Effects of Rhizosphere Microbial Communities on Cucumber Fusarium wilt Disease Suppression
Abstract
1. Introduction
2. Materials and Methods
2.1. Basic Information on Sampling Sites
2.2. Rhizosphere Soil Sampling
2.3. Determination of Soil Chemical Properties and Extraction of Soil DNA
2.4. Tag Sequencing of Bacterial and Fungal Communities
2.5. Bioinformatics and Statistical Analysis of Sequencing Data
2.6. Statistical Analyses
3. Results
3.1. Comparison of Physical and Chemical Properties of HR, R, and S
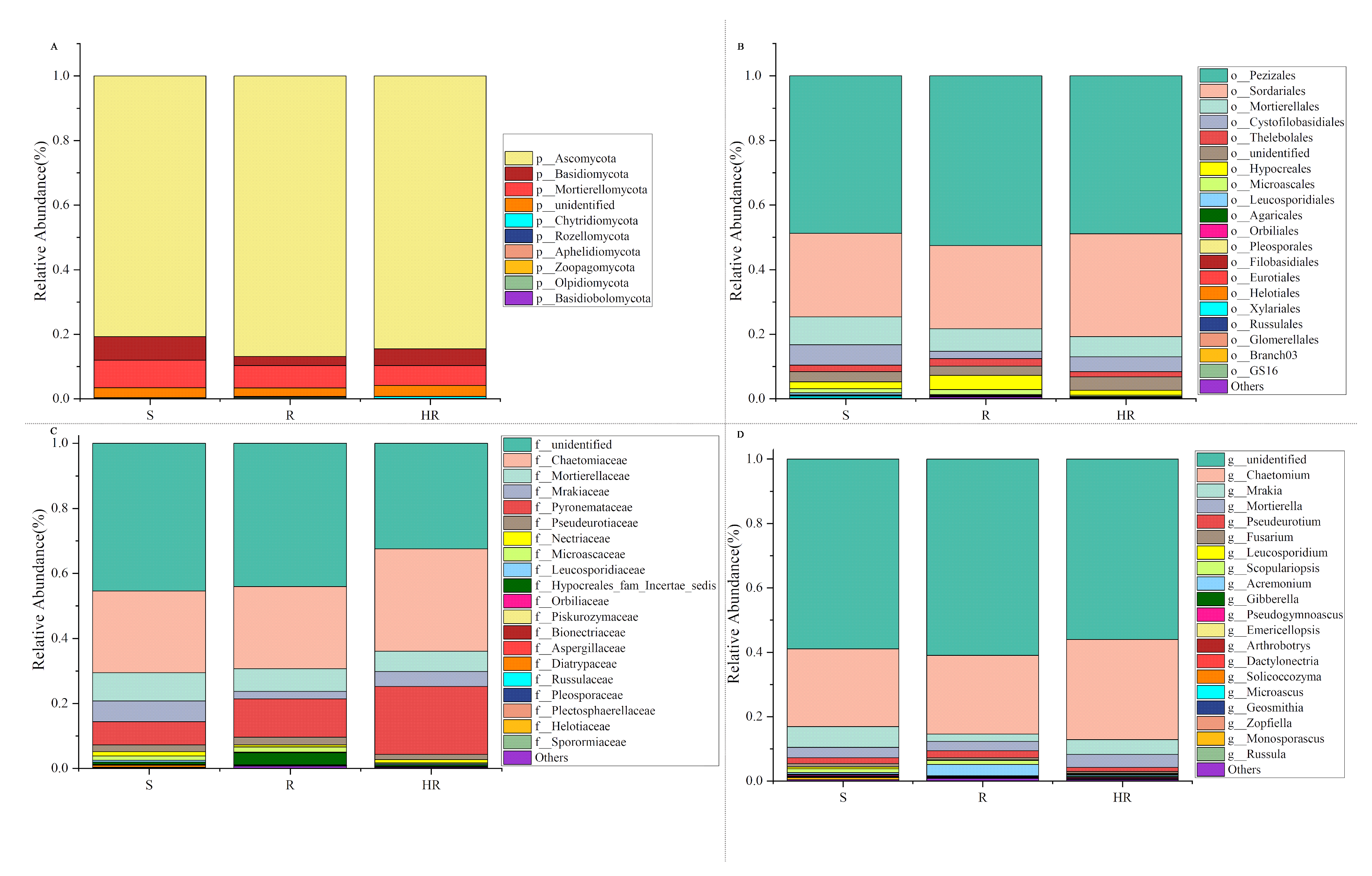
3.2. Differences in the Composition of Microbial Communities in HR, R, and S
3.3. Screening of Key Bacteria and Fungi in HR, R, and S
3.4. Correlation of Dominant Genera of Microbial Communities with Plant HI and Environmental Factors
3.5. Analysis of Microbial Community Function of HR, R, and S
3.6. Possible Mechanism of Rhizosphere Microorganisms Inhibiting Cucumber Fusarium Wilt
4. Discussion
4.1. Relationship between Rhizosphere Soil Physicochemical Properties and Plant Health
4.2. Key Microbiota Associated with Plant Health
5. Conclusions
Supplementary Materials
Author Contributions
Funding
Institutional Review Board Statement
Informed Consent Statement
Data Availability Statement
Conflicts of Interest
References
- Delgado-Baquerizo, M.; Guerra, C.A.; Cano-Diaz, C.; Egidi, E.; Wang, J.T.; Eisenhauer, N.; Singh, B.K.; Maestre, F.T. The proportion of soil-borne pathogens increases with warming at the global scale. Nat. Clim. Chang. 2020, 10, 550–554. [Google Scholar] [CrossRef]
- Cohen, R.; Orgil, G.; Burger, Y.; Saar, U.; Elkabetz, M.; Tadmor, Y.; Edelstein, M.; Belausov, E.; Maymon, M.; Freeman, S.; et al. Differences in the responses of melon accessions to fusarium root and stem rot and their colonization by Fusarium oxysporum f. sp radicis-cucumerinum. Plant Pathol. 2015, 64, 655–663. [Google Scholar] [CrossRef]
- Sun, L.; Song, S.; Fu, L.; Deng, X.H.; Wang, D.S.; Liang, X.L.; Li, R.; Shen, Q.R. Exploring a soil fumigation strategy based on ammonium bicarbonate to control Fusarium wilts of cucurbits. Crop. Prot. 2015, 70, 53–60. [Google Scholar] [CrossRef]
- Mendes, R.; Garbeva, P.; Raaijmakers, J.M. The rhizosphere microbiome: Significance of plant beneficial, plant pathogenic, and human pathogenic microorganisms. FEMS Microbiol. Rev. 2013, 37, 634–663. [Google Scholar] [CrossRef]
- Chapelle, E.; Mendes, R.; Bakker, P.A.H.; Raaijmakers, J.M. Fungal invasion of the rhizosphere microbiome. ISME J. 2016, 10, 265–268. [Google Scholar] [CrossRef]
- Perez-Jaramillo, J.E.; Mendes, R.; Raaijmakers, J.M. Impact of plant domestication on rhizosphere microbiome assembly and functions. Plant Mol. Biol. 2016, 90, 635–644. [Google Scholar] [CrossRef] [PubMed]
- Philippot, L.; Raaijmakers, J.M.; Lemanceau, P.; van der Putten, W.H. Going back to the roots: The microbial ecology of the rhizosphere. Nat. Rev. Microbiol. 2013, 11, 789–799. [Google Scholar] [CrossRef]
- Yang, Z.; Dai, C.C.; Wang, X.X.; Li, X.G. Advance in Research on Rhizosphere Microbial Mechanisms of Crop Soil-borne Fungal Diseases. Acta Pedol. Sin. 2019, 56, 12–22. [Google Scholar]
- Kwak, M.J.; Kong, H.G.; Choi, K.; Kwon, S.K.; Song, J.Y.; Lee, J.; Lee, P.A.; Choi, S.Y.; Seo, M.; Lee, H.J.; et al. Rhizoshere microbiome structure alters to enable wilt resistance in tomato. Nat. Biotechnol. 2018, 36, 1100–1109. [Google Scholar] [CrossRef]
- Meng, T.; Wang, Q.; Abbasi, P.; Ma, Y. Deciphering differences in the chemical and microbial characteristics of healthy and Fusarium wilt-infected watermelon rhizosphere soils. Appl. Microbiol. Biotechnol. 2019, 103, 1497–1509. [Google Scholar] [CrossRef]
- Cha, J.Y.; Han, S.; Hong, H.J.; Cho, H.; Kim, D.; Kwon, Y.; Kwon, S.K.; Crusemann, M.; Lee, Y.B.; Kim, J.F.; et al. Microbial and biochemical basis of a Fusarium wilt-suppressive soil. ISME J. 2016, 10, 119–129. [Google Scholar] [CrossRef] [PubMed]
- Shen, Z.; Ruan, Y.; Xue, C.; Zhong, S.; Li, R.; Shen, Q. Soils naturally suppressive to banana Fusarium wilt disease harbor unique bacterial communities. Plant Soil 2015, 393, 21–33. [Google Scholar] [CrossRef]
- Shi, W.; Li, M.; Wei, G.; Tian, R.; Li, C.; Wang, B.; Lin, R.; Shi, C.; Chi, X.; Zhou, B.; et al. The occurrence of potato common scab correlates with the community composition and function of the geocaulosphere soil microbiome. Microbiome 2019, 7, 18. [Google Scholar] [CrossRef] [PubMed]
- Fu, L.; Ruan, Y.Z.; Tao, C.Y.; Li, R.; Shen, Q.R. Continous application of bioorganic fertilizer induced resilient culturable bacteria community associated with banana Fusarium wilt suppression. Sci. Rep. 2016, 6, 11. [Google Scholar] [CrossRef] [PubMed]
- Shen, Z.; Zhong, S.; Wang, Y.; Wang, B.; Mei, X.; Li, R.; Ruan, Y.; Shen, Q. Induced soil microbial suppression of banana fusarium wilt disease using compost and biofertilizers to improve yield and quality. Eur. J. Soil Biol. 2013, 57, 27731. [Google Scholar] [CrossRef]
- Kozich, J.J.; Westcott, S.L.; Baxter, N.T.; Highlander, S.K.; Schloss, P.D. Development of a Dual-Index Sequencing Strategy and Curation Pipeline for Analyzing Amplicon Sequence Data on the MiSeq Illumina Sequencing Platform. Appl. Environ. Microbiol. 2013, 79, 5112–5120. [Google Scholar] [CrossRef]
- Caporaso, J.G.; Lauber, C.L.; Walters, W.A.; Berg-Lyons, D.; Lozupone, C.A.; Turnbaugh, P.J.; Fierer, N.; Knight, R. Global patterns of 16S rRNA diversity at a depth of millions of sequences per sample. Proc. Natl. Acad. Sci. USA 2011, 108, 4516–4522. [Google Scholar] [CrossRef]
- Munyaka, P.M.; Eissa, N.; Bernstein, C.N.; Khafipour, E.; Ghia, J.E. Antepartum Antibiotic Treatment Increases Offspring Susceptibility to Experimental Colitis: A Role of the Gut Microbiota. PLoS ONE 2015, 10, e0142536. [Google Scholar] [CrossRef]
- Jiao, S.; Chen, W.; Wang, J.; Du, N.; Li, Q.; Wei, G. Soil microbiomes with distinct assemblies through vertical soil profiles drive the cycling of multiple nutrients in reforested ecosystems. Microbiome 2018, 6, 13. [Google Scholar] [CrossRef] [PubMed]
- Caporaso, J.G.; Kuczynski, J.; Stombaugh, J.; Bittinger, K.; Bushman, F.D.; Costello, E.K.; Fierer, N.; Gonzalez Peña, A.; Goodrich, J.K.; Gordon, J.I.; et al. QIIME allows analysis of high-throughput community sequencing data. Nat. Methods 2010, 7, 335–336. [Google Scholar] [CrossRef] [PubMed]
- Edgar, R.C. UPARSE: Highly accurate OTU sequences from microbial amplicon reads. Nat. Methods 2013, 10, 996–998. [Google Scholar] [CrossRef]
- Wang, Q.; Garrity, G.M.; Tiedje, J.M.; Cole, J.R. Naive Bayesian classifier for rapid assignment of rRNA sequences into the new bacterial taxonomy. Appl. Environ. Microbiol. 2007, 73, 5261–5267. [Google Scholar] [CrossRef]
- Paulson, J.N.; Stine, O.C.; Bravo, H.C.; Pop, M. Differential abundance analysis for microbial marker-gene surveys. Nat. Methods 2013, 10, 1200–1202. [Google Scholar] [CrossRef] [PubMed]
- McMurdie, P.J.; Holmes, S. phyloseq: An R Package for Reproducible Interactive Analysis and Graphics of Microbiome Census Data. PLoS ONE 2013, 8, 11. [Google Scholar] [CrossRef] [PubMed]
- Lozupone, C.; Lladser, M.E.; Knights, D.; Stombaugh, J.; Knight, R. UniFrac: An effective distance metric for microbial community comparison. ISME J. 2011, 5, 169–172. [Google Scholar] [CrossRef]
- Alabouvette, C. Fusarium-wilt suppressive soils from the Chateaurenard region—Review of a 10-year study. Agronomie 1986, 6, 273–284. [Google Scholar] [CrossRef]
- Ma, M.; Jiang, X.; Wang, Q.; Ongena, M.; Wei, D.; Ding, J.; Guan, D.; Cao, F.; Zhao, B.; Li, J. Responses of fungal community composition to long-term chemical and organic fertilization strategies in Chinese Mollisols. MicrobiologyOpen 2018, 7, 12. [Google Scholar] [CrossRef] [PubMed]
- Douglas, G.M.; Maffei, V.J.; Zaneveld, J.; Yurgel, S.N.; Brown, J.R.; Taylor, C.M.; Huttenhower, C.; Langille, M.G.I. PICRUSt2: An improved and customizable approach for metagenome inference. bioRxiv 2020, 672295. [Google Scholar]
- Louca, S.; Parfrey, L.W.; Doebeli, M. Decoupling function and taxonomy in the global ocean microbiome. Science 2016, 353, 1272–1277. [Google Scholar] [CrossRef]
- Sun, R.; Dsouza, M.; Gilbert, J.A.; Guo, X.; Wang, D.; Guo, Z.; Ni, Y.; Chu, H. Fungal community composition in soils subjected to long-term chemical fertilization is most influenced by the type of organic matter. Environ. Microbiol. 2016, 18, 5137–5150. [Google Scholar] [CrossRef]
- Senechkin, I.V.; van Overbeek, L.S.; van Bruggen, A.H.C. Greater Fusarium wilt suppression after complex than after simple organic amendments as affected by soil pH, total carbon and ammonia-oxidizing bacteria. Appl. Soil Ecol. 2014, 73, 148–155. [Google Scholar] [CrossRef]
- Duffy, B.K.; Ownley, B.H.; Weller, D.M. Soil chemical and physical properties associated with suppression of take-all of wheat by Trichoderma koningii. Phytopathology 1997, 87, 1118–1124. [Google Scholar] [CrossRef] [PubMed]
- Lacey, M.J.; Wilson, C.R. Relationship of common scab incidence of potatoes grown in Tasmanian ferrosol soils with pH, exchangeable cations and other chemical properties of those soils. J. Phytopathol.-Phytopathol. Z. 2001, 149, 679–683. [Google Scholar] [CrossRef]
- Hiddink, G.A.; van Bruggen, A.H.C.; Termorshuizen, A.J.; Raaijmakers, J.M.; Semenov, A.V. Effect of organic management of soils on suppressiveness to Gaeumannomyces graminis var. tritici and its antagonist, Pseudomonas fluorescens. Eur. J. Plant Pathol. 2005, 113, 417–435. [Google Scholar] [CrossRef]
- Nam, M.H.; Lee, H.C.; Kim, T.I.; Lee, E.M.; Yoon, H.S. Effect of Nutrition Solution pH and Electrical Conductivity on Fusarium Wilt on Strawberry Plants in Hydroponic Culture. Res. Plant Dis. 2018, 24, 26–32. [Google Scholar] [CrossRef]
- Levin, A.G.; Lavee, S.; Tsror, L. The influence of salinity on Verticillium dahliae in stem cuttings of five olive cultivars. J. Phytopathol. 2007, 155, 587–592. [Google Scholar] [CrossRef]
- Pascual, I.; Azcona, I.; Morales, F.; Aguirreolea, J.; Sanchez-Diaz, M. Growth, yield and physiology of Verticillium-inoculated pepper plants treated with ATAD and composted sewage sludge. Plant Soil 2009, 319, 291–306. [Google Scholar] [CrossRef]
- Saadatmand, A.R.; Banihashemi, Z.; Sepaskhah, A.R.; Maftoun, M. Soil salinity and water stress and their effect on susceptibility to Verticillium wilt disease, ion composition and growth of pistachio. J. Phytopathol. 2008, 156, 287–292. [Google Scholar] [CrossRef]
- Aviles, M.; Borrero, C. Identifying Characteristics of Verticillium Wilt Suppressiveness in Olive Mill Composts. Plant Dis. 2017, 101, 1568–1577. [Google Scholar] [CrossRef]
- Jiang, J.F.; Li, J.G.; Dong, Y.H. Effect of calcium nutrition on resistance of tomato against bacterial wilt induced by Ralstonia solanacearum. Eur. J. Plant Pathol. 2013, 136, 547–555. [Google Scholar] [CrossRef]
- Dominguez-Hernandez, J.D.; Negrin-Medina, M.A.; Rodriguez-Hernandez, C.M. Potassium Selectivity in Transported Volcanic Soils (Sorribas) under Banana Cultivation in Relation to Banana-Wilt Expression Caused by Fusarium oxysporum f. sp Cubense. Commun. Soil Sci. Plant Anal. 2010, 41, 1674–1692. [Google Scholar] [CrossRef]
- Duan, C.; Xue, Q.; Hu, S.; Zhao, J.; Wei, Y.; Wang, L.; Shen, G.; Chen, Q. Microbial ecology of Fusarium wilt infected and healthy cucumber plant in root zone of continuous cropping soil. J. Northwest A F Univ. Nat. Sci. Ed. 2010, 38, 143–150. [Google Scholar]
- Deng, X.; Li, Q.F.; Wu, C.Y.; Liu, J.K. Influence of the Number of Pathogen Causing Banana Fusarium Wilt and Soil Factors on the Infection Degree of Banana Plants. In Proceedings of the 3rd International Conference on Chemical Engineering and Advanced Materials (CEAM 2013), Guangzhou, China, 6–7 July 2013; Trans Tech Publications Ltd.: Guangzhou, China, 2013; pp. 1989–1993. [Google Scholar]
- Hong, S.; Jv, H.L.; Yuan, X.F.; Geng, J.J.; Wang, B.B.; Zhao, Y.; Wang, Q.; Li, R.; Jia, Z.J.; Ruan, Y.Z. Soil Organic Nitrogen Indirectly Enhances Pepper-Residue-Mediated Soil Disease Suppression through Manipulation of Soil Microbiome. Agronomy 2022, 12, 2077. [Google Scholar] [CrossRef]
- Zhang, X.Z.; Sa, R.N.; Gao, J.Y.; Wang, C.L.; Liu, D.W.; Zhang, Y.J. Preventive Effect of Vermicompost against Cucumber Fusarium Wilt and Improvement of Cucumber Growth and Soil Properties. Int. J. Agric. Biol. 2020, 23, 515–521. [Google Scholar]
- Liu, X.; Zhang, Y.; Ren, X.J.; Chen, B.H.; Shen, C.W.; Wang, F. Long-term greenhouse vegetable cultivation alters the community structures of soil ammonia oxidizers. J. Soils Sediments 2019, 19, 883–902. [Google Scholar] [CrossRef]
- Nayyar, A.; Hamel, C.; Lafond, G.; Gossen, B.D.; Hanson, K.; Germida, J. Soil microbial quality associated with yield reduction in continuous-pea. Appl. Soil Ecol. 2009, 43, 115–121. [Google Scholar] [CrossRef]
- He, L.; Chen, Y.; Chen, J.; Tong, X.; Han, C. Changes of Microelements, Pathogenic Bacteria and Yield of Straw Nutrition Medium in Continuous Cropping of Cucumber. J. Shenyang Agric. Univ. 2010, 41, 13–17. [Google Scholar]
- Liu, K.; McInroy, J.A.; Hu, C.H.; Kloepper, J.W. Mixtures of Plant-Growth-Promoting Rhizobacteria Enhance Biological Control of Multiple Plant Diseases and Plant-Growth Promotion in the Presence of Pathogens. Plant Dis. 2018, 102, 67–72. [Google Scholar] [CrossRef] [PubMed]
- Ciancio, A.; Pieterse, C.M.J.; Mercado-Blanco, J. Editorial: Harnessing Useful Rhizosphere Microorganisms for Pathogen and Pest Biocontrol. Front. Microbiol. 2016, 7, 5. [Google Scholar] [CrossRef]
- Doornbos, R.F.; van Loon, L.C.; Bakker, P. Impact of root exudates and plant defense signaling on bacterial communities in the rhizosphere. A review. Agron. Sustain. Dev. 2012, 32, 227–243. [Google Scholar] [CrossRef]
- Janvier, C.; Villeneuve, F.; Alabouvette, C.; Edel-Hermann, V.; Mateille, T.; Steinberg, C. Soil health through soil disease suppression: Which strategy from descriptors to indicators? Soil Biol. Biochem. 2007, 39, 1–23. [Google Scholar] [CrossRef]
- Sarma, B.K.; Yadav, S.K.; Singh, S.; Singh, H.B. Microbial consortium-mediated plant defense against phytopathogens: Readdressing for enhancing efficacy. Soil Biol. Biochem. 2015, 87, 25–33. [Google Scholar] [CrossRef]
- Panke-Buisse, K.; Poole, A.C.; Goodrich, J.K.; Ley, R.E.; Kao-Kniffin, J. Selection on soil microbiomes reveals reproducible impacts on plant function. ISME J. 2015, 9, 980–989. [Google Scholar] [CrossRef] [PubMed]
- Raaijmakers, J.M.; Paulitz, T.C.; Steinberg, C.; Alabouvette, C.; Moenne-Loccoz, Y. The rhizosphere: A playground and battlefield for soilborne pathogens and beneficial microorganisms. Plant Soil 2009, 321, 341–361. [Google Scholar] [CrossRef]
- Sanguin, H.; Sarniguet, A.; Gazengel, K.; Moenne-Loccoz, Y.; Grundmann, G.L. Rhizosphere bacterial communities associated with disease suppressiveness stages of take-all decline in wheat monoculture. New Phytol. 2009, 184, 694–707. [Google Scholar] [CrossRef]
- Trivedi, P.; Delgado-Baquerizo, M.; Trivedi, C.; Hamonts, K.; Anderson, I.C.; Singh, B.K. Keystone microbial taxa regulate the invasion of a fungal pathogen in agro-ecosystems. Soil Biol. Biochem. 2017, 111, 10–14. [Google Scholar] [CrossRef]
- Depoorter, E.; Bull, M.J.; Peeters, C.; Coenye, T.; Vandamme, P.; Mahenthiralingam, E. Burkholderia: An update on taxonomy and biotechnological potential as antibiotic producers. Appl. Microbiol. Biotechnol. 2016, 100, 5215–5229. [Google Scholar] [CrossRef] [PubMed]
- Groenhagen, U.; Baumgartner, R.; Bailly, A.; Gardiner, A.; Eberl, L.; Schulz, S.; Weisskopf, L. Production of bioactive volatiles by different Burkholderia ambifaria strains. J. Chem. Ecol. 2013, 39, 892–906. [Google Scholar] [CrossRef] [PubMed]
- Li, M.Z.; Chen, Z.J.; Qian, J.; Wei, F.G.; Zhang, G.Z.; Wang, Y.; Wei, G.F.; Hu, Z.G.; Dong, L.L.; Chen, S.L. Composition and function of rhizosphere microbiome of Panax notoginseng with discrepant yields. Chin. Med. 2020, 15, 12. [Google Scholar] [CrossRef] [PubMed]
- Cain, C.C.; Henry, A.T.; Waldo, R.H.; Casida, L.J.; Falkinham, J.O. Identification and characteristics of a novel Burkholderia strain with broad-spectrum antimicrobial activity. Appl. Environ. Microbiol. 2000, 66, 4139–4141. [Google Scholar] [CrossRef] [PubMed]
- Sun, J.H.; Yang, L.; Wei, J.; Quan, J.N.; Yang, X.T. The responses of soil bacterial communities and enzyme activities to the edaphic properties of coal mining areas in Central China. PLoS ONE 2020, 15, 16. [Google Scholar] [CrossRef] [PubMed]
- Bollmann, A.; Sedlacek, C.J.; Norton, J.; Laanbroek, H.J.; Suwa, Y.; Stein, L.Y.; Klotz, M.G.; Arp, D.; Sayavedra-Soto, L.; Lu, M.; et al. Complete genome sequence of Nitrosomonas sp. Is79, an ammonia oxidizing bacterium adapted to low ammonium concentrations. Stand. Genom. Sci. 2013, 7, 469–482. [Google Scholar]
- Wang, W.J.; Liu, A.R.; Fu, W.T.; Peng, D.L.; Wang, G.; Ji, J.; Jin, C.; Guan, C.F. Tobacco-associated with Methylophilus sp. FP-6 enhances phytoremediation of benzophenone-3 through regulating soil microbial community, increasing photosynthetic capacity and maintaining redox homeostasis of plant. J. Hazard. Mater. 2022, 431, 15. [Google Scholar] [CrossRef]
- Meiler, D.; Taylor, A. The effect of cochliodinol, a metabolite of Chaetomium cochliodes, on the respiration of microsopores of Fusarium oxysporum. Can. J. Microbiol. 1971, 17, 83–86. [Google Scholar] [CrossRef] [PubMed]
- Park, J.H.; Choi, G.J.; Jang, K.S.; Lim, H.K.; Kim, H.T.; Cho, K.Y.; Kim, J.C. Antifungal activity against plant pathogenic fungi of chaetoviridins isolated from Chaetomium globosum. FEMS Microbiol. Lett. 2005, 252, 309–313. [Google Scholar] [CrossRef]
- Li, W.; Yang, X.Q.; Yang, Y.B.; Duang, R.T.; Chen, G.Y.; Li, X.Z.; Li, Q.L.; Qin, S.H.; Li, S.Q.; Zhao, L.X.; et al. Anti-phytopathogen, multi-target acetylcholinesterase inhibitory and antioxidant activities of metabolites from endophytic Chaetomium globosum. Nat. Prod. Res. 2016, 30, 2616–2619. [Google Scholar] [CrossRef] [PubMed]
- Berendsen, R.L.; Pieterse, C.M.; Bakker, P.A. The rhizosphere microbiome and plant health. Trends Plant Sci. 2012, 17, 478–486. [Google Scholar] [CrossRef] [PubMed]
- Mendes, R.; Kruijt, M.; de Bruijn, I.; Dekkers, E.; van der Voort, M.; Schneider, J.H.M.; Piceno, Y.M.; DeSantis, T.Z.; Andersen, G.L.; Bakker, P.; et al. Deciphering the Rhizosphere Microbiome for Disease-Suppressive Bacteria. Science 2011, 332, 1097–1100. [Google Scholar] [CrossRef]









| Site | Test Abbreviation (Abbr) | Longitude (E) | Latitude (N) | Altitude (m) | Soil Type |
|---|---|---|---|---|---|
| Cucumber Fusarium wilt disease serious place | S | 112.7611 | 34.6649 | 131 | loam soil |
| Cucumber Fusarium wilt disease light place | R | 112.7613 | 34.6653 | 131 | loam soil |
| Places where cucumber wilt does not occur | HR | 112.7615 | 34.6639 | 131 | loam soil |
Disclaimer/Publisher’s Note: The statements, opinions and data contained in all publications are solely those of the individual author(s) and contributor(s) and not of MDPI and/or the editor(s). MDPI and/or the editor(s) disclaim responsibility for any injury to people or property resulting from any ideas, methods, instructions or products referred to in the content. |
© 2023 by the authors. Licensee MDPI, Basel, Switzerland. This article is an open access article distributed under the terms and conditions of the Creative Commons Attribution (CC BY) license (https://creativecommons.org/licenses/by/4.0/).
Share and Cite
Yang, F.; Jiang, H.; Chang, G.; Liang, S.; Ma, K.; Cai, Y.; Tian, B.; Shi, X. Effects of Rhizosphere Microbial Communities on Cucumber Fusarium wilt Disease Suppression. Microorganisms 2023, 11, 1576. https://doi.org/10.3390/microorganisms11061576
Yang F, Jiang H, Chang G, Liang S, Ma K, Cai Y, Tian B, Shi X. Effects of Rhizosphere Microbial Communities on Cucumber Fusarium wilt Disease Suppression. Microorganisms. 2023; 11(6):1576. https://doi.org/10.3390/microorganisms11061576
Chicago/Turabian StyleYang, Fan, Huayan Jiang, Gaozheng Chang, Shen Liang, Kai Ma, Yuxin Cai, Baoming Tian, and Xuanjie Shi. 2023. "Effects of Rhizosphere Microbial Communities on Cucumber Fusarium wilt Disease Suppression" Microorganisms 11, no. 6: 1576. https://doi.org/10.3390/microorganisms11061576
APA StyleYang, F., Jiang, H., Chang, G., Liang, S., Ma, K., Cai, Y., Tian, B., & Shi, X. (2023). Effects of Rhizosphere Microbial Communities on Cucumber Fusarium wilt Disease Suppression. Microorganisms, 11(6), 1576. https://doi.org/10.3390/microorganisms11061576
