Abstract
Bacteria, fungi, and protists occupy a pivotal position in maintaining soil ecology. Despite limited knowledge on their responses to managed vegetation restoration strategies in karst regions, we aimed to study the essential microbial communities involved in the process of vegetation restoration. We compared microbial characteristics in four land use types: planted forests (PF), forage grass (FG), a mixture of plantation forest and forage grass (FF), and cropland (CR) as a reference. Our findings revealed that the richness of bacteria and protists was higher in FF compared to PF, while fungal richness was lower in both PF and FF than in CR. Additionally, the bacterial Shannon index in FF was higher than that in CR and PF, while the fungal and protist Shannon indices were similar across all four land use types. Significant differences were observed in the compositions of bacterial, fungal, and protist communities between FF and the other three land use types, whereas bacterial, fungal, and protist communities were relatively similar in PF and FG. In FF, the relative abundance of bacterial taxa Acidobacteria, Firmicutes, and Gemmatimonadetes was significantly higher than in PF and CR. Fungal communities were dominated by Ascomycota and Basidiomycota, with the relative abundance of Ascomycota significantly higher in FF compared to other land use types. Regarding protistan taxa, the relative abundance of Chlorophyta was higher in FF compared to CR, PF, and FG, while the relative abundance of Apicomplexa was higher in CR compared to FF. Importantly, ammonium nitrogen, total phosphorus, and microbial biomass nitrogen were identified as key soil properties predicting changes in the diversity of bacteria, fungi, and protists. Our results suggest that the microbial community under FF exhibits greater sensitivity to vegetation restoration compared to PF and FG. This sensitivity may stem from differences in soil properties, the formation of biological crusts and root systems, and management activities, resulting in variations in bacterial, fungal, and protist diversity and taxa in PF. As a result, employing a combination restoration strategy involving plantation forest and forage grass proves to be an effective approach to enhance the microbial community and thereby improve ecosystem functionality in ecologically fragile areas.
1. Introduction
Bacteria, fungi, and protists play an important role in soil ecosystems, with their interactions being crucial for maintaining soil biodiversity [1]. For instance, protists prey upon other microorganisms, establishing complex food chain [2]. These microbial communities, through their mutual relationships, decompose organic matter more efficiently, releasing vital nutrients for plant absorption [3]. Consequently, these microorganisms significantly contribute to enhancing soil nutrient availability, increasing plant productivity, and sustaining ecological balance [4,5].
The diversity and composition of bacterial, fungal, and protistan communities can be significantly influenced by different land use types [6]. Variations in litter and fertilizer input, organic matter decomposition, and plant community structure can all alter soil nutrient availability, thereby regulating microbial diversity and activity. For instance, vegetation restoration from cropland, particularly when it involves diverse plant species and sustainable management practices, has been shown in numerous studies to increase soil carbon (C) and nitrogen (N) stocks [7,8,9,10]. However, there are also instances where vegetation restoration projects have led to a decrease in soil mesoaggregate-associated organic C stocks [11], while soil C and N stocks have remained unchanged or even decreased following afforestation with pine [12]. These conflicting results suggest that the accumulation of soil nutrients following cropland conversion is highly uncertain and may depend on the type and duration of the restoration strategy [13]. Additionally, compared to vegetation restoration, the application of organic and inorganic fertilizers in croplands increases soil nutrient levels, such as available phosphorus (P) [14]. Furthermore, different vegetation restoration strategies, coupled with variations in plant root biomass and root exudates, further influence the distribution of microbial communities [15,16,17,18].
Bacteria, fungi, and protists demonstrate distinct advantages in various nutrient environments. Typically, microbial biomass and activity are positively associated with soil organic matter, as it serves as a source of carbohydrates for microbial growth [19,20]. However, N-enriched conditions can decrease the relative abundance of certain bacterial taxa (e.g., Actinobacteria and Nitrospirae) [21], while increasing the abundance of Ascomycota fungi [22]. Previous studies suggest that fungi, compared to bacteria, exhibit greater adaptability to N-limited environments, indicating distinct response mechanisms to varying nutrient levels [23]. Plant woody debris and fallen leaves are typically preferentially decomposed by fungi (e.g., saprotrophic Ascomycota and Basidiomycota), as they possess strong capabilities for lignin degradation [24,25,26]. In this context, fungi thrive under vegetation restoration with planted trees because of the higher input of plant litter compared to cropland. Conversely, the application of fertilizers in cropland favors bacterial growth over fungi, resulting in a bacterial-dominated food web [27]. Predatory protists act as primary consumers of fungi and bacteria, and any changes in the abundance and diversity of bacteria and fungi further influence the prey availability for protists [28,29,30]. Therefore, the correlation among bacterial, fungal, and protistan taxa can be significantly influenced by different land use types.
Karst ecosystems are widespread in southwestern China and are renowned for their unique geological characteristics [31]. Karst areas are characterized by a thin soil layer, with karst erosion leading to high permeability of bedrock and limited water storage capacity [32]. Over the past century, the rapid growth of the population has led to the extensive conversion of land for agricultural purposes, causing significant land degradation and desertification [33,34]. To address these pressing issues, various vegetation restoration projects have been implemented in degraded karst ecosystems. These include artificial forestation, natural grassland restoration, and forest–grass mixed planting strategies [35,36]. These efforts aim to restore the ecological balance and enhance soil fertility in these fragile environments. Several studies have highlighted the changes in soil microbial functioning in karst environments, particularly concerning plant communities and soil properties [37,38]. However, most of these studies have primarily focused on bacteria and fungi [39,40], leaving a significant knowledge gap regarding protists and their interactive relationships with other soil microorganisms. Given the crucial role of protists in soil ecosystems as primary consumers of bacteria and fungi, it is imperative to fill this gap, especially in the context of managed vegetation restoration strategies [41]. Consequently, there is a need for more detailed knowledge to elucidate the effects of different managed vegetation restoration strategies on bacteria, fungi, and protists in the karst region.
To explore the pivotal microbial communities involved in managed vegetation restoration, we conducted a study on the diversity and community composition of bacteria, fungi, and protists in the karst region. This study delved into three managed vegetation restoration strategies: plantation forest (PF), forage grass (FG), and a mixed approach combining both plantation forest and forage grass (FF). To provide a baseline comparison, cropland (CR) was employed as a control. Our aim was to investigate the characteristics of bacteria, fungi, and protists during vegetation restoration. We hypothesized that a mixed approach combining both plantation forest and forage grass would exert a greater influence on microbial diversity and community composition, as compared to other restoration strategies, by enhancing soil nutrients and promoting a more diverse plant community.
2. Materials and Methods
2.1. Study Area
The experimental area is situated in the Guzhou catchment (24°54′–24°55′ N, 107°56′–107°57′ E) within Huanjiang County, Guangxi Zhuang Autonomous Region, Southwest China. This region experiences a subtropical monsoon climate, characterized by an average annual temperature and average annual precipitation of 16.9 °C and 1675 mm, respectively. The rainy season primarily occurs from April to September. The Guzhou catchment covers an area of 10 km2. The parent rock is limestone, and the soil type is calcareous. The study area is representative of a typical karst landscape, featuring a gently sloping depression at its center surrounded by clusters of steep hills. Bedrock outcrops are high on the slopes compared to the peak-cluster depression area. Soil depth ranges from 50 to 80 cm in the peak-cluster depression to 10 to 30 cm on the slopes.
Before the 1980s, intense deforestation and cultivation accelerated soil and nutrient loss, leading to land degradation and severe desertification in the area. To address these issues, large-scale ecological projects such as returning farmland to forests and implementing ecological migration were initiated for ecological restoration. Artificial economic forests have been established to replace traditional farmland, particularly in sloped positions where maize–soybean rotation was common. Many sloping farmlands have been naturally replaced by planting grass and economic trees. For this study, a total of 16 plots were established (four treatments × four replication) from 2004, with each plot measuring 20 m × 20 m. The treatments included forage grass (FG), planted forests (PF), a mixture of plantation forest and forage grass (FF), and cropland (CR) as a reference (Figure 1).
Figure 1.
(a) Schematic map showing the location of the study area. and the selection of four land-use types, including (b) Cropland rotation (CR); (c) plantation forest (PF); (d) forage grass (FG); and (e) plantation forest and forage grass mixed (FF).The FG plots were planted with Guimu-1 hybrid elephant grass, a perennial grass species characterized by its high biomass. This grass can be harvested three to four times annually for use as beef feed. The PF plots were primarily planted with Zenia insignis. The leaves of Z. insignis can be used as additives for beef feed, while the wood can be utilized for constructing houses, furniture, tools, and other purposes. The FF plots were planted with Zenia insignis and Guimu-1 hybrid elephant grass. At the CR plots, maize and soybeans were rotated. Compound fertilizer, comprising both inorganic fertilizer and farm manure, was applied during planting for both maize and soybeans, to enhance their growth and yield.
2.2. Soil Sampling
Soil sampling for this study was conducted in August 2022. At each plot, eight sampling points were randomly selected after removing the surface stubble and litter layer. Subsequently, soil samples from these eight points were combined to create one composite sample per plot. The soil samples collected from each plot were sieved through a 2 mm sieve to remove any coarse debris, plant roots, or stones.
The soil samples were divided into three parts for different analytical purposes. One portion of the soil samples was allowed to air dry naturally. These dried samples were used to determine the physical and chemical properties of the soil. Another portion of the soil samples was stored at 4 °C for microbial biomass determination. A third portion of the soil samples was stored in a refrigerator at −80 °C for DNA extraction.
2.3. Experimental Analysis Methods
2.3.1. Soil Properties Analysis
Soil pH was measured using a 1:2.5 soil-to-water ratio via a pH meter (meterFE20K; Mettler-Toledo, Greifensee, Switzerland). Soil organic C (SOC) was determined using the dichromate redox colorimetric method. Total N (TN) in the soil was analyzed using an automatic elemental analyzer. Total P (TP) content in the soil was determined using the method of ascorbic acid molybdate. Available P (AP) was measured using the molybdenum blue method. Total K (TK) content in the soil was determined by melting sodium hydroxide and the flame photometric method. Available K (AK) content in the soil was determined by ammonium acetate leaching and the flame photometric method. Exchangeable calcium (Ca2+) and magnesium (Mg2+) in the soil were determined using inductively coupled plasma optical emission spectrometry (ICP-OES) after ammonium acetate exchange (Agilent, Santa Clara, CA, USA). Soil microbial biomass C (MBC) and microbial biomass N (MBN) were determined using the chloroform fumigation extraction method. Ammonium (NH4+) and nitrate (NO3−) in the soil were determined by KCl extraction procedures. Soil dissolved organic C (DOC) was extracted using a solution of 0.5 M K2SO4 with a soil-to-solution ratio of 1:5 (w/v) and analyzed using a total organic C analyzer. Soil dissolved organic N (DON) was calculated indirectly by subtracting the amount of mineral N (NH4+ and NO3−) from the total dissolved N in the soil extract [42,43].
2.3.2. Soil DNA Extraction
To extract total soil DNA, 0.3 g of soil samples, stored at −80 °C, were weighed using the FAST DNA spin kit for soil (MP Biomedicals, Eschwege, Germany), following the specific procedure outlined in the kit’s instruction manual. The quality of the genomic DNA was assessed through agarose gel electrophoresis (1%), while the concentration and purity of the extracted DNA were determined using an ultraviolet spectrophotometer (NanoDrop2000, Thermo Fisher Scientific, Waltham, MA, USA).
2.3.3. Amplicon Sequencing and Sequence Analysis
The primer pairs used for amplifying the bacterial 16S rDNA gene were 338F (ACTCCTACGGGAGGCAGCAG) and 806R (GGACTACHVGGGTWTCTAAT). For the amplification of fungal ITS genes, the primer set ITS1F (CTTGGTCATTTAGAGGAAGTAA) and ITS2R (GCTGCGTTCTTCATCGATGC) was employed [44]. For the amplification of protist 18S rRNA genes, the primer set (CCAGCA(G/C)C(C/T) GCGGTAATTCC) and TAReukREV3 (ACTTTCGTTCTTGAT (C/T; A/G)A) was used [45].
The PCR reaction systems comprising a 20 μL mixture containing 10 ng of DNA template, 0.8 μL of each primer (5 μM), 2 μL of 2.5 mM dNTPs, 4 μL of 5× FastPfu buffer, 0.4 μL of TaKaRa rTaq DNA polymerase, 0.2 μL of BSA, and sterile water to adjust the volume. For the amplification of bacterial 16S rDNA gene, the PCR conditions were an initial denaturation at 95 °C for 3 min, followed by 27 cycles of denaturation at 95 °C for 30 s, annealing at 55 °C for 30 s, extension at 72 °C for 45 s, and a final extension at 72 °C for 10 min. For fungal ITS, the PCR program involved an initial denaturation at 95 °C for 3 min, followed by 35 cycles of denaturation at 95 °C for 30 s, annealing at 55 °C for 30 s, extension at 72 °C for 45 s, and a final extension at 72 °C for 10 min. For the protist 18S rRNA gene, the PCR conditions were as follows: an initial denaturation step at 95 °C for 5 min, followed by 10 cycles of denaturation at 94 °C for 30 s, annealing at 57 °C for 45 s, and extension at 72 °C for 60 s. This was followed by 25 cycles of denaturation at 94 °C for 30 s, annealing at 45, 47, 48, and 49 °C for 45 s each, and extension at 72 °C for 60 s. The reaction concluded with a final elongation step at 72 °C for 2 min. To mitigate PCR biases at the reaction level, the three PCR products obtained from each sample were pooled. The PCR products were sent to Shanghai Meiji Biomedical Technology Co. for high-throughput sequencing.
The QIIME v2–2020.2 environment was employed for conducting bioinformatics analyses on all sequence read data. In particular, the raw sequences were denoised to identify amplicon sequence variants (ASVs) using the “data2” plugin. For bacteria, fungi, and protists, the parameter was set to 420, 280, and 400 base pairs (bp), respectively. Following that, reference sequences from SILVA (version 132) were used for bacteria, UNITE (version 9.0) for fungi, and PR2 (version 4.14.0) for protists to train the classifier, ensuring precise taxonomic assignment to the ASVs. After denoising and taxonomic assignment, the ASV table was rarefied using the “rrarefy” function from the “vegan” package (version 2.5.7) in R. In this study, the number of reads obtained from bacteria ranged from 37,842 to 82,776, with an average of 67,366. For fungi, the number of reads ranged from 73,523 to 163,087, with an average of 101,600. Additionally, the number of reads obtained from protists ranged from 18,114 to 64,086, with an average of 39,982. The rarefaction process entailed normalizing the sequence counts to the same sequencing depth, utilizing the lowest number of obtained reads as a reference, through the “rrarefy” function from the vegan (v2.6-4) R package. This ensured a consistent basis for comparison when computing the microbial diversity index. In this study, microbial diversity, including richness and the Shannon index, was calculated using the “RAM v1.2.1.7” R package. More detail about the sequence analysis can be found in our previous studies [46,47].
2.4. Statistical Analysis
The present study examined the effect of land use types on the community composition, richness, and the Shannon index of bacteria, fungi, and protists. The differences in soil properties and the diversity of bacteria, fungi, and protists were assessed using ANOVA with Duncan’s post hoc test (with a significance level set at p < 0.05). To visualize the dissimilarities among bacterial, fungal, and protist communities based on ASVs, we employed non-metric multidimensional scaling (NMDS) using the “metaMDS” function from the vegan (v2.6-4) R package, utilizing the Bray–Curtis distance etric. Two axes were generated and visualized using the ggplot2 (v3.4.2) R package. Subsequently, we conducted a similarities analysis (ANOSIM) to assess significant differences in the compositions of bacterial, fungal, and protistan communities based on ASVs within pairwise treatments. A two-way ANOVA and permutation multivariate analysis of variance (PERMANOVA) were conducted using the R function “aov” to assess the impacts of economic tree species, planted grass, and their interactions on bacterial, fungal, and protistan diversity, as well as community composition. Additionally, Pearson’s correlation analysis was conducted to assess the relationships between the bacterial, fungal, and protistan taxa, revealing patterns of association. Furthermore, a random forest model was employed to identify the relative importance of soil properties in explaining changes in microbial diversity. The entire data processing was conducted using R version 3.6.3 (R Core Team).
3. Results
3.1. Soil Physicochemical Properties
The contents of TP, AP, AK, NO3−, and Mg2+ were significantly influenced by vegetation restoration efforts. Specifically, TP, AP, AK, NO3−, and Mg2+ levels in the CR were higher than those observed in the three vegetation restoration types. Conversely, the NH4+ was lower in CR compared to PF, FG, and FF. There were no significant differences in TP, NH4+, AP, and AK levels between PF, FG, and FF. The DON, MBC, and MBN were significantly higher in PF compared to CR and FG (Figure S1).
3.2. The Diversity and Community Compositions of Bacteria, Fungi, and Protist
The richness of bacteria and protist is higher in FF compared to PF. Fungal richness was higher in CR than in PF and FF. Furthermore, the bacterial Shannon index was higher in FF compared to CR and PF. Similar levels of fungal and protistan Shannon index were observed across the four land use types (Figure 2).
Figure 2.
The richness and Shannon index under different vegetation restoration types. (a) bacteria richness; (b) fungi richness; (c) protist richness; (d) bacteria Shannon index; (e) fungi Shannon index; (f) protist Shannon index. CR, PF, FG, and FF represent cropland, planted forests, forage grass, and a mixture of plantation forest and forage grass, respectively. Significant differences (p < 0.05) among these vegetation restoration types are denoted by lowercase letters.
Compared to the diversity of bacteria, fungi, and protists, their community composition was more influenced by the interactions between economic tree species and planted grass (Table 1). The non-metric multidimensional scaling (NMDS) ordination revealed variations in the community composition of bacteria, fungi, and protist across different land use types. Notably, according to the similarities analysis, we observed that the bacterial, fungal, and protistan communities in FF exhibited a distinct composition compared to other vegetation restoration types of PF, FG, and FF. Conversely, the bacterial, fungal, and protistan communities showed relatively similar compositions among the CR, PF, and FG (Figure 3).
Table 1.
Effects of economic tree species (Tree), planted grass (Grss), and their interactions on bacterial, fungal, and protistan diversity and community composition.
Figure 3.
(a) Non-metric multidimensional scaling (NMDS) ordinations of bacterial community compositions, (b) Non-metric multidimensional scaling (NMDS) ordinations of fungal community compositions, (c) Non-metric multidimensional scaling (NMDS) ordinations of protistan community compositions. Significant results of the community composition within pairwise treatments, as determined by the analysis of similarity, are denoted by “*” at p < 0.05. CR, PF, FG, and FF represent cropland, planted forests, forage grass, and a mixture of plantation forest and forage grass, respectively.
The bacterial community composition at the phylum level was primarily dominated by Actinobacteria, Proteobacteria, and Acidobacteria. The relative abundance of Acidobacteria, Chloroflexi, Firmicutes, and Gemmatimonadetes was higher in FF compared to PF and CR, with the exception of Chloroflexi in PF. Conversely, the relative abundance of Proteobacteria and unclassified taxa was lower in FF compared to the other three land use types (Figure 4). At the genus level, Bacillus, Bradyrhizobium, Gaiella, and Pedomicrobium were among the bacterial taxa with the highest relative abundance, although a significant portion of bacteria belonged to unclassified taxa. The relative abundance of Bacillus and Bradyrhizobium was notably higher in FF compared to CR and PF (Figure S2). The fungal community was dominated by Ascomycota and Basidiomycota. The relative abundance of Ascomycota was higher in FF compared to the other land use types, while the trend for unclassified taxa was opposite. Basidiomycota was more abundant in PF than in CR and FF. The relative abundance of Mucoromycota was more prevalent in FF compared to PF and FG (Figure 4). At the genus level, Archaeorhizomyces, Mortierella, and Trichoderma were the dominant taxa for fungi. The Mortierella exhibited a higher relative abundance in the FF compared to the CR, PF, and FG, while Archaeorhizomyces showed the opposite trend (Figure S2). The main protist phyla were Chlorophyta, Conosa, and Cercozoa. The relative abundance of Apicomplexa was higher in CR than in FF. The relative abundance of Chlorophyta was higher in FF than in CR, PF, and FG. In contrast, the relative abundance of unclassified taxa was higher in CR, PF, and FG compared to FF (Figure 4). At the genus level of protists, Acramoeba and Filamoeba were the prominent taxa. The relative abundance of Acramoeba was lower in FF compared to PF and FG (Figure S2).
Figure 4.
(a) Relative abundance of bacteria taxa at the phylum level. (b) Relative abundance of fungal taxa at the phylum level. (c) Relative abundance of protistan taxa at the phylum level.CR, PF, FG, and FF represent cropland, planted forests, forage grass, and a mixture of plantation forest and forage grass, respectively. The “*” indicates significant differences (p < 0.05) among these vegetation restoration types are denoted by lowercase letters.
3.3. Relationships among Bacterial, Fungal, and Protistan Taxa
Pearson’s correlation coefficients revealed relationships among bacterial, fungal, and protistan taxa. The relative abundance of the protistan phylum Apicomplexa was negatively correlated with the bacterial phylum Firmicutes. The relative abundance of the protistan phylum Chlorophyta was positively correlated with the bacterial phyla Chloroflexi and Firmicutes, while negatively correlated with the fungal phylum Basidiomycota. Additionally, the relative abundance of the protistan phylum Ochrophyta was positively correlated with the fungal phyla Ascomycota and Mucoromycota but negatively correlated with Basidiomycota (Figure 5). Moreover, at the genus level, the predatory protozoans Acramoeba and Filamoeba exhibit a negative correlation with fungal groups such as Cyberlindnera, while demonstrating a positive correlation with unclassified fungal taxa. Additionally, the predatory protozoan Platyophrya shows a negative correlation with bacterial taxa like Bacillus and fungal taxa like Trichoderma (Figure S3).
Figure 5.
Pearson’s correlation revealing relationships among the phylum-level abundance of bacteria, fungi, and protists. Circle size represents correlation strength, with larger circles indicating stronger correlations. Significant correlation is indicated by asterisks (* p < 0.05; ** p < 0.01).
3.4. Key Factors Regulating Microbial Diversity
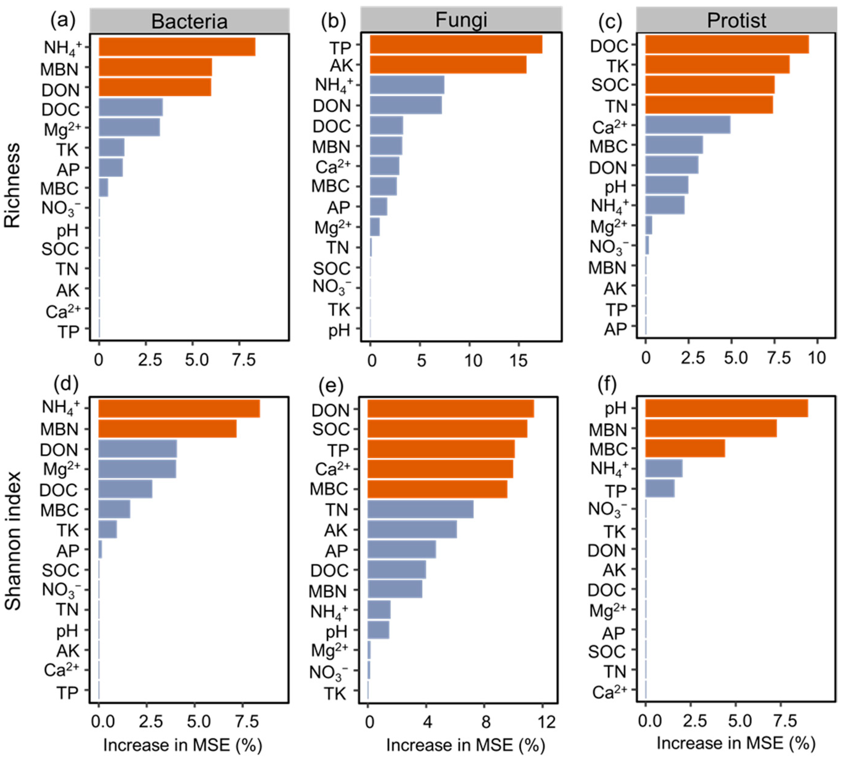
Among these environmental factors, NH4+, MBN, and DON were identified as the primary predictors of variations in bacterial richness. NH4+ and MBN emerged as the strongest predictors of the bacterial Shannon index. TP and AK were highlighted as the most important significant predictors of fungal richness, while DON, SOC, TP, Ca2+, and MBC were identified as the most important significant predictors of the fungal Shannon index. Additionally, DOC, TK, SOC, and TN emerged as the strongest predictors of protistan richness, while pH, MBN, and MBC were identified as the most important significant predictors of the protistan Shannon index (Figure 6).
Figure 6.
(a–c) Random forests models showing the effects of soil properties on bacterial, fungal, protistan richness. (d–f) Random forests models showing the effects of soil properties on bacterial, fungal, protistan Shannon index. The color orange denotes the most important effects.
4. Discussion
4.1. Effects of Vegetation Restoration on the Diversity of Bacteria, Fungi, and Protist
Vegetation restoration is an effective strategy for improving soil nutrient availability by fostering litter decomposition and enhancing the input of root exudates [48]. It is widely recognized that alterations in soil microbial communities are intimately linked to changes in plant community structure and soil properties [49]. Our findings provide insights into the impact of vegetation restoration strategies on soil bacterial communities in karst regions. Specifically, our results demonstrate that bacterial richness and Shannon index are highest in FF, significantly surpassing those of PF. The mixed forests of trees and grasses found in FF provide a more diverse array of resources and ecological niches for bacteria, enhancing bacterial diversity compared to the monoculture plantations in PF [50]. Moreover, the presence of more plant roots in FF compared to other land use types helps mitigate soil erosion and nutrient loss, thereby preserving soil quality and resulting in an increase in soil bacterial richness and Shannon index in FF [9,51].
Fungi play a crucial role in plant detritus decomposition [52]. Previous studies have reported a positive correlation between plant detritus production and fungal diversity [53,54]. Many studies have observed higher fungal diversity in vegetated areas compared to agricultural lands [55]. However, there are also studies that present contrasting findings. For instance, converting rainforests into rubber plantations led to an increase in the abundance of mycorrhizal fungi, accompanied by a rise in bacterial abundance as well [56]. These inconsistent results suggest that the impact of land use types on fungal diversity may vary depending on specific soil conditions and vegetation cover. In our study, we observed higher fungal richness in CR compared to PF and FF. This could be attributed to the stimulation of fast-growing opportunistic fungi by fertilizer addition, while slow-growing fungal decomposers may not be similarly affected [57]. Additionally, previous research has shown that soil nutrient availability, such as AP, has a positive impact on soil fungal diversity. Therefore, the higher soil nutrient availability (e.g., AP) observed in CR compared to vegetation restoration areas could contribute to the increased fungal diversity in croplands.
The diversity trends observed among protists align closely with those of bacteria, with both exhibiting the highest levels in FF. This similarity is likely due to the intricate relationships between certain taxa of protists and bacteria. According to research, the protist diversity index exhibits a significant correlation with bacterial diversity values, but not with the fungal diversity index [58]. In most ecosystems, protists numerically dominate as predators, directly feeding on bacteria for growth and utilizing substances produced by bacteria as a source of nourishment [59,60]; for instance, predatory Cercozoa and Lobosa species prey on Acidobacteria, Proteobacteria, and Ascomycota [61,62]. Therefore, the enhanced bacterial diversity observed in FF likely contributes to the higher protistan richness. Additionally, root biomass, a major source of soil organic matter, can support higher microbial biomass [63]. The larger root biomass in FF likely results in enhanced protistan richness compared to PF [9]. Moreover, soil protist biodiversity is influenced by the complex and dynamic distribution of water in soil pores in a heterogeneous environment [64]. In FF, the mixed landscape of plantation forest and forage grass not only enhances root biomass but also stabilizes soil water, fostering stronger predatory relationships between bacteria and protists. Coupled with the increased soil availability of C sources and water stabilization, these factors collectively explain the higher protist richness in FF compared to PF.
4.2. Effects of Vegetation Restoration on Community Composition
Previous studies have demonstrated that vegetation restoration positively influences soil microbial community composition by fostering a nutrient-rich environment for soil microorganisms [65,66]. As hypothesized, the interactions between economic tree species and planted grass significantly affect bacterial, fungal, and protistan community composition (Table 1). The composition of bacterial, fungal, and protistan communities in the mixed plantation forest and the forage grass (FF) was notably distinct from the other three land use types (Figure 3). For example, the relative abundance of Acidobacteria, Chloroflexi, and Firmicutes at the phylum level, as well as Bacillus and Nocardioides at the genus level, were higher in the FF compared to the CR. This suggests that these taxa thrive in FF possibly due to the increased availability of organic matter sources. The current study identified Acidobacteria, Actinobacteria, Proteobacteria, and Chloroflexi as the dominant soil bacterial phyla across the four land use types. This finding agrees with previous research indicating that Ascomycetes and Actinobacteria are the most abundant phyla in the soil bacterial community due to their strong competitive advantage in carbon utilization [67].
Ascomycota and Basidiomycota emerge as the dominant phyla of soil fungi across all four land use types, consistent with findings from the karst region of Guizhou [68]. This similarity may be attributed to the calcium-rich environment of karst areas, as Ascomycota and Basidiomycota require higher calcium levels for survival compared to other fungi, making them well suited for thriving in such conditions [43]. Meanwhile, Cercozoa, Chlorophyta, and Apicomplexa dominate the soil protist communities across the diverse land use categories. Cercozoa, renowned for their adaptability to varying environmental conditions, remain unaffected by key soil parameters, ensuring their survival in a wide range of soil types [69,70]. Terrestrial Chlorophyta species, adapted to thrive in moist environments, account for their higher relative abundance in FF compared to CR, PF, and FG, where forest–grass mixes contribute to greater root biomass, stabilizing soil moisture levels. However, the relative abundance of Apicomplexa and unclassified taxa is lower in FF compared to other land use types, indicating that these groups may have a competitive advantage in single planting systems rather than mixed ecosystems.
Assessing the intricate interactions between protists, bacteria, and fungi is paramount for gaining insights into the stability and sustainability of ecosystems. Our findings reveal significant correlations among certain protistan taxa and bacterial and fungal taxa. Notably, predatory protists, such as Apicomplexa and Lobosa, exhibited negative correlations with bacterial taxa belonging to Firmicutes and Actinobacteria. Moreover, at the genus level, there was a negative correlation between the predatory protozoan Platyophrya and bacterial taxa of Bacillus. This observation is supported by previous research suggesting a close association between protist community structure and the bacterial community [58]. Consequently, these results indicate a strong competitive interaction between predatory protozoa and bacteria. Additionally, in our study, Chlorophyta showed a positive correlation with Chloroflexi. This could be attributed to the formation of a microalgal-bacterial symbiotic system, where substances produced by the life processes of microalgae and bacteria, such as oxygen and carbon dioxide, can be utilized by each other [71,72]. Previous research has found that Chlorophyta have an affinity for Firmicutes in microalgal-bacterial experiments [73]. This positive correlation between Chlorophyta and the bacterial taxa of Chloroflexi and Firmicutes can be explained by such symbiotic relationships. It is evident that the interactions between protists and internal bacterial and fungal communities play a crucial role in maintaining soil nutrient functions and promoting vegetation restoration.
4.3. Key Factors Affecting the Community of Bacteria, Fungi, and Protists
Many environmental variables can explain the composition of microbial communities [74,75]. The diversity and community composition of bacteria, fungi, and protists differed significantly between CR and FF, but not for PF and FG, suggesting that microbial communities were more sensitive to vegetation restoration under FF compared to PF and FG. In this study, soil properties such as NH4+, DON, MBN, SOC, and DOC were the main factors regulating changes in the diversity of bacteria, fungi, and protists, indicating that C and N supply play important roles in regulating soil microbial communities. Soil nutrients (e.g., NH4+, AP, and AK) differed between CR and vegetation restoration, which may be one of the reasons for changes in the diversity and community composition of bacteria, fungi, and protists in FF. A previous study reported that the biomass of biocrust in FF was higher than in other land use types at the same study site [76]. Increased biocrust can improve N fixing, C exudation, and soil water retention capacity [76,77], thereby stimulating more bacterial and protistan species (e.g., N-fixing bacteria). Moreover, planting forage grasses benefits root growth [9]. Thus, the rich root biomass resulting from increased C resource availability in the combined restoration strategy of FF may be another reason for inducing changes in microbial diversity in FF. In contrast, disturbances caused by farmland cultivation and fertilizer addition in the CR treatment may also play a significant role in altering microbial diversity.
Collectively, alterations in soil properties, the establishment of biocrusts and roots, along with management interventions, have significantly influenced the bacterial, fungal, and protist diversity and taxa distribution between FF and CR. Our study highlights the pivotal role of mixed plantations encompassing trees and forage grasses in modulating the diversity and composition of bacteria, fungi, and protists. Nevertheless, there is a lack of recent research on the response of microbial community complexity via co-occurrence network patterns to different managed vegetation restoration strategies. Therefore, future research should aim to investigate these causal relationships in greater depth and on a larger scale.
5. Conclusions
Our study emphasizes the potential role of mixed plantations of trees and forage grasses, rather than single plantations of either, in regulating the diversity and composition of bacteria, fungi, and protists. The dominant taxa of bacteria (e.g., Acidobacteria), fungi (e.g., Ascomycota), and protists (e.g., Chlorophyta) were higher in the mixed plantation compared to the plantation forest and cropland rotation. Additionally, the richness of bacteria and protists was highest and significantly greater under mixed tree and forage plantation conditions than under single plantation forest conditions. Our results indicate that forest–grass mixes particularly benefit microbial growth, especially bacteria and protists. This may be achieved by regulating soil properties and the biomass of biological crusts and root systems within the forest–grass mixes. Consequently, mixed plantations of trees and forage grasses represent an effective restoration strategy to improve microbial communities, thereby enhancing nutrient supply during the process of karst vegetation restoration. Future studies should delve deeper into the response of microbial communities to various vegetation restoration management strategies by examining the symbiotic network patterns involved in nutrient cycling.
Supplementary Materials
The following supporting information can be downloaded at: https://www.mdpi.com/article/10.3390/microorganisms12061074/s1. Figure S1 Soil physical and chemical properties of different vegetation restoration types; Figure S2 Relative abundance of bacterial, fungal, and protistan taxa at the genus level; Figure S3 Pearson’s correlation revealing relationships among the genus-level abundance of bacteria, fungi, and protist.
Author Contributions
Conceptualization, D.X. and K.W.; methodology M.S.; software, D.X.; validation, C.X. and D.X.; formal analysis, C.X.; investigation, C.X. and M.S.; resources, C.X. and D.X.; data curation, D.X.; writing—original draft preparation, C.X.; writing—review and editing, D.X. and K.W.; visualization, K.W.; supervision, D.X. and K.W.; project administration, D.X.; funding acquisition, D.X. and K.W. All authors have read and agreed to the published version of the manuscript.
Funding
This study was supported by the Joint Funds of the National Natural Science Foundation of China (U23A20155; U22A20560); the National Natural Science Foundation of China (42377041); the National Key Research and Development Program (2022YFF1300705); the Natural Science Foundation of Hunan Province (2023JJ20044; 2022JJ40535); the Science and Technology Innovation Program of Hunan Province (2023RC3202); the Guangxi Natural Science Foundation Program (2022GXNSFAA035621; 2020GXNSFBA297118); and the Youth Innovation Promotion Association of the Chinese Academy of Sciences Program to Dan Xiao.
Data Availability Statement
The data used to support the findings of this study can be made available by the corresponding author upon request.
Conflicts of Interest
The authors declare no conflicts of interest.
References
- Friedman, J.; Higgins, L.M.; Gore, J. Community structure follows simple assembly rules in microbial microcosms. Nat. Ecol. Evol. 2017, 1, 0109. [Google Scholar] [CrossRef]
- Nguyen, B.A.T.; Chen, Q.L.; Yan, Z.Z.; Li, C.; He, J.Z.; Hu, H.W. Distinct factors drive the diversity and composition of protistan consumers and phototrophs in natural soil ecosystems. Soil Boil. Biochem. 2021, 160, 108317. [Google Scholar] [CrossRef]
- Geisen, S.; Mitchell, E.A.D.; Adl, S.; Bonkowski, M.; Dunthorn, M.; Ekelund, F.; Fernandez, L.D.; Jousset, A.; Krashevska, V.; Singer, D.; et al. Soil protists: A fertile frontier in soil biology research. FEMS Microbiol. Rev. 2018, 42, 293–323. [Google Scholar] [CrossRef]
- Chaparro, J.M.; Sheflin, A.M.; Manter, D.K.; Vivanco, J.M. Manipulating the soil microbiome to increase soil health and plant fertility. Biol. Fertil. Soils 2012, 48, 489–499. [Google Scholar] [CrossRef]
- Philippot, L.; Spor, A.; Henault, C.; Bru, D.; Bizouard, F.; Jones, C.M.; Sarr, A.; Maron, P.A. Loss in microbial diversity affects nitrogen cycling in soil. ISME J. 2013, 7, 1609–1619. [Google Scholar] [CrossRef]
- Romdhane, S.; Spor, A.; Banerjee, S.; Breuil, M.C.; Bru, D.; Chabbi, A.; Hallin, S.; van der Heijden, M.G.A.; Saghai, A.; Philippot, L. Land-use intensification differentially affects bacterial, fungal and protist communities and decreases microbiome network complexity. Environ. Microbiome 2022, 17, 1. [Google Scholar] [CrossRef]
- Laganiere, J.; Angers, D.A.; Pare, D. Carbon accumulation in agricultural soils after afforestation: A meta-analysis. Glob. Chang. Biol. 2010, 16, 439–453. [Google Scholar] [CrossRef]
- Deng, L.; Liu, G.B.; Shangguan, Z.P. Land-use conversion and changing soil carbon stocks in China’s ‘Grain-for-Green’ Program: A synthesis. Glob. Chang. Biol. 2014, 20, 3544–3556. [Google Scholar] [CrossRef]
- Xiao, L.; Zhang, W.; Hu, P.; Xiao, D.; Yang, R.; Ye, Y.; Wang, K. The formation of large macroaggregates induces soil organic carbon sequestration in short-term cropland restoration in a typical karst area. Sci. Total Environ. 2021, 801, 14958. [Google Scholar] [CrossRef]
- Hu, N.; Ma, Z.; Lan, J.; Wu, Y.; Fu, W.; Yuan, H.; Lou, L. Impact of vegetation restoration on soil organic carbon stocks and aggregates in a karst rocky desertification area in Southwest China. J. Soils Sediments 2019, 20, 1264–1275. [Google Scholar] [CrossRef]
- Huang, Y.; Li, Q. Karst biogeochemistry in China: Past, present and future. Environ. Earth Sci. 2019, 78, 1–14. [Google Scholar] [CrossRef]
- Li, D.; Niu, S.; Luo, Y. Global patterns of the dynamics of soil carbon and nitrogen stocks following afforestation: A meta-analysis. New Phytol. 2012, 195, 172–181. [Google Scholar] [CrossRef] [PubMed]
- Huang, C.; Zeng, Y.; Wang, L.; Wang, S. Responses of soil nutrients to vegetation restoration in China. Reg. Environ. Chang. 2020, 20, 82. [Google Scholar] [CrossRef]
- Carmo, M.; Garcia-Ruiz, R.; Ferreira, M.I.; Domingos, T. The N-P-K soil nutrient balance of Portuguese cropland in the 1950s: The transition from organic to chemical fertilization. Sci. Rep. 2017, 7, 8111. [Google Scholar] [CrossRef] [PubMed]
- Wu, J.; Yu, S. Effect of root exudates of Eucalyptus urophylla and Acacia mearnsii on soil microbes under simulated warming climate conditions. BMC Microbiol. 2019, 19, 224. [Google Scholar] [CrossRef] [PubMed]
- Haichar, F.e.Z.; Marol, C.; Berge, O.; Rangel-Castro, J.I.; Prosser, J.I.; Balesdent, J.; Heulin, T.; Achouak, W. J Plant host habitat and root exudates shape soil bacterial community structure. ISME J. 2008, 2, 1221–1230. [Google Scholar] [CrossRef] [PubMed]
- Santos, S.S.; Schöler, A.; Nielsen, T.K.; Hansen, L.H.; Schloter, M.; Winding, A.J. Land use as a driver for protist community structure in soils under agricultural use across Europe. Sci. Total Environ. 2020, 717, 137228. [Google Scholar] [CrossRef] [PubMed]
- Xiao, D.; He, X.; Zhang, W.; Hu, P.; Sun, M.; Wang, K. Microbiological mechanism underlying vegetation restoration across climatic gradients in a karst ecosystem. Land Degrad. Dev. 2022, 33, 3245–3259. [Google Scholar] [CrossRef]
- Vittori Antisari, L.; Falsone, G.; Carbone, S.; Vianello, G.J. Short-term effects of forest recovery on soil carbon and nutrient availability in an experimental chestnut stand. Biol. Fertil. Soils 2013, 49, 165–173. [Google Scholar] [CrossRef]
- Fierer, N.; Lauber, C.L.; Ramirez, K.S.; Zaneveld, J.; Bradford, M.A.; Knight, R.J. Comparative metagenomic, phylogenetic and physiological analyses of soil microbial communities across nitrogen gradients. ISME J. 2012, 6, 1007–1017. [Google Scholar] [CrossRef]
- Wang, C.; Liu, D.; Bai, E. Decreasing soil microbial diversity is associated with decreasing microbial biomass under nitrogen addition. Soil Biol. Biochem. 2018, 120, 126–133. [Google Scholar] [CrossRef]
- Nemergut, D.R.; Townsend, A.R.; Sattin, S.R.; Freeman, K.R.; Fierer, N.; Neff, J.C.; Bowman, W.D.; Schadt, C.W.; Weintraub, M.N.; Schmidt, S.K. The effects of chronic nitrogen fertilization on alpine tundra soil microbial communities: Implications for carbon and nitrogen cycling. Environ. Microbiol. 2008, 10, 3093–3105. [Google Scholar] [CrossRef] [PubMed]
- Nilsson, L.O.; Wallander, H.; Gundersen, P. Changes in microbial activities and biomasses over a forest floor gradient in C-to-N ratio. Plant Soil 2012, 355, 75–86. [Google Scholar] [CrossRef]
- Cadisch, G.; Giller, K.E. Driven by Nature: Plant Litter Quality and Decomposition; CAB International: Wallingford, Oxon, UK, 1997. [Google Scholar]
- Poggeler, S. Evolution of multicopper oxidase genes in coprophilous and non-coprophilous members of the order sordariales. Curr. Genom. 2011, 12, 95–103. [Google Scholar] [CrossRef]
- Rousk, J.; Bååth, E. Fungal and bacterial growth in soil with plant materials of different C/N ratios. FEMS Microbiol. Ecol. 2007, 62, 258–267. [Google Scholar] [CrossRef] [PubMed]
- De Vries, F.T.; Hoffland, E.; van Eekeren, N.; Brussaard, L.; Bloem, J. Fungal/bacterial ratios in grasslands with contrasting nitrogen management. Soil Biol. Biochem. 2006, 38, 2092–2103. [Google Scholar] [CrossRef]
- Geisen, S.; Hu, S.; dela Cruz, T.E.E.; Veen, G.F. Protists as catalyzers of microbial litter breakdown and carbon cycling at different temperature regimes. ISME J. 2021, 15, 618–621. [Google Scholar] [CrossRef]
- Grossmann, L.; Jensen, M.; Heider, D.; Jost, S.; Glücksman, E.; Hartikainen, H.; Mahamdallie, S.S.; Gardner, M.; Hoffmann, D.; Boenigk, J. Protistan community analysis: Key findings of a large-scale molecular sampling. ISME J. 2016, 10, 2269–2279. [Google Scholar] [CrossRef]
- Zhao, Z.B.; He, J.Z.; Geisen, S.; Han, L.L.; Wang, J.T.; Shen, J.P.; Wei, W.X.; Fang, Y.T.; Li, P.P.; Zhang, L.M. Protist communities are more sensitive to nitrogen fertilization than other microorganisms in diverse agricultural soils. Microbiome 2019, 7, 33. [Google Scholar] [CrossRef]
- Jiang, Z.; Lian, Y.; Qin, X. Rocky desertification in Southwest China: Impacts, causes, and restoration. Earth-Sci. Rev. 2014, 132, 1–12. [Google Scholar] [CrossRef]
- Canedoli, C.; Ficetola, G.F.; Corengia, D.; Tognini, P.; Ferrario, A.; Padoa-Schioppa, E. Integrating landscape ecology and the assessment of ecosystem services in the study of karst areas. Landsc. Ecol. 2022, 37, 347–365. [Google Scholar] [CrossRef]
- Wang, L.; Lee, D.W.; Zuo, P.; Zhou, Y.; Xu, Y. Karst environment and eco-poverty in south western China: A case study of Guizhou province. Chin. Geogr. Sci. 2004, 14, 21–27. [Google Scholar] [CrossRef]
- Han, H.; Liu, Y.; Gao, H.; Zhang, Y.; Wang, Z.; Chen, X. Tradeoffs and synergies between ecosystem services: A comparison of the karst and non-karst area. J. Mt. Sci. 2020, 17, 1221–1234. [Google Scholar] [CrossRef]
- Hua, F.; Wang, X.; Zheng, X.; Fisher, B.; Wang, L.; Zhu, J.; Tang, Y.; Yu, D.W.; Wilcove, D.S. Opportunities for biodiversity gains under the world’s largest reforestation programme. Nat. Commun. 2016, 7, 1271. [Google Scholar] [CrossRef] [PubMed]
- Cao, S.; Chen, L.; Shankman, D.; Wang, C.; Wang, X.; Zhang, H. Excessive reliance on afforestation in China’s arid and semi-arid regions: Lessons in ecological restoration. Earth-Sci. Rev. 2011, 104, 240–245. [Google Scholar] [CrossRef]
- Wang, S.; Chen, D.; Liu, Q.; Zang, L.; Zhang, G.; Sui, M.; Dai, Y.; Zhou, C.; Li, Y.; Yang, Y.; et al. Dominant influence of plants on soil microbial carbon cycling functions during natural restoration of degraded karst vegetation. J. Environ. Manag. 2023, 345, 11888. [Google Scholar] [CrossRef] [PubMed]
- Wang, H.; He, X.; Zhang, Y.; Xiao, J.; Wang, H.; Ma, M.; Tateno, R.; Shi, W. Variations in litter-soil properties between planted and naturally restored forests drive microbial community structure and function. Appl. Soil Ecol. 2023, 189, 104977. [Google Scholar] [CrossRef]
- Harris, J.A. Measurements of the soil microbial community for estimating the success of restoration. Eur. J. Soil 2003, 54, 801–808. [Google Scholar] [CrossRef]
- Liu, J.; Sui, Y.; Yu, Z.; Shi, Y.; Chu, H.; Jin, J.; Liu, X.; Wang, G. High throughput sequencing analysis of biogeographical distribution of bacterial communities in the black soils of northeast China. Soil Biol. Biochem. 2014, 70, 113–122. [Google Scholar] [CrossRef]
- Chandarana, K.A.; Amaresan, N. Soil protists: An untapped microbial resource of agriculture and environmental importance. Pedosphere 2022, 32, 184–197. [Google Scholar] [CrossRef]
- Zhu, H.; He, X.; Wang, K.; Su, Y.; Wu, J. Interactions of vegetation succession, soil bio-chemical properties and microbial communities in a Karst ecosystem. Eur. J. Soil Biol. 2012, 51, 1–7. [Google Scholar] [CrossRef]
- Xiao, D.; He, X.; Zhang, W.; Hu, P.; Sun, M.; Wang, K. Comparison of bacterial and fungal diversity and network connectivity in karst and non-karst forests in southwest China. Sci. Total Environ. 2022, 822, 153179. [Google Scholar] [CrossRef] [PubMed]
- Manter, D.K.; Vivanco, J.M. Use of the ITS primers, ITS1F and ITS4, to characterize fungal abundance and diversity in mixed-template samples by qPCR and length heterogeneity analysis. J. Microbiol. Methods 2007, 71, 7–14. [Google Scholar] [CrossRef] [PubMed]
- Penna, A.; Casabianca, S.; Guerra, A.F.; Vernesi, C.; Scardi, M. Analysis of phytoplankton assemblage structure in the Mediterranean Sea based on high-throughput sequencing of partial 18S rRNA sequences. Mar. Genom. 2017, 36, 49–55. [Google Scholar] [CrossRef]
- Li, D.J.; Wen, L.; Xiao, K.C.; Song, T.Q.; Wang, K.L. Responses of soil gross nitrogen transformations to three vegetation restoration strategies in a subtropical karst region. Land Degrad. Dev. 2021, 32, 2520–2527. [Google Scholar] [CrossRef]
- Xiao, K.C.; He, T.G.; Chen, H.; Peng, W.X.; Song, T.Q.; Wang, K.L.; Li, D. Impacts of vegetation restoration strategies on soil organic carbon and nitrogen dynamics in a karst area, southwest China. Ecol. Eng. 2017, 101, 247–254. [Google Scholar] [CrossRef]
- Zeng, X.; Zhang, W.; Cao, J.; Liu, X.; Shen, H.; Zhao, X. Changes in soil organic carbon, nitrogen, phosphorus, and bulk density after afforestation of the “Beijing–Tianjin Sandstorm Source Control” program in China. Catena 2014, 118, 186–194. [Google Scholar] [CrossRef]
- Mahnert, A.; Moissl-Eichinger, C.; Berg, G. Microbiome interplay: Plants alter microbial abundance and diversity within the built environment. Front. Microbiol. 2015, 6, 15347. [Google Scholar] [CrossRef]
- Yang, Y.; Li, T.; Wang, Y.; Dou, Y.; Cheng, H.; Liu, L.; An, S. Linkage between soil ectoenzyme stoichiometry ratios and microbial diversity following the conversion of cropland into grassland. Agr. Ecosyst. Environ. 2021, 314, 107418. [Google Scholar] [CrossRef]
- Tao, W.; Wang, Q.; Guo, L.; Lin, H. A new analytical model for predicting soil erosion and nutrient loss during crop growth on the Chinese loess plateau. Soil Tillage Res. 2020, 199, 104585. [Google Scholar] [CrossRef]
- Fontaine, S.; Henault, C.; Aamor, A.; Bdioui, N.; Bloor, J.M.G.; Maire, V.; Mary, B.; Revaillot, S.; Maron, P.A. Fungi mediate long term sequestration of carbon and nitrogen in soil through their priming effect. Soil Biol. Biochem. 2011, 43, 86–96. [Google Scholar] [CrossRef]
- Waldrop, M.P.; Zak, D.R.; Blackwood, C.B.; Curtis, C.D.; Tilman, D. Resource availability controls fungal diversity across a plant diversity gradient. Ecol. Lett. 2006, 9, 1127–1135. [Google Scholar] [CrossRef] [PubMed]
- Chen, Y.; Xu, T.; Veresoglou, S.D.; Hu, H.; Hao, Z.; Hu, Y.; Liu, L.; Deng, Y.; Rillig, M.C.; Chen, B.D. Plant diversity represents the prevalent determinant of soil fungal community structure across temperate grasslands in northern China. Soil Biol. Biochem. 2017, 110, 12–21. [Google Scholar] [CrossRef]
- Cai, Z.-q.; Zhang, Y.-h.; Yang, C.; Wang, S. Land-use type strongly shapes community composition, but not always diversity of soil microbes in tropical China. Catena 2018, 165, 369–380. [Google Scholar] [CrossRef]
- Krashevska, V.; Klarner, B.; Widyastuti, R.; Maraun, M.; Scheu, S. Impact of tropical lowland rainforest conversion into rubber and oil palm plantations on soil microbial communities. Biol. Fertil. Soils 2015, 51, 697–705. [Google Scholar] [CrossRef]
- Chigineva, N.I.; Aleksandrova, A.V.; Tiunov, A.V. The addition of labile carbon alters litter fungal communities and decreases litter decomposition rates. Appl. Soil Ecol. 2009, 42, 264–270. [Google Scholar] [CrossRef]
- Hu, X.; Gu, H.; Liu, J.; Wei, D.; Zhu, P.; Cui, X.; Zhou, B.; Chen, X.; Jin, J.; Wang, G. Different long-term fertilization regimes affect soil protists and their top-down control on bacterial and fungal communities in Mollisols. Sci. Total Environ. 2024, 908, 16804. [Google Scholar] [CrossRef]
- Oliverio, A.M.; Geisen, S.; Delgado-Baquerizo, M.; Maestre, F.T.; Turner, B.L.; Fierer, N. The global-scale distributions of soil protists and their contributions to belowground systems. Sci. Adv. 2020, 6, 878. [Google Scholar] [CrossRef]
- Gast, R.J.; Sanders, R.W.; Caron, D.A. Ecological strategies of protists and their symbiotic relationships with prokaryotic microbes. Trends Microbiol. 2009, 17, 563–569. [Google Scholar] [CrossRef] [PubMed]
- de Araujo, A.S.; Mendes, L.W.; Lemos, L.N.; Antunes, J.E.; Beserra, J.E.; de Lyra, M.; Figueiredo, M.; Lopes, A.C.; Gomes, R.L.; Bezerra, W.M.; et al. Protist species richness and soil microbiome complexity increase towards climax vegetation in the Brazilian Cerrado. Commun. Biol. 2018, 1, 135. [Google Scholar] [CrossRef]
- Seppey, C.V.; Broennimann, O.; Buri, A.; Yashiro, E.; Pinto-Figueroa, E.; Singer, D.; Blandenier, Q.; Mitchell, E.A.; Niculita-Hirzel, H.; Guisan, A.; et al. Soil protist diversity in the Swiss western Alps is better predicted by topo-climatic than by edaphic variables. J. Biogeogr. 2019, 47, 866–878. [Google Scholar] [CrossRef]
- McDaniel, M.D.; Tiemann, L.K.; Grandy, A.S. Does agricultural crop diversity enhance soil microbial biomass and organic matter dynamics? A meta-analysis. Ecol. Appl. 2014, 24, 560–570. [Google Scholar] [CrossRef]
- Singer, D.; Seppey, C.V.; Lentendu, G.; Dunthorn, M.; Bass, D.; Belbahri, L.; Blandenier, Q.; Debroas, D.; de Groot, G.A.; de Vargas, C.; et al. Protist taxonomic and functional diversity in soil, freshwater and marine ecosystems. Environ. Int. 2021, 146, 10626. [Google Scholar] [CrossRef] [PubMed]
- Barros, F.M.; Fracetto, G.G.; Fracetto, F.J.; Mendes Júnior, J.P.; Araújo, V.L.; Lira Junior, M.A. Silvopastoral systems drive the nitrogen-cycling bacterial community in soil. Ciênc. Agrotec. 2018, 42, 281–290. [Google Scholar] [CrossRef]
- Cubillos, A.M.; Vallejo, V.E.; Arbeli, Z.; Terán, W.; Dick, R.P.; Molina, C.H.; Molina, E.; Roldan, F. Effect of the conversion of conventional pasture to intensive silvopastoral systems on edaphic bacterial and ammonia oxidizer communities in Colombia. Eur. J. Soil Biol. 2016, 72, 42–50. [Google Scholar] [CrossRef]
- Ganz, H.H.; Karaoz, U.; Getz, W.M.; Versfeld, W.; Brodie, E.L. Diversity and structure of soil bacterial communities associated with vultures in an African savanna. Ecosphere 2012, 3, 1–18. [Google Scholar] [CrossRef]
- Ding, L.; Shang, Y.; Zhang, W.; Zhang, Y.; Li, S.; Wei, X.; Zhang, Y.; Song, X.; Chen, X.; Liu, J.; et al. Disentangling the effects of driving forces on soil bacterial and fungal communities under shrub encroachment on the Guizhou Plateau of China. Sci. Total Environ. 2020, 709, 13620. [Google Scholar] [CrossRef] [PubMed]
- Khanipour Roshan, S.; Dumack, K.; Bonkowski, M.; Karsten, U.; Glaser, K. Stramenopiles and Cercozoa dominate the heterotrophic protist community of biological soil crusts irrespective of edaphic factors. Pedobiologia 2020, 83, 150673. [Google Scholar] [CrossRef]
- Sherwood, A.R. Green algae (Chlorophyta and Streptophyta) in rivers. In River Algae; Springer: Cham, Switzerland, 2016; pp. 35–63. [Google Scholar]
- Brockmann, D.; Gerand, Y.; Park, C.; Milferstedt, K.; Helias, A.; Hamelin, J. Wastewater treatment using oxygenic photogranule-based process has lower environmental impact than conventional activated sludge process. Bioresour. Technol. 2021, 319, 124204. [Google Scholar] [CrossRef]
- Ji, B.; Zhang, M.; Gu, J.; Ma, Y.; Liu, Y. A self-sustaining synergetic microalgal-bacterial granular sludge process towards energy-efficient and environmentally sustainable municipal wastewater treatment. Water Res. 2020, 179, 115884. [Google Scholar] [CrossRef]
- Ramanan, R.; Kang, Z.; Kim, B.H.; Cho, D.H.; Jin, L.; Oh, H.M.; Kim, H.S. Phycosphere bacterial diversity in green algae reveals an apparent similarity across habitats. Algal Res. 2015, 8, 140–144. [Google Scholar] [CrossRef]
- Hermans, S.M.; Buckley, H.L.; Case, B.S.; Curran-Cournane, F.; Taylor, M.; Lear, G. Bacteria as Emerging Indicators of Soil Condition. Appl. Environ. Microbiol. 2017, 83, e02826-16. [Google Scholar] [CrossRef] [PubMed]
- Sperlea, T.; Kreuder, N.; Beisser, D.; Hattab, G.; Boenigk, J.; Heider, D. Quantification of the covariation of lake microbiomes and environmental variables using a machine learning-based framework. Mol. Ecol. 2021, 30, 2131–2144. [Google Scholar] [CrossRef] [PubMed]
- Hu, P.; Zhang, W.; Xiao, L.; Yang, R.; Xiao, D.; Zhao, J.; Wang, W.; Chen, H.; Wang, K. Moss-dominated biological soil crusts modulate soil nitrogen following vegetation restoration in a subtropical karst region. Geoderma 2019, 352, 70–79. [Google Scholar] [CrossRef]
- Shan, Y.; Chen, D.; Guan, X.; Zheng, S.; Chen, H.; Wang, M.; Bai, Y. Seasonally dependent impacts of grazing on soil nitrogen mineralization and linkages to ecosystem functioning in Inner Mongolia grassland. Soil Biol. Biochem. 2011, 43, 1943–1954. [Google Scholar] [CrossRef]
Disclaimer/Publisher’s Note: The statements, opinions and data contained in all publications are solely those of the individual author(s) and contributor(s) and not of MDPI and/or the editor(s). MDPI and/or the editor(s) disclaim responsibility for any injury to people or property resulting from any ideas, methods, instructions or products referred to in the content. |
© 2024 by the authors. Licensee MDPI, Basel, Switzerland. This article is an open access article distributed under the terms and conditions of the Creative Commons Attribution (CC BY) license (https://creativecommons.org/licenses/by/4.0/).





