Abstract
Gold bioleaching mediated by iodide oxidizing bacteria (IOB) has been proposed as a sustainable alternative to conventional technologies such as cyanidation. This study evaluated the ability of two IOB sourced from a commercial culture collection, Roseovarius (R.) tolerans DSM 11457T and R. mucosus DSM 17069T, to bioleach gold from electronic waste (e-waste) (1030 ppm gold) and sulfidic gold ore concentrate (45 ppm gold) using one-step, two-step and spent medium leaching at 1% pulp density over 10 days. Two-step bioleaching of ore concentrate resulted in the highest gold leaching yields (approximately ~100% and 34% for R. tolerans and R. mucosus, respectively), followed by spent medium leaching and one-step leaching. The yields remained low for e-waste with both strains (maximum 0.93% and 1.6% for R. tolerans and R. mucosus, respectively) and decreased over time, likely due to the instability of the solubilized gold at relatively low redox potentials (<300 mV vs. Ag/AgCl). Another limiting factor may be the partial inhibition of bacterial growth in the presence of the ore concentrate and e-waste. Therefore, future studies should evaluate the pre-treatment of the ore concentrate and e-waste to remove inhibitory and oxidant consuming compounds before bioleaching with IOB to optimize leaching yields.
1. Introduction
Bioleaching refers to the solubilization of target metals by microorganisms from materials such as minerals and wastes [1,2,3,4]. Considering the relatively low environmental and operating cost of bioleaching, numerous studies have explored the use of various microorganisms for biosolubilization [5]. Redoxolysis, acidolysis, and complexolysis are the main mechanisms to drive bioleaching. Chemolithoautotrophs such as Acidithiobacillus (A.) ferrooxidans and A. thiooxidans have been used to solubilize base metals, especially copper [6,7,8]. These species oxidize ferrous iron to ferric iron and/or reduced sulfur compounds to sulfuric acid, which leach metals from minerals and wastes via redoxolysis and acidolysis, respectively [6,9,10]. Heterothophic fungi, such as Aspergillus niger and Penicillium simplicissimum have also been employed for bioleaching metals from electronic waste (e-waste) [1,11,12]. Fungal bioleaching occurs through acidolysis and complexolysis, facilitated by the production of organic acids such as citric, oxalic and gluconic acid [6]. Some fungi have additionally been shown to oxidize gold [13].
Recently, the application of iodide oxidizing bacteria (IOB) for bioleaching gold was proposed [10] and demonstrated for gold-containing sulfide ore [14]. A heterotrophic bacterium “Pseudomonas iodooxidans” has been reported to oxidize I− to I2 with hydrogen peroxide (H2O2) as an electron acceptor (Reaction 1) [15,16,17,18]:
H2O2 + 2I− + 2H+ → I2 + 2H2O
Another strain, Roseovarius (R.) sp., can oxidise I− to I2 with oxygen as the electron acceptor (Reaction 2) [18,19,20,21]:
4I− + O2 + 4H+ → 2I2 + 2H2O
Iodide (I−) reacts chemically with iodine (I2) to form in triiodide (I3−) according to Reaction (3):
I− + I2 → I3−
Gold can be solubilised according to reactions (4) and (5):
2Au + I3− + I− → 2[AuI2]−
2Au + 3I3− → 2[AuI4]− + I−
E-waste generation is rapidly increasing globally [22]. The composition of e-waste is very heterogenous, and includes iron, non-ferrous metals, plastics and other constituents (e.g., rubber, concrete and ceramics) [22]. In terms of metallic components, e-waste contains precious metals (Ag, Au and Pt), base metals (Al, Co, Cu, Ni, Zn and Fe) and others (e.g., Be, Cd, Cr, Hg, Pb, Sb, Sn and Ti). If improperly managed, e-waste can cause toxicity to humans and the environment. On the other hand, e-waste contains high amounts of precious metals, the extraction and recovery of which is warranted. Bioleaching of e-waste has been explored as an alternative to chemical leaching, especially using cyanide forming microorganisms [23,24,25]. However, due to the high toxicity of cyanide, more environmentally friendly biolixiviants should be explored. To the best of our knowledge, the use of IOB for bioleaching gold from e-waste and sulfidic gold ore concentrate has not been previously explored. Therefore, the objectives of this study were (1) to evaluate the ability of IOB, R. tolerans and R. mucosus, to bioleach gold from e-waste and sulfidic gold ore concentrate, and (2) to evaluate the effect of various leaching approaches (one-step, two-step and spent medium bioleaching) on gold extraction.
2. Materials and Methods
2.1. Preparation and Analysis Of Sulfide Ore Concentrate and e-Waste
Sulfidic gold ore concentrate was sourced from a gold mine in Western Australia and had a particle size with a P80 (i.e., 80% of mass passing) of 120 µm. The gold ore concentrate was sterilized by autoclaving before leaching experiments (121 °C for 20 min). Shredded e-waste (high-grade printed circuit boards) was sourced from Total Green Recycling in Perth, Western Australia. The shredded e-waste was pulverized with Essa® LM5 mill (FMSmidth, Denmark) at Nagrom, Western Australia.
2.2. Iodide Oxidising Bacteria (IOB) Culture Conditions
The IOB species used in this study, R. tolerans DSM 11457T and R. mucosus DSM 17069T, were selected based on previous report by [14] and ordered from the German Collection of Microorganisms and Cell Cultures GmbH (DSMZ, Braunschweig, Germany). Both strains were cultured in 37.4 g·L−1 of Difco™ Marine Broth 2216 that contained (g·L−1): 5 peptone, 1 yeast extract, 0.1 C6H5FeO7, 19.45 NaCl, 5.9 MgCl2, 3.24 MgSO4, 1.8 CaCl2, 0.55 KCl, 0.16 NaHCO3, 0.08 KBr and (mg·L−1): 34 SrCl3, 22 H3BO3, 4 NaSiO3, 2.4 NaF, 1.6 NH4NO3 and 8 Na2HPO4. The cultures were incubated under aerobic condition at 100 rpm and 30 °C for two days. The initial cell number for the bioleaching experiments was adjusted to 3 × 106 cell·mL−1 according to previous study [14].
2.3. Bioleaching Experiments
The culture medium for gold bioleaching by IOB contained 18.7 g·L−1 of Difco™ Marine Broth 2216 and 10.9 g·L−1 of potassium iodide (KI) (pH 7.2). A 50 mL liquid volume was used in a 250 mL flask for leaching experiments. The culture medium was sterilized at 121 °C for 20 min. Thereafter, 10% of inoculum (5 mL) was added into 45 mL of culture medium followed by 0.5 g of milled e-waste or gold ore concentrate for a one-step bioleaching at 1% pulp density. For two-step bioleaching, the 50 mL culture was incubated for 3 days before adding 0.5 g e-waste or gold ore concentrate for 1% pulp density. For spent medium bioleaching, cells from a 3-day culture were removed by 0.2 μm syringe filtration (Millex, Merck Millipore, Ireland). Thereafter, 50 mL of filtrate was transferred to a new 250 mL flask and 0.5 g e-waste or gold ore concentrate was added to achieve 1% pulp density. Spent medium condition was used to study the ability of metabolites from Roseovarius spp. to leach gold. The chemical ore and e-waste controls had only ore concentrate or e-waste in the medium, respectively, without bacterial inoculum. The medium control had medium only without ore concentrate, e-waste or bacteria. The biological bacteria control had the medium inoculated with bacteria, but no ore concentrate or e-waste. Each condition was tested in triplicate. All leaching experiments were conducted for 10 days at 30 °C, in a shaker (Innova44, Eppendorf, Enfield, CT, USA) at 100 rpm. Samples were taken at days 0, 5 and 10 for the analysis of soluble gold, pH, redox potential, triiodide concentration and bacterial cell numbers.
2.4. Analytical Methods
The elemental compositions of the gold ore concentrate and e-waste were analysed at LabWest, Western Australia. Platinum group metals were determined by a PGM fire assay followed by aqua regia digestion and analysis by inductively coupled plasma optical emission spectrometry (ICP-OES). Other metals were analysed by microwave assisted digestion with a mixture of HF, HCl and HNO3, followed by analysis using a combination of ICP-OES and ICP mass spectrometry (MS).
For analysing soluble gold, 4 mL aliquots of samples filtered through 0.2 μm syringe filters were acidified with 0.1 mL of 7 M nitric acid and 7.5 mL of 10% hydrochloric acid and diluted with 3.4 mL ultrapure water to a final volume of 15 mL. Soluble gold concentrations were measured by ICP-MS at The Commonwealth Scientific and Industrial Research Organisation (CSIRO) Mineral Resources Waterford laboratory, Western Australia. The pH and redox potential of filtrate solution were measured at room temperature using TPS smart CHEM-Lab meter with a TPS pH probe (EPBUFN-121207) and a TPS redox probe (EOREFN-121262) with Ag/AgCl reference.
Triiodide concentration was measured using a spectrometric method described by [26]. Triiodide standards were prepared by dissolving potassium iodide (KI) and iodine to obtain 100 mM iodide and 7.88 mM iodine solutions, respectively. Then, triiodide was formed by mixing iodine solution and potassium iodide solution (Reaction 3). The standard was prepared with 0.5 mM of potassium iodide and 0, 0.005, 0.01, 0.02, 0.04, 0.06, 0.08, and 0.10 mM of iodine. The absorbance was measured at 351 nm using a microplate reader (VarioskanTM LUX, Thermo Scientific, Vantaa, Uusimaa, Finland). Numbers of suspended cells were counted by phase contrast microscopy (Leica DM4000 B, Germany) using Helber bacterial counting chamber.
2.5. Calculations and Statistical Analysis
The gold leaching yields were calculated using Equations (6)–(10). The mass of the dissolved gold collected during sampling (MRi, mg) was estimated from Equation (6):
where Ci is the dissolved gold concentration in the sample (mg·L−1) and SVi is the subsample volume (L). Cumulative mass of dissolved gold removed in samples (CMR, mg) was calculated using Equation (7):
The mass of gold dissolved in the remaining leachate in the flask (SM, mg) was estimated using Equation (8):
where C is the dissolved gold concentration in the leachate (mg·L−1) and V is the remaining volume of leachate in the flask (L). The total mass of dissolved gold (TL, mg) was calculated using Equation (9):
The leaching yield (Y, %) was calculated using Equation (10):
where Original gold mass refers to the mass of gold (mg) in the ore concentrate or e-waste used for leaching. Averages and standard deviations of gold leaching yields were determined for each time point.
Two- and one-way analyses of variance (ANOVA) were used to determine the statistical significance of the differences detected between bioleaching conditions. Statistical tests were conducted in Microsoft Excel 365 ProPlus and p-values < 0.05 were considered significant.
3. Results
3.1. Elemental Composition of Sulfide Ore Concentrate and e-Waste
The elemental composition of the gold ore concentrate and e-waste were as shown in Table 1 and Table 2, respectively. Gold contents in the gold ore concentrate and e-waste were approximately 45 ppm and 1030 ppm, respectively.
Table 1.
Composition of the gold ore concentrate (ppm).
Table 2.
Composition of e-waste (ppm).
3.2. Gold Bioleaching from Sulfide Ore Concentrate and e-Waste by R. tolerans and R. mucosus
Gold leaching yields from gold ore concentrate and e-waste by R. tolerans and R. mucosus were as shown in Figure 1 and p-values from two- and one-way ANOVA were as shown in Table 3 and Table 4, respectively. When bioleaching gold ore concentrate, for both species two-step bioleaching resulted in the highest gold yields, followed by spent medium leaching and one-step leaching (Figure 1a,b). The yields increased over time and on day 10 were approximately ~100% and 34% for two-step leaching and 51% and 28% for spent medium leaching for R. tolerans and R. mucosus, respectively. However, standard deviations between replicates were high for some leaching methods for day 10 sampling. As a result, the impact of bacterial species or leaching method (excluding uninoculated ore control) on gold leaching from ore concentrate was not significant for day 10, although p-values indicated significant impact in two-way ANOVA for days 1 and 5 (Table 3). In one-way ANOVA for evaluating the effect of leaching method (including uninoculated ore control) separately for each bacterial species, significant p-values were recorded for R. tolerans for day 5 and R. mucosus for days 1 and 5 (Table 4).
Figure 1.
(a) Gold bioleaching from sulfidic gold ore concentrate by Roseovarius (R.) tolerans; (b) Gold bioleaching from sulfidic gold ore concentrate by R. mucosus; (c) Gold bioleaching from e-waste by Roseovarius (R.) tolerans; (d) Gold bioleaching from e-waste by R. mucosus. Ore control and e-waste control had either ore concentrate or e-waste in medium, respectively without bacterial inoculum. In one-step bioleaching, sulfidic gold ore concentrate or e-waste were added at the same time as inoculum. For two-step bioleaching, the cultures were pre-cultivated for 3 days before the addition of sulfidic gold ore concentrate or e-waste. Spent medium bioleaching was conducted with filtered culture medium after 3 days of incubation. Note different vertical scales for gold leaching from ore concentrate (a and b) and e-waste (c and d).
Table 3.
Two-way analysis of variance (ANOVA) p-values to evaluate the significance of the effect of bacterial species and leaching method (excluding uninoculated ore and e-waste controls) on gold leaching from ore concentrate and e-waste after 1, 5 and 10 days. Significant p-values < 0.05 are indicated with *.
Table 4.
One-way analysis of variance (ANOVA) p-values to evaluate the significance of the effect of leaching method (including uninoculated ore and e-waste controls) on gold leaching from ore concentrate and e-waste after 1, 5 and 10 days. Significant p-values < 0.05 are indicated with *.
When bioleaching gold from e-waste the yields were much lower for both strains as compared to the yields obtained for the gold ore concentrate (Figure 1). The highest yields for e-waste were obtained with one-step leaching on day 1, namely 0.93% and 1.6% for R. tolerans and R. mucosus, respectively, while the day 1 yield in uninoculated e-waste control was 0.042% (Figure 1c,d). Surprisingly, the yields decreased over time for one-step and spent medium bioleaching for both strains, and for two-step leaching with R. mucosus, whereas the yield increased somewhat over time in two-step leaching with R. tolerans and in uninoculated e-waste controls. However, by day 10, the leaching yields with microorganisms were similar or lower than those obtained with uninoculated e-waste control (Figure 1c,d). In two-way ANOVA, the impact of bacterial species on gold leaching from e-waste was significant only on day 1 and the impact of leaching method (excluding uninoculated ore control) was significant for days 1 and 5 (Table 3). In one-way ANOVA for evaluating the effect of leaching method (including uninoculated ore control) separately for each bacterial species, significant p-values were recorded for both R. tolerans and R. mucosus for days 1, 5 and 10 (Table 4). However, it is to be noted that while bioleaching resulted in higher leaching than in e-waste control for days 1 and 5, the uninoculated control showed higher leaching than most bioleaching methods on day 10 (Figure 1c,d).
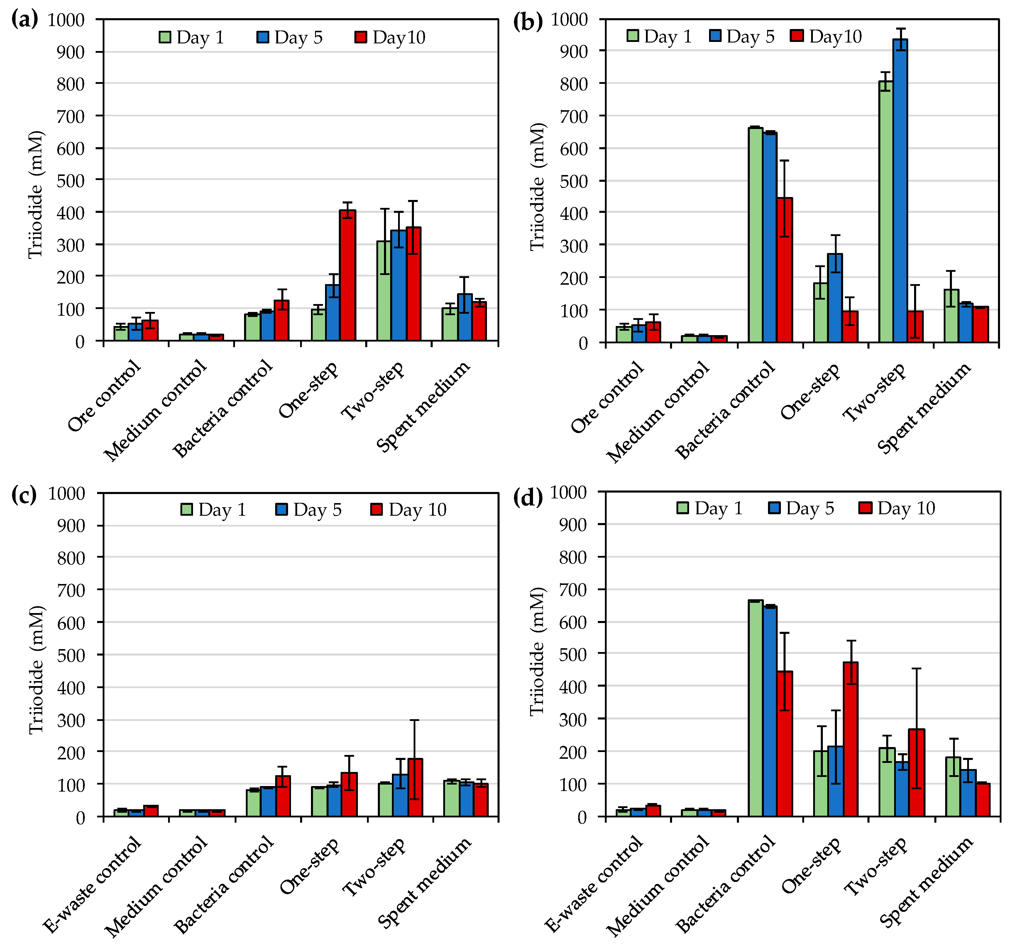
3.3. Triiodide Concentrations during Gold Bioleaching
The concentrations of triiodide during the bioleaching of gold from ore concentrate and e-waste with R. tolerans and R. mucosus were as shown in Figure 2 and p-values from two- and one-way ANOVA were as shown in Table 5 and Table 6, respectively. For bioleaching of gold ore concentrate with R. tolerans, triiodide concentrations were higher in one-step and two-step leaching than in the bacterial control (bacteria without ore concentrate) and spent medium leaching as shown in Figure 2a. On the other hand, for bioleaching gold ore concentrate with R. mucosus, two-step leaching resulted in the highest triiodide concentrations, followed by bacteria control (Figure 2b). The highest triiodide concentration for R. mucosus was detected on day 5 with two-step leaching (934 mg·L−1). This was more than double the highest triiodide concentration detected for R. tolerans on day 10 with one-step leaching (406 mg·L−1). The impact of bacterial species on triiodide concentration during gold leaching from ore concentrate was significant for days 1 and 5, but not on day 10, whereas p-values indicated significant impact of leaching method (excluding uninoculated ore control) for all sampling times in two-way ANOVA (Table 5). In one-way ANOVA for evaluating the effect of leaching method (including uninoculated ore control, medium control and bacteria control) on triiodide concentrations during ore concentrate bioleaching separately for each bacterial species, significant p-values were recorded for R. tolerans and R. mucosus for all sampling days (Table 6).
Figure 2.
(a) Triiodide concentrations during bioleaching of gold from sulfidic gold ore concentrate by Roseovarius (R.) tolerans; (b) Triiodide concentrations during bioleaching of gold from sulfidic gold ore concentrate by R. mucosus; (c) Triiodide concentrations during bioleaching of gold from e-waste by R. tolerans; (d) Triiodide concentrations during bioleaching of gold from e-waste by R. mucosus. Ore control and e-waste control had either ore concentrate or e-waste in medium, respectively without bacterial inoculum. Medium control had medium only, and bacteria control had inoculated medium without ore concentrate or e-waste. In one-step bioleaching, sulfidic gold ore concentrate or e-waste were added at the same time as inoculum. For two-step bioleaching, the cultures were pre-cultivated for 3 days before the addition of sulfidic gold ore concentrate or e-waste. Spent medium bioleaching was conducted with filtered culture medium after 3 days of incubation.
Table 5.
Two-way analysis of variance (ANOVA) p-values to evaluate the significance of the effect of bacterial species and leaching method (excluding uninoculated ore concentrate and e-waste controls) on triiodide concentrations during gold leaching from ore concentrate and e-waste after 1, 5 and 10 days. Significant p-values < 0.05 are indicated with *.
Table 6.
One-way analysis of variance (ANOVA) p-values to evaluate the significance of the effect of leaching method (including uninoculated ore and e-waste controls, medium control and bacteria control) on triiodide concentrations during gold leaching from ore concentrate and e-waste after 1, 5 and 10 days. Significant p-values < 0.05 are indicated with *.
When bioleaching e-waste, the triiodide concentrations were notably lower for both strains than when bioleaching gold ore concentrate (Figure 2c,d). The highest detected concentrations in the presence of e-waste were 472 mg·L−1 for R. mucosus on day 10 for one-step leaching and 176 mg·L−1 for R. tolerans on day 10 for two-step leaching (Figure 2c,d). In two-way ANOVA, the impact of bacterial species on gold leaching from e-waste was significant on all sampling days, but the impact of leaching method (excluding uninoculated ore control) was significant only for day 10 (Table 5). In one-way ANOVA for evaluating the effect of leaching method (including uninoculated ore control, media control and bacterium control) on triiodide concentrations during e-waste bioleaching separately for each bacterial species, significant p-values were recorded for both R. tolerans and R. mucosus for all sampling days (Table 6).
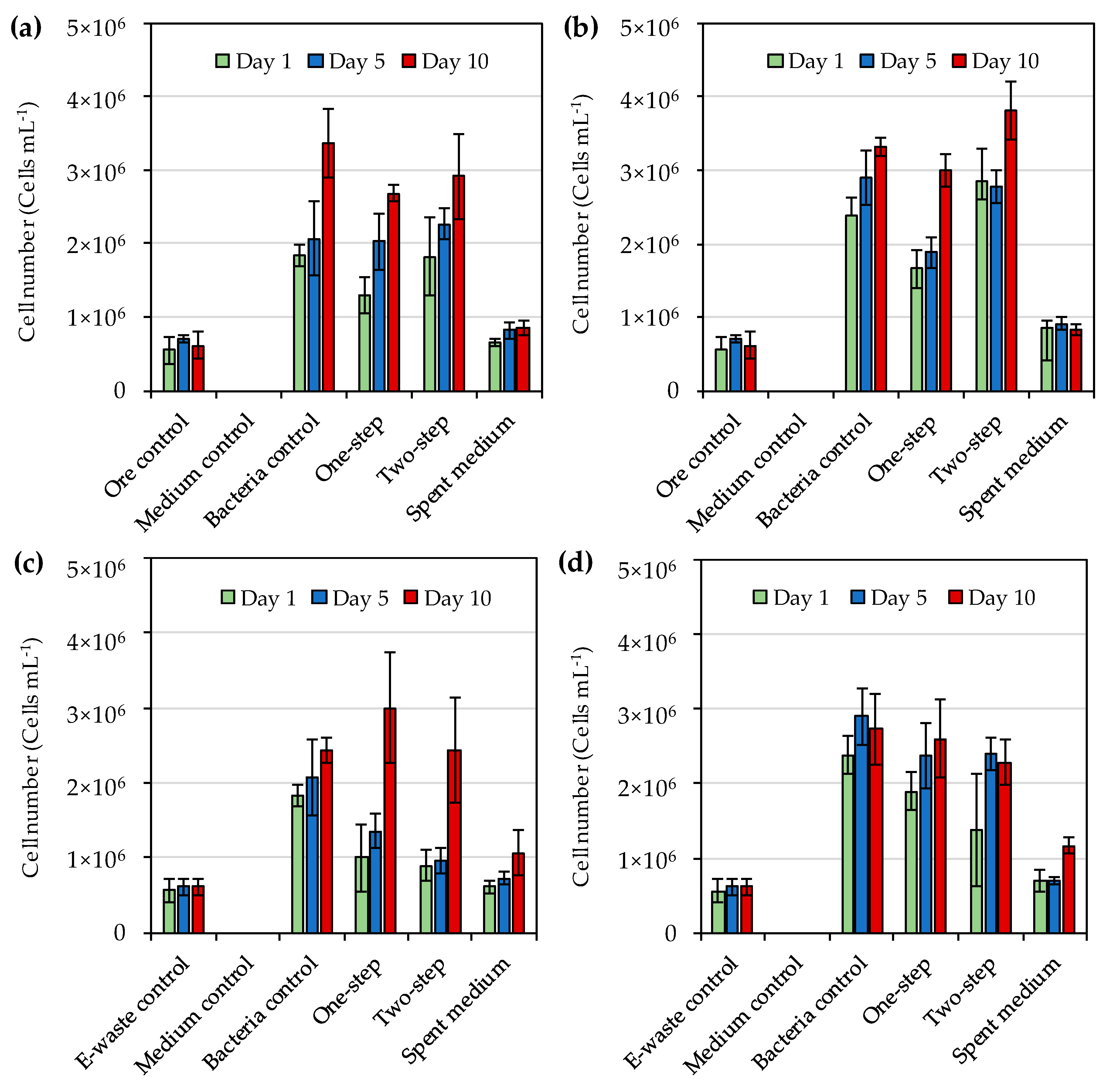
3.4. Cell Numbers during Gold Bioleaching
The initial cell number at the start of bioleaching was set as 3 × 106 cell·mL−1. Interestingly, after the addition of sulfidic gold ore concentrate and e-waste, cell numbers temporarily decreased, but then increased over time for both strains, in the presence of both gold ore concentrate and e-waste (Figure 3) However, the cell numbers remained in the same order of magnitude as at the start of the leaching. Moreover, the final cell numbers for one and two-step leaching were similar to those in bacterial control (without ore concentrate or e-waste). Cell numbers in medium control remained below detection limits and those in ore and e-waste controls and spent medium remained below 1 × 106 cells·mL−1 apart from day 10 for spent medium leaching of e-waste when the numbers reached slightly over 1 × 106 cells·mL−1 (Figure 3a–d). The cells in the spent medium flasks likely originated from the ore concentrate and e-waste and were unlikely to oxidize iodide as no notable increase in triiodide concentration was detected during the leaching in the spent medium flasks.
Figure 3.
(a) Cell numbers during bioleaching of gold from sulfidic gold ore concentrate by Roseovarius (R.) tolerans; (b) Cell numbers during bioleaching of gold from sulfidic gold ore concentrate by R. mucosus; (c) Cell numbers during bioleaching of gold from e-waste by R. tolerans; (d) Cell numbers during bioleaching of gold from e-waste by R. mucosus. Ore control and e-waste control had either ore concentrate or e-waste in medium, respectively without bacterial inoculum. Medium control had medium only, and bacteria control had inoculated medium without concentrate or e-waste. In one-step bioleaching, ore concentrate or e-waste were added at the same time as inoculum. For two-step bioleaching, the cultures were pre-cultivated for 3 days before the addition of ore concentrate or e-waste. Spent medium bioleaching was conducted with filtered culture medium after 3 days of incubation.
3.5. Redox Potential and pH during Gold Bioleaching
The redox potentials and solution pH values during the bioleaching of gold ore concentrate and e-waste were as shown in Figure 4 and Figure 5. R. tolerans decreased redox potential somewhat as compared to media control, whereas R. mucosus slightly increased redox potential (Figure 4). Redox potential increased over time for two-step and spent medium bioleaching of ore concentrate with both strains, whereas similar trend was not detected for one-step bioleaching of the concentrate or for bioleaching of e-waste with any of the three approaches. The highest redox potentials for ore concentrate bioleaching were detected on day 10 with two-step bioleaching for both R. tolerans (350 mV vs. Ag/AgCl) and R. mucosus (392 mV vs. Ag/AgCl) (Figure 4a,b). For R. mucosus the presence of e-waste decreased redox potential as compared to bacterial control, whereas for R. tolerans the effect of e-waste on redox potential was not notable as compared to bacteria control (Figure 4c,d).
Figure 4.
(a) Redox potential (vs. Ag/AgCl reference) during bioleaching of gold from sulfidic gold ore concentrate by Roseovarius (R.) tolerans; (b) Redox potential during bioleaching of gold from sulfidic gold ore concentrate by R. mucosus; (c) Redox potential during bioleaching of gold from e-waste by R. tolerans; (d) Redox potential during bioleaching of gold from e-waste by R. mucosus. Ore control and e-waste control had either ore concentrate or e-waste in medium, respectively without bacterial inoculum. Medium control had medium only, and bacteria control had inoculated medium without concentrate or e-waste. In one-step bioleaching, ore concentrate or e-waste were added at the same time as inoculum. For two-step bioleaching, the cultures were pre-cultivated for 3 days before the addition of ore concentrate or e-waste. Spent medium bioleaching was conducted with filtered culture medium after 3 days of incubation.
Figure 5.
(a) Solution pH during bioleaching of gold from sulfidic gold ore concentrate by Roseovarius (R.) tolerans; (b) Solution pH during bioleaching of gold from sulfidic gold ore concentrate by R. mucosus; (c) Solution pH during bioleaching of gold from e-waste by R. tolerans; (d) Solution pH during bioleaching of gold from e-waste by R. mucosus. Ore control and e-waste control had either ore concentrate or e-waste in medium, respectively without bacterial inoculum. Medium control had medium only, and bacteria control had inoculated medium without concentrate or e-waste. In one-step bioleaching, ore concentrate or e-waste were added at the same time as inoculum. For two-step bioleaching, the cultures were pre-cultivated for 3 days before the addition of ore concentrate or e-waste. Spent medium bioleaching was conducted with filtered culture medium after 3 days of incubation.
The addition of ore concentrate decreased solution pH as compared to medium control (Figure 5a,b) whereas e-waste increased solution pH (Figure 5c,d). The presence of bacteria and/or their metabolites increased pH as compared to media control both in the absence and presence of ore concentrate and e-waste, especially on days 1 and 5. However, for R. tolerans the solution pH decreased somewhat by day 10, especially in the presence of the ore concentrate.
4. Discussion
The application of IOB for bioleaching gold has been previously proposed as a sustainable alternative to cyanide [10] and, the use of IOB isolated from iodide-rich brine waters has been explored for leaching gold from gold-containing ore [14,21]. This study evaluated the ability of IOB sourced from a commercial culture collection, R. tolerans DSM 11457T and R. mucosus DSM 17069T, to bioleach gold from e-waste and sulfidic gold ore concentrate. R. tolerans DSM 11457T was originally isolated from a hypersaline lake in East Antarctica [27] whereas R. mucosus DSM 17069T was isolated from a marine dinoflagellate [28]. Neither of the strains was described as an IOB in the original species descriptions, but were selected for this study based on other reports on the members of Roseovarius genus being able to oxidize iodide [14,18,21]. While previous studies have evaluated the use of strains of Roseovarius genus to leach gold from ore using one-step leaching, this study explored gold bioleaching with R. tolerans DSM 11457T and R. mucosus DSM 17069T from gold ore concentrate and e-waste using one-step, two-step and spent medium bioleaching. Both species were able to bioleach gold from ore concentrate, and two-step bioleaching resulted in the highest gold yields, followed by spent medium leaching and one-step leaching (Figure 1a,b). However, the yields were much lower for e-waste with both strains as compared to the yields obtained for the gold ore concentrate (Figure 1). While bioleaching yields generally increased over time for ore concentrate, declining trend in yields was recorded for e-waste during the experiment. A comparison of maximum bioleaching yields achieved in this study and selected previous studies is shown in Table 7. The maximum gold yield detected for R. tolerans with gold concentrate in this study was similar to that reported by Khaing et al. [14,21] for other R. tolerans strains leaching sulfide ore. However, the maximum yield obtained with R. mucosus for ore concentrate was lower than that previously reported for strains of Roseovarius genus. The bioleaching yields for e-waste remained lower for both IOB strains than previously reported for e.g., organic acid producing Aspergillus niger [29] and cyanide producing Chromobacterium violaceum [25].
Table 7.
Comparison of gold bioleaching with various microbes and experimental conditions.
In this study, the initial cell number at the start of bioleaching was set as 3 × 106 cell·mL−1 and the cell numbers remained in the same order of magnitude during the 10-day study. On the contrary, Khaing et al. [14] reported the cell numbers of a strain from Roseovarius genus to increase from 3 × 106 cell·mL−1 to 5 × 108 cell·mL−1 during the bioleaching of gold from sulfide ore. In another study, Khaing et al. [21] reported that initial cell numbers of IOB had no effect on gold dissolution from sulfide ore when the initial cell numbers were 1 × 104 cell·mL−1 to 1 × 106 cell·mL−1 and during the 10-day incubation the cell numbers increased from 1 × 104 cell·mL−1 to 4.2 × 107 cell·mL−1. Therefore, the initial cell numbers used in the present study were likely not the limiting factor in the gold bioleaching, but some toxic components of the ore concentrate and e-waste used for bioleaching may have inhibited bacterial growth [30]. Hence, pre-treatment of the materials to remove possible inhibitory compounds should be explored in future studies. Some microbial cells were also detected in spent medium flasks. It may be possible that some native microorganisms were present in the e-waste and ore concentrate, and survived autoclaving as similar cell numbers as observed in spent medium flasks were also found in ore and e-waste control flasks.
The highest concentrations of triiodide during the bioleaching of gold ore concentrate with R. tolerans and R. mucosus were 406 mg·L−1 and 934 mg·L−1, respectively and the highest triiodide concentrations with e-waste were 176 mg·L−1 and 472 mg·L−1 for R. tolerans and R. mucosus, respectively. These concentrations were notably higher than the concentrations (up to 240 mg·L−1) reported by Khaing et al. [14] for other strains of Roseovarius genus. During the ore concentrate bioleaching, redox potentials varied from 124 to 350 mV and from 230 to 392 mV depending on the leached material, leaching method and sampling time for R. tolerans and R. mucosus, respectively. For comparison, the redox potentials reported by Khaing et al. [14,21] during sulfidic ore bioleaching with strains of Roseovarius genus were notably higher, 472–547 mV. According to Baghalha [31] AuI2− complex is stable at redox potentials from 500 to 700 mV (standard hydrogen electrode), which is approximately 300–500 mV vs. Ag/AgCl. The low redox potentials detected especially during e-waste bioleaching (<300 mV vs. Ag/AgCl) may explain the modest Au leaching yields in the present study. Moreover, the reduction in leaching yield over time in the presence of e-waste indicated the instability of the leached gold under the conditions used. Therefore, future studies should explore the optimization of the bioleaching e.g., by pre-treating the e-waste and ore concentrate with biooxidation to remove oxidant consuming materials before iodide bioleaching.
One advantage of iodide leaching over cyanide leaching is the stability of AuI2− complex over a wide pH range of 0–13 [31]. In the present study pH varied from 7.1 to 8.8 and from 7.5 to 9.0 depending on the leached material, leaching method and sampling time for R. tolerans and R. mucosus, respectively. These were similar to the pH values (pH 7.7–8.8) reported by Khaing et al. [14] during the bioleaching of gold ore with other strains of Roseovarius genus. Therefore, pH was unlikely to have a major impact on gold leaching in the present study
In conclusion, this study showed the ability of two culture collection strains, R. tolerans DSM 11457T and R. mucosus DSM 17069T, to bioleach gold from e-waste and sulfidic gold ore concentrate. While the leaching yields from ore concentrate were promising, the yields from e-waste remained low. Limiting factors for bioleaching were likely inhibition of bacterial growth and low redox potential caused by some constituents of the ore concentrate and e-waste used for the bioleaching. Therefore, future studies should explore the pre-treatment of the ore concentrate and e-waste to remove inhibitory and oxidant consuming compounds before bioleaching with IOB to optimize leaching yields. Moreover, the use of IOB could be explored for extracting gold from refractory gold ores to determine whether a prior oxidation step is required before iodine-based gold bioleaching.
Author Contributions
Conceptualization, K.K. and A.H.K.; methodology, K.K., C.M., T.B. and A.H.K.; formal analysis, K.K. and A.H.K.; investigation, K.K.; resources, C.M. and A.H.K.; data curation, K.K. and A.H.K.; writing—original draft preparation, K.K. and A.H.K.; writing—review and editing, K.K., T.B., C.M., P.T. and A.H.K.; visualization, K.K. and A.H.K.; supervision, T.B., C.M., P.T. and A.H.K.; project administration, A.H.K.; funding acquisition, P.T. and A.H.K. All authors have read and agreed to the published version of the manuscript.
Funding
This research was funded by New South Wales Government through its Environmental Trust, CSIRO Land and Water, and King Mongkut’s University of technology Thonburi (KMUTT) through the Petchara Pra Jom Kloa PhD scholarship, Grant Award Number 15/2558 for K.K.
Acknowledgments
The authors would like to thank King Mongkut’s University of technology Thonburi (KMUTT) through the Petchara Pra Jom Kloa PhD scholarship, Grant Award Number 15/2558 for financially supporting Kanjana Kudpeng. Moreover, the project has been assisted by New South Wales Government through its Environmental Trust and Commonwealth Scientific and Industrial Research Organisation (CSIRO) Land and Water. The Authors thank Yosephine Gumulya and Himel Nahreen Khaleque from CSIRO for reviewing the manuscript.
Conflicts of Interest
The author Kanjana Kudpeng is an employee of MDPI, however she does not work for the journal Microorganisms at the time of submission and publication. The funders had no role in the design of the study; in the collection, analyses, or interpretation of data; in the writing of the manuscript, or in the decision to publish the results.
References
- Brandl, H.; Bosshard, R.; Wegmann, M. Computer-munching microbes: Metal leaching from electronic scrap by bacteria and fungi. Hydrometallurgy 2001, 59, 319–326. [Google Scholar] [CrossRef]
- Ivanus, R.C. Bioleaching of metals from electronic scrap by pure and mixed culture of Acidithiobacillus ferrooxidans and Acidithiobacillus thiooxidans. Metal. Int. 2010, 15, 62–70. [Google Scholar]
- Mishra, D.; Kim, D.J.; Ralph, D.E.; Ahn, J.G.; Rhee, Y.H. Bioleaching of metals from spent lithium ion secondary batteries using Acidithiobacillus ferrooxidans. Waste Manag. 2008, 28, 333–338. [Google Scholar] [CrossRef] [PubMed]
- Valix, M.; Tang, J.Y.; Cheung, W.H. The effects of mineralogy on the biological leaching of nickel laterite ores. Miner. Eng. 2001, 14, 1629–1635. [Google Scholar] [CrossRef]
- Aylmore, M.G. Alternative lixiviants to cyanide for leaching gold ores. In Gold Ore Processing, 2nd ed.; Elsevier: Amsterdam, The Netherlands, 2016; pp. 447–484. [Google Scholar]
- Brandl, H. Microbial leaching of metals. Biotechnology 2001, 10, 191–224. [Google Scholar]
- Hong, Y.; Valix, M. Bioleaching of electronic waste using acidophilic sulfur oxidising bacteria. J. Clean. Prod. 2014, 65, 465–472. [Google Scholar] [CrossRef]
- Wang, J.; Bai, J.; Xu, J.; Liang, B. Bioleaching of metals from printed wire boards by Acidithiobacillus ferrooxidans and Acidithiobacillus thiooxidans and their mixture. J. Hazard. Mater. 2009, 172, 1100–1105. [Google Scholar] [CrossRef]
- Brandl, H. Metal-microbe-interactions and their biotechnological applications for mineral waste treatment. Recent Res. Dev. Microbiol 2002, 6, 571–584. [Google Scholar]
- Kaksonen, A.H.; Mudunuru, B.M.; Hackl, R. The role of microorganisms in gold processing and recovery—A review. Hydrometallurgy 2014, 142, 70–83. [Google Scholar] [CrossRef]
- Brandl, H.; Lehmann, S.; Faramarzi, M.A.; Martinelli, D. Biomobilization of silver, gold, and platinum from solid waste materials by HCN-forming microorganisms. Hydrometallurgy 2008, 94, 14–17. [Google Scholar] [CrossRef]
- Ilyas, S.; Ruan, C.; Bhatti, H.N.; Ghauri, M.A.; Anwar, M.A. Column bioleaching of metals from electronic scrap. Hydrometallurgy 2010, 101, 135–140. [Google Scholar] [CrossRef]
- Bohu, T.; Anand, R.; Noble, R.; Lintern, M.; Kaksonen, A.H.; Mei, Y.; Cheng, K.Y.; Deng, X.; Veder, J.-P.; Bunce, M.; et al. Evidence for fungi and gold redox interaction under Earth surface conditions. Nat. Commun. 2019, 10, 2290. [Google Scholar] [CrossRef] [PubMed]
- Sugai, Y.; Sasaki, K. Gold dissolution from ore with iodide-oxidising bacteria. Sci. Rep. 2019, 9, 1–11. [Google Scholar]
- Gozlan, R.S. Isolation of iodine-producing bacteria from aquaria. Antonie van Leeuwenhoek 1968, 34, 226. [Google Scholar] [CrossRef] [PubMed]
- Gozlan, R.S.; Margalith, P. Iodide oxidation by a marine bacterium. J. Appl. Bacteriol. 1973, 36, 407–417. [Google Scholar] [CrossRef] [PubMed]
- Gozlan, R.S.; Margalith, P. Iodide oxidation by Pseudomonas iodooxidans. J. Appl. Bacteriol. 1974, 37, 493–499. [Google Scholar] [CrossRef] [PubMed]
- Amachi, S.; Muramatsu, Y.; Akiyama, Y.; Miyazaki, K.; Yoshiki, S.; Hanada, S.; Fujii, T. Isolation of iodide-oxidizing bacteria from iodide-rich natural gas brines and seawaters. Microb. Ecol. 2005, 49, 547–557. [Google Scholar] [CrossRef]
- Amachi, S. Microbial contribution to global iodine cycling: Volatilization, accumulation, reduction, oxidation, and sorption of iodine. Microbes Environ. 2008, 23, 269–276. [Google Scholar] [CrossRef]
- Fuse, H.; Inoue, H.; Murakami, K.; Takimura, O.; Yamaoka, Y. Production of free and organic iodine by Roseovarius spp. FEMS Microbiol. Lett. 2003, 229, 189–194. [Google Scholar] [CrossRef]
- Khaing, S.Y.; Sugai, Y.; Sasaki, K.; Tun, M.M. Consideration of influential factors on bioleaching of gold ore using iodide-oxidizing bacteria. Minerals 2019, 9, 274. [Google Scholar] [CrossRef]
- Pant, D.; Joshi, D.; Upreti, M.K.; Kotnala, R.K. Chemical and biological extraction of metals present in E waste: A hybrid technology. Waste Manag. 2012, 32, 979–990. [Google Scholar] [CrossRef] [PubMed]
- Kita, Y.; Nishikawa, H.; Takemoto, T. Effects of cyanide and dissolved oxygen concentration on biological Au recovery. J. Biotechnol. 2006, 124, 545–551. [Google Scholar] [CrossRef] [PubMed]
- Chi, T.D.; Lee, J.-C.; Panday, B.D.; Yoo, K.; Jeong, J. Bioleaching of gold and copper from waste mobile phone PCBs by using a cyanogenic bacterium. Miner. Eng. 2011, 24, 1219–1222. [Google Scholar] [CrossRef]
- Pradhan, J.K.; Kumar, S. Metals bioleaching from electronic waste by Chromobacterium violaceum and Pseudomonas sp. Waste Manag. Res. 2012, 30, 1151–1159. [Google Scholar] [CrossRef] [PubMed]
- Jung, S.H.; Yeon, J.W.; Kang, Y.; Song, K. Determination of triiodide ion concentration using UV-visible spectrophotometry. Asian J. Chem. 2014, 26, 4084. [Google Scholar] [CrossRef]
- Labrenz, M.; Collins, M.D.; Lawson, P.A.; Tindall, B.J.; Schumann, P.; Hirsch, P. Roseovarius tolerans gen. nov., sp. nov., a budding bacterium with variable bacteriochlorophyll a production from hypersaline Ekho Lake. Int. J. System. Bacteriol. 1999, 49, 137–147. [Google Scholar] [CrossRef] [PubMed]
- Biebl, H.; Allgaier, M.; Lünsdorf, H.; Pukall, R.; Tindall, B.J.; Wagner-Döbler, I. Roseovarius mucosus sp. nov., a member of the Roseobacter clade with trace amounts of bacteriochlorophyll a. Int. J. System. Evol. Microbiol. 2005, 55, 2377–2383. [Google Scholar] [CrossRef] [PubMed]
- Madrigal-Arias, J.E.; Argumedo-Delira, R.; Alarcón, A.; Mendoza-López, M.; García-Barradas, O.; Cruz-Sánchez, J.S.; Jiménez-Fernández, M. Bioleaching of gold, copper and nickel from waste cellular phone PCBs and computer goldfinger motherboards by two Aspergillus niger strains. Braz. J. Microbiol. 2015, 46, 707–713. [Google Scholar] [CrossRef]
- Sethurajan, M.; Van Hullebusch, E.D.; Fontana, D.; Akcil, A.; Deveci, H.; Batinic, B.; Neto, I.F. Recent advances on hydrometallurgical recovery of critical and precious elements from end of life electronic wastes-a review. Crit. Rev. Environ. Sci Technol. 2019, 49, 212–275. [Google Scholar] [CrossRef]
- Baghalha, M. The leaching kinetics of an oxide gold ore with iodide/iodine solutions. Hydrometallurgy 2012, 113, 42–50. [Google Scholar] [CrossRef]
Publisher’s Note: MDPI stays neutral with regard to jurisdictional claims in published maps and institutional affiliations. |
© 2020 by the authors. Licensee MDPI, Basel, Switzerland. This article is an open access article distributed under the terms and conditions of the Creative Commons Attribution (CC BY) license (http://creativecommons.org/licenses/by/4.0/).




