Abstract
Metagenomics in agricultural research allows for searching for bioindicators of soil health to characterize changes caused by management practices. Cover cropping (CC) improves soil health by mitigating nutrient losses, yet the benefits depend on the tillage system used. Field studies searching for indicator taxa within these systems are scarce and narrow in their scope. Our goal was to identify bioindicators of soil health from microbes that were responsive to CC (three levels) and tillage (chisel tillage, no-till) treatments after five years under field conditions. We used rRNA gene-based analysis via Illumina HiSeq2500 technology with QIIME 2.0 processing to characterize the microbial communities. Our results indicated that CC and tillage differentially changed the relative abundances (RAs) of the copiotrophic and oligotrophic guilds. Corn–soybean rotations with legume–grass CC increased the RA of copiotrophic decomposers more than rotations with grass CC, whereas rotations with only bare fallows favored stress-tolerant oligotrophs, including nitrifiers and denitrifiers. Unlike bacteria, fewer indicator fungi and archaea were detected; fungi were poorly identified, and their responses were inconsistent, while the archaea RA increased under bare fallow treatments. This is primary information that allows for understanding the potential for managing the soil community compositions using cover crops to reduce nutrient losses to the environment.
Keywords:
archaea; bacteria; fungi; soil health; biological indicators; agronomy; sustainable agriculture 1. Introduction
Ecological intensification is defined by Bender et al. [1] as an approach “to enhance agricultural sustainability through the promotion of biodiversity and targeted management of soil communities.” Within this framework, cover cropping is one of the main tools that is widely researched and promoted as a promising strategy to mitigate soil nutrient loss, greenhouse gas emissions, and water pollution [2,3,4]. Cover cropping (CC) benefits agroecosystem by improving soil organic matter (SOM) and water retention [5,6], suppressing weeds [7,8], reducing soil erosion [7], and preventing soil nutrient loss by scavenging excess nutrients [9,10,11,12]. The realization of benefits from CC depends heavily on weather conditions and management practices, such as tillage [13,14]. Tillage usually increases the aeration and temperature, as well as the susceptibility to erosion of the topsoil [15]. Likewise, tillage reduces the provision of benefits from CC to soil organic C (SOC) content [16] and soil N [17] by increasing the N-leaching potential of legume CC and reducing the N-scavenging capability of grass CC [18].
Due to their direct and indirect impacts on soil properties and nutrient cycling, CC in combination with tillage practices have the potential to alter the structure and function of the soil microbiome. Microbes are major drivers of the agriculturally and environmentally important soil biogeochemical processes [19,20,21], including those that dictate soil nutrient losses [2,22]. Therefore, understanding how cover cropping and tillage contribute to the soil microbiome is a necessary step toward optimizing the sustainability and efficiency of these practices. At the community level, research syntheses have revealed that CC [7,23] and conservation tillage practices, such as no-till [24], increase the abundance, activity, and diversity of the soil microbiome as a whole, which may promote functional redundancy and resilience against stress.
Community-level inferences, however, only superficially explain how the soil microbiome responds to CC and tillage. New metagenomics research allows for a closer look into the soil microbial composition and function and the changes brought about by agricultural practices [25,26,27]. This usually involves using β-diversity measures to detect shifts in the microbial community structure between samples [28], interpreting the changes with further analyses targeting specific functional genes, such as amoA, involved in nitrification [29], and characterizing the compositional shifts that identify the responsive taxa [30,31]. So far, these responsive taxa have been identified at different scales, from phyla [32] to operational taxonomic units (OTUs) [30] or species [33] level. These sensitive taxa may serve as useful indicators for probing the complex microbial behaviors, or even as bioindicators of soil health [26]. Studies on responsive taxa have thus far shown that CC and tillage primarily impose selection pressures on the soil microbes by changing the soil nutrient availability and quality [30,34,35]. Due to the novelty of metagenomics studies in agricultural research, field studies searching for indicator taxa within systems deploying cover cropping and tillage are still scarce. Prior studies either only identified responsive taxa in the samples from CC treatments that showed significant differences in ordination methods [30] or searched for microbes with specific genes, such as those related to residue decomposition [36]. No CC metagenomics study has sought indicator taxa at lower taxonomic ranks without any such constraining conditions.
Therefore, our main goal was to identify potential bioindicators of soil health from microbes that were responsive to CC and tillage treatments under field conditions after five years of treatments. Soil properties, CC biomass, and their C and N contents, along with published reports on the indicator taxa provided the context for our findings and their implications on soil nutrient losses. The results from this field study provide primary information on the soil microbiome within corn–soybean rotations including CC. This information represents a first step toward designing a targeted management strategy of the soil community composition with cover crops to reduce nutrient losses within the fertile conditions that are typical of prime agricultural landscapes.
2. Materials and Methods
2.1. Experimental Site Description and Management Practices
The experimental site was established in the fall of 2012 at the Crop Sciences Research and Education Center at Urbana, IL, USA (40°03′25.2″ N 88°13′37.2″ W), as part of a larger CC and tillage study [13,14]. The site was level to gently sloping (from 0 to 2%) and spanned a Drummer (70%)–Catlin (10%)–Flanagan (20%) soil association that was dominated by fine-silty, superactive Mollisols [37].
Treatments of tillage and corn–soybean CC rotations were arranged in a split-block design with eight blocks in total. Four blocks were each assigned to corn and soybean, which were rotated annually. Tillage was randomized into each block in the north–south direction into tilled (T) and no-till (NT) plots, and subplots of CC were randomly allocated in the west–east direction. The CC treatments included annual ryegrass (Lolium multiflorum Lam.) before and after both cash crops (CarSar), cereal rye (Secale cereale L.) after corn and hairy vetch (Vicia villosa Roth.) after soybean (CcrShv), and bare fallows before and after corn and soybean as control treatments (CT). In any given year, each CT and CarSar treatment had eight subplots, four under the cereal rye phase of CcrShv and four under the hairy vetch phase of CcrShv. Our results are presented and discussed as the average for a given corn–soybean CC rotation to reflect the overall impact of each management strategy.
Detailed information regarding the soil properties, crop yields, and field management practices during the project period from 2012 to 2017, is publicly available [38]. Briefly, corn and soybean cash crops were planted around May and harvested between October to November each year. Pre-plant N fertilizer was applied to corn as urea ammonium nitrate (UAN 28%) at the rate of 190 kg N ha−1. Plots under the tillage treatment were chisel-plowed down to 20–25 cm deep in the spring between CC suppression and cash crop planting. The CC seeds were broadcasted by hand on standing cash crops in September. Seeding rates were 16.8 kg ha−1 for annual ryegrass, 22.4 kg ha−1 for hairy vetch, and 100 kg ha−1 for cereal rye. Cover crops were suppressed with glyphosate (N-(phosphonomethyl)glycine) at 1.12 kg a.i. ha−1 by the end of April. The exact dates of the field management practices are shown in Table S1.
2.2. Soil and Biomass Sampling and Procedures
Soil samples were collected on 21 April 2017 following five years of treatments in place. An Eijelkamp grass plot sampler (Eijkelkamp Agrisearch Equipment, Giesbeek, The Netherlands) was used to take two composited subsamples of 500 g each per subplot to a depth of 10 cm for soil DNA analyses. Soil samples were kept on ice in the field and frozen once in the laboratory. Three soil core samples with a diameter of 4.3 cm were also taken randomly down to a 30 cm depth for each subplot using a tractor-mounted automated soil sampler (Amity Technology, Inc., Fargo, ND, USA). Soil nitrate-N (NO3-N) and ammonium-N (NH4-N) (mg kg−1) were measured using these moist field soil samples using KCl extraction (1:5 ratio) and analyzed using a SmartChem 200 Discrete Analyzer Auto-Spectrophotometer (Westco Scientific Instruments, Inc., Brookfield, CT, USA). Soil samples were then air-dried and sieved to 2 mm and sent to a commercial laboratory (Brookside Laboratories, Inc., New Bremen, OH, USA) that used standard methods that are recommended for the U.S. Central Region [39] for the determination of the cation exchange capacity (CEC, cmol kg−1), soil pH, available soil P (Bray P I extraction), and soil organic matter (SOM, g kg−1) using loss on ignition. Cover crop biomass samples were taken on 11 April 2017 at the time of spring growth suppression using three random tosses of 0.25 m2 quadrat per subplot, where they were cut at ground level. The dry weight (DW, g) was recorded after oven drying at 60 °C and the samples were sent to the above commercial lab for the determination of tissue C and N contents (g kg–1) and their C:N ratios.
Soil DNA was extracted from 0.25 g of the composited soil samples using PowerSoil® DNA isolation kits (MoBio Inc., Carlsbad, CA, USA), following the manufacturer’s instructions. The quantity and quality of the extracted DNA were tested using a Nanodrop 1000 Spectrophotometer (Thermo Fisher Scientific, Waltham, MA, USA) and stored at −20 °C. An Illumina-HiSeq-compatible amplicon library containing individual barcodes for each sample was constructed as described in Sun et al. [26]. The library prep was accomplished using 25 µL volumes with a 1× buffer (GoTaqfi Flexi buffer; Promega Corp., Madison, WI, USA), 2.5 mM MgCl2, 200 µM dNTPs, 0.4 µM of each primer (forward and reverse), 1.0 µL template DNA (pooled amplicons), and 1.0 unit of GoTaq polymerase. PCR was performed using a BioRad T100 thermal cycler with the following parameters: initial denaturation at 95 °C for 10 min, followed by 34 cycles of amplification (45 s at 95 °C, 45 s at 58 °C, 45 s at 72 °C), and a final extension at 72 °C for 10 min. PCR products were visualized on a 1.3% agarose gel containing GreenGlo™ Safe DNA dye (Denville Scientific, Inc., Metuchen, NJ, USA) under UV illumination. Bacterial 16S rRNA gene (V4 region) was amplified using a primer set of 515F (GTGYCAGCMGCCGCGGTAA) and 806R (GGACTACVSGGGTWTCTAAT) [40], archaeal 16S using 349F (GTGCASCAGKCGMGAAW) and 806R (GGACTACVSGGGTATCTAAT) [41], and a fungal ITS (internal transcribed spacer) region using 3F (GCATCGATGAAGAACGCAGC) and 4R (TCCTCCGCTTATTGATATGC) [42]. The primers were designed as a 5′-PCR-specific + gene region + 3′-PCR-specific + 10 nt barcode and the Fluidigm platform used two primer sets simultaneously to create the final DNA amplicon. A Qubit Fluorometer (Thermo Fisher Scientific, Waltham, MA, USA) quantified the resulting amplicon libraries, which were then run on a Bioanalyzer (Agilent, Santa Clara, CA, USA) to evaluate the profile of fragment lengths. The barcoded libraries were pooled in equimolar concentrations and diluted to 10 nM. The diluted libraries were sequenced at the Roy Carver Biotechnology Center Functional Genomics lab at the University of Illinois at Urbana-Champaign (Urbana, IL, USA) using paired-end sequencing on the Illumina MiSeq nano 2 (Illumina, San Diego, CA, USA), yielding 250 nt long reads.
2.3. Bioinformatics Analysis
Quality checking and processing of the sequences were done through QIIME2 [43,44]. The demultiplexed sequences were filtered using a Q score of 30 [45], resulting in retaining bacterial sequences between base-pair positions 6 to 250, fungal sequences 6 to 200, and archaeal sequences 6 to 136. Next, sequences were denoised by removing chimeric and low-quality sequences with the chimera method consensus option in plugin DADA2 [46]. Sequences were aligned with Mafft [47] to then create the phylogenetic tree using FastTree [48]. Reference sequences from the SILVA ribosomal RNA gene database (silva-132-99-515-806-nb-classifier_2019_4) [49] were used to compare bacterial and archaeal 16S rRNA sequences, and Fungi_97_classifier_2019_4 was used for ITS sequences, which were then clustered them into OTUs at 97% similarity threshold. The rarefaction curves plateaued at the sampling depths of 5000 sequences per sample for bacteria, 900 for fungi, and 300 for archaea (Figure S1). At these depths, QIIME2 calculated the number of observed OTUs, Shannon’s Diversity Index (H’), and the Chao 1 Richness Index (Chao1) for each sample. The weighted UniFrac distance was calculated using QIIME2 to measure the β-diversity. The rarefaction curves (Figure S1) were created using package ggplot2 in R version 3.5.3 [50,51].
2.4. Statistical Analysis
The relative abundances (RAs, %) of each OTU were statistically analyzed to identify the responsive microbes and estimate the treatment effects. The initial set of responsive microbes were selected using a bootstrap forest partitioning method with the JMP® predictor screening platform [52,53,54]. This led to a selection of 42 out of 1832 OTUs for bacteria, 5 out of 19 for archaea, and 36 out of 313 for fungi that contributed at least one percent to the variability in the model algorithms (Table S2). With only five OTUs selected, further selection was unnecessary for archaea. Principal component analyses (PCAs), were used on the pool of top contributing bacterial and fungal OTUs to further remove redundancy and avoid issues of multicollinearity. Using the FACTOR procedure in SAS software version 9.4 (SAS Institute, Cary, NC) with priors = 1, the RAs of these OTUs were summarized into a set of uncorrelated composite variables, or principal components (PCs). PCs with eigenvalues ≥ 1 that also explained at least 5% of the variability in the data set were used as independent variables for further analysis. OTUs with a significant correlation with each PC (PC loading value > |0.5|) were considered responsive microbes [55]. Linear mixed model analyses were fit using the GLIMMIX procedure in SAS software to each of the response variables: soil and CC biomass properties, α-diversity measures, and PC scores of top contributing OTUs. Tillage and CC were considered fixed effects, whereas blocks were considered random terms in the analyses of variance. When appropriate, least-square means of the response variables were separated by treatment levels, using the pdiff option and setting the probability of a type I error at α = 0.10.
The ggplot2 package in R version 3.5.3 was used to plot the RA responses for each significant relationship between the PC scores and treatments [50,51]. Figures 1–3 and Figure S1 are visual representations of the combined results of the PCA and their mean separation procedure showing the most responsive bacterial and fungal indicator OTUs based on their effects on the RAs following five years of treatments within corn–soybean rotations (a complete list of indicators within each PC for each taxon is shown in Table S3). For each taxon, the response of each OTU to tillage (Figure 1), to CC (Figure 2), or their interaction was calculated as the mean PC score for a given treatment multiplied by the PC loading score of the listed OTU. Likewise, the whiskers represent the standard error of the mean PC scores for each treatment multiplied by the absolute value of each OTU loading. The β-diversity, measured using the weighted UniFrac distance, was analyzed with pairwise PERMANOVA (permutational multivariate analysis of variance) by QIIME2 to compare the differences between treatment levels using pseudo-F test statistics and their p- and q-values, which are the expected false positive and negative rates, respectively, in multiple hypothesis testing [56,57].
3. Results
3.1. Soil and Cover Crop Biomass Properties
Table 1 shows the mean treatment values and their standard errors, along with the results of the mean separation procedures for the soil and CC biomass properties in response to the imposed treatments. The soil properties of CEC, soil pH, SOM, NH4-N, and available P did not differ statistically among CC or between the tillage treatment levels (p > 0.1). Only the soil NO3-N showed a marginal statistically significant CC effect (p = 0.07), where it was less under CarSar compared to CcrShv and CT; NO3-N did not display significant tillage effects (p > 0.1). The biomass C was statistically greater under no-till than chisel tillage (p = 0.04) and marginally statistically greater for Ccrshv than CarSar (p = 0.08). The biomass N content, C:N ratio, and dry weight did not differ among CC treatments or between the tillage practices (p > 0.1).
Table 1.
Treatment mean values and standard errors of the mean (in parentheses) of soil properties and cover crop biomass variables, which were measured after five years of tillage and cover crop rotation treatments. The soil properties included the cation exchange capacity (CEC, cmol kg−1), soil pH (pH), and the levels of soil organic matter content (SOM, g kg−1), nitrate (NO3-N, mg kg−1), ammonium (NH4-N, mg kg−1), and available phosphorus (P, mg kg−1). The cover crop biomass variables listed are the contents of biomass carbon (C, g kg−1) and nitrogen (N, g kg−1), their ratio (C:N), and the biomass dry weight (DW, Mg ha−1). For each treatment and within a given row, treatment means followed by similar lowercase letters were not statistically different (α = 0.05).
3.2. Overall Characterization of the Soil Microbiome
The bacterial community had more than 1.2 million 16S V4 region sequences clustered into 1832 different OTUs. The archaeal community had 13,272 archaeal 16S rRNA region sequences clustered into 19 OTUs. The fungal community had 213,860 ITS region sequences clustered into 313 OTUs. The α-diversity of bacteria, archaea, and fungi measured as OTUs, H’, and Chao 1 all did not statistically differ between CC and between tillage treatment levels (p > 0.1) (Table 2).
Table 2.
Mean values and standard errors of the mean (SEM) for the α-diversity parameters of the observed operational taxonomic units (OTUs), Chao 1 Richness Index (Chao1), and Shannon’s Diversity Index (H’) for bacteria, fungi, and archaea taxa following five years of tillage and cover crop rotation treatments.
As for the β-diversity measure (Table 3), the bacterial community structure statistically differed between tillage practices but not between CC treatments. The archaeal community structure did not differ statistically between tillage treatments; the community structure of CarSar and CcrShv did differ statistically from that of CT, but not between CarSar and CcrShv. The fungal communities showed significant shifts in the community structure between tillage practices and between CC treatments.
Table 3.
Community structure (β-diversity) measures for bacteria, fungi, and archaea sampled following five years of tillage (Till) and cover crop (CC) treatments, based on pairwise PERMANOVA on weighted UniFrac distances. The pseudo-F measures the significance of the UniFrac distance between the two treatment levels compared, while the p-value and q-value indicate the probability of type I and type II errors associated with each comparison, respectively.
The most abundant bacterial phyla across the samples were Proteobacteria (34.2%), followed by Actinobacteria (20.4%), Chloroflexi (9.7%), Acidobacteria (9.5%), and Bacteriodetes (8.5%). The archaeal community was dominated by phylum Thaumarchaeota (96.8%) and class Nitrososphaeria (95.8%). The most abundant fungal phylum was Ascomycota (54.8%), followed by Basidiomycota (9.5%), and Mortierellomycota (4.6%). Figure S2 shows the mean treatment values for the PC scores of the RAs of microbial phyla in response to the tillage treatments. Only the bacterial phyla Acidobacteria, Bacteroidetes, Chloroflexi, Gemmatimonadetes, and Proteobacteria showed a significant statistical tillage effect (p = 0.002), where Bacteroidetes and Proteobacteria were more abundant under chisel tillage than no-till, while the other three responded in an opposite manner. The RAs of the other bacterial, archaeal, and fungal phyla did not differ statistically between CC treatments or between tillage practices (Figure S2).
3.3. OTUs Responses to Cover Crop Rotations and Tillage Treatments
3.3.1. Bacteria
A total of seven PCs explained 53.4% of the variability in the 42 selected top-contributing bacterial OTUs, yet only PC1 to PC5 had significant correlations (loadings ≥ |0.5|) with their conforming OTUs (Table 4 and Tables S3 and S4).
Table 4.
Analysis of variance (ANOVA) results for the effects of cover cropping (CC), tillage (Till), and their interaction (CC × Till) on each group of principal components (PCs) extracted from the bacteria and fungi taxa data sets, which comprised bacterial and fungal indicator OTUs, respectively. The probability values of the treatment effects and degrees of freedom (df) are shown on the top rows. The treatment mean values and their standard errors are presented below. For each taxon and within a given column, treatment mean values followed by the same lowercase letter were not statistically different (α = 0.05).
PC1 explained 14% of the variability, including the positive loadings from five OTUs belonging to genera Cellulomonas, Solirubrobacter, Altererythrobacter, Massilia, and the family AKYH767, and four negative loadings each for OTUs in the order SBR1031, families A21b and Gemmatimonadaceae, and the genus Elin6067. PC2 explained an additional 9.5% of the variability of the data set and had positive loadings from two OTUs each belonging to the genus Reynarella and the class Gitt-GS-136, and negative loadings for two OTUs belonging to the order C0119 and the family JG30-KF-A59. PC3 showed positive loadings from OTUs in the family Opitutaceae and the species Nitrospira japonica. PC4 had a significant negative loading from an OTU in the family A4b, whereas PC5 showed a positive loading from an OTU belonging to the phylum Latescibacteria. While PC6 and PC7 each explained an additional 5% of the variability found in the input data set, neither had OTUs with PC loadings > |0.5|.
ANOVA on these bacterial PCs detected marginally significant tillage (p < 0.1) and significant CC (p < 0.01) main effects from PC1, PC2, and PC3 (Table 4; Figure 1 and Figure 2).
Figure 1.
Response pattern of the bacterial and fungal indicator OTUs to tillage. Visual representation of the combined results of the principal component analyses (PCAs) and their mean separation procedure showing the most responsive bacterial and fungal indicator OTUs based on their effects on the relative abundances following five years of tillage within corn–soybean rotations. For each taxon, the response of each OTU to tillage treatments (chisel tillage (filled square), no-till (crossed square)) was calculated as the mean PC score multiplied by the PC loading score of a given OTU. Likewise, the whiskers represent the standard error of the mean PC scores for each tillage treatment multiplied by the absolute value of each OTU loading. The x-axes show the three-letter acronym of the OTU’s phylum, followed by the name of the OTU’s lowest identified taxonomic rank and that rank in parentheses. Act, Actinobacteria; Bac, Bacteroidetes; Chl, Chloroflexi; Gem, Gemmatimonadetes; Pro, Proteobacteria; Nit, Nitrospirae; Ver, Verrucomicrobia; A, Ascomycota; B, Basidiomycota; C, Class; O, Order; F, Family; G, Genus. *, ***, significant at the 0.1 and 0.01 probability levels, respectively.
Figure 2.
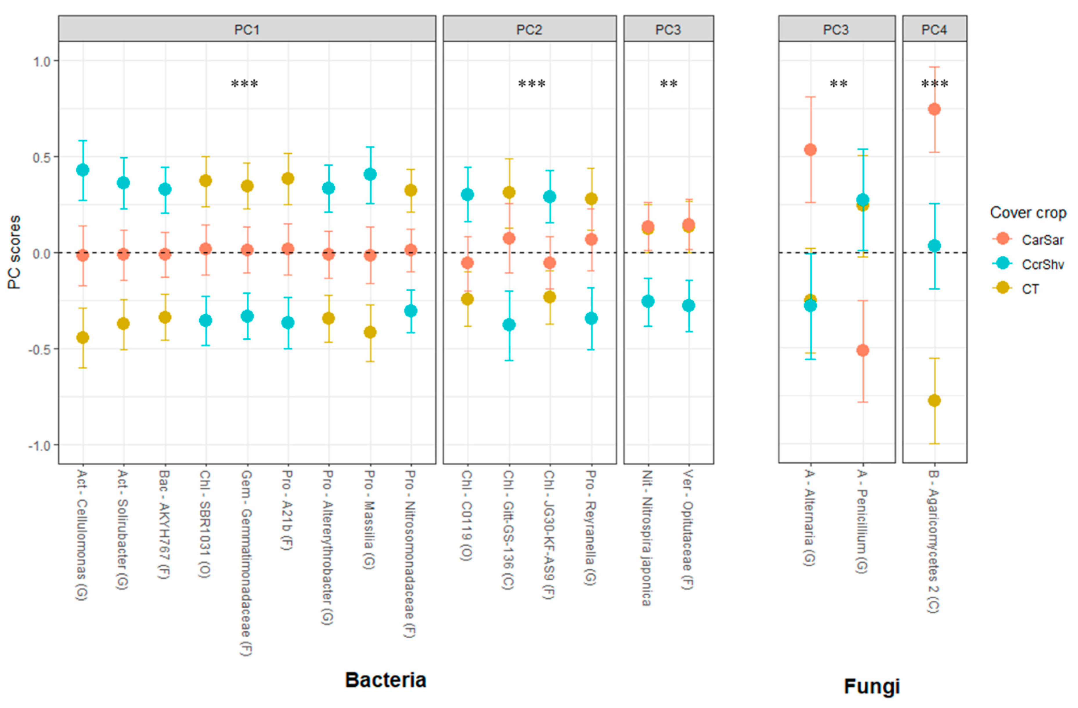
Response pattern of the bacterial and fungal indicator OTUs to cover cropping. Visual representation of the combined results of the principal component analyses (PCAs) and their mean separation procedures showing the most responsive bacterial and fungal indicator OTUs based on Table 4. for PC5 (Figure 3) and PC6. The mean separation procedures showed that the mean PC scores were greater with chisel tillage for PC1, PC2, and PC3. The mean PC score was statistically smaller with CT than CarSar and CcrShv for PC1, but that of CcrShv was smaller than CT and CarSar for PC2 and PC3. For PC5, the mean PC score of NT × CcrShv was statistically greater than T × CcrShv, with all other CC and tillage interactions being intermediate between the two. For PC6, the mean PC scores of T × CT and NT × CarSar were statistically greater than those of NT × CcrShv and T × CarSat, while NT × CT and T × CcrShv took intermediate values. **, ***, significant at the 0.05 and 0.01 probability levels, respectively.
3.3.2. Fungi and Archaea
Six PCs explained 44.7% of the variability represented by the 36 selected top-contributing fungal OTUs (Tables S3 and S5). PC1 had an eigenvalue of 3.2 and explained 9.1% of the variability, including a significant positive loading from Saitozyma podzolica. PC2 explained an additional 8.6% of the variability with a negative loading of an OTU belonging to class Agaricomycetes. PC3 included a significant positive loading from the genus Alternaria and a negative loading from the genus Penicillium. PC4 included a positive loading from an OTU in the class Agaricomycetes, which was different from that of PC2. PC5 had a positive loading from an OTU in the order Agaricales, whereas PC6 had a significant positive loading from genus Trichoderma.
The ANOVA on these fungal PCs showed that the tillage main effects were significant (p < 0.01) for PC2 and marginally significant (p < 0.1) for PC3 and PC5 (Table 4; Figure 1 and Figure 2). The main CC effects were significant for PC3 (p < 0.05) and PC4 (p < 0.01). The CC and tillage interaction effect was significant (p < 0.05) for PC5 (Figure 3). The mean separation procedure on these PCs showed that the mean PC scores were statistically greater with chisel tillage than no-till for PC2 and PC3, but the opposite was true for PC5. For PC3, the mean PC score was statistically greater with CarSar than CT and CcrShv. For PC4, the mean PC scores were statistically different for all CC treatments in the order of CarSar, CcrShv, and CT from greatest to smallest. For the CC and tillage interaction effect, the mean PC score was statistically greater with NT × CcrShv than NT × CarSar, T × CT, and T × CcrShv, while the other interactions took intermediate values.
Figure 3.
Response pattern of the bacterial and fungal indicator OTUs to cover cropping and tillage. Visual representation of the combined results of the principal component analyses (PCAs) and their mean separation procedure showing the most responsive bacterial and fungal indicator OTUs based on their effects on relative abundances following five years of cover cropping and tillage within corn–soybean rotations. For each taxon, the response of each OTU to cover crop rotation and tillage treatments was calculated as the mean PC score multiplied by the PC loading score of a listed OTU. Likewise, the whiskers represent the standard error of the mean PC scores for each cover crop and tillage treatment multiplied by the absolute value of each OTU loading. Cover crop rotations: CarSar—annual ryegrass CC following both corn and soybean (red), CcrShv—cereal rye following corn and hairy vetch following soybean (blue), CT—bare fallow control (yellow). The responses to cover cropping treatments are grouped by tillage practices on the x-axes; NT—no-till, T—chisel tillage. **, significant at the 0.05 probability level.
The five top-contributing archaeal OTUs all belonged to the family Nitrososphaeraceae: an unidentified Candidatus nitrososphaera OTU and unidentified archaeal OTUs SCA1154, SCA1158, SCA1166, and SCA1173 (Table S5). The ANOVA on each of these OTUs detected only one statistically significant main effect of CC (p < 0.05) on SCA1173 (Table 5). The mean RA of SCA1173 was statistically higher under bare fallow (CT) than under CarSar, with the rotation CcrShv showing intermediate values.
Table 5.
Analysis of variance (ANOVA) results for the effects of cover cropping (CC), tillage (Till), and their interaction (CC × Till) on the relative abundances (RAs, %) of archaeal indicator OTUs. The probability values of treatment effects and the degrees of freedom (df) are shown on the top rows. The treatment mean values and their standard errors are presented below. Within a treatment, and for a given column, mean values followed by the same lowercase letter were not statistically different (α = 0.05).
4. Discussion
Unlike the shifts in the soil microbiome we detected, chemical soil properties were only marginally influenced by cover crop rotations and tillage practices, partially because of the innate buffering capacity of the rich Mollisols across the region [13,14,58]. Soil NO3− was the only soil chemical property that responded to the treatments, and our results are consistent with past reports stating that grass CC reduces soil NO3− more effectively than legume CC that fixes N for themselves [12,59]. This effect, however, was less pronounced for NH4+, perhaps because crops preferentially utilize NO3− over NH4+ [60]. Similar to our results, there is no strong evidence that changes to the pH by CC and tillage can be meaningful enough for the soil microbiome [61,62]. Moreover, the high CEC of the present study’s soil indicated a greater buffering capacity against pH changes (Table 1). This innately high CEC would be resilient against changes from CC and tillage [13]. Indeed, a past meta-analysis on CC effects on soil properties reported smaller percentage changes in CEC than those of our results, but the differences in CEC were still not statistically significant [63]. Likewise, contributions to SOM from CC were likely overshadowed by those from cash crops [10]. Regarding the available P levels, the lack of response to the treatments that was found in our study somewhat agrees with the findings of the meta-analysis of Daryanto et al. [7], which concluded that successful soil P loss reduction by CC needs to be accompanied by other practices, such as reducing P fertilization and diversifying CC species. Similarly, due to their early spring suppression time, which ensures high tissue quality, rotations including CC did not show any important contrast in tissue composition, as measured by their C:N ratios.
On the other hand, the indicator microbes found in this study showed responses that were consistent with their known characteristics. This consistency, however, was not reflected by the β-diversity and phylum-level analyses, which highlighted the importance of finer-scale taxonomic analysis in metagenomics studies. Most notably, the RAs of bacterial OTUs consistently differed between the bare fallow CT and the legume-grass CC rotation CcrShv (Figure 2). Therefore, these bacterial OTUs could be categorized into two groups, which were “CT-favored” and “CcrShv-favored,” and each had distinct characteristics that could explain this dichotomy. The seven CcrShv-favored bacteria were likely aerobic organotrophs: the genera Cellulomonas [33,64], Solirubrobacter [65], Altererythrobacter [66], Massilia [67], the family AKYH767 [68,69], and two in the class Ktedonobacteria [70,71]. As CCs provide substrates as crop residues and root exudates, these decomposer OTUs responding positively to CC treatments was expected [22,72]. Furthermore, the extra supply of N fixed by the hairy vetch phase of the CcrShv would have furthered the CC benefits on these indicator OTUs than CarSar [73]. Moreover, all CcrShv-favored OTUs, except for the two Ktedonobacteria, belonged to the phyla that Fierer et al. [74] proposed, as the copiotrophs adapted to the nutrient-rich environment. Therefore, these CcrShv-favored OTUs represent the copiotrophic guild and could be used as bioindicators to gauge the microbiome’s capacity to decompose labile organic matter.
On the other hand, characteristics of the eight CT-favored bacteria implied an adaptation to stressful or oligotrophic soil environments. Each of the three CT-favored OTUs in the order SBR1031, and the families Opitutaceae and A21b were either strict or facultative anaerobes [75,76,77]. The OTU in the family Gemmatimonadaceae was documented to have adapted to lower soil moisture [78]. The OTU in the class Gitt-GS-136 was not well documented. Most importantly, the CT-favored bacteria included an ammonia-oxidizing bacterium (AOB; Nitrosomonadaceae) [79], a nitrite-oxidizing bacterium (NOB; N. japonica) [80], and a potential nitrate-reducing bacterium (Reyranella) [81]. As autotrophs that gain energy from oxidizing N compounds, AOB and NOB are better adapted to oligotrophic conditions compared to organotrophs by using organic C [82]. Similar to our results, Zheng et al. [36] found that the AOB family Nitrosomonadaceae decreased in abundance under legume CC, while [83] found that the abundance of N. japonica had a negative correlation with soil SOC. The reported characteristics of these CT-favored OTUs are consistent with the bare fallow soils being more oligotrophic [84], anaerobic, and drier [6,85] than the soil under CC. Therefore, these CT-favored bacteria can be used as bioindicators of these soil properties, the oligotrophic microbial guild, and the nitrifying and denitrifying potentials of the soil microbiome.
Bacterial responses to tillage treatments were only marginal (p < 0.1) but still displayed consistency with their known characteristics (Figure 1). In PC1, the CcrShv-favored OTUs were also more abundant with chisel tillage, while the CT-favored OTUs were more abundant with no-till conditions (Table 4). Tillage breaks the crop residues and incorporates them into the soil while increasing the surface temperature and aeration, thereby facilitating decomposition [86,87]. Under these conditions, the CcrShv-favored copiotrophic and aerobic organotrophs are expected to be more competitive over CT-favored stress-tolerant oligotrophs [34,74]. However, this pattern did not hold in PC2 and PC3, as CcrShv-favored OTUs were more abundant under no-till instead of chisel tillage. Considering that OTUs in PC2 and PC3 were either aerobic or facultatively anaerobic [70,71,75,80,88], the CT-favored OTUs in these PCs might have been responding positively to the soil aeration from tillage. The two Ktedonobacteria OTUs that responded positively to no-till somewhat contradicted a past report, where this class increased with conventional tillage over reduced tillage [89]. However, the class Ktedonobacteria is not well studied, and our results, which showed that its OTUs behaved uniquely from other copiotrophs (Figure 1 and Figure 2), suggest that more studies should focus on this class. The tillage effects on the soil microbiome found in this study were somewhat ambiguous compared to those of CC, as demonstrated by the marginal statistical difference (Table 4). This may owe to chisel tillage being less aggressive than typical conventional tillage methods, thus the microbial responses to tillage could be more clear-cut under practices like moldboard plowing [24]. The CT-favored oligotrophs in PC2 and PC3 responding positively to chisel tillage contradicts past studies [27,90], yet these analyses were limited to the phyla level, thereby highlighting the discrepancy between the collective microbial behaviors at higher taxonomic ranks and those of individual microbes.
Fungal indicator OTUs or their combined behaviors did not show consistent trends in their responses to CC or tillage (Figure 1 and Figure 2). This variability in fungal responses might be a result of a diverse fungal ecology that includes saprotrophs, symbiotrophs, and pathogens [91]. Indeed, the two fungal OTUs in PC3—Alternaria and Penicillium—that responded to both CC and tillage methods are common crop endophytes, which contrasted with our bacteria OTUs that are unlikely plant symbionts [92]. Possibly, fungal OTUs that responded positively to no-till could be hyphal species that are negatively affected by the physical disruption from tillage [35]. Some fungi are more specialized at degrading recalcitrant parts of the crop residues and SOM than bacteria [93]. Fungi may therefore be more competitive than bacteria with CarSar, as grass-only CarSar provides less inorganic N for bacteria to degrade recalcitrant substrates. This could explain why fungal responses to CarSar differed statistically from CT and CcrShv (Figure 2).
The one archaeal indicator SCA1173 that responded significantly to CC belonged to the family Nitrososphaera, one of the most represented ammonia-oxidizing archaea (AOA) [94,95]. Interestingly, this indicator archaeon was more abundant with CT than CarSar, with an intermediate response to CcrShv (Table 5). Zhalnina et al. [96] found that an uncultured Nitrososphaera OTU positively correlated with the soil ammonia (NH3) level, which is the substrate for ammonia oxidation. Considering that CT does not have CC to compete for soil inorganic N and CcrShv fixes NH3, AOA responding negatively to CarSar was expected. Moreover, the oligotrophic conditions of CT provide a better niche for autotrophic AOA, which further explains the statistical difference between its responses to CT and CarSar [82]. Considering the small number of total archaeal OTUs identified in this study, current methods should be improved to detect archaea as potential bioindicators of soil health.
Overall, our results show that cover cropping and tillage benefit copiotrophic decomposers, which was more pronounced with legume-grass CC rotation than grass-only CC. Because legume CC can fix a considerable amount of N until suppression, copiotrophic decomposers compete less with the microbes for soil inorganic N than grass CC [12,13,97]. Under this N surplus, copiotrophs dominate the decomposition and promote a positive priming effect that decomposes SOM and crop residues [98,99]. Here, the low C:N of the CC residues at the time of suppression would lead to N mineralization [100]. This effect manifested as similar levels of total soil inorganic N between the CC treatments (Table 1) [101]. The higher microbial N mineralization could be partially responsible for the statistically higher NO3- level with CcrShv than CarSar, explaining the reduced ability of legume CC to scavenge N compared to grass CC [102,103].
The bacterial community structure differed significantly by tillage only (Table 3), unlike our OTU-level results that showed sensitivity to CC treatments (Figure 1 and Figure 2). Instead, the β-diversity results were comparable to the bacterial phyla responding significantly to tillage (Figure S2), thereby failing to represent the significant behaviors of the bioindicator OTUs. Unlike bacteria, the responses of indicator archaeal and fungal OTUs differed statistically between the CC and tillage treatments, which also showed significant shifts in the community structure (Table 4 and Table 5; Figure 1 and Figure 2). Compared with the 1832 total bacterial OTUs, fungi and archaea only had 313 and 19 OTUs, respectively. With a much lower species richness, each fungal and archaeal OTU had much more of a statistical impact on the β-diversity, which is likely the reason why β-diversity followed the trends of archaeal and fungal OTUs. This discrepancy between the analysis at finer taxonomic scales and at the community scale demonstrated that limiting the analysis to the latter may neglect valuable information regarding the soil microbiome, especially considering the striking consistency between the behaviors of indicator bacterial OTUs.
5. Conclusions
This study showed that cover cropping and tillage differentially changed the RAs of the copiotrophic and oligotrophic guilds, mainly through changing the soil nutrient availability, aeration, and moisture conditions. The legume-grass CC rotation benefited the decomposers noticeably more than grass-only CC, likely due to N-fixation. We identified a handful of sensitive taxa that are potential bioindicators of important soil processes. Among them, the promising bioindicators were bacterial genera Cellulomonas, Solirubacter, Altererythrobacter, and Massilia representing the aerobic decomposers, bacterial family Nitrosomonadaceae for ammonia oxidation, and bacterial genera Nitrospira and Reyranella for nitrite oxidation and nitrate reduction, respectively. Unlike bacteria, we found fewer indicator fungi and archaea; fungi were poorly identified and their responses were inconsistent, while the AOA family Nitrososphaeraceae responded positively to CT. Future research should verify and expand on the bioindicators found in this study under different temporal and geographical conditions to develop them into a valuable soil health evaluation tool. Our results also showed that community-level or phyla-level characterization of the soil microbiome may not reflect the microbial behaviors well at lower taxonomic ranks and overlook their significance. This study established the first platform in cover crop research for finer taxonomic analysis on the soil microbiome, and we provided microbial evidence that improves our mechanistic understanding of why grass CC has a higher potential than legume CC within corn–soybean rotations to reduce soil nutrient loss.
Supplementary Materials
The following are available online at https://www.mdpi.com/2076-2607/8/11/1773/s1, Figure S1: Rarefaction curves, Figure S2: Response pattern of bacterial and fungal indicator operational taxonomic units (OTUs, phylum level) to tillage and cover cropping, Table S1: Summary and dates of field practices in Savoy, IL, USA, throughout the duration of the experiment, Table S2: The list of top-contributing bacterial, fungal, and archaeal OTUs selected using bootstrap forest partitioning methods in JMP®, Table S3: Principal component analysis (PCA) results of the top contributing bacterial and fungal OTUs based on their relative abundances, Table S4: List of indicator species identified for the Bacteria taxa, Table S5: List of indicator species identified for the Fungi and Archaea taxa.
Author Contributions
Conceptualization, M.B.V. and M.C.Z.; methodology, N.K., C.W.R., M.C.Z., and S.R.-Z.; formal analysis, M.B.V., N.K., and S.R.-Z.; resources, M.B.V., S.R.-Z., and C.W.R.; data curation, M.B.V., M.C.Z., C.W.R., and N.K.; writing—original draft preparation, N.K. and M.B.V.; writing—review and editing, C.W.R., S.R.-Z., and M.C.Z.; supervision, project administration, and funding acquisition, M.B.V. All authors have read and agreed to the published version of the manuscript.
Funding
This research was partially funded by the Illinois Nutrient Research and Education Council (IL-NREC), award no. 2013-03556-01, and by subsequent awards from United States Department of Agriculture National Institute of Food and Agriculture (USDA NIFA), grant no. ILLU-802-947 and award no. AG2018-67019-27807.
Acknowledgments
We acknowledge Alvaro Hernandez and Mark Band from the Roy Carver Biotechnology Center for Functional Genomics lab at the University of Illinois at Urbana-Champaign for their assistance with the creation of the amplicon libraries.
Conflicts of Interest
The authors declare no conflict of interest. The funders had no role in the design of the study; in the collection, analyses, or interpretation of data; in the writing of the manuscript, or in the decision to publish the results.
References
- Bender, S.F.; Wagg, C.; van der Heijden, M.G.A. An underground revolution: Biodiversity and soil ecological engineering for agricultural sustainability. Trends Ecol. Evol. 2016, 31, 440–452. [Google Scholar] [CrossRef] [PubMed]
- Fowler, D.; Coyle, M.; Skiba, U.; Sutton, M.A.; Cape, J.N.; Reis, S.; Sheppard, L.J.; Jenkins, A.; Grizzetti, B.; Galloway, J.N.; et al. The global nitrogen cycle in the twenty-first century. Philos. Trans. R. Soc. Lond. B Biol. Sci. 2013, 368, 20130164. [Google Scholar] [CrossRef] [PubMed]
- Illinois Environmental Protection Agency, Illinois Department of Agriculture, University of Illinois Extension. Illinois Nutrient Loss Reduction Strategy (INLRS). 2015. Available online: https://www2.illinois.gov/epa/Documents/iepa/water-quality/watershed-management/nlrs/nlrs-final-revised-083115.pdf (accessed on 1 November 2020).
- Pennino, M.J.; Compton, J.E.; Leibowitz, S.G. Trends in drinking water nitrate violations across the United States. Environ. Sci. Technol. 2017, 51, 13450–13460. [Google Scholar] [CrossRef] [PubMed]
- Villamil, M.B.; Bollero, G.A.; Darmody, R.G.; Simmons, F.W.; Bullock, D.G. No-till corn/soybean systems including winter cover crops. Soil Sci. Soc. Am. J. 2006, 70, 1936–1944. [Google Scholar] [CrossRef]
- Villamil, M.B.; Miguez, F.E.; Bollero, G.A. Multivariate analysis and visualization of soil quality data for no-till systems. J. Environ. Qual. 2008, 37, 2063–2069. [Google Scholar] [CrossRef]
- Daryanto, S.; Fu, B.J.; Wang, L.X.; Jacinthe, P.A.; Zhao, W.W. Quantitative synthesis on the ecosystem services of cover crops. Earth Sci. Rev. 2018, 185, 357–373. [Google Scholar] [CrossRef]
- Quemada, M.; Baranski, M.; Nobel-de Lange, M.N.J.; Vallejo, A.; Cooper, J.M. Meta-analysis of strategies to control nitrate leaching in irrigated agricultural systems and their effects on crop yield. Agric. Ecosyst. Environ. 2013, 174, 1–10. [Google Scholar] [CrossRef]
- Acuña, J.C.M.; Villamil, M.B. Short-term effects of cover crops and compaction on soil properties and soybean production in Illinois. Agron. J. 2014, 106, 860–870. [Google Scholar] [CrossRef]
- Behnke, G.D.; Villamil, M.B. Cover crop rotations affect greenhouse gas emissions and crop production in Illinois, USA. Field Crops. Res. 2019, 241, 107580. [Google Scholar] [CrossRef]
- Kaspar, T.C.; Jaynes, D.B.; Parkin, T.B.; Moorman, T.B.; Singer, J.W. Effectiveness of oat and rye cover crops in reducing nitrate losses in drainage water. Agric. Water Manag. 2012, 110, 25–33. [Google Scholar] [CrossRef]
- Tonitto, C.; David, M.B.; Drinkwater, L.E. Replacing bare fallows with cover crops in fertilizer-intensive cropping systems: A meta-analysis of crop yield and n dynamics. Agric. Ecosyst. Environ. 2006, 112, 58–72. [Google Scholar] [CrossRef]
- Behnke, G.D.; Kim, N.; Villamil, M.B. Agronomic assessment of cover cropping and tillage practices across environments. Agron. J. 2020, 1–16. [Google Scholar] [CrossRef]
- Dozier, I.A.; Behnke, G.D.; Davis, A.S.; Nafziger, E.D.; Villamil, M.B. Tillage and cover cropping effects on soil properties and crop production in illinois. Agron. J. 2017, 109, 1261–1270. [Google Scholar] [CrossRef]
- Pittelkow, C.M.; Linquist, B.A.; Lundy, M.E.; Liang, X.; Van Groenigen, K.J.; Lee, J.; Van Gestel, N.; Six, J.; Venterea, R.T.; Van Kessel, C. When does no-till yield more? A global meta-analysis. Field Crops Res. 2015, 183, 156–168. [Google Scholar] [CrossRef]
- Kibet, L.C.; Blanco-Canqui, H.; Jasa, P. Long-term tillage impacts on soil organic matter components and related properties on a typic Argiudoll. Soil Tillage Res. 2016, 155, 78–84. [Google Scholar] [CrossRef]
- Sainju, U.M.; Singh, B.P.; Whitehead, W.F. Long-term effects of tillage, cover crops, and nitrogen fertilization on organic carbon and nitrogen concentrations in sandy loam soils in Georgia, USA. Soil Tillage Res. 2002, 63, 167–179. [Google Scholar] [CrossRef]
- Singh, G.; Williard, K.W.J.; Schoonover, J.E. Cover crops and tillage influence on nitrogen dynamics in plant-soil-water pools. Soil Sci. Soc. Am. J. 2018, 82, 1572–1582. [Google Scholar] [CrossRef]
- Frasier, I.; Noellemeyer, E.; Figuerola, E.; Erijman, L.; Permingeat, H.; Quiroga, A. High quality residues from cover crops favor changes in microbial community and enhance C and N sequestration. Glob. Ecol. Conserv. 2016, 6, 242–256. [Google Scholar] [CrossRef]
- Hallama, M.; Pekrun, C.; Lambers, H.; Kandeler, E. Hidden miners—The roles of cover crops and soil microorganisms in phosphorus cycling through agroecosystems. Plant Soil 2019, 434, 7–45. [Google Scholar] [CrossRef]
- Hirsch, P.R.; Mauchline, T.H. Chapter Two—The Importance of the Microbial N Cycle in Soil for Crop Plant Nutrition; Sariaslani, S., Gadd, G.M., Eds.; Adv. Appl. Microbiol. 93; Academic Press: Cambridge, MA, USA, 2015; pp. 45–71. [Google Scholar]
- Jacoby, R.; Peukert, M.; Succurro, A.; Koprivova, A.; Kopriva, S. The role of soil microorganisms in plant mineral nutrition-current knowledge and future directions. Front. Plant Sci. 2017, 8, 1617. [Google Scholar] [CrossRef]
- Kim, N.; Zabaloy, M.C.; Guan, K.Y.; Villamil, M.B. Do cover crops benefit soil microbiome? A meta-analysis of current research. Soil Biol. Biochem. 2020, 142, 107701. [Google Scholar] [CrossRef]
- Zuber, S.M.; Villamil, M.B. Meta-analysis approach to assess effect of tillage on microbial biomass and enzyme activities. Soil Biol. Biochem. 2016, 97, 176–187. [Google Scholar] [CrossRef]
- Sun, R.; Zhang, P.; Riggins, C.W.; Zabaloy, M.C.; Rodríguez-Zas, S.; Villamil, M.B. Long-term n fertilization decreased diversity and altered the composition of soil bacterial and archaeal communities. Agronomy 2019, 9, 574. [Google Scholar] [CrossRef]
- Wolińska, A.; Kuźniar, A.; Zielenkiewicz, U.; Banach, A.; Błaszczyk, M. Indicators of arable soils fatigue—Bacterial families and genera: A metagenomic approach. Ecol. Indic. 2018, 93, 490–500. [Google Scholar] [CrossRef]
- Srour, A.; Ammar, H.A.; Subedi, A.; Pimentel, M.; Cook, R.L.; Bond, J.; Fakhoury, A.M. Microbial communities associated with long-term tillage and fertility treatments in a corn-soybean cropping system. Front. Microbiol. 2020, 11, 1363. [Google Scholar] [CrossRef]
- Calle, M.L. Statistical analysis of metagenomics data. Genom. Inform. 2019, 17, e6. [Google Scholar] [CrossRef] [PubMed]
- Gao, S.; Zhou, G.; Rees, R.M.; Cao, W. Green manuring inhibits nitrification in a typical paddy soil by changing the contributions of ammonia-oxidizing archaea and bacteria. Appl. Soil Ecol. 2020, 156, 103698. [Google Scholar] [CrossRef]
- Alahmad, A.; Decocq, G.; Spicher, F.; Kheirbeik, L.; Kobaissi, A.; Tetu, T.; Dubois, F.; Duclercq, J. Cover crops in arable lands increase functional complementarity and redundancy of bacterial communities. J. Appl. Ecol. 2019, 56, 651–664. [Google Scholar] [CrossRef]
- Romdhane, S.; Spor, A.; Busset, H.; Falchetto, L.; Martin, J.; Bizouard, F.; Bru, D.; Breuil, M.-C.; Philippot, L.; Cordeau, S. Cover crop management practices rather than composition of cover crop mixtures affect bacterial communities in no-till agroecosystems. Front. Microbiol. 2019, 10, 11. [Google Scholar] [CrossRef] [PubMed]
- Fierer, N.; Jackson, R.B. The diversity and biogeography of soil bacterial communities. Proc. Natl. Acad. Sci. USA 2006, 103, 626–631. [Google Scholar] [CrossRef]
- Zheng, W.; Zhao, Z.; Gong, Q.; Zhai, B.; Li, Z. Responses of fungal–bacterial community and network to organic inputs vary among different spatial habitats in soil. Soil Biol. Biochem. 2018, 125, 54–63. [Google Scholar] [CrossRef]
- Pascault, N.; Ranjard, L.; Kaisermann, A.; Bachar, D.; Christen, R.; Terrat, S.; Mathieu, O.; Lévêque, J.; Mougel, C.; Henault, C.; et al. Stimulation of different functional groups of bacteria by various plant residues as a driver of soil priming effect. Ecosystems 2013, 16, 810–822. [Google Scholar] [CrossRef]
- Sharma-Poudyal, D.; Schlatter, D.; Yin, C.; Hulbert, S.; Paulitz, T. Long-term no-till: A major driver of fungal communities in dryland wheat cropping systems. PLoS ONE 2017, 12, e0184611. [Google Scholar] [CrossRef] [PubMed]
- Zheng, W.; Zhao, Z.; Gong, Q.; Zhai, B.; Li, Z. Effects of cover crop in an apple orchard on microbial community composition, networks, and potential genes involved with degradation of crop residues in soil. Biol. Fertil. Soils 2018, 54, 743–759. [Google Scholar] [CrossRef]
- Official Soil Series Descriptions. NRCS USDA. 2019. Available online: https://www.nrcs.usda.gov/wps/portal/nrcs/detail/soils/home/?cid=nrcs142p2_053587 (accessed on 12 June 2020).
- Villamil, M.B.; Nafziger, E.D. Agronomic and Environmental Assessment of Cover Crops Project Data. Mendeley Data. 2019. Available online: https://doi.org/10.17632/7rn62y2cps.1 (accessed on 1 November 2020).
- Brown, J.R. Recommended Chemical Soil Test Procedures for the North Central Region (No. 1001); University of Missouri: Columbia, MO, USA, 1998. [Google Scholar]
- Fierer, N.; Jackson, J.A.; Vilgalys, R.; Jackson, R.B. Assessment of soil microbial community structure by use of taxon-specific quantitative pcr assays. Appl. Environ. Microbiol. 2005, 71, 4117–4120. [Google Scholar] [CrossRef]
- Colman, D.R.; Thomas, R.; Maas, K.R.; Takacs-Vesbach, C.D. Detection and analysis of elusive members of a novel and diverse archaeal community within a thermal spring streamer consortium. Extremophiles 2015, 19, 307–313. [Google Scholar] [CrossRef]
- Crawford, J.W.; Deacon, L.; Grinev, D.; Harris, J.A.; Ritz, K.; Singh, B.K.; Young, I. Microbial diversity affects self-organization of the soil microbe system with consequences for function. J. R. Soc. Interface 2012, 9, 1302–1310. [Google Scholar] [CrossRef]
- Bolyen, E.; Rideout, J.; Dillon, M.; Bokulich, N.; Abnet, C.; Al-Ghalith, G.; Alexander, H.; Alm, E.J.; Arumugam, M.; Asnicar, F.; et al. Reproducible, interactive, scalable and extensible microbiome data science using qiime 2. Nat. Biotechnol. 2019, 37, 852–857. [Google Scholar] [CrossRef]
- Hall, M.; Beiko, R.G. 16s rrna Gene Analysis with qiime2; Beiko, R., Hsiao, W.J.P., Eds.; Microbiome analysis. 1849; Humana Press: New York, NY, USA, 2018; pp. 113–129. [Google Scholar]
- Li, X.; Nair, A.; Wang, S.; Wang, L. Quality Control of rna-seq Experiments; Picardi, E., Ed.; RNA Bioinformatics; Humana Press: New York, NY, USA, 2015; pp. 137–146. [Google Scholar]
- Callahan, B.J.; McMurdie, P.J.; Rosen, M.J.; Han, A.W.; Johnson, A.J.A.; Holmes, S.P. Dada2: High-resolution sample inference from Illumina amplicon data. Nat. Method 2016, 13, 581–583. [Google Scholar] [CrossRef]
- Rozewicki, J.; Li, S.; Amada, K.M.; Standley, D.M.; Katoh, K. Mafft-dash: Integrated protein sequence and structural alignment. Nucleic Acids Res. 2019, 47, W5–W10. [Google Scholar] [CrossRef]
- Nakamura, T.; Yamada, K.D.; Tomii, K.; Katoh, K. Parallelization of mafft for large-scale multiple sequence alignments. Bioinformatics 2018, 34, 2490–2492. [Google Scholar] [CrossRef] [PubMed]
- Quast, C.; Pruesse, E.; Yilmaz, P.; Gerken, J.; Schweer, T.; Yarza, P.; Peplies, J.; Glöckner, F.O. The silva ribosomal rna gene database project: Improved data processing and web-based tools. Nucleic Acids Res. 2013, 41, D590–D596. [Google Scholar] [CrossRef] [PubMed]
- R Core Team. R: A Language and Environment for Statistical Computing; R Foundation for Statistical Computing: Vienna, Austria, 2019; Available online: http://www.R-project.org/ (accessed on 1 December 2019).
- Wickham, H. Ggplot2: Elegant Graphics for Data Analysis; Springer: Berlin/Heidelberg, Germany, 2016. [Google Scholar]
- SAS Institute Inc. Jmp 14 Predictive and Specialized Modeling; SAS Institute: Cary, NC, USA, 2018; 464p. [Google Scholar]
- Tracy, B.; Coopersmith, C.; Silverman, M.; Fassler, M.; McCarty, E.; Gelbard, R. 1753: Bootstrap forest model predicts neurostimulant therapy after severe traumatic brain injury. Crit. Care Med. 2020, 48, 851. [Google Scholar] [CrossRef]
- Vlasova-St Louis, I.; Chang, C.C.; Shahid, S.; French, M.A.; Bohjanen, P.R. Transcriptomic predictors of paradoxical cryptococcosis-associated immune reconstitution inflammatory syndrome. Open Forum Infect. Dis. 2018, 5, ofy157. [Google Scholar] [CrossRef]
- Tabachnick, B.G.; Fidell, L.S.; Ullman, J.B. Using Multivariate Statistics; Pearson: Boston, MA, USA, 2007. [Google Scholar]
- Anderson, M.J. Permutational Multivariate Analysis of Variance (PERMANOVA). Balakrishnan, N., Colton, T., Everitt, B., Piegorsch, W., Ruggeri, F., Teugels, J.L., Eds.; Wiley StatsRef: Statistics Reference Online. 2017, pp. 1–15. Available online: https://doi.org/10.1002/9781118445112.stat07841 (accessed on 12 June 2020).
- Storey, J.D. The positive false discovery rate: A bayesian interpretation and the q-value. Ann. Stat. 2003, 31, 2013–2035. [Google Scholar] [CrossRef]
- Necpalova, M.; Anex, R.P.; Kravchenko, A.N.; Abendroth, L.J.; Del Grosso, S.J.; Dick, W.A.; Helmers, M.J.; Herzmann, D.; Lauer, J.G.; Nafziger, E.D.; et al. What does it take to detect a change in soil carbon stock? A regional comparison of minimum detectable difference and experiment duration in the north central united states. J. Soil Water Conserv. 2014, 69, 517–531. [Google Scholar] [CrossRef]
- Basche, A.D.; Miguez, F.E.; Kaspar, T.C.; Castellano, M.J. Do cover crops increase or decrease nitrous oxide emissions? A meta-analysis. J. Soil Water Conserv. 2014, 69, 471–482. [Google Scholar] [CrossRef]
- Yan, L.; Xu, X.; Xia, J. Different impacts of external ammonium and nitrate addition on plant growth in terrestrial ecosystems: A meta-analysis. Sci. Total Environ. 2019, 686, 1010–1018. [Google Scholar] [CrossRef]
- Chen, H.; Dai, Z.; Veach, A.M.; Zheng, J.; Xu, J.; Schadt, C.W. Global meta-analyses show that conservation tillage practices promote soil fungal and bacterial biomass. Agric. Ecosyst. Environ. 2020, 293, 106841. [Google Scholar] [CrossRef]
- Qi, G.; Chen, S.; Ke, L.; Ma, G.; Zhao, X. Cover crops restore declining soil properties and suppress bacterial wilt by regulating rhizosphere bacterial communities and improving soil nutrient contents. Microbiol. Res. 2020, 238, 126505. [Google Scholar] [CrossRef]
- Jian, J.; Lester, B.J.; Du, X.; Reiter, M.S.; Stewart, R.D. A calculator to quantify cover crop effects on soil health and productivity. Soil Tillage Res. 2020, 199, 104575. [Google Scholar] [CrossRef]
- Tian, Y.; Han, C.; Hu, J.; Zhao, J.; Zhang, C.; Guo, X.; Wang, X.; Xiang, W. Cellulomonas rhizosphaerae sp. Nov., a novel actinomycete isolated from soil. Int. J. Syst. Evol. Microbiol. 2019, 69, 1001–1008. [Google Scholar] [CrossRef] [PubMed]
- Singleton, D.R.; Furlong, M.A.; Peacock, A.D.; White, D.C.; Coleman, D.C.; Whitman, W.B. Solirubrobacter pauli gen. Nov., sp. Nov., a mesophilic bacterium within the rubrobacteridae related to common soil clones. Int. J. Syst. Evol. Microbiol. 2003, 53, 485–490. [Google Scholar] [CrossRef]
- Yuan, N.; Zeng, Y.; Feng, H.; Yu, Z.; Huang, Y. Altererythrobacter xixiisoli sp. Nov., isolated from wetland soil. Int. J. Syst. Evol. Microbiol. 2017, 67, 3655–3659. [Google Scholar] [CrossRef] [PubMed]
- La Scola, B.; Birtles, R.J.; Mallet, M.-N.; Raoult, D. Massilia timonae; gen. Nov., sp. Nov., isolated from blood of an immunocompromised patient with cerebellar lesions. J. Clin. Microbiol. 1998, 36, 2847. [Google Scholar] [CrossRef]
- Kämpfer, P. Order i. Sphingobacteriales ord. Nov. Bergey’s Manual Trust; John Wiley & Sons, Inc.: Hoboken, NJ, USA, 2011; 330p. [Google Scholar]
- Yabuuchi, E.; Kaneko, T.; Yano, I.; Moss, C.W.; Miyoshi, N. Sphingobacterium gen. Nov., sphingobacterium spiritivorum comb. Nov., sphingobacterium multivorum comb. Nov., sphingobacterium mizutae sp. Nov., and flavobacterium indologenes sp. Nov.: Glucose-nonfermenting gram-negative rods in cdc groups iik-2 and iib. Int. J. Syst. Evol. Microbiol. 1983, 33, 580–598. [Google Scholar] [CrossRef]
- Cavaletti, L.; Monciardini, P.; Bamonte, R.; Schumann, P.; Rohde, M.; Sosio, M.; Donadio, S. New lineage of filamentous, spore-forming, gram-positive bacteria from soil. Appl. Environ. Microbiol. 2006, 72, 4360. [Google Scholar] [CrossRef]
- Yabe, S.; Sakai, Y.; Abe, K.; Yokota, A. Diversity of Ktedonobacteria with actinomycetes-like morphology in terrestrial environments. Microbes Environ. 2017, 32, 61–70. [Google Scholar] [CrossRef]
- Drost, S.M.; Rutgers, M.; Wouterse, M.; de Boer, W.; Bodelier, P.L.E. Decomposition of mixtures of cover crop residues increases microbial functional diversity. Geoderma 2020, 361, 11. [Google Scholar] [CrossRef]
- Balota, E.L.; Calegari, A.; Nakatani, A.S.; Coyne, M.S. Benefits of winter cover crops and no-tillage for microbial parameters in a brazilian Oxisol: A long-term study. Agric. Ecosyst. Environ. 2014, 197, 31–40. [Google Scholar] [CrossRef]
- Fierer, N.; Bradford, M.A.; Jackson, R.B. Toward an ecological classification of soil bacteria. Ecology 2007, 88, 1354–1364. [Google Scholar] [CrossRef] [PubMed]
- Choo, Y.-J.; Lee, K.; Song, J.; Cho, J.-C. Puniceicoccus vermicola gen. Nov., sp. Nov., a novel marine bacterium, and description of puniceicoccaceae fam. Nov., puniceicoccales ord. Nov., opitutaceae fam. Nov., opitutales ord. Nov. and opitutae classis nov. In the phylum ‘Verrucomicrobia’. Int. J. Syst. Evol. Microbiol. 2007, 57, 532–537. [Google Scholar] [CrossRef] [PubMed]
- McIlroy, S.J.; Awata, T.; Nierychlo, M.; Albertsen, M.; Kindaichi, T.; Nielsen, P.H. Characterization of the in situ ecophysiology of novel phylotypes in nutrient removal activated sludge treatment plants. PLoS ONE 2015, 10, e0136424. [Google Scholar] [CrossRef] [PubMed]
- Xia, Y.; Wang, Y.; Wang, Y.; Chin, F.Y.L.; Zhang, T. Cellular adhesiveness and cellulolytic capacity in anaerolineae revealed by omics-based genome interpretation. Biotechnol. Biofuels 2016, 9, 111. [Google Scholar] [CrossRef] [PubMed]
- Fawaz, M. Revealing the Ecological Role of Gemmatimonadetes through Cultivation and Molecular Analysis of Agricultural Soils; University of Tennessee: Knoxville, TN, USA, 2013. [Google Scholar]
- Fernandez, A.L.; Sheaffer, C.C.; Wyse, D.L.; Staley, C.; Gould, T.J.; Sadowsky, M.J. Associations between soil bacterial community structure and nutrient cycling functions in long-term organic farm soils following cover crop and organic fertilizer amendment. Sci. Total Environ. 2016, 566–567, 949–959. [Google Scholar] [CrossRef] [PubMed]
- Ushiki, N.; Fujitani, H.; Aoi, Y.; Tsuneda, S. Isolation of Nitrospira belonging to sublineage ii from a wastewater treatment plant. Microbes Environ. 2013, 28, 346–353. [Google Scholar] [CrossRef]
- Kim, S.-J.; Ahn, J.-H.; Lee, T.-H.; Weon, H.-Y.; Hong, S.-B.; Seok, S.-J.; Whang, K.-S.; Kwon, S.-W. Reyranella soli sp. Nov., isolated from forest soil, and emended description of the genus Reyranella pagnier et al. 2011. Int. J. Syst. Evol. Microbiol. 2013, 63 Pt 9, 3164–3167. [Google Scholar] [CrossRef]
- Prosser, J.I.; Nicol, G.W. Archaeal and bacterial ammonia-oxidisers in soil: The quest for niche specialisation and differentiation. Trends Microbiol. 2012, 20, 523–531. [Google Scholar] [CrossRef]
- Zhang, Q.; Li, Y.; He, Y.; Liu, H.; Dumont, M.G.; Brookes, P.C.; Xu, J. Nitrosospira cluster 3-like bacterial ammonia oxidizers and nitrospira-like nitrite oxidizers dominate nitrification activity in acidic terrace paddy soils. Soil Biol. Biochem. 2019, 131, 229–237. [Google Scholar] [CrossRef]
- Mazzoncini, M.; Sapkota, T.B.; Bàrberi, P.; Antichi, D.; Risaliti, R. Long-term effect of tillage, nitrogen fertilization and cover crops on soil organic carbon and total nitrogen content. Soil Tillage Res. 2011, 114, 165–174. [Google Scholar] [CrossRef]
- Hubbard, R.K.; Strickland, T.C.; Phatak, S. Effects of cover crop systems on soil physical properties and carbon/nitrogen relationships in the coastal plain of southeastern USA. Soil Tillage Res. 2013, 126, 276–283. [Google Scholar] [CrossRef]
- Lupwayi, N.Z.; Clayton, G.W.; O’Donovan, J.T.; Harker, K.N.; Turkington, T.K.; Rice, W.A. Decomposition of crop residues under conventional and zero tillage. Can. J. Soil Sci. 2004, 84, 403–410. [Google Scholar] [CrossRef]
- Lynch, M.J.; Mulvaney, M.J.; Hodges, S.C.; Thompson, T.L.; Thomason, W.E. Decomposition, nitrogen and carbon mineralization from food and cover crop residues in the central plateau of Haiti. SpringerPlus 2016, 5, 973. [Google Scholar] [CrossRef] [PubMed]
- Lee, H.; Kim, D.-U.; Lee, S.; Park, S.; Yoon, J.-H.; Seong, C.N.; Ka, J.-O. Reyranella terrae sp. Nov., isolated from an agricultural soil, and emended description of the genus Reyranella. Int. J. Syst. Evol. Microbiol. 2017, 67, 2031–2035. [Google Scholar] [CrossRef] [PubMed]
- de Vries, M.; Schöler, A.; Ertl, J.; Xu, Z.; Schloter, M. Metagenomic analyses reveal no differences in genes involved in cellulose degradation under different tillage treatments. FEMS Microbiol. Ecol. 2015, 91. [Google Scholar] [CrossRef] [PubMed]
- Ramirez-Villanueva, D.A.; Bello-López, J.M.; Navarro-Noya, Y.E.; Luna-Guido, M.; Verhulst, N.; Govaerts, B.; Dendooven, L. Bacterial community structure in maize residue amended soil with contrasting management practices. Appl. Soil Ecol. 2015, 90, 49–59. [Google Scholar] [CrossRef]
- Schmidt, R.; Mitchell, J.; Scow, K. Cover cropping and no-till increase diversity and symbiotroph:Saprotroph ratios of soil fungal communities. Soil Biol. Biochem. 2019, 129, 99–109. [Google Scholar] [CrossRef]
- Yadav, A.N.; Kumar, V.; Dhaliwal, H.S.; Prasad, R.; Saxena, A.K. Microbiome in Crops: Diversity, Distribution, and Potential Role in Crop Improvement; Prasad, R., Gill, S.S., Tuteja, N., Eds.; Crop Improvement through Microbial Biotechnology; Elsevier: Amsterdam, The Netherlands, 2018; pp. 305–332. [Google Scholar]
- De Boer, W.; Folman, L.B.; Summerbell, R.C.; Boddy, L. Living in a fungal world: Impact of fungi on soil bacterial niche development. FEMS Microbiol. Rev. 2005, 29, 795–811. [Google Scholar] [CrossRef]
- Kerou, M.; Schleper, C. Nitrososphaera; Bergey’s Manual Trust; John Wiley & Sons, Inc.: Hoboken, NJ, USA, 2016; pp. 1–10. [Google Scholar]
- Taylor, A.E.; Zeglin, L.H.; Dooley, S.; Myrold, D.D.; Bottomley, P.J. Evidence for different contributions of archaea and bacteria to the ammonia-oxidizing potential of diverse Oregon soils. Appl. Environ. Microbiol. 2010, 76, 7691–7698. [Google Scholar] [CrossRef]
- Zhalnina, K.; De Quadros, P.D.; Gano, K.A.; Davis-Richardson, A.; Fagen, J.R.; Brown, C.T.; Giongo, A.; Drew, J.C.; Sayavedra-Soto, L.A.; Arp, D.J.; et al. Ca. Nitrososphaera and Bradyrhizobium are inversely correlated and related to agricultural practices in long-term field experiments. Front. Microbiol. 2013, 4, 104. [Google Scholar] [CrossRef]
- Perrone, S.; Grossman, J.; Liebman, A.; Sooksa-nguan, T.; Gutknecht, J. Nitrogen fixation and productivity of winter annual legume cover crops in upper Midwest organic cropping systems. Nutr. Cycl. Agroecosyst. 2020, 117, 1–16. [Google Scholar] [CrossRef]
- Chen, R.; Senbayram, M.; Blagodatsky, S.; Myachina, O.; Dittert, K.; Lin, X.; Blagodatskaya, E.; Kuzyakov, Y. Soil C and N availability determine the priming effect: Microbial N mining and stoichiometric decomposition theories. Glob. Chang. Biol. 2014, 20, 2356–2367. [Google Scholar] [CrossRef] [PubMed]
- Norris, M.D.; Avis, P.G.; Reich, P.B.; Hobbie, S.E. Positive feedbacks between decomposition and soil nitrogen availability along fertility gradients. Plant Soil 2013, 367, 347–361. [Google Scholar] [CrossRef]
- Sainju, U.M.; Whitehead, W.F.; Singh, B.P. Biculture legume–cereal cover crops for enhanced biomass yield and carbon and nitrogen. Agron. J. 2005, 97, 1403–1412. [Google Scholar] [CrossRef]
- Kuzyakov, Y.; Friedel, J.K.; Stahr, K. Review of mechanisms and quantification of priming effects. Soil Biol. Biochem. 2000, 32, 1485–1498. [Google Scholar] [CrossRef]
- Gonzalez, J.M. Runoff and losses of nutrients and herbicides under long-term conservation practices (no-till and crop rotation) in the U.S. Midwest: A variable intensity simulated rainfall approach. Int. Soil Water Conserv. Res. 2018, 6, 265–274. [Google Scholar] [CrossRef]
- Shackelford, G.E.; Kelsey, R.; Dicks, L.V. Effects of cover crops on multiple ecosystem services: Ten meta-analyses of data from arable farmland in California and the Mediterranean. Land Use Policy 2019, 88, 104204. [Google Scholar] [CrossRef]
Publisher’s Note: MDPI stays neutral with regard to jurisdictional claims in published maps and institutional affiliations. |
© 2020 by the authors. Licensee MDPI, Basel, Switzerland. This article is an open access article distributed under the terms and conditions of the Creative Commons Attribution (CC BY) license (http://creativecommons.org/licenses/by/4.0/).


