Abstract
In addition to architecture and infrastructure, urban outdoor advertising also shapes urban visual identity, serving as a prominent carrier of public information and visual stimuli. However, excessive or poorly designed advertisements disrupt the cityscape and contribute to visual pollution and cognitive overload. Leveraging computer-based eye tracking, this study examines the visual and cognitive effects of outdoor advertising designs within urban contexts. Key eye-tracking metrics, including total fixation duration, fixation count, time to first fixation, and first fixation duration, are measured to analyze the influence of various variables on visual attention and user experience, such as color contrast, text complexity, information hierarchy, and spatial layout. The findings reveal that high-contrast, text-heavy designs hinder visual flow and increase mental effort, while visually balanced layouts improve legibility and reduce cognitive burden. These results offer actionable insights for optimizing urban visual identity and enhancing the clarity, comfort, and coherence of outdoor advertising. By integrating perceptual data into urban design strategies, this research provides a data-driven approach to smarter, more human-centered advertising management and urban aesthetic governance.
1. Introduction
1.1. Research Background and Problem Statement
With extensive urbanization, outdoor advertising has become an important visual symbol system in public spaces, and its design quality affects the information-reception efficiency and visual experience of the public. This study leverages eye tracking to objectively quantify the effects of advertising-design variables, including color contrast, information hierarchy, image–text ratio, and spatial structure, on individual visual attention and cognitive load [1]. Compared to traditional questionnaires or interviews, eye-movement data provide more timely and physiological feedback, such as total fixation duration, time to first fixation, and attention distribution. These indicators reveal the audience’s visual scan path and cognitive load in response to complex advertising information [2]. Our method overcomes the limitations of subjective evaluation, and the findings provide a scientific basis for identifying the key factors contributing to visual overload in advertising.
The impact of advertising design on visual attention and cognitive load extends beyond the sensory level, deeply influencing the interactive relationship between urban aesthetics and cognitive psychological mechanisms. Urban aesthetics has long emphasized visual order, stylistic unity, and cultural imagery, while cognitive psychology focuses on perception, attention, and information processing. Despite frequent intersections between the two theories, certain disconnections remain between research methods and application levels [3]. This study fills the gap in empirical urban aesthetics research concerning the effect of human perception on cityscapes by leveraging eye-tracking data and urban visual design parameters [4]. This interdisciplinary integration furthers our understanding of the complexity of urban visual identity and provides a cognitive basis for human-centered design strategies.
As urban images are increasingly shaped by the visual communication system, outdoor advertising has gradually become a core component of urban visual identity. Advertising-design quality affects the information-dissemination efficiency while profoundly reshaping the overall perception and sense of belonging of citizens and tourists toward urban spaces [5]. Advertising that integrates visual design and cognitive mechanisms can become orderly and friendly visual guides, while advertisements lacking logic and style may cause visual pollution and spatial disorientation, weakening city image recognition [5]. Therefore, this study leverages the cognitive clues of eye tracking to inform decision-making in macro urban visual governance based on micro visual mechanisms, aiming to promote the evolution of urban advertising toward order, aesthetics, and functional integration.
1.2. Research Questions and Objectives
Existing studies on the visual pollution of urban outdoor advertising have primarily evaluated the impact of advertisements on visual experience using subjective assessment methods, such as surveys and interviews. However, these methods often exhibit strong individual variability and lack real-time physiological data, thus failing to precisely quantify the influence of visual pollution on attention distribution, information-processing efficiency, and cognitive load. Moreover, a systematic quantitative evaluation model is yet to be developed to accurately describe the influence of different advertising-design factors (e.g., color contrast, text complexity, and spatial placement) on viewers’ visual behavior.
Therefore, this study aims to address the following key research questions:
How do different outdoor advertisements influence viewers’ visual attention distribution and information-processing efficiency?
Can eye tracking serve as an objective tool for quantifying the impact of visual pollution on human vision and cognition?
How do advertisement-design factors (e.g., color contrast, text complexity, and spatial placement) influence eye-movement characteristics and, thus, shape the perception of visual pollution?
How can eye-tracking data be utilized for advertisement-design optimization, visual pollution reduction, and information-transmission efficiency improvement?
Accordingly, eye tracking is employed to objectively analyze how advertisements with varying degrees of visual pollution affect viewers’ attention and cognitive load. The primary objectives of this research are:
To apply eye tracking and measure key eye-movement metrics, including total fixation duration, fixation count, fixation ratio, time to first fixation, and first fixation duration, thus quantifying the impact of different advertisement types on visual pollution.
To investigate the relationship between advertisement-design factors (e.g., color contrast, text density, and spatial placement) and eye-movement patterns, thus analyzing their influence on visual information processing.
To apply statistical analyses (e.g., ANOVA and regression analysis) to verify the significant differences in eye-tracking metrics across different advertisement categories and visualize viewers’ attention distribution through heatmaps.
To propose data-driven advertisement-optimization strategies based on eye-tracking data, aiming to reduce visual pollution, enhance readability, and provide a scientific basis for urban advertisement design and regulation.
By employing a quantitative and data-driven approach, this study fills the gap in objective measurement of visual pollution and provides theoretical and practical insights for optimizing advertisement design and urban visual environments.
1.3. Research Framework
This study follows a structured framework to systematically investigate the impact of visual pollution in urban outdoor advertising, as shown in Figure 1. The research begins with an overview of the background, research questions, objectives, and significance, followed by a literature review on visual pollution, visual characteristics of outdoor advertisements, and the application of eye tracking. This review establishes the theoretical basis and identifies gaps in existing research.
Figure 1.
Research framework.
The methodology section details the experimental design, participant selection, advertisement materials, and data-analysis techniques, ensuring scientific rigor and reproducibility. The results and discussion section presents descriptive statistical analysis, one-way ANOVA, and regression analysis, along with heatmaps to examine the influence patterns of visual pollution. Based on the findings, optimization strategies are proposed for advertisement designs. Finally, the key findings are summarized, and future research directions are outlined, including AI-integrated eye tracking, adaptive advertising, and cross-cultural studies on visual pollution, thus advancing intelligent, personalized, and sustainable advertisement design.
1.4. Research Contributions
This study offers significant theoretical and practical contributions:
A quantitative evaluation basis is established for the visual pollution of outdoor advertising. Eye tracking is introduced to systematically quantify and analyze the impact of various design variables on visual attention, such as color contrast, information density, and image-to-text ratio, providing objective data and a theoretical basis for evaluating visual pollution.
A cross-disciplinary framework of visual design and cognitive psychology is established. By combining visual communication design with cognitive psychological mechanisms, this study addresses the gap in perception and cognition analyses in urban visual identity research while expanding the depth of visual pollution research.
This study provides a data-driven approach to inform decision-making in urban outdoor advertising governance. The research results can provide scientific support for urban managers to formulate advertising layout-optimization schemes, visual comfort standards, and pollution-control specifications, thus promoting refined urban visual identity management.
Urban aesthetics and information communication efficiency are improved. Emphasizing that the harmonious unity of advertising design and urban environment avoids visual conflicts and information interference while improving the communication efficiency of advertisements, thus enhancing visual recognition and sense of belonging to urban spaces.
2. Literature Review
2.1. Definition of Visual Pollution
The concept of visual pollution emerged in the context of urban planning and environmental aesthetics. While not explicitly coined in The Social Life of Small Urban Spaces, the observations on spatial clutter and the visual disorder caused by over-commercialization in city environments paved the way for later discussions of visual saturation in public spaces [6]. A primary contributor to visual pollution is urban outdoor advertising, and its strategic placement in high-traffic urban corridors can have a significant and often overwhelming effect on the public’s visual experience [7].
Visual pollution refers to the visual quality deterioration of urban environments due to excessive or incongruent visual stimuli, such as billboards, signage, and digital displays. Elements of visual pollution can be divided into tangible (e.g., physical signs or infrastructure) and intangible (e.g., emotional discomfort or distraction) categories [8]. With excessive density or poor integration with their surroundings, these elements can exceed the threshold for human cognitive processing, leading to visual fatigue, decreased urban legibility, and even anxiety.
Another definition of visual pollution is the presence of visually inappropriate or excessive stimuli that disrupt viewer perception, spatial cognition, and aesthetic experience in urban contexts [9]. In this framework, visual pollution is not merely a matter of visual overload but also reflects tensions in the urban symbolic order, where economic expression (advertising) and spatial harmony must be balanced.
2.2. Visual Characteristics of Outdoor Advertising
Outdoor advertising has evolved from static billboards to highly dynamic digital displays integrated into complex cityscapes. In contemporary urban contexts, the functions of outdoor advertisements extend beyond serving as economic instruments to components of urban visual identity. Urban imageability theory posits that repetitive symbols, such as logos, color schemes, and signs, are crucial for shaping the spatial cognition of citizens [10]. Thus, advertisements can either contribute to or disrupt urban coherence, depending on their design quality and spatial integration.
Modern outdoor advertisements, particularly in high-density urban centers, are characterized by high contrast, visual salience, and competitive design strategies. Bright colors, exaggerated fonts, motion graphics, and layered images are often used to capture fleeting attention, but these strategies also contribute to visual clutter and cognitive overload. Research has shown that color saturation, spatial density, and text–image ratio determine advertising effectiveness while affecting viewer comfort and urban visual legibility.
According to the Outdoor Advertising Association of America (OAAA), outdoor advertising refers to media that utilize urban public spaces to deliver commercial or public information through visual symbols [11]. Relevant Chinese standards and regulations define outdoor advertising as a communication medium incorporated into urban infrastructure (e.g., roads, plazas, and buildings) through technologies such as LED displays, 3D projections, and interactive digital platforms [12]. This shift from traditional static billboards to intelligent dynamic advertising reflects a fundamental paradigm transformation [7].
In particular, modern outdoor advertisements have transcended from purely commercial roles into integral components of the urban visual landscape. The urban image theory suggests that repetitive advertising symbols contribute to citizens’ spatial cognition through recognizability and imageability [10]. This dual nature positions outdoor advertisements as both commercial tools and cultural markers within the urban environment.
The visual characteristics of outdoor advertisements significantly influence audience attention and psychological responses. Existing research identified the determinants of visual salience in advertising as color schemes, text–image composition, and spatial density. While these elements enhance the appeal of advertisements, excessive layering may induce visual fatigue and hinder information processing. For instance, the high-contrast, highly saturated colors often employed to capture attention may overload visual perception if combined inappropriately [9]. Similarly, text arrangement is crucial for information-transmission efficiency, as cluttered layouts obscure key messages, while poorly structured compositions scatter audience focus.
Integrating advertisements with their surrounding environment is critical in controlling visual pollution. In high-density urban contexts, advertisements must balance visibility with environmental compatibility to prevent excessive visual intrusion [13]. Aligning advertisements with architectural aesthetics and natural color palettes can enhance visual harmony while reducing abrupt contrasts, thus improving overall urban visual comfort.
2.3. Applications of Eye Tracking in Urban Advertising Research
Eye tracking is a real-time, non-invasive method to study how individuals perceive and process visual stimuli in complex environments. In the context of urban outdoor advertising, it provides valuable metrics, such as fixation duration and heatmap analysis, to quantify attention and engagement with advertising content. Eye tracking is especially relevant in urban environments with intense competition for visual attention.
For instance, eye tracking was applied to evaluate viewer engagement with video advertisements, finding that centralized visual elements such as products and spokespersons significantly improve attention retention [14]. Applications of the Gestalt principles to billboard layouts demonstrated that advertisements designed with visual closure and simplicity resulted in fewer fixations and smoother gaze paths, indicating reduced cognitive load [15].
Further research showed that text elements, particularly large-font-size headlines, receive the most visual attention, followed by images and logos [16]. These findings have direct implications for urban advertisement design, where textual overload or chaotic layouts are primary sources of discomfort.
Recent empirical research placed color contrast, text complexity, and spatial layout among the primary factors affecting visual attention and cognitive load in urban advertising. High color contrasts often draw viewer attention rapidly, resulting in shorter time to first fixation, but may cause visual fatigue if overused. Text complexity, especially long or stylistically inconsistent fonts, tends to increase total fixation duration and first fixation duration, reflecting greater cognitive effort to decode content. Meanwhile, spatial layout, particularly alignment, proximity, and grouping, is crucial for gaze path efficiency. Advertisements with poor spatial structures often result in increased fixation count and erratic gaze movements, indicating cognitive overload and potential distraction [9]. These findings affirm that optimizing the above visual design elements is essential for reducing unnecessary cognitive burden and enhancing advertising effectiveness in urban contexts.
2.4. Principles and Advantages of Eye Tracking
Eye tracking is valued for its precision and applicability to urban visual governance. By offering spatiotemporal measurements of gaze behavior, eye tracking enables researchers and policymakers to assess viewer navigation and interpretation of the urban visual field, particularly in advertisement-dense areas such as transportation hubs, commercial streets, and public plazas.
Heatmaps and gaze plots can help identify visual hotspots and blind zones within advertisements, informing design optimization to enhance message clarity and reduce visual intrusion. Metrics such as time to first fixation and average fixation duration are particularly useful for assessing whether an advertisement communicates its message efficiently or causes unnecessary visual distraction.
To sum up, integrating eye tracking into urban outdoor advertising research helps bridge the gap between aesthetic design, cognitive science, and urban planning, offering a data-driven basis for future urban visual regulation and sustainable advertising strategies.
3. Eye-Tracking Experiment Design
3.1. Research Hypotheses
This study examines how the visual salience of outdoor advertising impacts visual pollution and employs eye-tracking metrics to quantify the effects of different advertisement designs on attention and cognitive load. Visual salience refers to the complexity of advertisement-design elements, including color contrast, graphical density, text layout, and overall information redundancy. Existing research indicated that while advertisements with high visual salience may attract more attention, they create greater visual interference, thereby perceived as greater visual pollution.
Based on the above, the following hypotheses are proposed:
Hypothesis 1.
The level of visual pollution significantly affects total fixation duration. High visual salience advertisements lead to longer fixation durations than medium- and low visual salience advertisements.
Hypothesis 2.
The level of visual pollution significantly affects the fixation count. High visual salience advertisements lead to higher fixation counts than medium- and low visual salience advertisements.
Hypothesis 3.
The level of visual pollution significantly affects the fixation ratio. High visual salience advertisements exhibit a greater fixation ratio than medium- and low visual salience advertisements.
Hypothesis 4.
The level of visual pollution significantly affects the time to first fixation. High visual salience advertisements lead to a shorter time to first fixation, indicating stronger immediate attention capture.
Hypothesis 5.
The level of visual pollution significantly affects the first fixation duration. High visual salience advertisements lead to a longer first fixation duration, suggesting increased cognitive load.
Hypothesis 6.
Subjective visual pollution ratings are significantly higher for high visual salience advertisements than medium- and low visual salience groups.
3.2. Experimental Methodology
To validate the hypotheses, advertisement samples were classified into three groups with high, medium, and low visual salience. Eye tracking was employed to capture participants’ eye movements, while a subjective questionnaire was designed to assess perceived visual pollution. The following eye-tracking metrics were recorded:
Time to first fixation measures how quickly an advertisement attracts initial attention.
Fixation count quantifies the frequency of fixations to an advertisement, indicating attention engagement.
Fixation ratio represents the proportion of total fixations on an advertisement, assessing its overall influence within the visual environment.
Total fixation duration measures the total time spent viewing an advertisement, reflecting information-processing demands.
First fixation duration captures the duration of the first fixation within an area of interest (AOI), indicating initial depth of processing.
- (1)
- Image Selection and Experimental Sample Preparation
With rapid urbanization, outdoor advertising has become a dominant visual element in the public spaces of Chongqing. Highly saturated colors, text-heavy layouts, and dynamic digital displays often lead to visual overload, especially in high-density commercial areas. The excessive advertisement density in limited urban spaces contributes significantly to visual pollution, making it a relevant research context.
To ensure ecological validity, advertisement images were collected from Chongqing’s major commercial districts, where high pedestrian and vehicular traffic intensifies visual exposure and impact. These locations facilitate representative case studies for evaluating urban outdoor advertisement pollution, offering generalizable insights for other metropolitan environments.
Canon PowerShot G7 X Mark II camera (Canon Inc., Tokyo, Japan) was used to capture high-resolution images, and uniform focal lengths (f/2 to f/4 aperture) were adopted to maintain image consistency. The dataset included image-based, text-based, and hybrid advertisements, representing diverse advertisement formats. To minimize angle distortions and background distractions, all images were collected from a frontal perspective at a standardized height. Additionally, metadata such as time and ambient conditions were recorded to support subsequent analysis.
- (2)
- Real-World vs. Experimental Conditions
A key consideration in this study is stimulus selection. While standardized stimuli ensure controlled experimental conditions, real-world advertisement images offer higher ecological validity. The complexity of real-life visual stimuli, including natural light variations, surrounding objects, and dynamic environmental interference, significantly impacts attention allocation. Images captured from actual urban contexts preserve authentic contextual elements, allowing for more accurate replication of natural viewing behaviors. Despite reduced external distractions and standardized presentation formats, laboratory-controlled stimuli may not fully replicate the intricate cognitive processes in real-world visual perception.
For instance, constant fluctuations of natural lighting conditions influence contrast perception and visual comfort. Even when controlling for aperture and ISO settings, standardized stimuli may not accurately simulate real-world brightness differences. Additionally, controlled experiments often eliminate dynamic elements such as pedestrians and vehicles, whereas real-world images retain these influences to facilitate a more comprehensive analysis of attention distribution.
3.3. Eye-Tracking Metrics Selection Criteria in Visual Pollution Assessment
Eye tracking enables precise real-time recording of eye-movement trajectories during information processing, generating intuitive visualization tools such as heatmaps and gaze path diagrams. By defining AOIs, researchers can extract multiple key eye-tracking metrics. Over 30 eye-tracking metrics are commonly used, including fixation points, time to first fixation, number of entries, fixation count, fixation ratio, fixation duration, scan path, gaze trajectory, average dwell time, and pupil dilation (Table 1). Since a single metric is often insufficient to fully explain behavioral patterns, multi-dimensional data validation is required for comprehensive analysis. AOIs are core analytical units in eye-tracking research, allowing the precise localization of target areas and quantitative analysis of visual attention distribution.
Table 1.
Key eye-tracking metrics and definitions.
This study comprehensively evaluates how the visual pollution of outdoor advertisements impacts audience attention and emotional response based on five key eye-tracking metrics: total fixation duration, fixation count, fixation ratio, time to first fixation, and first fixation duration. These metrics provide quantitative insights into visual engagement, cognitive load, and the disruptive potential of advertisements within urban environments.
- (1)
- Total fixation duration
As the total time of fixating within a specific AOI, total fixation duration indicates the level of visual engagement. Longer fixation durations often correlate with higher visual impact, suggesting increased cognitive load and potential visual strain. Studies have shown that complex or highly salient advertisements lead to longer fixation durations, which may enhance information retention while contributing to visual fatigue [17].
- (2)
- Fixation count
Fixation count measures the total number of fixations within an AOI, reflecting its visual prominence and ability to capture attention. A higher fixation count typically suggests a more engaging AOI. Empirical studies have demonstrated that high visual contrast and salient design cause significantly increased fixation count [18]. However, excessive fixations may indicate visual clutter, leading to cognitive overload and distraction, which is potentially hazardous, especially for pedestrians and drivers.
- (3)
- Fixation ratio
Fixation ratio is the proportion of total fixations to a specific AOI, indicating relative visual dominance within the overall scene [19]. Studies suggest that advertisements with high fixation ratios reduce pedestrians’ awareness of surrounding elements, such as traffic signals and moving obstacles, potentially leading to safety hazards [20]. Moreover, high-contrast elements, such as bright signage and bold text, tend to exhibit disproportionately high fixation ratios, further intensifying visual pollution.
- (4)
- Time to first fixation
Time to first fixation measures the time to initially fixate on a designated AOI, reflecting the advertisement’s ability to capture attention. A shorter time to first fixation indicates stronger visual salience, often driven by color contrast, spatial positioning, or disruptive design elements [21]. While high salience effectively draws attention, advertisements abruptly contrasting with the surrounding urban architecture may disrupt visual harmony [22]. Conversely, cluttered and information-dense advertisements tend to have longer time to first fixation, indicating higher cognitive effort for information extraction [16].
- (5)
- First fixation duration
First fixation duration represents the duration of the initial fixation on an AOI, reflecting early-stage attention retention. Research has connected longer first fixation durations to increased cognitive load, often caused by excessive information density or complex text–image interactions [23]. Advertisements with well-structured and visually balanced designs tend to produce shorter first fixation durations, facilitating visual processing and reducing cognitive strain.
Total fixation duration is widely regarded as a reliable eye-tracking indicator measuring sustained visual attention and cognitive processing load [24]. Fixation count reflects attention distribution and scanning behavior, often serving as a basic indicator in visual attention research [6]. High fixation ratios are usually associated with visual dominance and focused attention, especially with stimuli significantly different from the surrounding environment [24]. Time to first fixation often indicates attention-capture capacity and characterizes the visual salience and visual priority of the stimulus in a given visual field [7]. First fixation duration reflects early cognitive engagement and the initial difficulty of visual information processing [8]. In summary, these eye-tracking indicators constitute a multidimensional analysis framework for systematically investigating the mechanisms through which the visual stimuli of outdoor advertising associate with attention allocation and saliency processing. Its theoretical logic is highly consistent with the core principles of visual cognition and environmental aesthetics.
3.4. Experimental Materials
To systematically and objectively evaluate the visual pollution of outdoor advertisements, this study utilized a structured image-selection and -classification process. Advertisement images collected from various districts in Chongqing covered diverse advertisement types, sizes, positions, and brightness levels.
- (1)
- Image Selection and Expert Evaluation
An initial pool of 100 advertisement images was compiled, representing a realistic urban advertising environment. These images were then evaluated by three advertising and urban planning experts based on four key dimensions: color contrast, element complexity, information redundancy, and spatial occupation.
Each advertisement was scored on a five-point scale, with higher scores indicating greater visual pollution. Following expert evaluation, 30 images categorized into low, medium, and high visual pollution groups were selected for the final experiment. The detailed scoring criteria are shown in Table 2.
Table 2.
Visual pollution rating dimensions.
To ensure methodological rigor, the heuristic evaluation approach proposed by Nielsen in 1992 was used. Studies have shown that 3 to 5 expert reviewers can identify 74% to 87% of the usability issues, making it an effective preliminary assessment method [17]. Since visual pollution is inherently subjective, expert evaluation is faster and more reliable than individual user ratings.
Following expert evaluation, the advertisements were categorized into three pollution groups based on the quantitative classification system in Table 3.
Table 3.
Visual pollution grouping criteria.
- (2)
- Characteristics of Each Group
Advertisements in the low-pollution group exhibit minimal visual interference, with harmonious color schemes, simple layouts, and well-structured information presentation. These advertisements are unlikely to induce cognitive overload and are expected to facilitate visual processing.
Advertisements in the medium-pollution group exhibit moderate visual clutter, featuring noticeable contrast, a denser layout, and some information redundancy. While not excessively disruptive, these advertisements may still hinder visual comfort and readability.
The high-pollution group consists of advertisements with high visual clutter, including strong color contrast, excessive element complexity, and overwhelming information density. These advertisements often increase cognitive load and visual fatigue, thus being highly disruptive to urban aesthetics and information processing.
- (3)
- Justification and Experimental Validity
The systematic advertisement categorization based on quantitative expert evaluation is a reliable classification system for assessing visual pollution. The acquired eye-tracking data can validate the expert-defined pollution levels by analyzing fixation metrics, attention distribution, and cognitive load responses. This approach enhances the objectivity and applicability, providing empirical insights into the visual pollution of advertisement design in urban environments.
3.5. Participant Selection
This study recruited a diverse sample of 81 participants aged 18 to 55 years, with normal or corrected-to-normal vision and no color blindness or visual impairments. Participants were well rested and not under the influence of any medication that could affect visual performance. This age group was selected based on broad social engagement and general responsiveness to advertising stimuli. To minimize experimental bias, no restrictions were placed on handedness, and participants were drawn from various age groups and professional backgrounds to ensure sample diversity and representativeness.
Target Audience and Justification
Outdoor advertisements in urban commercial districts target a highly diverse audience, including young professionals, older residents, and tourists. This heterogeneous exposure necessitates high visual saliency to capture audience attention in dynamic environments. To ensure the feasibility and reliability of the eye-tracking experiment, participants were primarily recruited from Southwest University in Chongqing, a relevant population for evaluating advertisements’ visual impact.
Although the primary participants are university students, their visual responses to advertisements are considered highly informative for advertising research. As young individuals exhibit greater sensitivity to advertising design, they are ideal subjects for evaluating visual engagement and perception.
The 18-to-34 age group is the most active demographic in social media and outdoor advertising interactions. Studies indicated that advertisement recall and attention retention within this group exceeds that of the over-35 group by 27% [25]. Globally, 63% of the 18-to-34 group reported that outdoor advertisements directly influence their purchasing decisions, significantly higher than other age groups [26]. This group encounters outdoor advertisements an average of 7.2 times daily, 2.3 times more frequently than those aged 55 and above. Younger individuals also demonstrate superior information-extraction efficiency in complex visual environments, making them highly suitable for advertisement-perception studies [27]. Therefore, this study prioritized the 18-to-34 age group due to its predictive validity in advertising avoidance behavior [28]. The high exposure frequency and advertisement-design sensitivity of this demographic provide valuable insights into advertising effectiveness and visual pollution. Furthermore, these characteristics allow generalization of the findings to broader commercial advertising audiences [19].
To ensure statistical robustness, G*Power 3.1.9.7 was used to calculate the required sample size. For a significance level of 0.05, a statistical power of 0.80, and an effect size of 0.70, a total of 81 participants were required. Table 4 presents the detailed G*Power parameters and sample size calculations.
Table 4.
G*Power parameters and sample size calculation.
3.6. Experimental Procedure
To address gaps in the study of real-world visual cognition of urban outdoor advertising, this study employs a hybrid methodological framework, as shown in Figure 2, combining eye tracking and a subjective questionnaire [13]. This framework quantifies the regulatory effects of physical advertisement attributes on visual attention and perceived pollution by systematically comparing outdoor advertisements with high, medium, and low visual pollution. It combines the precision of laboratory control with real-world ecological validity to overcome the limitations of previous studies. Specifically, most studies only adopted explicit behavioral indicators such as reaction time and accuracy to infer cognitive processes, thus struggling to characterize visual attention allocation in real time [13]. The existing eye-movement research has focused on basic indicators such as gaze duration and fixation point distribution, lacking dynamic correlation analysis between eye-movement patterns and cognitive load [29]. Previous studies also used standardized picture stimuli, which differ markedly from actual visual cognition tasks, and the results are limited in extrapolation [11].
Figure 2.
Experimental flowchart.
This study has significant methodological advantages. The high-sampling-rate eye tracker adopted in this study accurately records basic eye-movement data such as gaze and scanning, and a multimodal data system is constructed to comprehensively capture the changes in dynamic visual attention and cognitive load in response to urban advertisements [13]. Instead of standardized picture stimuli, this study is placed in a real urban street environment. Advertisements in different time periods and traffic conditions are selected as stimulus materials, and mixed scenes with multiple types of advertisements are set up to improve the ecological validity of the experiment. Thus, the results are closer to reality, providing targeted suggestions for urban advertising placement and optimization [29].
A previous study investigated the visual pollution of outdoor advertising on Warsaw Street in the old town of Gniezno, Poland, through urban audits and public opinion surveys. Although the key role of building quality in landscape assessment was verified, the dynamic relationship between physical advertisement characteristics and visual perception was not quantified [11,30]. A recent study emphasized the potential of eye tracking in visual information design and environmental perception analysis [12]. On this basis, this study proposes a novel methodological framework combining eye-tracking data with subjective comfort scores. By integrating objective gaze behavior indicators and perceptual evaluation, the visual pollution assessment is more accurate, and the findings promote the methodology advancement in visual communication and urban aesthetics.
To systematically investigate the impact of the visual pollution of outdoor advertisements, the experiment is designed with a structured process encompassing the eye-tracking experiment setup, data-collection process, participant questionnaire survey, and statistical data-analysis methods, statistical analyses were performed using IBM SPSS Statistics 27.0.
- (1)
- Pre-Experiment Preparation
The experiment was conducted in a controlled laboratory environment using the EyeLink 1000 eye-tracking system. Advertisement stimuli (1021 × 768 px) were presented on a 19-inch LCD monitor (Dell Inc., Round Rock, TX, USA) (resolution: 1280 × 1920 px, refresh rate: 60 Hz). The system operated at a 500 Hz monocular sampling rate, with a 25 mm lens, ensuring high spatial (0.05°) and saccadic (0.25°) resolution.
A nine-point calibration was performed to ensure gaze accuracy, followed by a validation procedure. Pupil drift correction was conducted every 10 trials, with recalibrations if deviation exceeded 0.5°.
Participants viewed the stimuli under remote tracking mode, allowing natural head movement with a forehead marker for position tracking. A chin rest was used for stability. Stimuli were presented against a neutral gray background (125 grayscale) to minimize visual distractions. Viewing time was unrestricted, but participants were advised to limit it to 30 s per image, replicating real-world advertisement exposure scenarios.
- (2)
- Experiment Instructions
The 30 advertisement images were divided into three groups (10 images per group) based on heuristic evaluation. A parallax test was conducted to determine the dominant eye of each participant, which was used for all visual assessments, As shown in Figure 3. Participants sequentially viewed all 30 advertisements, and the entire data-collection process spanned approximately 45 days. Given that real-world advertisement exposure is typically unanticipated and unstructured, the experiment followed a free-viewing paradigm. This design allowed participants to view advertisements naturally, rather than under artificial constraints, thereby ensuring ecological validity. To prevent experimental artifacts, the image-presentation sequence was randomized for each participant. The viewing time was not restricted, thus preventing forced gaze behavior or artificially induced attentional shifts.
Figure 3.
Nine-point calibration and validation.
4. Eye-Movement Data Analysis and Results
4.1. Experimental Results
The impact of visual pollution on visual attention distribution was examined using a Kruskal–Wallis H test, which compared the differences in eye-tracking metrics across three groups of outdoor advertisements with low, medium, and high visual pollution. The results revealed significant differences in total fixation duration, fixation count, fixation ratio, and first fixation duration across groups (), indicating that these eye-tracking metrics are statistically meaningful indicators of visual pollution. However, the differences in the time to first fixation were not statistically significant (), as shown in Table 5, suggesting that visual pollution may not strongly influence the initial attention-capture process (Figure 4).
Table 5.
Behavioral results of each group (mean and standard deviation).
Figure 4.
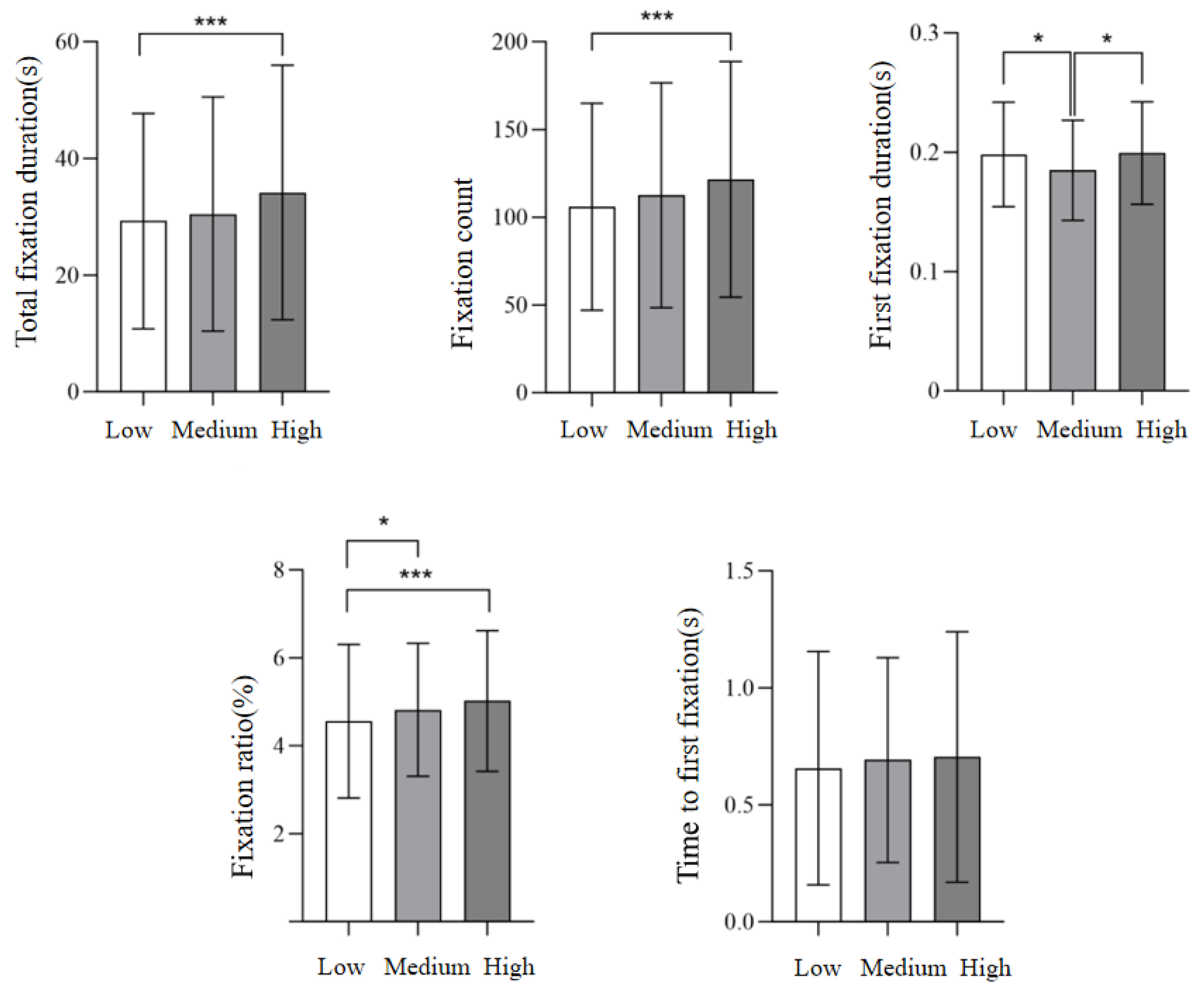
Results of repeated measures ANOVA for eye-movement indicators across different groups. Note: * , *** .
4.1.1. Total Fixation Duration
Total fixation duration served as a key metric to assess the impact of visual pollution on viewer attention. A repeated measures ANOVA was conducted to compare the differences across the three groups. The results showed that visual pollution level significantly affects fixation duration (), indicating that higher visual pollution levels lead to longer fixation durations.
Pairwise Comparisons:
Post-hoc Bonferroni tests revealed significantly longer fixation durations in the high visual pollution group compared to the low visual pollution group (mean difference s, ). The difference between the medium and low visual pollution groups was approaching significance (mean difference s, ), suggesting that higher visual pollution levels lead to longer fixation durations, as shown in Table 6.
Table 6.
Pairwise comparison of fixation duration.
4.1.2. Fixation Count
Fixation count reflects the attention-attracting ability of advertisements. A repeated measures ANOVA revealed that visual pollution significantly affects fixation count (), suggesting that advertisements with higher visual pollution levels elicit more fixations, as shown in Table 7.
Table 7.
Pairwise comparison of fixation count.
The high-pollution group had significantly more fixations than the low-pollution group (mean difference ).
The difference between the medium- and low-pollution groups was not significant (), suggesting that medium visual pollution may not drastically alter fixation count.
No significant difference was observed between the medium- and high-pollution groups (), indicating that increased visual complexity beyond a certain threshold may not further enhance fixation count.
4.1.3. Fixation Ratio
Fixation ratio represents the proportion of fixations on the advertisement relative to the entire scene, which is significantly influenced by visual pollution (, ). As shown in Table 8.
Table 8.
Pairwise comparison of fixation ratio.
A significantly increased fixation ratio was observed in the medium-pollution group compared to the low-pollution group (mean difference ).
The high-pollution group had a significantly higher fixation ratio than the low-pollution group (mean difference ).
However, no significant difference was found between the medium- and high-pollution groups (), suggesting that extreme visual pollution does not necessarily lead to a proportional increase in fixation allocation.
4.1.4. First Fixation Duration
First fixation duration measures the length of initial fixation on an advertisement, which is significantly affected by visual pollution (). As shown in Table 9.
Table 9.
Pairwise comparison of first fixation duration.
The first fixation duration was significantly longer in the high-pollution group than in the medium-pollution group (mean difference = 0.014 s, ).
A significant difference was also observed between the low- and medium-pollution groups (mean difference = 0.013 s, ).
However, no significant difference was found between the low- and high-pollution groups (), indicating that the effect of visual pollution on first fixation duration is not strictly linear.
4.1.5. Time to First Fixation
Time to first fixation measures how quickly an advertisement captures attention, which showed no significant differences across groups ().
No significant difference was observed between the low-, medium-, and high-pollution groups ().
Thus, the initial attraction of advertisements is not strongly influenced by visual pollution levels but may depend on other factors such as advertisement placement and content relevance.
4.2. Heatmap Analysis
The effect of visual pollution on attention distribution was further explored by plotting heatmaps to visualize the density of fixations on different advertising elements. As shown in Figure 5a–h, areas with the highest visual attention are mainly texts, followed by key visual elements such as logos and high-contrast images. High-pollution advertisements showed more scattered fixations, indicating that excessive visual complexity increases cognitive load and reduces cognitive efficiency. Low-pollution advertisements showed more concentrated fixations, indicating better readability and a better visual experience.
Figure 5.
Heatmaps representing eye-tracking results for outdoor advertisements with different visual pollution levels. Red areas indicate high fixation density, while green and blue areas represent lower fixation intensity. Subfigures (a–d) represent low visual pollution conditions, (e,f) represent medium visual pollution, and (g,h) represent high visual pollution.
The heatmaps indicate that the visual salience and design salience of advertisements directly affect attention concentration. The high visual salience areas in advertisements (such as the red and yellow areas) are more likely to attract attention. In contrast, areas that look simpler or have simpler designs (such as the green areas) may lead to lower attention concentration.
4.3. Experimental Conclusions
Following the eye-tracking experiment, this study systematically analyzed the impact of outdoor advertisements with varying levels of visual pollution through the Kruskal–Wallis H test, repeated measures ANOVA, and Bonferroni post-hoc comparisons. Five key eye-tracking metrics, i.e., total fixation duration, fixation count, time to first fixation, first fixation duration, and fixation ratio, were examined to assess statistical differences across different levels of visual pollution. The key findings are as follows:
- Impact of Visual Pollution on Eye-Tracking Metrics
The results indicated significant differences in eye-tracking metrics across the advertisements with different visual pollution levels. Advertisements with high visual pollution exhibited the longest total fixation duration, indicating greater visual dominance. Medium visual pollution advertisements showed shorter total fixation duration, while low visual pollution advertisements had the shortest fixation duration, suggesting that simplified information is processed with greater efficiency. Fixation count was significantly higher in high-pollution advertisements, indicating greater efforts to scan the content during information processing. However, time to first fixation showed no significant differences among the three groups, suggesting that visual pollution does not directly affect initial attention capture. In contrast, first fixation duration was significantly longer for high-pollution advertisements, indicating greater time to process complex visual stimuli. Additionally, the fixation ratio increased with visual pollution, demonstrating that more visually complex advertisements attract greater attention.
- 2.
- Correlation Between Visual Pollution and Advertisement-Design Elements
A significant positive correlation was found between the visual pollution level and advertisement-design features, including color contrast, graphical complexity, and text density. Advertisements featuring high contrast and intricate layouts caused significantly increased fixation duration and fixation count, imposing a greater visual and cognitive load on viewers.
- 3.
- Group-Specific Observations
The low visual pollution group featured a minimalist design approach, harmonious color schemes, and concise textual content. These advertisements exhibited the lowest fixation count (106 fixations) and a relatively short first fixation duration (0.66 s). While these designs provided a comfortable visual experience, they exhibit limited ability to sustain viewer attention.
The medium visual pollution group showed balanced color contrast, element density, and information load, resulting in an optimal trade-off between cognitive load and visual engagement. This group exhibited a fixation duration of 30.47 s and a subjective visual comfort score of 3.2 ± 0.9. Thus, these advertisements effectively captured attention while maintaining readability.
The high visual pollution group with intense color contrast and dense visual elements resulted in the longest fixation duration (34.17 s) and the highest fixation count (121.7 fixations). Despite their ability to rapidly attract attention, heatmap analysis revealed dispersed fixation patterns, suggesting cognitive overload and low engagement sustainability.
These findings highlighted the need for a balance between visual impact and cognitive load. Advertisements with moderate visual complexity offer the most effective trade-off between attention capture, engagement, and readability. Thus, this study provides empirical evidence for optimizing outdoor advertisement design, emphasizing the importance of maintaining aesthetic balance and reducing cognitive strain in visual pollution mitigation.
5. Discussion: Outdoor Advertising Within the Framework of Urban Visual Identity Design
According to advertising critic Bob Garfield, the essential role of advertising lies not merely in visual stimulation, but in effective communication [16]. This insight highlighted the dual responsibility of outdoor advertising in urban contexts: to convey information efficiently and to integrate harmoniously into the cityscape. Rather than isolated visual entities, outdoor advertisements should be discussed as part of a broader urban visual strategy, one that shapes a city’s image, cultural identity, and aesthetic coherence.
Based on eye-tracking data and subjective comfort evaluations, this study explores the functions of outdoor advertisements within the urban visual identity-design framework. By analyzing aspects such as visual comfort, engagement, ecological consciousness, and spatial harmony, this study proposes strategic directions for integrating advertising media into urban aesthetic governance. Ultimately, it repositions outdoor advertising from a source of visual pollution to a potential asset in the narrative and visual coding of a city’s identity.
5.1. Rethinking Outdoor Advertising: From Visual Pollution to Aesthetic Strategy
The empirical results indicated that high-contrast, text-heavy, and overly complex advertisements reduce viewer comfort and increase cognitive load. These findings affirm long-standing critiques about the intrusive nature of outdoor advertisements. However, this research suggests that outdoor advertising is not necessarily inherently polluting. Rather, their design strategy, spatial placement, and integration with surrounding urban elements determine their visual quality.
When approached thoughtfully, outdoor advertisements can reinforce a city’s identity through color schemes that echo local culture, typography inspired by regional aesthetics, or content aligning with civic values and ecological consciousness. For instance, cities like Tokyo or Copenhagen incorporate localized and pedestrian-friendly advertising formats that reflect their unique visual characters. In contrast, visually jarring or chaotic advertising compositions often disrupt the urban visual rhythm, creating perceptual and psychological discomfort.
This rethinking aligns with the principles of urban visual identity design, which emphasize cohesion among architectural style, public art, signage, and commercial messaging. Outdoor advertising, in this view, should be repositioned not as a commercial intrusion. Instead, it should be reconsidered as an active participant in visual storytelling, media that enhance wayfinding, reinforce cultural narratives, or provide moments of visual delight.
One promising solution is allowing advertisements to deliver layered content based on viewer engagement levels through augmented reality (AR). This segmentation prevents cognitive overload while enhancing information clarity. Such approaches align with minimalist branding strategies, as exemplified by brands such as MUJI and Apple (Figure 6a–d), which emphasize visual clarity and structured content presentation. By minimizing unnecessary distractions and optimizing information flow, these design strategies enhance visual sustainability and support a coherent and calming urban visual identity.
Figure 6.
Examples of minimalist advertising designs from MUJI and Apple. (a,b) MUJI outdoor advertisements featuring minimalist design principles; (c,d) Apple’s advertising approach emphasizing simplicity and clarity.
5.2. Interactive and Adaptive Advertising: Toward a Responsive Urban Media System
Recent developments in interactive technologies, especially AR and location-based services, have begun to transform outdoor advertising from static visual messages into dynamic and responsive urban media. Integrating AR elements allows interactions with advertisements in real time, i.e., scanning visual triggers to reveal hidden content, transmit personalized messages, or even place instant orders via services such as Instacart. This engagement model enhances audience interaction and recall while mitigating excessive information clutter by delivering personalized and non-intrusive content.
Such innovations signal a shift from traditional mass messaging to context-sensitive communication, with dynamic advertising content specific to the environment, time, and user profile. This aligns with emerging trends in smart city design, with responsive, data-driven, and human-centered infrastructure and media interfaces.
With intelligent adaptability and interactive engagement, future outdoor advertisements can achieve greater information-dissemination efficiency while maintaining visual harmony in urban spaces. These systems reduce cognitive overload by segmenting content delivery, enabling incremental information access based on attention and interest levels. Doing so improves the urban visual experience and enhances inclusivity by accommodating diverse viewer preferences and cognitive capacities.
Furthermore, these developments support a post-aesthetic advertising model, where design decisions are informed by usability, contextual appropriateness, and ethical engagement in addition to visual harmony. In this way, outdoor advertising becomes a medium of participatory visual culture, offering consumption cues and shared urban narratives that contribute to place-based identity.
Additionally, AR integration is revolutionizing audience interaction by transforming passive advertisement consumption into an immersive experience. For example, the BONV!V Spiked Seltzer AR Out-of-Home Advertising Campaign (Figure 7) in Los Angeles and San Diego introduced QR code-enabled interactive murals, allowing beverage flavor selection through a virtual vending machine and instant ordering via Instacart. This engagement model enhances audience interaction and recall while mitigating excessive information clutter by delivering personalized and non-intrusive content.
Figure 7.
AR interactive advertising in Los Angeles and San Diego.
By incorporating intelligent adaptability and interactive engagement, future outdoor advertisements can disseminate information with greater efficiency while maintaining visual harmony in urban spaces.
5.3. Integrating Outdoor Advertising with Urban Image Design
Instead of a stand-alone communicative tool, outdoor advertising should be viewed as a critical component of a cohesive and resonant urban visual identity. Beyond individual visual comfort, advertisements’ contribution to the broader narrative of urban image design should be examined. Thus, outdoor advertising can help shape the identity, character, and cultural coherence of urban spaces in addition to serving as a commercial medium.
As cities evolve and encounter increasingly complex cultural and aesthetic challenges, advertisements must transcend beyond communicating products or services. They must also enhance the overall city identity. For example, advertisements in districts with cultural heritage significance can incorporate traditional calligraphy, muted tones, and local design elements that reflect the cultural and historical heritage. Conversely, advertisements in modern commercial hubs may feature sleek, high-tech aesthetics that align with the dynamic and forward-thinking spirit.
In addition to the physical appearance of the built-up environment, urban image design also encompasses the intangible perception by inhabitants and visitors. Among the most visible elements in urban spaces, outdoor advertisements play a pivotal role in shaping city image perception. Advertisements harmoniously incorporated into the architectural styles, historical landmarks, and cultural narratives help create an integrated visual identity that balances modernity and tradition.
For example, traditional motifs in advertisements can evoke a sense of nostalgia, pride, and connection to the past in cities with rich cultural and historical heritage. Meanwhile, digital displays and interactive media in commercial districts can represent a city’s progressive, innovative character. These advertisement-design choices should be guided by a deep understanding of the cultural, historical, and social context of the target urban space. By designing advertisements that enhance, rather than detract from, the urban environment, an urban visual identity resonating with residents and visitors can be curated.
Furthermore, integrating outdoor advertising with broader urban image design requires a strategic balance between functional, aesthetic, and cultural considerations. Future advertising technology advancements, such as digital billboards, AR, and interactive media, offer new opportunities to engage audiences. However, the implementation of these innovations must respect and complement the surrounding urban environment, thus enhancing the city’s identity without overwhelming it.
A notable example is the East Suburb Memory Zone in Chengdu, Sichuan Province, China (Figure 8). Advertisements in this zone blend street art with traditional Chinese craftsmanship, effectively merging branding with local artistic expression. This alignment with the cultural context and reduced visual pollution improves audience receptivity and fosters a stronger sense of belonging. By incorporating elements that reflect local traditions, such as regional art styles and motifs, this advertising strategy enhances the cultural richness of the urban space while maintaining a harmonious visual experience.
Figure 8.
Advertisement for a feast of intangible cultural heritage designer toys in Chengdu East Suburb Memory Zone.
5.4. Eco-Conscious Advertising as an Aesthetic and Ethical Imperative in Urban Branding
In the context of carbon neutrality and sustainable development, outdoor advertising must evolve beyond marketing and begin to embrace environmental responsibility. Thus, outdoor advertising must integrate ecological sustainability with visual optimization. That is, advertising must contribute to the urban environment without causing unnecessary ecological or perceptual disruptions. This paradigm shift is not just an aesthetic consideration but an ethical imperative under the global sustainability goals.
A key advancement in eco-conscious advertising is energy-efficient technologies. Low-power displays such as energy-efficient LEDs, e-ink screens, and auto-dimming technologies have revolutionized outdoor advertising by significantly reducing energy consumption, especially out of active viewing periods (Figure 9). These technologies lower the carbon footprints, proving an essential part of any environmentally responsible advertising strategy.
Figure 9.
Environmentally friendly urban outdoor advertising.
In addition to energy efficiency, outdoor advertising materials are also crucial for reducing environmental impact. Sustainable materials, including biodegradable plastics, recyclable modular components, and eco-friendly inks, have seen increasing applications in advertising design. These materials facilitate periodic replacement and recycling, thus minimizing long-term ecological damage. By leveraging materials that can be easily repurposed or safely decomposed, the advertising industry can significantly reduce waste and promote a circular economy.
Meanwhile, visual pollution control should not be limited to material choices. The design phase must integrate ecological considerations to prevent advertisements from overwhelming urban environments. Optimizing design elements such as size proportions, color saturation, and animation frequency is essential for reducing visual clutter and maintaining advertising effectiveness. Advertisements should be visually engaging without sacrificing audience comfort or the aesthetic coherence of the cityscape.
Ultimately, eco-conscious advertising is not merely minimizing ecological footprints. It should redefine outdoor advertising to support urban branding. Cities aligning advertising strategies with sustainability principles can foster a sense of environmental responsibility while building their visual and cultural identity. Eco-friendly advertising effectively communicates commercial messages and supports broader sustainability goals, offering a new evolution pathway for urban advertising.
5.5. Visual Pollution Mitigation Strategies in Outdoor Advertising
In addition to disrupting the effectiveness of information transmission, the visual pollution identified through eye-tracking data analysis elevates cognitive load and causes visual fatigue. Thus, data-driven strategies are outlined to improve the readability and visual comfort of outdoor advertisements, providing actionable recommendations for advertisers, urban planners, and policymakers.
- (1)
- Optimized Visual Information Design
In terms of color optimization, studies have shown that high-saturation and high-contrast advertisements cause gaze pattern scattering, which increases cognitive effort. Accordingly, advertisements should employ cohesive color schemes with minimal excessive contrast. Accent colors can be strategically used to highlight focal points, and high-saturation backgrounds that may overwhelm viewers should be avoided.
In terms of information hierarchy and typography, eye-tracking data revealed that advertisements with high text density cause prolonged fixation, which is less effective due to reduced fixation on each individual segment of information. Information processing can be optimized by reducing redundant content and enhancing the visual hierarchy with varied font sizes, weights, and spacing, ensuring sufficient contrast between text and background to enhance legibility, and employing visual cues, such as arrows or dividers, to guide gaze flow, thereby improving readability and facilitating information absorption.
- (2)
- Advertisement Layout Optimization
Spatial balance and negative space should be considered. Research indicated that crowded advertisement layouts disrupt gaze flow, thus reducing the efficiency of information processing. To enhance comprehension, advertisement designs should incorporate adequate negative space, particularly in high-footfall areas such as subway stations and commercial streets. This strategy creates more visually appealing and readable advertisements, allowing for better audience engagement.
Contextual integration with the urban environment can prove effective. Advertisements should be harmoniously integrated into the surrounding architecture, environmental color schemes, and cultural motifs to reduce visual disruption and foster a sense of belonging. Advertisement design should not conflict with but rather complement the local urban environment.
Advertisements in heritage districts can incorporate traditional calligraphy and subtle tones that reflect local cultural heritage. In contrast, advertisements in modern commercial hubs may feature sleek, high-tech designs that resonate with the dynamic urban environment, thus contributing to rather than detracting from the surrounding visual landscape.
In summary, the role of outdoor advertising must be re-envisioned from a marketing instrument to an integral component of urban visual strategy. By aligning advertising design with the values of cultural resonance, visual harmony, technological innovation, and sustainability, cities can build coherent and engaging urban identities. This holistic perspective transforms advertising from a source of visual pollution into a force for urban narrative construction and cultural expression.
6. Conclusions
This study employs eye tracking to explore the regulatory effects of color contrast, text complexity, and spatial layout on the visual attention and cognitive load of outdoor advertising. The results indicate that visual pollution significantly affects the perceived effectiveness of advertising, especially the readability, information comprehension, and audience engagement. Key eye-tracking metrics such as total fixation duration, fixation count, and first fixation duration reveal that high contrast, complex graphics and texts, and messy layouts are prone to cause visual jarring and cognitive interference. In contrast, simple, orderly, and hierarchical designs can effectively reduce the burden of information processing while improving communication efficiency and visual comfort. These findings enrich the theory of visual communication and provide data support for advertising-design optimization, emphasizing the importance of design intervention based on user cognition.
This study furthers the integration of visual cognition and urban aesthetics. The research results are consistent with the “salience priority” hypothesis in visual attention theory. That is, stronger color contrast, richer content, and larger font size are more likely to attract attention. However, too complex designs cause cognitive overload and visual fatigue, thereby damaging the viewing experience. In contrast, visual restraint and clear hierarchical design are more conducive to improving comfort and cognitive efficiency. These findings empirically support the key role of cognitive psychological mechanisms in urban aesthetics and promote the transition from “sensory aesthetics” to “cognitive aesthetics”. Meanwhile, this study also demonstrates the strategic value of advertising design in constructing urban spatial order and visual identity. The results provide a scientific basis for formulating visual pollution-control policies and strengthen the cognitive framework of complex human-environment interactions [10].
Based on a preliminary exploration of the relationship between outdoor advertising design and visual attention mechanisms, this study is not free from limitations. First, the sample mainly comprises college students, lacking representation of different cognitive abilities and media experiences, such as the elderly and children. Second, the experiment is based on static advertising images and is conducted in a controlled environment, thus not covering dynamic advertising, variable lighting, or environmental interference in actual streets and lacking ecological validity. In addition, the visual pollution classification relies on subjective evaluation by experts. Future research can introduce computer vision and machine learning to achieve automatic identification and quantitative evaluation. Theoretically, it is still necessary to further integrate urban aesthetics and cognitive psychology to build a human-centered urban visual governance framework for user experience [9].
Future research may further expand this study in the following directions: (1) The sample diversity can be increased by including groups of different ages, educational backgrounds, and cultural differences to enhance the representativeness and applicability. (2) Mobile eye trackers and dynamic street view advertising environment can be employed to enhance ecological authenticity. (3) More eye-movement indicators, such as pupil diameter changes, scanning trajectories, and gaze sequences, can be employed to achieve a comprehensive evaluation of the impact of visual pollution on cognitive load and psychological state. (4) A visual pollution-identification model can be constructed based on artificial intelligence and image recognition, thus achieving efficient and objective evaluation. (5) Long-term follow-up studies should be conducted to explore the potential impact of visual pollution on the cognitive function and mental health of urban residents, provide a theoretical support and empirical basis for urban design and visual governance.
Author Contributions
Conceptualization, K.J., Y.Z. and J.C.; Data curation, K.J.; Formal analysis, Y.Z.; Investigation, Y.Z.; Methodology, K.J.; Project administration, K.J.; Resources, K.J.; Software, Y.Z.; Validation, K.J., Y.Z. and J.C.; Visualization, Y.Z.; Writing—original draft, K.J., Y.Z. and J.C.; Writing—review & editing, K.J., Y.Z. and J.C. All authors have read and agreed to the published version of the manuscript.
Funding
This research was supported by the Guangdong Provincial Philosophy and Social Sciences Planning Project (Grant No. GD25YYS21) and the 2025 Humanities and Social Sciences Research Project of Chongqing Municipal Education Commission (Project No. 25SKGH278, Research on Digitalization-Enpowered Multidimensional Dynamic Data Collection, Early-Warning, and Intervention Mechanisms for College Student Psychology).
Data Availability Statement
The original contributions presented in this study are included in the article. Further inquiries can be directed to the corresponding author(s).
Conflicts of Interest
The authors declare no conflict of interest.
References
- Chen, Y.; Chen, Z.; Du, M. Designing Attention—Research on Landscape Experience Through Eye Tracking in Nanjing Road Pedestrian Mall (Street) in Shanghai. Landsc. Archit. Front. 2022, 10, 52–70. [Google Scholar] [CrossRef]
- Kim, B.; Park, J. The Visual Effect of Signboards on the Vitality of the Streetscapes Using Eye-Tracking. Sustainability 2021, 13, 30. [Google Scholar] [CrossRef]
- Foulsham, T.; Walker, E.; Kingstone, A. The where, what and when of gaze allocation in the lab and the natural environment. Vis. Res. 2011, 51, 1920–1931. [Google Scholar] [CrossRef] [PubMed]
- Simpson, J.; Thwaites, K.; Freeth, M. Understanding visual engagement with urban street edges along non-pedestrianised and pedestrianised streets using mobile eye-tracking. Sustainability 2019, 11, 4251. [Google Scholar] [CrossRef]
- Fan, Z.; Zhang, F.; Loo, B.P.; Ratti, C. Urban visual intelligence: Uncovering hidden city profiles with street view images. Proc. Natl. Acad. Sci. USA 2023, 120, e2220417120. [Google Scholar] [CrossRef]
- Duchowski, A.T.; Krejtz, K.; Krejtz, I.; Biele, C.; Niedzielska, A.; Kiefer, P.; Raubal, M.; Giannopoulos, I. The index of pupillary activity: Measuring cognitive load vis-à-vis task difficulty with pupil oscillation. In Proceedings of the 2018 CHI Conference on Human Factors in Computing Systems, Montreal, QC, Canada, 21–26 April 2018; pp. 1–13. [Google Scholar]
- Itti, L.; Koch, C. Computational modelling of visual attention. Nat. Rev. Neurosci. 2001, 2, 194–203. [Google Scholar] [CrossRef]
- Rayner, K. Eye movements in reading and information processing: 20 years of research. Psychol. Bull. 1998, 124, 372. [Google Scholar] [CrossRef]
- Orquin, J.L.; Loose, S.M. Attention and choice: A review on eye movements in decision making. Acta Psychol. 2013, 144, 190–206. [Google Scholar] [CrossRef]
- Guo, R.; Kim, N.; Lee, J. Empirical Insights into Eye-Tracking for Design Evaluation: Applications in Visual Communication and New Media Design. Behav. Sci. 2024, 14, 1231. [Google Scholar] [CrossRef]
- Brodeur, M.B.; Dionne-Dostie, E.; Montreuil, T.; Lepage, M. The Bank of Standardized Stimuli (BOSS), a new set of 480 normative photos of objects to be used as visual stimuli in cognitive research. PLoS ONE 2010, 5, e10773. [Google Scholar] [CrossRef]
- Borowiak, K.; Budka, A.; Lisiak-Zielińska, M.; Robaszkiewicz, K.; Cakaj, A.; Agaj, T. Urban visual pollution: Comparison of two ways of evaluation—A case study from Europe. Sci. Rep. 2024, 14, 6138. [Google Scholar] [CrossRef] [PubMed]
- Borji, A.; Itti, L. State-of-the-art in visual attention modeling. IEEE Trans. Pattern Anal. Mach. Intell. 2012, 35, 185–207. [Google Scholar] [CrossRef] [PubMed]
- Zhang, X.; Yuan, S.M. An eye-tracking analysis for video advertising: Relationship between advertisement elements and effectiveness. IEEE Access 2018, 6, 10699–10707. [Google Scholar] [CrossRef]
- Nada, M.; Azmy, A. Eye-tracking in out-of-home advertising: Exploring the application of Gestalt principles. Int. Des. J. 2023, 13, 437–446. [Google Scholar]
- Pieters, R.; Wedel, M. Attention capture and transfer in advertising: Brand, pictorial, and text-size effects. J. Mark. 2004, 68, 36–50. [Google Scholar] [CrossRef]
- Pieters, R.; Wedel, M. Goal control of attention to advertising: The Yarbus implication. J. Consum. Res. 2007, 34, 224–233. [Google Scholar] [CrossRef]
- Wedel, M.; Pieters, R. Eye fixations on advertisements and memory for brands: A model and findings. Mark. Sci. 2000, 19, 297–312. [Google Scholar] [CrossRef]
- Rossiter, J.R.; Bellman, S. Marketing Communications: Theory and Applications; Pearson Australia: Melbourne, Australia, 2012. [Google Scholar]
- Daramola, A.C.; Tejumaiye, J.A. Nigerian Outdoor Advertising: Concepts, Constructs, Issues and Trends; Lagos University Press: Lagos, Nigeria, 2018. [Google Scholar]
- Lee, J.; Ahn, J.H. Attention to banner ads and their effectiveness: An eye-tracking approach. Int. J. Electron. Commer. 2012, 17, 119–137. [Google Scholar] [CrossRef]
- Rosenholtz, R.; Li, Y.; Nakano, L. Measuring visual clutter. J. Vis. 2007, 7, 1–22. [Google Scholar] [CrossRef]
- Zhang, J.; Wedel, M.; Pieters, R. Sales effects of attention to feature advertisements: A Bayesian mediation analysis. J. Mark. Res. 2009, 46, 669–681. [Google Scholar] [CrossRef]
- Holmqvist, K.; Nyström, M.; Andersson, R.; Dewhurst, R.; Jarodzka, H.; Van de Weijer, J. Eye Tracking: A Comprehensive Guide to Methods and Measures; Oxford University Press: Oxford, UK, 2011. [Google Scholar]
- Smith, A.; Fischer, E.; Chen, Y. How does brand-related user-generated content differ across YouTube, Facebook, and Twitter? J. Interact. Mark. 2012, 26, 102–113. [Google Scholar] [CrossRef]
- Nielsen., N.V. Global Trust in Advertising Report; Technical Report; Nielsen Holdings: New York, NY, USA, 2015. [Google Scholar]
- Salthouse, T.A. Selective review of cognitive aging. J. Int. Neuropsychol. Soc. 2010, 16, 754–760. [Google Scholar] [CrossRef]
- Duff, B.R.L.; Faber, R.J. Missing the mark: Advertising avoidance and its implications for the self. J. Advert. 2011, 40, 51–62. [Google Scholar] [CrossRef]
- Majumdar, D.; Mondal, K.; Sahrawat, T.R. Eye movement metrics as Indicator of cognitive loading: A systematic review. Res. Asp. Biol. Sci. 2022, 2, 1–17. [Google Scholar]
- Gelan, E. Assessing Visual Pollution: The Impact of Urban Outdoor Advertisements in Addis Ababa, Ethiopia. Architecture 2025, 5, 9. [Google Scholar] [CrossRef]
Disclaimer/Publisher’s Note: The statements, opinions and data contained in all publications are solely those of the individual author(s) and contributor(s) and not of MDPI and/or the editor(s). MDPI and/or the editor(s) disclaim responsibility for any injury to people or property resulting from any ideas, methods, instructions or products referred to in the content. |
© 2025 by the authors. Licensee MDPI, Basel, Switzerland. This article is an open access article distributed under the terms and conditions of the Creative Commons Attribution (CC BY) license (https://creativecommons.org/licenses/by/4.0/).








