system with hydrogen storage. Energy Convers. Manag. 2023, 288, 117147. [Google Scholar] [CrossRef]
- EXPO DO Website. Oil-Free Compressor—50 L-2 x 750 W. Available online: https://www.expondo.it/msw-compressore-senza-olio-50-l-2-x-750-w-10062633?utm_source=trovaprezzi.it&utm_medium=price_comparison&utm_campaign=it_attrezzature_per_officina&utm_content=compressore_d%27aria&utm_term=ex10062633 (accessed on 17 March 2024).
- Ebay Website. 2000 mL/min PEM Electrolyzer for Hydrogen Oxygen Hydrogen Rich Water Generator. Available online: https://www.ebay.it/itm/364673259738?_trkparms=amclksrc%3DITM%26aid%3D1110018%26algo%3DHOMESPLICE.COMPLISTINGS%26ao%3D1%26asc%3D20210609144404%26meid%3D1e00a7cb5928460f9e9421ff72ab4ba4%26pid%3D101196%26rk%3D1%26rkt%3D12%26sd%3D166364969902%26itm%3D364673259738%26pmt%3D1%26noa%3D0%26pg%3D4429486%26algv%3DCompVIDesktopATF2V4WithDefaultIMAFeature%26brand%3DUnbranded&_trksid=p4429486.c101196.m2219&itmprp=cksum%3A3646732597381e00a7cb5928460f9e9421ff72ab4ba4%7Cenc%3AAQAJAAABELUK373GZYwoSkhvUXwZwr2SLMQzpCH9tKsUlXR5IUOVFg6%252BDk7Rw1OZXS%252Bb4%252BWbaSb5ZMNSvwx9dcU0lTn4qeMt8T2N5a4Q6lAdY3nTQ60d6jAvUVJuf76%252F5ET8eU78jOGFrWopGf%252FKbFmW%252B6DNC3SINO%252FxaNDibtYMc%252BMvTHPh%252FFjbOWwCohBCXGJWdqD2THkP9pYzJ8OaCoi%252B9Wibd8I5XcmDBE0PDcQJvhxcvmylYU7Jno%252Ft0E1LdsnFuTZ%252BJxg8bzRlotPJMgpFdx0Tg04f2yJd8i6d6nuE9%252FAfoIJgcyNH6Zmo%252B2HPWnicBYrfOmHCPm%252BelMYet%252Beue9BMdy8PW8PYXFAHku6v4E7yGKne%7Campid%3APL_CLK%7Cclp%3A4429486&itmmeta=01HS6N2MN51E4GXNSHP64D0V28 (accessed on 17 March 2024).
- Clear Energy Partners Store. 245 Watt ET Pallet of Solar Panels (30 pcs). Available online: https://clearenergypartners.store/products/245watt-et-solar-panels (accessed on 17 March 2024).
Disclaimer/Publisher’s Note: The statements, opinions and data contained in all publications are solely those of the individual author(s) and contributor(s) and not of MDPI and/or the editor(s). MDPI and/or the editor(s) disclaim responsibility for any injury to people or property resulting from any ideas, methods, instructions or products referred to in the content. |
© 2024 by the authors. Licensee MDPI, Basel, Switzerland. This article is an open access article distributed under the terms and conditions of the Creative Commons Attribution (CC BY) license (https://creativecommons.org/licenses/by/4.0/).
Share and Cite
Bahrami, A.; Soltanifar, F.; Fallahi, P.; Meschi, S.S.; Sohani, A. Energy and Economic Advantages of Using Solar Stills for Renewable Energy-Based Multi-Generation of Power and Hydrogen for Residential Buildings. Buildings 2024, 14, 1041. https://doi.org/10.3390/buildings14041041
Bahrami A, Soltanifar F, Fallahi P, Meschi SS, Sohani A. Energy and Economic Advantages of Using Solar Stills for Renewable Energy-Based Multi-Generation of Power and Hydrogen for Residential Buildings. Buildings. 2024; 14(4):1041. https://doi.org/10.3390/buildings14041041
Chicago/Turabian StyleBahrami, Armida, Fatemeh Soltanifar, Pourya Fallahi, Sara S. Meschi, and Ali Sohani. 2024. "Energy and Economic Advantages of Using Solar Stills for Renewable Energy-Based Multi-Generation of Power and Hydrogen for Residential Buildings" Buildings 14, no. 4: 1041. https://doi.org/10.3390/buildings14041041
APA StyleBahrami, A., Soltanifar, F., Fallahi, P., Meschi, S. S., & Sohani, A. (2024). Energy and Economic Advantages of Using Solar Stills for Renewable Energy-Based Multi-Generation of Power and Hydrogen for Residential Buildings. Buildings, 14(4), 1041. https://doi.org/10.3390/buildings14041041