Relationship between Cytomegalovirus Viremia and Long-Term Outcomes in Kidney Transplant Recipients with Different Donor Ages
Abstract
1. Introduction
2. Materials and Methods
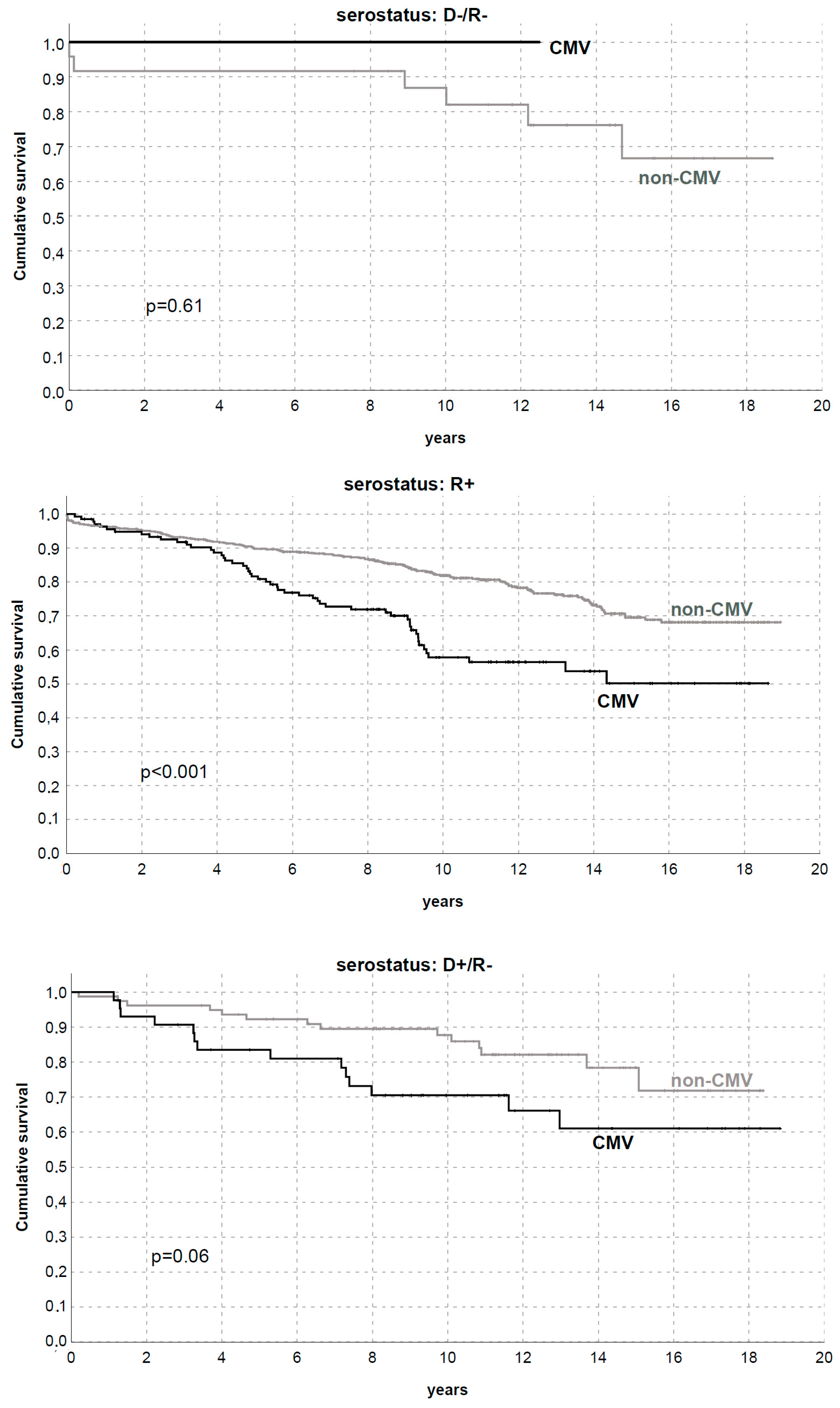
3. Results
4. Discussion
5. Conclusions
Author Contributions
Funding
Institutional Review Board Statement
Informed Consent Statement
Data Availability Statement
Acknowledgments
Conflicts of Interest
References
- Cippà, P.E. New ideas for old problems: How scientific advances can change the future of organ transplantation. Transpl. Int. 2019, 32, 561–562. [Google Scholar] [CrossRef]
- Freeman, R.B. The “Indirect” effects of cytomegalovirus infection: Minireview. Am. J. Transplant. 2009, 9, 2453–2458. [Google Scholar] [CrossRef] [PubMed]
- Reischig, T.; Kacer, M.; Hruba, P.; Jindra, P.; Hes, O.; Lysak, D.; Bouda, M.; Viklicky, O. The impact of viral load and time to onset of cytomegalovirus replication on long-term graft survival after kidney transplantation. Antivir. Ther. 2017, 22, 503–513. [Google Scholar] [CrossRef] [PubMed]
- Mella, A.; Mariano, F.; Dolla, C.; Gallo, E.; Manzione, A.M.; Di Vico, M.C.; Cavallo, R.; De Rosa, F.G.; Costa, C.; Biancone, L. Bacterial and Viral Infection and Sepsis in Kidney Transplanted Patients. Biomedicines 2022, 10, 701. [Google Scholar] [CrossRef] [PubMed]
- Helanterä, I.; Schachtner, T.; Hinrichs, C.; Salmela, K.; Kyllönen, L.; Koskinen, P.; Lautenschlager, I.; Reinke, P. Current characteristics and outcome of cytomegalovirus infections after kidney transplantation. Transpl. Infect. Dis. 2014, 16, 568–577. [Google Scholar] [CrossRef]
- Kotton, C.N.; Kumar, D.; Caliendo, A.M.; Huprikar, S.; Chou, S.; Danziger-Isakov, L.; Humar, A. The Third International Consensus Guidelines on the Management of Cytomegalovirus in Solid-organ Transplantation. Transplantation 2018, 102, 900–931. [Google Scholar] [CrossRef]
- Raval, A.D.; Kistler, K.D.; Tang, Y.; Murata, Y.; Snydman, D.R. Epidemiology, risk factors, and outcomes associated with cytomegalovirus in adult kidney transplant recipients: A systematic literature review of real-world evidence. Transpl. Infect. Dis. 2021, 23, 1–16. [Google Scholar] [CrossRef]
- Leeaphorn, N.; Garg, N.; Thamcharoen, N.; Khankin, E.V.; Cardarelli, F.; Pavlakis, M. Cytomegalovirus mismatch still negatively affects patient and graft survival in the era of routine prophylactic and preemptive therapy: A paired kidney analysis. Am. J. Transplant. 2019, 19, 573–584. [Google Scholar] [CrossRef] [PubMed]
- Arthurs, S.K.; Eid, A.J.; Pedersen, R.A.; Kremers, W.K.; Cosio, F.G.; Patel, R.; Razonable, R.R. Delayed-onset primary cytomegalovirus disease and the risk of allograft failure and mortality after kidney transplantation. Clin. Infect. Dis. 2008, 46, 840–846. [Google Scholar] [CrossRef]
- Schuster, N.A.; Hoogendijk, E.O.; Kok, A.A.L.; Twisk, J.W.R.; Heymans, M.W. Ignoring competing events in the analysis of survival data may lead to biased results: A nonmathematical illustration of competing risk analysis. J. Clin. Epidemiol. 2020, 122, 42–48. [Google Scholar] [CrossRef]
- Fishman, J.A. Infection in Organ Transplantation. Am. J. Transplant. 2017, 17, 856–879. [Google Scholar] [CrossRef] [PubMed]
- Haidar, G.; Boeckh, M.; Singh, N. Cytomegalovirus infection in solid organ and hematopoietic cell transplantation: State of the evidence. J. Infect. Dis. 2021, 221, S23–S31. [Google Scholar] [CrossRef]
- Davis, N.L.; King, C.C.; Kourtis, A.P. Cytomegalovirus infection in pregnancy. Birth Defects Res. 2017, 109, 336–346. [Google Scholar] [CrossRef] [PubMed]
- Kaminski, H.; Fishman, J.A. The Cell Biology of Cytomegalovirus: Implications for Transplantation. Am. J. Transplant. 2016, 16, 2254–2269. [Google Scholar] [CrossRef]
- Hemmersbach-Miller, M.; Alexander, B.D.; Pieper, C.F.; Schmader, K.E. Age matters: Older age as a risk factor for CMV reactivation in the CMV serostatus–positive kidney transplant recipient. Eur. J. Clin. Microbiol. Infect. Dis. 2020, 39, 455–463. [Google Scholar] [CrossRef]
- Blazquez-Navarro, A.; Dang-Heine, C.; Wittenbrink, N.; Bauer, C.; Wolk, K.; Sabat, R.; Westhoff, T.H.; Sawitzki, B.; Reinke, P.; Thomusch, O.; et al. BKV, CMV, and EBV Interactions and their Effect on Graft Function One Year Post-Renal Transplantation: Results from a Large Multi-Centre Study. EBioMedicine 2018, 34, 113–121. [Google Scholar] [CrossRef]
- Schlott, F.; Steubl, D.; Hoffmann, D.; Matevossian, E.; Lutz, J.; Heemann, U.; Hösel, V.; Busch, D.H.; Renders, L.; Neuenhahn, M. Primary cytomegalovirus infection in seronegative kidney transplant patients is associated with protracted cold ischemic time of seropositive donor organs. PLoS ONE 2017, 12, e0171035. [Google Scholar] [CrossRef]
- Kirisri, S.; Vongsakulyanon, A.; Kantachuvesiri, S.; Razonable, R.R.; Bruminhent, J. Predictors of CMV Infection in CMV-Seropositive Kidney Transplant Recipients: Impact of Pretransplant CMV-Specific Humoral Immunity. Open Forum Infect. Dis. 2021, 8, ofab199. [Google Scholar] [CrossRef] [PubMed]
- Fernández-Ruiz, M.; Corrales, I.; Amat, P.; González, E.; Andrés, A.; Navarro, D.; Aguado, J.M. Influence of Age and HLA Alleles on the CMV-Specific Cell-Mediated Immunity among CMV-Seropositive Kidney Transplant Candidates. Am. J. Transplant. 2015, 15, 2525–2526. [Google Scholar] [CrossRef]
- Bischof, N.; Wehmeier, C.; Dickenmann, M.; Hirt-Minkowski, P.; Amico, P.; Steiger, J.; Naegele, K.; Hirsch, H.H.; Schaub, S. Revisiting cytomegalovirus serostatus and replication as risk factors for inferior long-term outcomes in the current era of renal transplantation. Nephrol. Dial. Transplant. 2020, 35, 346–356. [Google Scholar] [CrossRef]
- Jorgenson, M.R.; Descourouez, J.L.; Cardinale, B.; Lyu, B.; Astor, B.C.; Garg, N.; Saddler, C.M.; Smith, J.A.; Mandelbrot, D.A. Risk of opportunistic infection in kidney transplant recipients with cytomegalovirus infection and associated outcomes. Transpl. Infect. Dis. 2019, 21, e13080. [Google Scholar] [CrossRef]
- Samson, L.D.; van den Berg, S.P.H.; Engelfriet, P.; Boots, A.M.H.; Hendriks, M.; de Rond, L.G.H.; de Zeeuw-Brouwer, M.; Verschuren, W.M.; Borghans, J.A.M.; Buisman, A.M.; et al. Limited effect of duration of CMV infection on adaptive immunity and frailty: Insights from a 27-year-long longitudinal study. Clin. Transl. Immunol. 2020, 9, e1193. [Google Scholar] [CrossRef] [PubMed]
- Hjelmesæth, J.; Midtvedt, K.; Jenssen, T.; Hartmann, A. Insulin Resistance After Renal Transplantation. Diabetes Care 2001, 24, 2121–2126. [Google Scholar] [CrossRef] [PubMed]
- Einollahi, B.; Motalebi, M.; Salesi, M.; Ebrahimi, M.; Taghipour, M. The impact of cytomegalovirus infection on new-onset diabetes mellitus after kidney transplantation: A review on current findings. J. Nephropathol. 2014, 3, 139–148. [Google Scholar] [CrossRef] [PubMed]
- Alnsasra, H.; Asleh, R.; Kumar, N.; Lopez, C.; Toya, T.; Kremers, W.K.; Edwards, B.; Daly, R.C.; Kushwaha, S.S. Incidence, Risk Factors, and Outcomes of Stroke Following Cardiac Transplantation. Stroke 2021, 52, E720–E724. [Google Scholar] [CrossRef]
- Van Laecke, S.; Malfait, T.; Schepers, E.; Van Biesen, W. Cardiovascular disease after transplantation: An emerging role of the immune system. Transpl. Int. 2018, 31, 689–699. [Google Scholar] [CrossRef]
- Rodríguez-Goncer, I.; Fernández-Ruiz, M.; Aguado, J.M. A critical review of the relationship between post-transplant atherosclerotic events and cytomegalovirus exposure in kidney transplant recipients. Expert Rev. Anti. Infect. Ther. 2020, 18, 113–125. [Google Scholar] [CrossRef]
- Kamali, K.; Abbasi, M.A.; Behzadi, A.H.; Mortazavi, A.; Bastani, B. Incidence and risk factors of transplant renal artery stenosis in living unrelated donor renal transplantation. J. Ren. Care 2010, 36, 149–152. [Google Scholar] [CrossRef]
- Reischig, T.; Kacer, M.; Hes, O.; Machova, J.; Nemcova, J.; Lysak, D.; Jindra, P.; Pivovarcikova, K.; Kormunda, S.; Bouda, M. Cytomegalovirus prevention strategies and the risk of BK polyomavirus viremia and nephropathy. Am. J. Transplant. 2019, 19, 2457–2467. [Google Scholar] [CrossRef]
- Erdbrügger, U.; Scheffner, I.; Mengel, M.; Schwarz, A.; Haller, H.; Gwinner, W. Long-term impact of CMV infection on allografts and on patient survival in renal transplant patients with protocol biopsies. Am. J. Physiol.-Ren. Physiol. 2015, 309, F925–F932. [Google Scholar] [CrossRef]
- Sagedal, S.; Nordal, K.P.; Hartmann, A.; Sund, S.; Scott, H.; Degré, M.; Foss, A.; Leivestad, T.; Osnes, K.; Fauchald, P.; et al. The impact of cytomegalovirus infection and disease on rejection episodes in renal allograft recipients. Am. J. Transplant. 2002, 2, 850–856. [Google Scholar] [CrossRef]
- Toupance, O.; Bouedjoro-Camus, M.C.; Carquin, J.; Novella, J.L.; Lavaud, S.; Wynckel, A.; Jolly, D.; Chanard, J. Cytomegalovirus-related disease and risk of acute rejection in renal transplant recipients: A cohort study with case-control analyses. Transpl. Int. 2000, 13, 413–419. [Google Scholar] [CrossRef]
- Hjelmesæth, J.; Sagedal, S.; Hartmann, A.; Rollag, H.; Egeland, T.; Hagen, M.; Nordal, K.P.; Jenssen, T. Asymptomatic cytomegalovirus infection is associated with increased risk of new-onset diabetes mellitus and impaired insulin release after renal transplantation. Diabetologia 2004, 47, 1550–1556. [Google Scholar] [CrossRef]
- Erdbruegger, U.; Scheffner, I.; Mengel, M.; Schwarz, A.; Verhagen, W.; Haller, H.; Gwinner, W. Impact of CMV infection on acute rejection and long-term renal allograft function: A systematic analysis in patients with protocol biopsies and indicated biopsies. Nephrol. Dial. Transplant. 2012, 27, 435–443. [Google Scholar] [CrossRef]
- Abou-Ayache, R.; Bchler, M.; Le Pogamp, P.; Westeel, P.F.; Le Meur, Y.; Etienne, I.; Hurault De Ligny, B.; Toupance, O.; Caillard, S.; Sinnasse-Raymond, G.; et al. The influence of cytomegalovirus infections on patient and renal graft outcome: A 3-year, multicenter, observational study (post-ECTAZ study). Transplant. Proc. 2011, 43, 2630–2635. [Google Scholar] [CrossRef]
- Dedinská, I.; Laca, L.; Miklušica, J.; Kantárová, D.; Galajda, P.; Mokáň, M. Correlation between CMV infection and posttransplantation new-onset diabetes mellitus. Int. J. Organ Transplant. Med. 2016, 7, 173–182. [Google Scholar]
- Pouria, S.; State, O.I.; Wong, W.; Hendry, B.M. CMV infection is associated with transplant renal artery stenosis. QJM-Mon. J. Assoc. Physicians 1998, 91, 185–189. [Google Scholar] [CrossRef]
- Courivaud, C.; Bamoulid, J.; Chalopin, J.M.; Gaiffe, E.; Tiberghien, P.; Saas, P.; Ducloux, D. Cytomegalovirus exposure and cardiovascular disease in kidney transplant recipients. J. Infect. Dis. 2013, 207, 1569–1575. [Google Scholar] [CrossRef] [PubMed]
- Roman, A.; Manito, N.; Campistol, J.M.; Cuervas-Mons, V.; Almenar, L.; Arias, M.; Casafont, F.; del Castillo, D.; Crespo-Leiro, M.G.; Delgado, J.F.; et al. The impact of the prevention strategies on the indirect effects of CMV infection in solid organ transplant recipients. Transplant. Rev. 2014, 28, 84–91. [Google Scholar] [CrossRef] [PubMed]
- Herrera, S.; Bernal-Maurandi, J.; Cofan, F.; Ventura, P.; Marcos, M.A.; Linares, L.; Cuesta, G.; Diekmann, F.; Moreno, A.; Bodro, M. BK virus and cytomegalovirus coinfections in kidney transplantation and their impact on allograft loss. J. Clin. Med. 2021, 10, 3779. [Google Scholar] [CrossRef] [PubMed]
- Bruintjes, M.H.D.; D’ancona, F.C.H.; Zhu, X.; Hoitsma, A.J.; Warlé, M.C. An update on early urological complications in kidney transplantation: A national cohort study. Ann. Transplant. 2019, 24, 617–624. [Google Scholar] [CrossRef]
- Reusing, J.O.; Feitosa, E.B.; Agena, F.; Pierrotti, L.C.; Azevedo, L.S.F.; Kotton, C.N.; David-Neto, E. Cytomegalovirus prophylaxis in seropositive renal transplant recipients receiving thymoglobulin induction therapy: Outcome and risk factors for late CMV disease. Transpl. Infect. Dis. 2018, 20, e12929. [Google Scholar] [CrossRef] [PubMed]
- Jamal, A.J.; Husain, S.; Li, Y.; Famure, O.; Kim, S.J. Risk factors for late-onset cytomegalovirus infection or disease in kidney transplant recipients. Transplantation 2014, 97, 569–575. [Google Scholar] [CrossRef] [PubMed]
- Naesens, M.; Lerut, E.; Emonds, M.P.; Herelixka, A.; Evenepoel, P.; Claes, K.; Bammens, B.; Sprangers, B.; Meijers, B.; Jochmans, I.; et al. Proteinuria as a Noninvasive Marker for Renal Allograft Histology and Failure: An Observational Cohort Study. J. Am. Soc. Nephrol. 2016, 27, 281–292. [Google Scholar] [CrossRef] [PubMed]
- Reischig, T.; Jindra, P.; Hes, O.; Bouda, M.; Kormunda, S.; Třeška, V. Effect of cytomegalovirus viremia on subclinical rejection or interstitial fibrosis and tubular atrophy in protocol biopsy at 3 months in renal allograft recipients managed by preemptive therapy or antiviral prophylaxis. Transplantation 2009, 87, 436–444. [Google Scholar] [CrossRef]
- Manuel, O.; Kralidis, G.; Mueller, N.J.; Hirsch, H.H.; Garzoni, C.; Van Delden, C.; Berger, C.; Boggian, K.; Cusini, A.; Koller, M.T.; et al. Impact of antiviral preventive strategies on the incidence and outcomes of cytomegalovirus disease in solid organ transplant recipients. Am. J. Transplant. 2013, 13, 2402–2410. [Google Scholar] [CrossRef]
- Stern, M.; Hirsch, H.; Cusini, A.; Van Delden, C.; Manuel, O.; Meylan, P.; Boggian, K.; Mueller, N.J.; Dickenmann, M. Cytomegalovirus serology and replication remain associated with solid organ graft rejection and graft loss in the era of prophylactic treatment. Transplantation 2014, 98, 1013–1018. [Google Scholar] [CrossRef]
- López-Oliva, M.O.; Flores, J.; Madero, R.; Escuin, F.; Santana, M.J.; Bellón, T.; Selgas, R.; Jiménez, C. Cytomegalovirus infection after kidney transplantation and long-term graft loss. Nefrologia 2017, 37, 515–525. [Google Scholar] [CrossRef]
- Bal, Z.; Uyar, M.E.; Tutal, E.; Erdogan, E.; Colak, T.; Sezer, S.; Haberal, M. Cytomegalovirus infection in renal transplant recipients: One center’s experience. Transplant. Proc. 2013, 45, 3520–3523. [Google Scholar] [CrossRef]
- Kanter, J.; Pallardó, L.; Gavela, E.; Escudero, V.; Beltrán, S.; Morales, A.; Ávila, A.; Crespo, J.F. Cytomegalovirus Infection Renal Transplant Recipients: Risk Factors and Outcome. Transplant. Proc. 2009, 41, 2156–2158. [Google Scholar] [CrossRef] [PubMed]
- Siodlak, M.; Jorgenson, M.R.; Descourouez, J.L.; Leverson, G.E.; Mandelbrot, D.A.; Smith, J.A.; Redfield, R.R. Impact of High-Dose Acyclovir Cytomegalovirus Prophylaxis Failure in Abdominal Solid Organ Transplant Recipients. Pharmacotherapy 2018, 38, 694–700. [Google Scholar] [CrossRef] [PubMed]
- Razonable, R.R.; Humar, A. Cytomegalovirus in solid organ transplant recipients—Guidelines of the American Society of Transplantation Infectious Diseases Community of Practice. Clin. Transplant. 2019, 33, e13512. [Google Scholar] [CrossRef] [PubMed]
- Kliem, V.; Fricke, L.; Wollbrink, T.; Burg, M.; Radermacher, J.; Rohde, F. Improvement in long-term renal graft survival due to CMV prophylaxis with oral ganciclovir: Results of a randomized clinical trial. Am. J. Transplant. 2008, 8, 975–983. [Google Scholar] [CrossRef]
- Bestard, O.; Lucia, M.; Crespo, E.; Van Liempt, B.; Palacio, D.; Melilli, E.; Torras, J.; Llaudõ, I.; Cerezo, G.; Taco, O.; et al. Pretransplant immediately early-1-specific T cell responses provide protection for CMV infection after kidney transplantation. Am. J. Transplant. 2013, 13, 1793–1805. [Google Scholar] [CrossRef] [PubMed]
- Kaminski, H.; Couzi, L.; Garrigue, I.; Moreau, J.F.; Déchanet-Merville, J.; Merville, P. Easier Control of Late-Onset Cytomegalovirus Disease Following Universal Prophylaxis Through an Early Antiviral Immune Response in Donor-Positive, Recipient-Negative Kidney Transplants. Am. J. Transplant. 2016, 16, 2384–2394. [Google Scholar] [CrossRef] [PubMed]
- Campos, C.; Pera, A.; Sanchez-Correa, B.; Alonso, C.; Lopez-Fernandez, I.; Morgado, S.; Tarazona, R.; Solana, R. Effect of age and CMV on NK cell subpopulations. Exp. Gerontol. 2014, 54, 130–137. [Google Scholar] [CrossRef]
- Vescovini, R.; Biasini, C.; Fagnoni, F.F.; Telera, A.R.; Zanlari, L.; Pedrazzoni, M.; Bucci, L.; Monti, D.; Medici, M.C.; Chezzi, C.; et al. Massive Load of Functional Effector CD4 + and CD8 + T Cells against Cytomegalovirus in Very Old Subjects. J. Immunol. 2007, 179, 4283–4291. [Google Scholar] [CrossRef]
- Rennie, T.J.W.; Geddes, C.G.; McIntyre-McClure, R.; Chua, B.H.E.; Metcalfe, W.; Johannessen, I.; Phelan, P.J.; Padmanabhan, N.; Clancy, M.J.; Black, H. Efficacy and side effect profile of two CMV prophylaxis strategies in high and intermediate risk kidney transplant recipients–a multicentre national study. J. Nephrol. 2021, 34, 2173–2175. [Google Scholar] [CrossRef]
- Hellemans, R.; Abramowicz, D. Cytomegalovirus after kidney transplantation in 2020: Moving towards personalized prevention. Nephrol. Dial. Transplant. 2022, 37, 810–816. [Google Scholar] [CrossRef]







| CMV within the First Year | NO CMV within the First Year | p-Value | |
|---|---|---|---|
| Donor characteristics | |||
| Hypertension, % | 57.2 | 46.5 | 0.01 |
| Diabetes mellitus, % | 10.2 | 7.8 | 0.33 |
| Donor age ≥ 60 yrs, % | 62.4 | 46.4 | <0.01 |
| Median donor age (25th–75th percentiles) | 66 yrs (53.5–72) | 58 yrs (46–69) | <0.01 |
| Median donor eGFR CKD-EPI mL/min/1.73 m2/1.73 m2 (interquartile range) | 92.44 (68.89–104.35) | 93.00 (72.35–110.82) | 0.21 |
| Recipient characteristics | |||
| M/F ratio, % | 66.9/33.1 | 64.3/35.7 | 0.55 |
| Median age (25th–75thpercentiles) | 58 yrs (49; 65) | 54 yrs (46; 63) | 0.01 |
| HD/PD, % | 70.6/29.4 | 78.9/21.1 | 0.02 |
| Hypertension, % | 91 | 87 | 0.16 |
| Pre-Tx cardiopathy, % | 40.0 | 33.2 | 0.10 |
| Pre-Tx HCV+, % | 2.3 | 6.1 | 0.06 |
| Pre-Tx diabetes mellitus, % | 14.4 | 11.1 | 0.25 |
| Transplant characteristics | |||
| DR 0/1/2 (match), % | 0/64.6/35.4 | 0/54/45.9 | 0.03 |
| Cold ischemia ≥ 18 h, % | 57.2 | 49.4 | 0.04 |
| Delayed graft function, % | 28.7 | 24.7 | 0.29 |
| ATG induction therapy, % | 1.2 | 0.9 | 0.31 |
| CMV within the First Year | NO CMV within the First Year | p-Value | |
|---|---|---|---|
| 1-year proteinuria ≥ 0.5 g/day, %, % | 22.3 | 14.2 | 0.02 |
| 1-year eGFR (CKD-EPI) < 45 mL/min/1.73 m2/1.73 m2, % | 65.3 | 46.5 | <0.01 |
| BPAR in 1st year, % | 10.5 | 4.4 | <0.01 |
| NODAT in 1st year, % | 27.2 | 18.9 | 0.02 |
| De novo/recurrent glomerulonephritis, % | 6.1 | 8.7 | 0.29 |
| Urologic complication in 1st year, % | 24.3 | 13.5 | <0.01 |
| Renal artery stenosis in 1st year, % | 15.5 | 6.3 | <0.01 |
| Major cardiovascular complication in 1st year, % | 27.6 | 15.1 | <0.01 |
| Ischemic cardiopathy in 1st year, % | 1.7 | 1.6 | 0.95 |
| Infection in 1st year, % | 53 | 32.2 | <0.01 |
| All Patients (929 pts) | Donors < 50 yrs (277 pts) | Donors 50–69 yrs (413 pts) | Donors ≥ 70 yrs (239 pts) | p-Value |
|---|---|---|---|---|
| Donor characteristics | ||||
| eGFR CKD-EPI mL/min/1.73 m2/1.73 m2 (25–75 percentiles) | 112.45 (80.2–127.25) | 94.27 (69.15–104.69) | 87.64 (64.41–94.28) | <0.01 |
| Hypertension, % | 20.6 | 56 | 67.6 | <0.01 |
| Diabetes mellitus, % | 3.6 | 12.1 | 7.3 | <0.01 |
| Recipient characteristics | ||||
| M/F ratio, % | 64.6/35.4 | 62.5/37.5 | 69/31 | 0.24 |
| HD/PD, % | 75/25 | 71/29 | 66/34 | 0.05 |
| Pre-Tx diabetes mellitus, % | 6 | 11.5 | 18.7 | <0.01 |
| Pre-Tx hypertension, % | 84.7 | 88.7 | 89.9 | 0.16 |
| Pre-Tx cardiopathy, % | 27.7 | 35.5 | 40.9 | <0.01 |
| Pre-Tx HCV+, % | 4.5 | 5.6 | 6 | 0.73 |
| Transplant characteristics | ||||
| DR 0/1/2 (match), % | 0/49/51 | 0/56/44 | 0/65/35 | <0.01 |
| Cold ischemia ≥ 18 h, % | 37.6 | 55.2 | 58.8 | <0.01 |
| Delayed graft function, % | 20.2 | 25.3 | 32.2 | 0.01 |
| ATG induction therapy, % | 2.4 | 1.3 | 0.5 | 0.18 |
| Transplant complications | ||||
| 1-year proteinuria ≥ 0.5 g/day, % | 10.2 | 17.3 | 20.4 | <0.01 |
| 1-year eGFR (CKD-EPI) < 45 mL/min/1.73 m2/1.73 m2, % | 18.0 | 58.9 | 73.7 | <0.01 |
| BPAR in 1st year, % | 6.1 | 5.8 | 4.6 | 0.73 |
| NODAT in 1st year, % | 13.4 | 22.5 | 21.8 | <0.01 |
| De novo/recurrent glomerulonephritis, % | 10.8 | 6.3 | 8.4 | 0.1 |
| Urologic complications in 1st year, % | 9 | 19.1 | 17.2 | <0.01 |
| Renal artery stenosis in 1st year, % | 1.1 | 9.4 | 13.8 | <0.01 |
| Major cardiovascular complications in 1st year, % | 20.2 | 15.6 | 13.4 | 0.32 |
| Ischemic cardiopathy in 1st year, % | 0.7 | 1.7 | 2.5 | 0.27 |
| Infections in 1st year, % | 32.1 | 35.8 | 41.8 | 0.07 |
| p-Value | Hazard Ratio (Confidence Interval 95%) | |
|---|---|---|
| 1-year proteinuria 0.2–0.5 g/day | 0.32 | 1.17 (0.86–1.60) |
| 1-year proteinuria ≥ 0.5 g/day | <0.01 | 2.74 (1.97–3.81) |
| 1-year eGFR (CKD-EPI) ≥ 44 mL/min/1.73 m2/1.73 m2 | <0.01 | 0.40 (0.29–0.55) |
| Donor age 50–69 years | <0.01 | 1.66 (1.14–2.43) |
| Donor age ≥ 70 years | <0.01 | 2.13 (1.40–3.23) |
| CMV replication/disease in 1st year | <0.01 | 1.73 (1.30–2.30) |
| CMV IgG+ pre-transplantation (R+) | 0.44 | 0.87 (0.61–1.44) |
| BPAR in 1st year | 0.03 | 1.59 (1.05–2.39) |
Disclaimer/Publisher’s Note: The statements, opinions and data contained in all publications are solely those of the individual author(s) and contributor(s) and not of MDPI and/or the editor(s). MDPI and/or the editor(s) disclaim responsibility for any injury to people or property resulting from any ideas, methods, instructions or products referred to in the content. |
© 2023 by the authors. Licensee MDPI, Basel, Switzerland. This article is an open access article distributed under the terms and conditions of the Creative Commons Attribution (CC BY) license (https://creativecommons.org/licenses/by/4.0/).
Share and Cite
Diena, D.; Allesina, A.; Fop, F.; Mella, A.; Cavallo, R.; Costa, C.; Dolla, C.; Gallo, E.; De Rosa, F.G.; Lavacca, A.; et al. Relationship between Cytomegalovirus Viremia and Long-Term Outcomes in Kidney Transplant Recipients with Different Donor Ages. Microorganisms 2023, 11, 458. https://doi.org/10.3390/microorganisms11020458
Diena D, Allesina A, Fop F, Mella A, Cavallo R, Costa C, Dolla C, Gallo E, De Rosa FG, Lavacca A, et al. Relationship between Cytomegalovirus Viremia and Long-Term Outcomes in Kidney Transplant Recipients with Different Donor Ages. Microorganisms. 2023; 11(2):458. https://doi.org/10.3390/microorganisms11020458
Chicago/Turabian StyleDiena, Davide, Anna Allesina, Fabrizio Fop, Alberto Mella, Rossana Cavallo, Cristina Costa, Caterina Dolla, Ester Gallo, Francesco Giuseppe De Rosa, Antonio Lavacca, and et al. 2023. "Relationship between Cytomegalovirus Viremia and Long-Term Outcomes in Kidney Transplant Recipients with Different Donor Ages" Microorganisms 11, no. 2: 458. https://doi.org/10.3390/microorganisms11020458
APA StyleDiena, D., Allesina, A., Fop, F., Mella, A., Cavallo, R., Costa, C., Dolla, C., Gallo, E., De Rosa, F. G., Lavacca, A., Giraudi, R., Mariano, F., & Biancone, L. (2023). Relationship between Cytomegalovirus Viremia and Long-Term Outcomes in Kidney Transplant Recipients with Different Donor Ages. Microorganisms, 11(2), 458. https://doi.org/10.3390/microorganisms11020458

