Longitudinal Gut Microbiome Changes Associated with Transitions from C. difficile Negative to C. difficile Positive on Surveillance Tests
Abstract
1. Background
2. Methods
2.1. Study Subjects
2.2. Microbiology
2.3. Stool Sample Processing
2.4. Statistical Methods
3. Results
3.1. Study Population
3.2. Taxonomic Composition
3.3. Diversity Changes



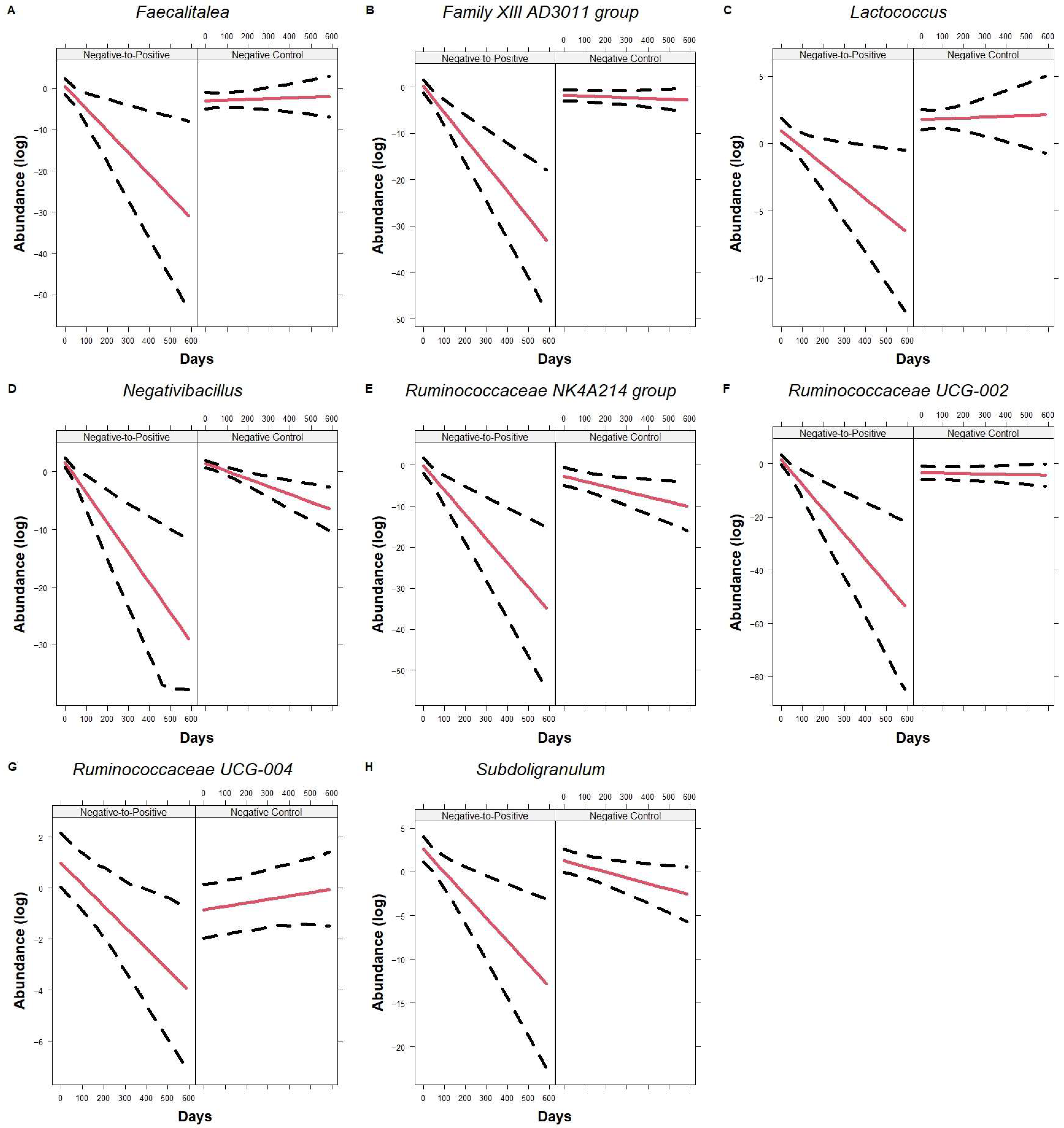
3.4. Longitudinal Composition Changes
4. Discussion
5. Conclusions
Supplementary Materials
Author Contributions
Funding
Institutional Review Board Statement
Informed Consent Statement
Data Availability Statement
Acknowledgments
Conflicts of Interest
References
- Riggs, M.M.; Sethi, A.K.; Zabarsky, T.F.; Eckstein, E.C.; Jump, R.L.P.; Donskey, C.J. Asymptomatic carriers are a potential source for transmission of epidemic and nonepidemic Clostridium difficile strains among long-term care facility residents. Clin. Infect. Dis. 2007, 45, 992–998. [Google Scholar] [CrossRef]
- Seekatz, A.M.; Young, V.B. Clostridium difficile and the microbiota. J. Clin. Investig. 2014, 124, 4182–4189. [Google Scholar] [CrossRef]
- Fletcher, J.R.; Pike, C.M.; Parsons, R.J.; Rivera, A.J.; Foley, M.H.; McLaren, M.R.; Montgomery, S.A.; Theriot, C.M. Clostridioides difficile exploits toxin-mediated inflammation to alter the host nutritional landscape and exclude competitors from the gut microbiota. Nat. Commun. 2021, 12, 462. [Google Scholar] [CrossRef]
- Jank, T.; Aktories, K. Structure and mode of action of clostridial glucosylating toxins: The ABCD model. Trends Microbiol. 2008, 16, 222–229. [Google Scholar] [CrossRef] [PubMed]
- Buddle, J.E.; Fagan, R.P. Pathogenicity and virulence of Clostridioides difficile. Virulence 2023, 14, 2150452. [Google Scholar] [CrossRef] [PubMed]
- Clements, A.C.; Magalhaes, R.J.S.; Tatem, A.J.; Paterson, D.L.; Riley, T.V. Clostridium difficile PCR ribotype 027: Assessing the risks of further worldwide spread. Lancet Infect. Dis. 2010, 10, 395–404. [Google Scholar] [CrossRef]
- Janezic, S.; Rupnik, M. Genomic diversity of Clostridium difficile strains. Res. Microbiol. 2015, 166, 353–360. [Google Scholar] [CrossRef] [PubMed]
- Magill, S.S.; O’lEary, E.; Janelle, S.J.; Thompson, D.L.; Dumyati, G.; Nadle, J.; Wilson, L.E.; Kainer, M.A.; Lynfield, R.; Greissman, S.; et al. Changes in prevalence of health care–associated infections in US hospitals. N. Engl. J. Med. 2018, 379, 1732–1744. [Google Scholar] [CrossRef]
- Nasiri, M.J.; Goudarzi, M.; Hajikhani, B.; Ghazi, M.; Goudarzi, H.; Pouriran, R. Clostridioides (Clostridium) difficile infection in hospitalized patients with antibiotic-associated diarrhea: A systematic review and meta-analysis. Anaerobe 2018, 50, 32–37. [Google Scholar] [CrossRef]
- Goudarzi, M.; Seyedjavadi, S.S.; Goudarzi, H.; Aghdam, E.M.; Nazeri, S. Clostridium difficile infection: Epidemiology, pathogenesis, risk factors, and therapeutic options. Scientifica 2014, 2014, 916826. [Google Scholar] [CrossRef]
- Bartlett, J.G. Narrative review: The new epidemic of Clostridium difficile—Associated enteric disease. Ann. Intern. Med. 2006, 145, 758–764. [Google Scholar] [CrossRef]
- Haran, J.P.; Ward, D.V.; Bhattarai, S.K.; Loew, E.; Dutta, P.; Higgins, A.; McCormick, B.A.; Bucci, V. The high prevalence of Clostridioides difficile among nursing home elders associates with a dysbiotic microbiome. Gut Microbes 2021, 13, 1897209. [Google Scholar] [CrossRef]
- CDC. Antibiotic Resistance Threats in the United States, 2019; CDC: Atlanta, GA, USA, 2019.
- Turner, N.A.; Krishnan, J.; Nelson, A.; Polage, C.R.; Sinkowitz-Cochran, R.L.; Fike, L.; Kuhar, D.T.; Kutty, P.K.; Snyder, R.L.; Anderson, D.J. CDC’s hospital-onset Clostridioides difficile prevention framework in a regional hospital network. JAMA Netw. Open 2024, 7, e243846. [Google Scholar] [CrossRef] [PubMed]
- Porcari, S.; Benech, N.; Valles-Colomer, M.; Segata, N.; Gasbarrini, A.; Cammarota, G.; Sokol, H.; Ianiro, G. Key determinants of success in fecal microbiota transplantation: From microbiome to clinic. Cell Host Microbe 2023, 31, 712–733. [Google Scholar] [CrossRef] [PubMed]
- Furuya-Kanamori, L.; Marquess, J.; Yakob, L.; Riley, T.V.; Paterson, D.L.; Foster, N.F.; Huber, C.A.; Clements, A.C.A. Asymptomatic Clostridium difficile colonization: Epidemiology and clinical implications. BMC Infect. Dis. 2015, 15, 516. [Google Scholar] [CrossRef]
- Crobach, M.J.T.; Vernon, J.J.; Loo, V.G.; Kong, L.Y.; Péchiné, S.; Wilcox, M.H.; Kuijper, E.J. Understanding Clostridium difficile colonization. Clin. Microbiol. Rev. 2018, 31, 10–1128. [Google Scholar] [CrossRef]
- Rizopoulos, D. GLMMadaptive: Generalized Linear Mixed Models Using Adaptive Gaussian Quadrature. R Package Version 0.9-7. 2025. Available online: https://cran.r-project.org/web/packages/GLMMadaptive/index.html (accessed on 26 September 2025).
- Dethlefsen, L.; Huse, S.; Sogin, M.L.; Relman, D.A. The pervasive effects of an antibiotic on the human gut microbiota, as revealed by deep 16S rRNA sequencing. PLoS Biol. 2008, 6, e280. [Google Scholar] [CrossRef]
- Stewart, D.B., Sr.; Wright, J.R.; Fowler, M.; McLimans, C.J.; Tokarev, V.; Amaniera, I.; Baker, O.; Wong, H.-T.; Brabec, J.; Drucker, R.; et al. Integrated meta-omics reveals a fungus—Associated bacteriome and distinct functional pathways in Clostridioides difficile infection. MSphere 2019, 4, e00454-19. [Google Scholar] [CrossRef]
- Herrera, G.; Vega, L.; Patarroyo, M.A.; Ramírez, J.D.; Muñoz, M. Gut microbiota composition in health-care facility-and community-onset diarrheic patients with Clostridioides difficile infection. Sci. Rep. 2021, 11, 10849. [Google Scholar] [CrossRef] [PubMed]
- Hopkins, M.; Macfarlane, G. Changes in predominant bacterial populations in human faeces with age and with Clostridium difficile infection. J. Med. Microbiol. 2002, 51, 448–454. [Google Scholar] [CrossRef]
- Manges, A.R.; Labbe, A.; Loo, V.G.; Atherton, J.K.; Behr, M.A.; Masson, L.; Tellis, P.A.; Brousseau, R. Comparative metagenomic study of alterations to the intestinal microbiota and risk of nosocomial Clostridum difficile-associated disease. J. Infect. Dis. 2010, 202, 1877–1884. [Google Scholar] [CrossRef] [PubMed]
- Vázquez-Cuesta, S.; Villar, L.; García, N.L.; Fernández, A.I.; Olmedo, M.; Alcalá, L.; Marín, M.; Muñoz, P.; Bouza, E.; Reigadas, E. Characterization of the gut microbiome of patients with Clostridioides difficile infection, patients with non–C. difficile diarrhea, and C. difficile–colonized patients. Front. Cell. Infect. Microbiol. 2023, 13, 1130701. [Google Scholar] [CrossRef]
- Akhremchuk, K.V.; Skapavets, K.Y.; Akhremchuk, A.E.; Kirsanava, N.P.; Sidarenka, A.V.; Valentovich, L.N. Gut microbiome of healthy people and patients with hematological malignancies in Belarus. Microbiol. Indep. Res. J. 2022, 9, 18–30. [Google Scholar] [CrossRef]
- Schubert, A.M.; Rogers, M.A.M.; Ring, C.; Mogle, J.; Petrosino, J.P.; Young, V.B.; Aronoff, D.M.; Schloss, P.D. Microbiome data distinguish patients with Clostridium difficile infection and non-C. difficile-associated diarrhea from healthy controls. mBio 2014, 5, e01021-14. [Google Scholar] [CrossRef]
- Hernández, M.; de Frutos, M.; Rodríguez-Lázaro, D.; López-Urrutia, L.; Quijada, N.M.; Eiros, J.M. Fecal microbiota of toxigenic Clostridioides difficile-associated diarrhea. Front. Microbiol. 2019, 9, 3331. [Google Scholar] [CrossRef] [PubMed]
- Khanna, S.; Montassier, E.; Schmidt, B.; Patel, R.; Knights, D.; Pardi, D.S.; Kashyap, P.C. Gut microbiome predictors of treatment response and recurrence in primary Clostridium difficile infection. Aliment. Pharmacol. Ther. 2016, 44, 715–727. [Google Scholar] [CrossRef]
- Antharam, V.C.; Li, E.C.; Ishmael, A.; Sharma, A.; Mai, V.; Rand, K.H.; Wang, G.P. Intestinal dysbiosis and depletion of butyrogenic bacteria in Clostridium difficile infection and nosocomial diarrhea. J. Clin. Microbiol. 2013, 51, 2884–2892. [Google Scholar] [CrossRef]
- Han, S.-H.; Yi, J.; Kim, J.-H.; Lee, S.; Moon, H.-W.; Popoff, M.R. Composition of gut microbiota in patients with toxigenic Clostridioides (Clostridium) difficile: Comparison between subgroups according to clinical criteria and toxin gene load. PLoS ONE 2019, 14, e0212626. [Google Scholar] [CrossRef]
- Kim, J.; Cho, Y.; Seo, M.-R.; Bae, M.H.; Kim, B.; Rho, M.; Pai, H. Quantitative characterization of Clostridioides difficile population in the gut microbiome of patients with C. difficile infection and their association with clinical factors. Sci. Rep. 2020, 10, 17608. [Google Scholar] [CrossRef]
- Rea, M.C.; O’SUllivan, O.; Shanahan, F.; O’TOole, P.W.; Stanton, C.; Ross, R.P.; Hill, C. Clostridium difficile carriage in elderly subjects and associated changes in the intestinal microbiota. J. Clin. Microbiol. 2012, 50, 867–875. [Google Scholar] [CrossRef]
- Gu, S.; Chen, Y.; Zhang, X.; Lu, H.; Lv, T.; Shen, P.; Lv, L.; Zheng, B.; Jiang, X.; Li, L. Identification of key taxa that favor intestinal colonization of Clostridium difficile in an adult Chinese population. Microbes Infect. 2016, 18, 30–38. [Google Scholar] [CrossRef]
- Jeon, Y.D.; Ann, H.W.; Lee, W.J.; Kim, J.H.; Seong, H.; Kim, J.H.; Ahn, J.Y.; Jeong, S.J.; Ku, N.S.; Yeom, J.S.; et al. Characteristics of faecal microbiota in Korean patients with Clos-tridioides difficile-associated diarrhea. Infect. Chemother. 2019, 51, 365. [Google Scholar] [CrossRef] [PubMed]
- Zhang, L.; Dong, D.; Jiang, C.; Li, Z.; Wang, X.; Peng, Y. Insight into alteration of gut microbiota in Clostridium difficile infection and asymptomatic C. difficile colonization. Anaerobe 2015, 34, 1–7. [Google Scholar] [CrossRef] [PubMed]
- Milani, C.; Ticinesi, A.; Gerritsen, J.; Nouvenne, A.; Lugli, G.A.; Mancabelli, L.; Turroni, F.; Duranti, S.; Mangifesta, M.; Viappiani, A.; et al. Gut microbiota composition and Clostridium difficile infection in hospitalized elderly individuals: A metagenomic study. Sci. Rep. 2016, 6, 25945. [Google Scholar] [CrossRef]
- Paterson, D.L.; Doi, Y. Enterobacteriaceae. In Antimicrobial Drug Resistance: Clinical and Epidemiological Aspects; Mayers, D.L., Sobel, J.D., Ouellette, M., Kaye, K.S., Marchaim, D., Eds.; Springer: Berlin/Heidelberg, Germany, 2017; Volume 2, pp. 889–898. [Google Scholar]
- Binda, C.; Lopetuso, L.R.; Rizzatti, G.; Gibiino, G.; Cennamo, V.; Gasbarrini, A. Actinobacteria: A relevant minority for the maintenance of gut homeostasis. Dig. Liver Dis. 2018, 50, 421–428. [Google Scholar] [CrossRef] [PubMed]






| Total | Negative to Positive (n = 42) | Negative Control (n = 47) | Positive Control (n = 18) | p Value | |
|---|---|---|---|---|---|
| Gender | |||||
| Male | 59 (55) | 22 (52) | 26 (55) | 11 (61) | 0.82 |
| Age | 65 (54, 71) | 63 (51, 73) | 65 (55, 70) | 66 (54, 72) | 0.12 |
| Race | 0.019 | ||||
| White | 87 (82) | 33 (80) | 43 (91) | 11 (61) | |
| AA | 15 (14) | 5 (12) | 4 (9) | 6 (33) | |
| Other | 4 (4) | 3 (7) | 0 (0) | 1 (6) | |
| ICU stay | 19 (18) | 6 (14) | 13 (28) | 0 (0) | 0.024 |
| Weight loss | 40 (37) | 12 (29) | 22 (47) | 6 (33) | 0.19 |
| Hem-onc | 99 (93) | 38 (90) | 45 (96) | 16 (89) | 0.49 |
| BMT | 49 (46) | 18 (43) | 25 (53) | 6 (33) | 0.31 |
| Comorbidities * (n) | 6 (4, 9) | 6 (3, 8) | 6 (4, 10) | 6 (3, 9) | 0.55 |
| CHF | 15 (14) | 3 (7) | 10 (21) | 2 (11) | 0.17 |
| Antibiotics | 101 (94) | 41 (98) | 46 (98) | 14 (78) | 0.010 |
| Bactrim | 33 (31) | 13 (31) | 18 (38) | 2 (11) | 0.10 |
| Amoxicillin ** | 14 (13) | 2 (5) | 12 (26) | 0 (0) | <0.01 |
| IV vancomycin | 47 (44) | 19 (45) | 26 (55) | 2 (11) | <0.01 |
| PO vancomycin | 15 (14) | 12 (29) | 1 (2) | 2 (11) | <0.001 |
| Cefepime | 61 (57) | 25 (60) | 29 (62) | 7 (39) | 0.23 |
| Cefazolin | 5 (5) | 4 (10) | 1 (2) | 0 (0) | 0.19 |
| Ceftriaxone | 14 (13) | 4 (10) | 7 (15) | 3 (17) | 0.65 |
| Azithromycin | 17 (16) | 3 (7) | 11 (23) | 3 (17) | 0.12 |
| PO cephalosporin | 5 (5) | 3 (7) | 1 (2) | 1 (6) | 0.48 |
| Linezolid | 12 (11) | 3 (7) | 8 (17) | 1 (6) | 0.33 |
| Dapsone | 8 (7) | 3 (7) | 5 (11) | 0 (0) | 0.44 |
| Doxycycline | 8 (7) | 2 (5) | 6 (13) | 0 (0) | 0.19 |
| Aztreonam | 5 (5) | 2 (5) | 2 (4) | 1 (6) | >0.99 |
| Macrolide | 1 (1) | 1 (2) | 0 (0) | 0 (0) | 0.56 |
| Daptomycin | 9 (8) | 0 (0) | 9 (19) | 0 (0) | <0.01 |
| Cefoxitin | 1 (1) | 0 (0) | 1 (2) | 0 (0) | >0.99 |
| Metronidazole | 16 (15) | 7 (17) | 9 (19) | 0 (0) | 0.12 |
| Quinolones | 64 (60) | 21 (50) | 37 (79) | 6 (33) | <0.001 |
| Clindamycin | 1 (1) | 1 (2) | 0 (0) | 0 (0) | 0.56 |
| Carbapenems | 16 (15) | 3 (7) | 12 (26) | 1 (6) | 0.029 |
| Zerbaxa | 0 (0) | 0 (0) | 0 (0) | 0 (0) | N/A |
| Piptazo | 40 (37) | 10 (24) | 26 (55) | 4 (22) | <0.01 |
| Pen VK | 5 (5) | 0 (0) | 5 (11) | 0 (0) | 0.040 |
| Antibiotics with activity against anaerobes | 88 (82) | 33 (79) | 45 (96) | 10 (56) | <0.001 |
| Other | 6 (6) | 0 (0) | 6 (13) | 0 (0) | 0.021 |
| Antifungals | 79 (74) | 28 (67) | 41 (87) | 10 (56) | 0.011 |
| Azole | 76 (71) | 27 (64) | 39 (83) | 10 (56) | 0.043 |
| Echinocandin | 17 (16) | 3 (7) | 14 (30) | 0 (0) | <0.01 |
| Amphotericin B | 2 (2) | 0 (0) | 2 (4) | 0 (0) | 0.65 |
| Last Negative (n = 42) | First Positive (n = 42) | p Value | |
|---|---|---|---|
| Phylum | |||
| Pseudomonadota | 76 (4, 271) | 134 (54, 1164) | 0.0075 |
| Family | |||
| Enterobacteriaceae | 5 (0, 191) | 54 (0, 902) | 0.0094 |
| Genus | |||
| Clostridioides | 0 (0, 0) | 21 (0, 83) | 0.0065 |
| Faecalibacterium | 0 (0, 159) | 0 (0, 5) | 0.0027 |
| Hungatella | 0 (0, 8) | 0 (0, 43) | 0.048 |
| Klebsiella | 0 (0, 0) | 0 (0, 4) | 0.0049 |
Disclaimer/Publisher’s Note: The statements, opinions and data contained in all publications are solely those of the individual author(s) and contributor(s) and not of MDPI and/or the editor(s). MDPI and/or the editor(s) disclaim responsibility for any injury to people or property resulting from any ideas, methods, instructions or products referred to in the content. |
© 2025 by the authors. Licensee MDPI, Basel, Switzerland. This article is an open access article distributed under the terms and conditions of the Creative Commons Attribution (CC BY) license (https://creativecommons.org/licenses/by/4.0/).
Share and Cite
Munoz-Price, L.S.; Atkinson, S.N.; Lam, V.; Buchan, B.; Ledeboer, N.; Salzman, N.H.; Pan, A.Y. Longitudinal Gut Microbiome Changes Associated with Transitions from C. difficile Negative to C. difficile Positive on Surveillance Tests. Microorganisms 2025, 13, 2277. https://doi.org/10.3390/microorganisms13102277
Munoz-Price LS, Atkinson SN, Lam V, Buchan B, Ledeboer N, Salzman NH, Pan AY. Longitudinal Gut Microbiome Changes Associated with Transitions from C. difficile Negative to C. difficile Positive on Surveillance Tests. Microorganisms. 2025; 13(10):2277. https://doi.org/10.3390/microorganisms13102277
Chicago/Turabian StyleMunoz-Price, L. Silvia, Samantha N. Atkinson, Vy Lam, Blake Buchan, Nathan Ledeboer, Nita H. Salzman, and Amy Y. Pan. 2025. "Longitudinal Gut Microbiome Changes Associated with Transitions from C. difficile Negative to C. difficile Positive on Surveillance Tests" Microorganisms 13, no. 10: 2277. https://doi.org/10.3390/microorganisms13102277
APA StyleMunoz-Price, L. S., Atkinson, S. N., Lam, V., Buchan, B., Ledeboer, N., Salzman, N. H., & Pan, A. Y. (2025). Longitudinal Gut Microbiome Changes Associated with Transitions from C. difficile Negative to C. difficile Positive on Surveillance Tests. Microorganisms, 13(10), 2277. https://doi.org/10.3390/microorganisms13102277

