Severe Acute Respiratory Syndrome Coronavirus 2 Receptor (Human Angiotensin-Converting Enzyme 2) Binding Inhibition Assay: A Rapid, High-Throughput Assay Useful for Vaccine Immunogenicity Evaluation
Abstract
:1. Introduction
2. Materials and Methods
2.1. Assay Procedure
2.2. Samples
2.3. Validation Assays
2.3.1. Precision
2.3.2. Specificity
2.3.3. Selectivity
2.3.4. Linearity
2.3.5. Sensitivity
2.3.6. Assay Robustness (Incubation Time)
2.3.7. Sample Stability
2.3.8. Matrix Effects
2.4. Variant Assays
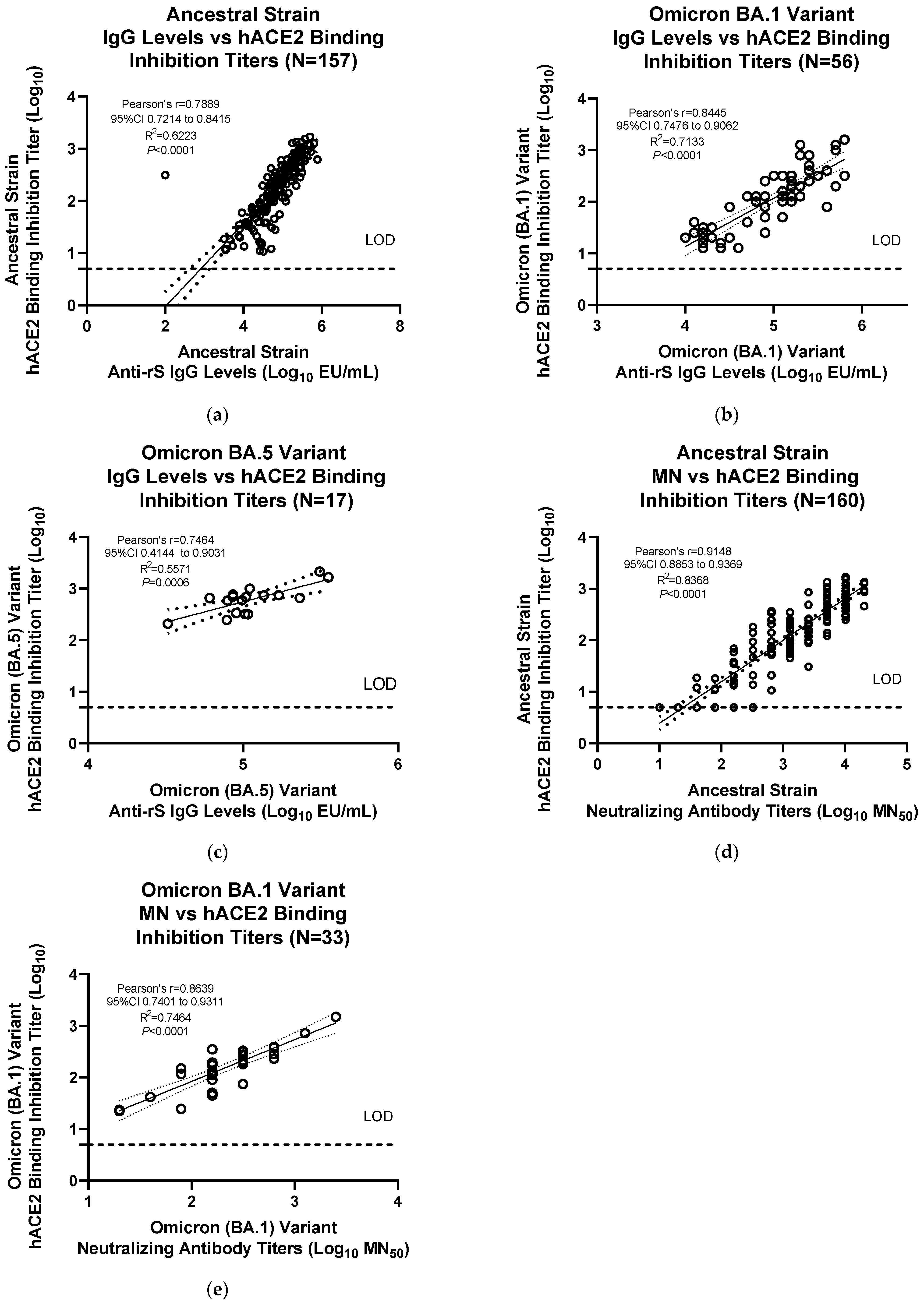
2.5. Correlation Analyses
3. Results
3.1. Ancestral Strain Assay Validation Parameters
3.2. Variant Strain Assay Validation
3.3. Assay Correlation with other Markers
4. Discussion
5. Conclusions
Supplementary Materials
Author Contributions
Funding
Institutional Review Board Statement
Informed Consent Statement
Data Availability Statement
Acknowledgments
Conflicts of Interest
References
- Centers for Disease Control and Prevention. David J. Spencer CDC Museum—COVID-19 Timeline. Available online: https://www.cdc.gov/museum/timeline/covid19.html (accessed on 24 August 2022).
- Fendler, A.; de Vries, E.G.E.; GeurtsvanKessel, C.H.; Haanen, J.B.; Wörmann, B.; Turajlic, S.; von Lilienfeld-Toal, M. COVID-19 vaccines in patients with cancer: Immunogenicity, efficacy and safety. Nat. Rev. Clin. Oncol. 2022, 19, 385–401. [Google Scholar] [CrossRef]
- Fiolet, T.; Kherabi, Y.; MacDonald, C.J.; Ghosn, J.; Peiffer-Smadja, N. Comparing COVID-19 vaccines for their characteristics, efficacy and effectiveness against SARS-CoV-2 and variants of concern: A narrative review. Clin. Microbiol. Infect. 2022, 28, 202–221. [Google Scholar] [CrossRef] [PubMed]
- Liu, Y.; Rocklöv, J. The effective reproductive number of the Omicron variant of SARS-CoV-2 is several times relative to Delta. J. Travel Med. 2022, 29, taac037. [Google Scholar] [CrossRef] [PubMed]
- Van Tilbeurgh, M.; Lemdani, K.; Beignon, A.-S.; Chapon, C.; Tchitchek, N.; Cheraitia, L.; Marcos Lopez, E.; Pascal, Q.; Le Grand, R.; Maisonnasse, P.; et al. Predictive Markers of Immunogenicity and Efficacy for Human Vaccines. Vaccines 2021, 9, 579. [Google Scholar] [CrossRef] [PubMed]
- Feng, S.; Phillips, D.J.; White, T.; Sayal, H.; Aley, P.K.; Bibi, S.; Dold, C.; Fuskova, M.; Gilbert, S.C.; Hirsch, I.; et al. Correlates of protection against symptomatic and asymptomatic SARS-CoV-2 infection. Nat. Med. 2021, 27, 2032–2040. [Google Scholar] [CrossRef] [PubMed]
- Fong, Y.; Huang, Y.; Benkeser, D.; Carpp, L.N.; Áñez, G.; Woo, W.; McGarry, A.; Dunkle, L.M.; Cho, I.; Houchens, C.R.; et al. Immune Correlates Analysis of the PREVENT-19 COVID-19 Vaccine Efficacy Clinical Trial. medRxiv 2022. [Google Scholar] [CrossRef] [PubMed]
- Gilbert, P.B.; Montefiori, D.C.; McDermott, A.B.; Fong, Y.; Benkeser, D.; Deng, W.; Zhou, H.; Houchens, C.R.; Martins, K.; Jayashankar, L.; et al. Immune correlates analysis of the mRNA-1273 COVID-19 vaccine efficacy clinical trial. Science 2022, 375, 43–50. [Google Scholar] [CrossRef] [PubMed]
- Manenti, A.; Maggetti, M.; Casa, E.; Martinuzzi, D.; Torelli, A.; Trombetta, C.M.; Marchi, S.; Montomoli, E. Evaluation of SARS-CoV-2 neutralizing antibodies using a CPE-based colorimetric live virus micro-neutralization assay in human serum samples. J. Med. Virol. 2020, 92, 2096–2104. [Google Scholar] [CrossRef] [PubMed]
- Jackson, C.B.; Farzan, M.; Chen, B.; Choe, H. Mechanisms of SARS-CoV-2 entry into cells. Nat. Rev. Mol. Cell Biol. 2022, 23, 3–20. [Google Scholar] [CrossRef] [PubMed]
- Du, W.; Hurdiss, D.L.; Drabek, D.; Mykytyn, A.Z.; Kaiser, F.K.; González-Hernández, M.; Muñoz-Santos, D.; Lamers, M.M.; van Haperen, R.; Li, W.; et al. An ACE2-blocking antibody confers broad neutralization and protection against Omicron and other SARS-CoV-2 variants of concern. Sci. Immunol. 2022, 7, eabp9312. [Google Scholar] [CrossRef] [PubMed]
- Zamorano Cuervo, N.; Grandvaux, N. ACE2: Evidence of role as entry receptor for SARS-CoV-2 and implications in comorbidities. Elife 2020, 9, e61390. [Google Scholar] [CrossRef] [PubMed]
- Zhang, S.; Gao, C.; Das, T.; Luo, S.; Tang, H.; Yao, X.; Cho, C.Y.; Lv, J.; Maravillas, K.; Jones, V.; et al. The spike-ACE2 binding assay: An in vitro platform for evaluating vaccination efficacy and for screening SARS-CoV-2 inhibitors and neutralizing antibodies. J. Immunol. Methods 2022, 503, 113244. [Google Scholar] [CrossRef] [PubMed]
- Nayak, S.K. Inhibition of S-protein RBD and hACE2 Interaction for Control of SARSCoV- 2 Infection (COVID-19). Mini Rev. Med. Chem. 2021, 21, 689–703. [Google Scholar] [CrossRef] [PubMed]
- Jia, H.; Neptune, E.; Cui, H. Targeting ACE2 for COVID-19 Therapy: Opportunities and Challenges. Am. J. Respir. Cell Mol. Biol. 2021, 64, 416–425. [Google Scholar] [CrossRef] [PubMed]
- Liu, Y.; He, H.; Huang, H. The role and significance of angiotensin-converting enzyme 2 peptides in the treatment of coronavirus disease 2019. J. Clin. Lab. Anal. 2021, 35, e23789. [Google Scholar] [CrossRef] [PubMed]
- Shinde, V.; Cho, I.; Plested, J.S.; Agrawal, S.; Fiske, J.; Cai, R.; Zhou, H.; Pham, X.; Zhu, M.; Cloney-Clark, S.; et al. Comparison of the safety and immunogenicity of a novel Matrix-M-adjuvanted nanoparticle influenza vaccine with a quadrivalent seasonal influenza vaccine in older adults: A phase 3 randomised controlled trial. Lancet Infect. Dis. 2022, 22, 73–84. [Google Scholar] [CrossRef] [PubMed]
- Formica, N.; Mallory, R.; Albert, G.; Robinson, M.; Plested, J.S.; Cho, I.; Robertson, A.; Dubovsky, F.; Glenn, G.M. Different dose regimens of a SARS-CoV-2 recombinant spike protein vaccine (NVX-CoV2373) in younger and older adults: A phase 2 randomized placebo-controlled trial. PLoS Med. 2021, 18, e1003769. [Google Scholar] [CrossRef] [PubMed]
- BPS Bioscience. Products: Coronaviruses: ACE2. Available online: https://bpsbioscience.com/catalogsearch/result/index/?p=2&product_type_filter=5560&q=ACE2 (accessed on 18 October 2022).
- Mohsin, M.; Mahmud, S. Omicron SARS-CoV-2 variant of concern: A review on its transmissibility, immune evasion, reinfection, and severity. Medicine 2022, 101, e29165. [Google Scholar] [CrossRef] [PubMed]
- Pulliam, J.R.C.; van Schalkwyk, C.; Govender, N.; von Gottberg, A.; Cohen, C.; Groome, M.J.; Dushoff, J.; Mlisana, K.; Moultrie, H. Increased risk of SARS-CoV-2 reinfection associated with emergence of Omicron in South Africa. Science 2022, 376, eabn4947. [Google Scholar] [CrossRef] [PubMed]





| Sample | Sample ID | hACE2 Binding Inhibition Titer (GMT) | Inter-Assay %GCV | Intra-Assay %GCV | Total %GCV |
|---|---|---|---|---|---|
| 1 | HQC | 158.5 | 8.2 | 6.5 | 10.5 |
| 2 | LQC | 37.5 | 8.3 | 7.4 | 11.1 |
| 3 | MQC | 66.6 | 8.0 | 6.9 | 10.5 |
| 4 | NC | 5.0 | 0.0 | 0.0 | 0.0 |
| 5 | Serum #3 | 81.1 | 15.3 | 16.1 | 22.3 |
| 6 | Serum #1 | 91.3 | 18.8 | 7.3 | 20.2 |
| 7 | Serum #2 | 62.4 | 7.4 | 8.5 | 11.3 |
| 8 | Serum #12 | 11.0 | 13.0 | 12.7 | 18.2 |
| 9 | Serum #13 | 115.5 | 11.4 | 6.2 | 13.0 |
| 10 | Serum #14 | 22.3 | 6.2 | 7.3 | 9.6 |
| 11 | Serum #15 | 170.3 | 7.6 | 9.2 | 11.9 |
| 12 | Serum #16 | 54.7 | 11.5 | 11.3 | 16.2 |
| 13 | Serum #17 | 93.7 | 10.2 | 6.7 | 12.3 |
| 14 | Serum #18 | 22.4 | 8.2 | 8.8 | 12.1 |
| 15 | Serum #19 | 61.6 | 10.3 | 7.6 | 12.8 |
| 16 | Serum #20 | 18.0 | 4.3 | 10.2 | 11.1 |
| 17 | Serum #21 | 26.9 | 12.3 | 8.3 | 14.9 |
| 18 | Serum #22 | 27.9 | 8.1 | 7.4 | 11.0 |
| 19 | Serum #23 | 62.3 | 7.3 | 8.6 | 11.3 |
| 20 | Serum #24 | 13.6 | 12.2 | 12.6 | 17.6 |
| Assay Specificity | |||||||
| Sample ID | Assay Buffer | Incubated with S Protein | Incubated with RSV F Protein | Incubated with Ebola GP | |||
| GMT | GMT | % Reduction | GMT | % Reduction | GMT | % Reduction | |
| Serum #45 | 175.5 | 31.4 | 82.1 | 183.1 | −4.3 | 181.6 | −3.5 |
| Serum #17 | 85.8 | 21.1 | 75.4 | 79.3 | 7.6 | 92.6 | −7.8 |
| Serum #13 | 102.1 | 26.4 | 74.1 | 99.8 | 2.3 | 111.4 | −9.0 |
| Serum #22 | 24.7 | 5.0 | 79.7 | 26.8 | −8.5 | 26.5 | −7.5 |
| Serum #16 | 58.8 | 13.1 | 77.6 | 63.3 | −7.7 | 56.5 | 3.9 |
| Assay Selectivity | |||||||
| Sample ID | Sample # | hACE2 Binding Inhibition Titer | Anti-A/Singapore a HAI GMT | Anti-A/Michigan b HAI GMT | |||
| Serum #39 c | 1 | <10 | 20 (Day 0) | 40 (Day 0) | |||
| Serum #40 c | 2 | <10 | 2560 (Day 21) | 2560 (Day 21) | |||
| Serum #41 c | 3 | <10 | 20 (Day 0) | 40 (Day 0) | |||
| Serum #42 c | 4 | <10 | 2560 (Day 21) | 40 (Day 21) | |||
| Serum #43 c | 5 | <10 | 40 (Day 0) | 40 (Day 0) | |||
| Serum #44 c | 6 | <10 | 2560 (Day 21) | 2560 (Day 21) | |||
| Serum #25 | 7 | <10 | 640 | 151 | |||
| Serum #26 | 8 | <10 | 523 | 302 | |||
| Serum #27 | 9 | <10 | 95 | 80 | |||
| Serum #28 | 10 | <10 | N/A | 142 | |||
| Serum #29 | 11 | <10 | N/A | 36 | |||
| Serum #30 | 12 | <10 | N/A | 170 | |||
| Serum #31 | 13 | <10 | N/A | 640 | |||
| Sample | Parameter | Estimate | 95% LCL | 95% UCL |
|---|---|---|---|---|
| 19-2021-09/19-2021-11 | Slope | 0.974 | 0.947 | 1.001 |
| Intercept | 0.061 | −0.002 | 0.124 | |
| Residual Variability (% GSD) | 0.027 (6.3%) | N/A | ||
| R2 | 0.999 | N/A | ||
| 19-2020-10/19-2020-12 | Slope | 0.984 | 0.959 | 1.009 |
| Intercept | 0.085 | 0.027 | 0.143 | |
| Residual Variability (% GSD) | 0.025 (5.8%) | N/A | ||
| R2 | 0.999 | N/A | ||
| Heme Matrix Effects | |||||
| Sample | Control | 50% Hemolyzed | 25% Hemolyzed | ||
| Inhibition GMT | Inhibition GMT | % Recovery | Inhibition GMT | % Recovery | |
| Serum #62 | 72.1 | 63.2 | 87.7 | 54.7 | 75.9 |
| Serum #63 | 16.2 | 15.7 | 96.9 | 16.7 | 103.1 |
| Serum #64 | 106.1 | 118.0 | 111.2 | 136.4 | 128.6 |
| Serum #65 | 142.6 | 133.8 | 93.8 | 118.3 | 83.0 |
| Serum #66 | 42.4 | 42.6 | 100.5 | 41.5 | 97.9 |
| Serum #67 | <10 | <10 | N/A | <10 | N/A |
| Lipid Matrix Effects | |||||
| Sample | Control | 5.0 mg/mL Triglycerides | 2.5 mg/mL Triglycerides | ||
| Inhibition GMT | Inhibition GMT | % Recovery | Inhibition GMT | % Recovery | |
| Serum #62 | 72.1 | 61.5 | 85.3 | 71.1 | 98.6 |
| Serum #63 | 16.2 | 21.7 | 134.0 | 20.2 | 124.7 |
| Serum #64 | 106.1 | 125.2 | 118.0 | 108.8 | 102.5 |
| Serum #65 | 142.6 | 118.6 | 83.2 | 111.2 | 78.0 |
| Serum #66 | 42.4 | 44.1 | 104.0 | 42 | 99.1 |
| Serum #67 | <10 | <10 | N/A | <10 | N/A |
Disclaimer/Publisher’s Note: The statements, opinions and data contained in all publications are solely those of the individual author(s) and contributor(s) and not of MDPI and/or the editor(s). MDPI and/or the editor(s) disclaim responsibility for any injury to people or property resulting from any ideas, methods, instructions or products referred to in the content. |
© 2023 by the authors. Licensee MDPI, Basel, Switzerland. This article is an open access article distributed under the terms and conditions of the Creative Commons Attribution (CC BY) license (https://creativecommons.org/licenses/by/4.0/).
Share and Cite
Plested, J.S.; Zhu, M.; Cloney-Clark, S.; Massuda, E.; Patel, U.; Klindworth, A.; Massare, M.J.; Cai, R.; Fries, L.; Glenn, G.; et al. Severe Acute Respiratory Syndrome Coronavirus 2 Receptor (Human Angiotensin-Converting Enzyme 2) Binding Inhibition Assay: A Rapid, High-Throughput Assay Useful for Vaccine Immunogenicity Evaluation. Microorganisms 2023, 11, 368. https://doi.org/10.3390/microorganisms11020368
Plested JS, Zhu M, Cloney-Clark S, Massuda E, Patel U, Klindworth A, Massare MJ, Cai R, Fries L, Glenn G, et al. Severe Acute Respiratory Syndrome Coronavirus 2 Receptor (Human Angiotensin-Converting Enzyme 2) Binding Inhibition Assay: A Rapid, High-Throughput Assay Useful for Vaccine Immunogenicity Evaluation. Microorganisms. 2023; 11(2):368. https://doi.org/10.3390/microorganisms11020368
Chicago/Turabian StylePlested, Joyce S., Mingzhu Zhu, Shane Cloney-Clark, Edmond Massuda, Urvashi Patel, Andrew Klindworth, Michael J. Massare, Rongman Cai, Louis Fries, Greg Glenn, and et al. 2023. "Severe Acute Respiratory Syndrome Coronavirus 2 Receptor (Human Angiotensin-Converting Enzyme 2) Binding Inhibition Assay: A Rapid, High-Throughput Assay Useful for Vaccine Immunogenicity Evaluation" Microorganisms 11, no. 2: 368. https://doi.org/10.3390/microorganisms11020368
APA StylePlested, J. S., Zhu, M., Cloney-Clark, S., Massuda, E., Patel, U., Klindworth, A., Massare, M. J., Cai, R., Fries, L., Glenn, G., & Kalkeri, R. (2023). Severe Acute Respiratory Syndrome Coronavirus 2 Receptor (Human Angiotensin-Converting Enzyme 2) Binding Inhibition Assay: A Rapid, High-Throughput Assay Useful for Vaccine Immunogenicity Evaluation. Microorganisms, 11(2), 368. https://doi.org/10.3390/microorganisms11020368

