Understanding the Response of Nitrifying Communities to Disturbance in the McMurdo Dry Valleys, Antarctica
Abstract
1. Introduction
2. Materials and Methods
2.1. Site Description
2.2. Manipulative Experimental Setup
2.3. Inorganic Nitrogen Analysis
2.4. 15NH4+ Oxidation Rate Measurements
2.5. DNA Extration
2.6. RNA Extration and Reverse Transcription
2.7. Amplicon Sequencing
2.8. Sequencing Analyses
2.9. Statistical Analysis
3. Results and Discussion
3.1. Resident and Active Microbial Communities from Miers and Beacon Valleys
3.2. The Distinct Potential for Nitrification Between Miers and Beacon Soils
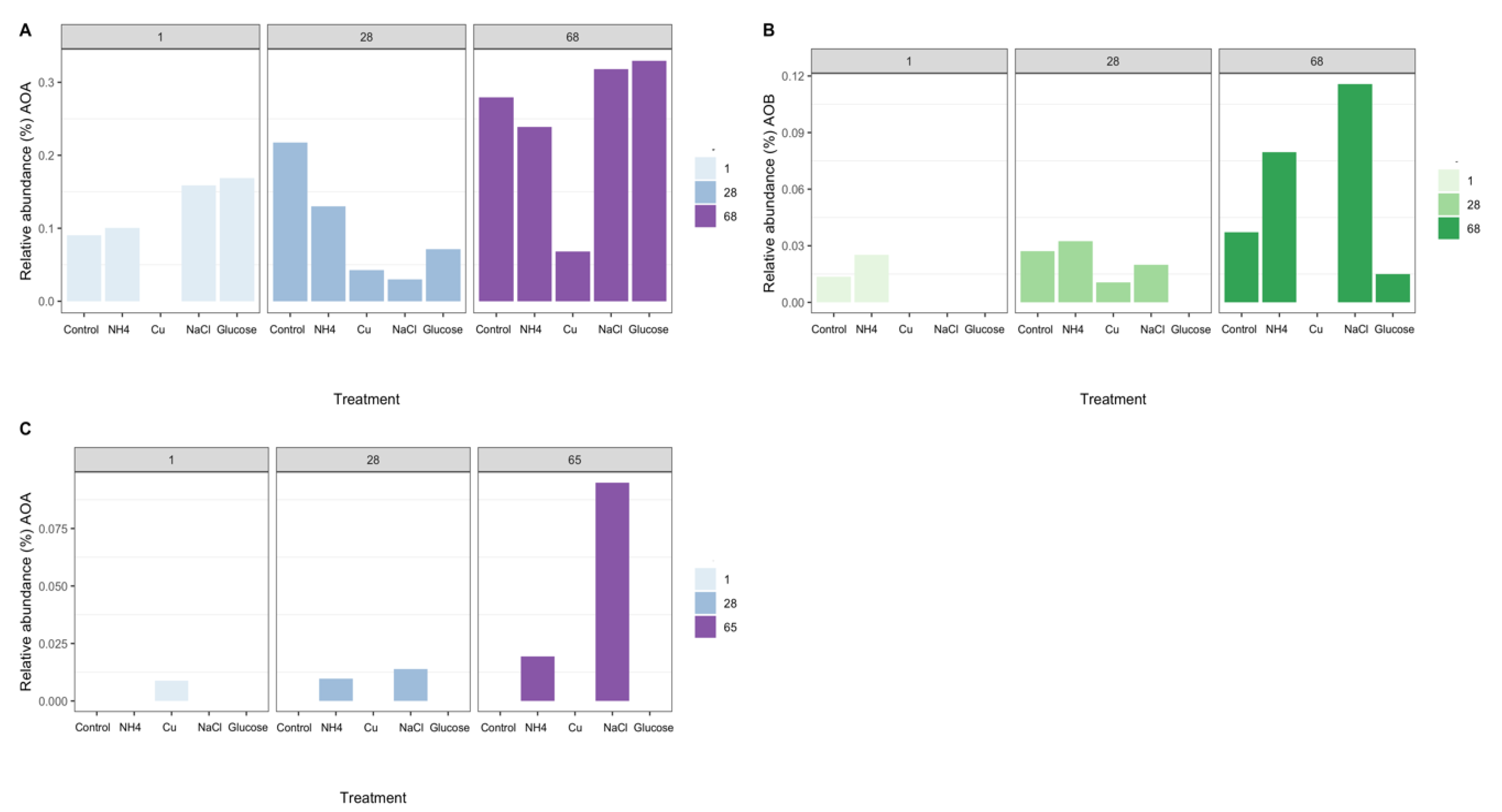
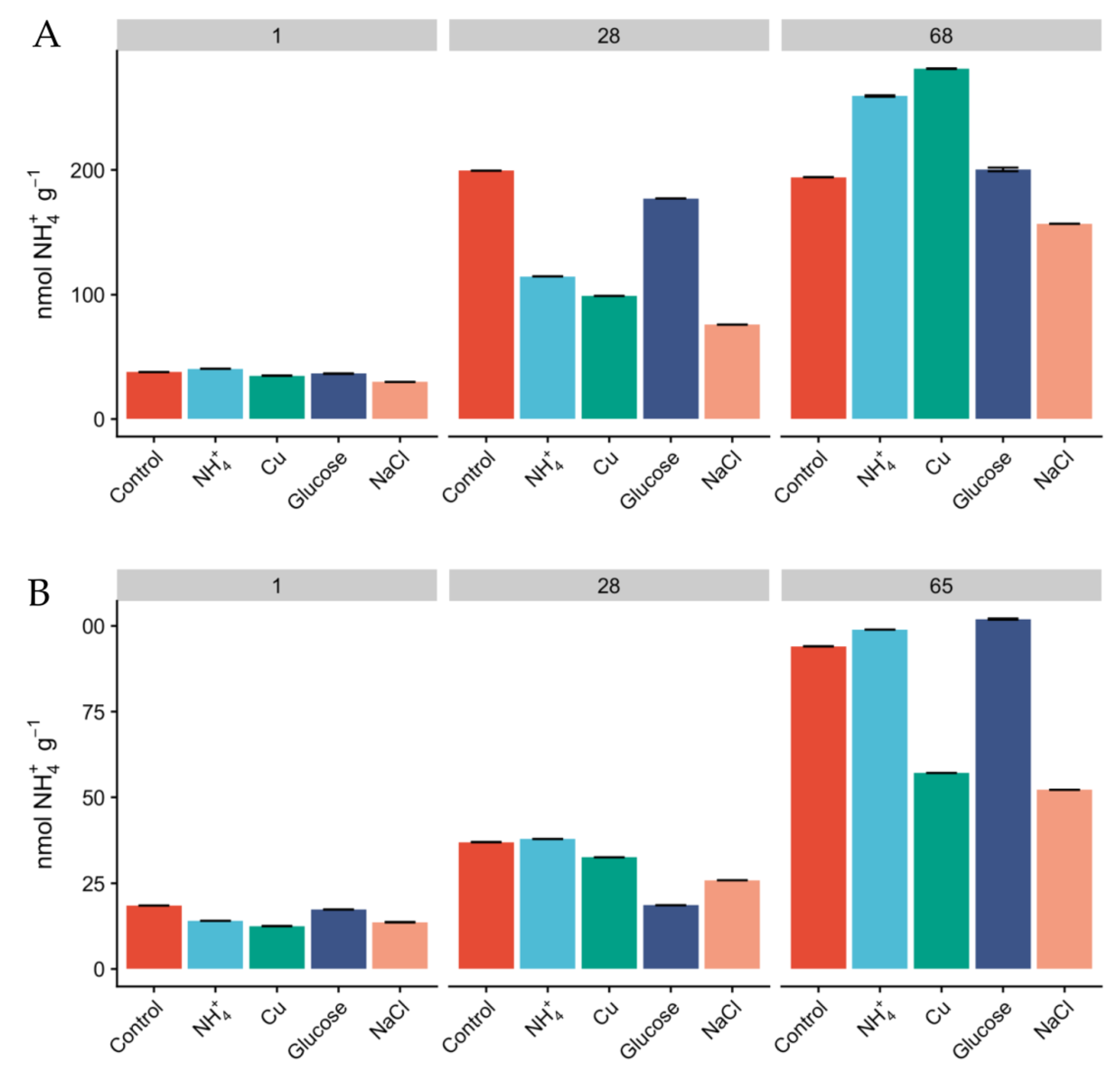
3.3. Treatment Effects on Nitrifying Communities from Miers and Beacon Soils
4. Conclusions
Supplementary Materials
Author Contributions
Funding
Conflicts of Interest
References
- Cary, S.C.; McDonald, I.R.; Barrett, J.E.; Cowan, D.A. On the rocks: The microbiology of Antarctic Dry Valley soils. Nat. Rev. Microbiol. 2010, 8, 129–138. [Google Scholar] [CrossRef] [PubMed]
- Terauds, A.; Chown, S.L.; Morgan, F.J.; Peat, H.; Watts, D.J.; Keys, H. Conservation biogeography of the Antarctic. Divers. Distrib. 2012, 18, 726–741. [Google Scholar] [CrossRef]
- Kennedy, A.D. Water as a Limiting Factor in the Antarctic Terrestrial Environment: A Biogeographical Synthesis. Arct. Alp. Res. 1993, 25, 308–315. [Google Scholar] [CrossRef]
- Zeglin, L.H.; Dahm, C.N.; Barrett, J.E.; Gooseff, M.N.; Fitpatrick, S.K.; Takacs-Vesbach, C.D. Bacterial Community Structure Along Moisture Gradients in the Parafluvial Sediments of Two Ephemeral Desert Streams. Microb. Ecol. 2011, 61, 543–556. [Google Scholar] [CrossRef]
- Hughes, K.; Cowan, D.; Wilmotte, A. Protection of Antarctic microbial communities–’out of sight, out of mind’. Front. Microbiol. 2015, 6, 151. [Google Scholar] [CrossRef]
- Yergeau, E.; Kang, S.; He, Z.; Zhou, J.; Kowalchuk, G.A. Functional microarray analysis of nitrogen and carbon cycling genes across an Antarctic latitudinal transect. ISME J. 2007, 1, 163–179. [Google Scholar] [CrossRef]
- Howard-Williams, C.; Hawes, I. Ecological processes in Antarctic inland waters: Interactions between physical processes and the nitrogen cycle. Antarct. Sci. 2007, 19, 205–217. [Google Scholar] [CrossRef]
- Niederberger, T.D.; Sohm, J.A.; Tirindelli, J.; Gunderson, T.; Capone, D.G.; Carpenter, E.J. Diverse and highly active diazotrophic assemblages inhabit ephemerally wetted soils of the Antarctic Dry Valleys. FEMS Microbiol. Ecol. 2012, 82, 376–390. [Google Scholar] [CrossRef]
- Niederberger, T.D.; Sohm, J.A.; Gunderson, T.E.; Parker, A.E.; Tirindelli, J.; Capone, D.G. Microbial community composition of transiently wetted Antarctic Dry Valley soils. Front. Microbiol. 2015, 6. [Google Scholar] [CrossRef]
- Hawes, I.; Howard-Williams, C. Primary Production Processes in Streams of the McMurdo Dry Valleys, Antarctica. Antarct. Res. Ser. 2013, 129–140. [Google Scholar] [CrossRef]
- Barrett, J.E.; Virginia, R.A.; Lyons, W.B.; McKnight, D.M.; Priscu, J.C.; Doran, P.T. Biogeochemical stoichiometry of Antarctic Dry Valley ecosystems. J. Geophys. Res. Biogeosci. 2007, 112, 1010. [Google Scholar] [CrossRef]
- Tolar, B.B.; Ross, M.J.; Wallsgrove, N.J.; Liu, Q.; Aluwihare, L.I.; Popp, B.N. Contribution of ammonia oxidation to chemoautotrophy in Antarctic coastal waters. ISME J. 2016, 10, 2605–2619. [Google Scholar] [CrossRef] [PubMed]
- Schaeffer, S.M.; Billings, S.A.; Evans, R.D. Responses of soil nitrogen dynamics in a Mojave Desert ecosystem to manipulations in soil carbon and nitrogen availability. Oecologia 2003, 134, 547–553. [Google Scholar] [CrossRef] [PubMed]
- Magalhães, C.; Machado, A.; Frank-Fahle, B.; Lee, C.K.; Cary, C.S. The ecological dichotomy of ammonia-oxidizing archaea and bacteria in the hyper-arid soils of the Antarctic Dry Valleys. Front. Microbiol. 2014, 5. [Google Scholar] [CrossRef] [PubMed]
- Rotthauwe, J.H.; Witzel, K.P.; Liesack, W. The ammonia monooxygenase structural gene amoA as a functional marker: Molecular fine-scale analysis of natural ammonia-oxidizing populations. Appl. Environ. Microbiol. 1997, 63, 4704–4712. [Google Scholar] [CrossRef] [PubMed]
- Könneke, M.; Bernhard, A.E.; De la Torre, J.; Walker, C.B.; Waterbury, J.B.; Stahl, D.A. Isolation of an autotrophic ammonia oxidizing marine archaeon. Nature 2005, 437, 543–546. [Google Scholar] [CrossRef]
- Abeliovich, A. The Nitrite oxidizing bacteria. The Prokaryotes 2006, 5, 861–872. [Google Scholar] [CrossRef]
- Van Kessel, M.A.H.J.; Speth, D.R.; Albertsen, M.; Nielsen, P.H.; Op Den Camp, H.J.M.; Kartal, B. Complete nitrification by a single microorganism. Nature 2015, 528, 555–559. [Google Scholar] [CrossRef]
- Erguder, T.; Boon, N.; Wittebolle, L.; Marzorati, M.; Verstraete, W. Environmental factors shaping the ecological niches of ammonia-oxidizing archaea. FEMS Microbiol. Rev. 2009, 33, 855–869. [Google Scholar] [CrossRef]
- Verhamme, D.T.; Prosser, J.I.; Nicol, G.W. Ammonia concentration determines differential growth of ammonia-oxidising archaea and bacteria in soil microcosms. ISME J. 2011, 5, 1067–1071. [Google Scholar] [CrossRef]
- Hatzenpichler, R. Diversity, physiology, and niche differentiation of ammonia-oxidizing archaea. Appl. Environ. Microbiol. 2012, 78, 7501–7510. [Google Scholar] [CrossRef] [PubMed]
- Cabrol, L.; Poly, F.; Malhautier, L.; Pommier, T.; Lerondelle, C.; Verstraete, W.; Lepeuple, A.S.; Fanlo, J.L.; Le Roux, X. Management of microbial communities through transient disturbances enhances the functional resilience of nitrifying gas-biofilters to future disturbances. Environ. Sci. Technol. 2016, 50, 338–348. [Google Scholar] [CrossRef] [PubMed]
- Ayton, J.; Aislabie, J.; Barker, G.M.; Saul, D.; Turner, S. Crenarchaeota affiliated with group 1.1 b are prevalent in coastal mineral soils of the Ross Sea region of Antarctica. Environ. Microbiol. 2010, 12, 689–703. [Google Scholar] [CrossRef] [PubMed]
- Voytek, M.A.; Priscu, J.C.; Ward, B.B. The distribution and relative abundance of ammonia-oxidizing bacteria in lakes of the McMurdo Dry Valley, Antarctica. Hydrobiologia 1999, 401, 113–130. [Google Scholar] [CrossRef]
- Prosser, J.I.; Nicol, G.W. Archaeal and bacterial ammonia-oxidisers in soil: The quest for niche specialisation and differentiation. Trends Microbiol. 2012, 20, 523–531. [Google Scholar] [CrossRef]
- Lee, C.K.; Barbier, B.A.; Bottos, E.M.; McDonald, I.R.; Cary, S.C. The inter-valley soil comparative survey: The ecology of dry valley edaphic microbial communities. ISME J. 2012, 6, 1046–1057. [Google Scholar] [CrossRef]
- Campbell, I.B.; Claridge, C.G.C. Antarctica: Soils, Weathering Processes and Environment; Elsevier: Amsterdam, Nederland, 1987. [Google Scholar] [CrossRef]
- Wood, S.A.; Rueckert, A.; Cowan, D.A.; Cary, S.C. Sources of edaphic cyanobacterial diversity in the Dry Valleys of Eastern Antarctica. ISME J. 2008, 2, 308–320. [Google Scholar] [CrossRef]
- Dennis, P.G.; Sparrow, A.D.; Gregorich, E.G.; Novis, P.M.; Elberling, B.; Greenfield, L.G.; Hopkins, D.W. Microbial responses to carbon and nitrogen supplementation in an Antarctic dry valley soil. Antarctic Sci. 2013, 25, 55–61. [Google Scholar] [CrossRef]
- Buelow, H.N.; Winter, A.S.; Van Horn, D.J.; Barrett, J.E.; Gooseff, M.N.; Schwartz, E. Microbial community responses to increased water and organic matter in the arid soils of the McMurdo Dry Valleys, antarctica. Front. Microbiol. 2016, 7. [Google Scholar] [CrossRef]
- Marchant, D.R.; Head III, J.W. Antarctic dry valleys: Microclimate zonation, variable geomorphic processes, and implications for assessing climate change on Mars. Icarus 2007, 192, 187–222. [Google Scholar] [CrossRef]
- Wei, S.T.S.; Fernandez-Martinez, M.-A.; Chan, Y.; Van Nostrand, J.D.; de los Rios-Murillo, A.; Chiu, J.M.Y. Diverse metabolic and stress-tolerance pathways in chasmoendolithic and soil communities of Miers Valley, McMurdo Dry Valleys, Antarctica. Polar Biol. 2015, 38, 433–443. [Google Scholar] [CrossRef]
- Linkletter, G.; Bockheim, J.; Ugolini, F.C. Soils and glacial deposits in the Beacon Valley, southern Victoria Land, Antarctica. N. Z. J. Geol. Geophys. 2012. [Google Scholar] [CrossRef][Green Version]
- Page, A.L.; Miller, R.H.; Keeney, D.R. Part2. Chemical and microbiological properties. In Methods of Soil Analysis; American Soc. of Agronomy: Madison, WI, USA, 1982. [Google Scholar] [CrossRef]
- Magalhães, C.M.; Bordalo, A.A.; Wiebe, W.J. Temporal and spatial patterns of intertidal sediment-water nutrient and oxygen fluxes in the Douro River estuary, Portugal. Mar. Ecol. Prog. Ser. 2002, 233, 55–71. [Google Scholar] [CrossRef]
- Jones, M. Nitrate reduction by shaking with cadmium alternative to cadmium columns. Water Res. 1984, 18, 643–646. [Google Scholar] [CrossRef]
- Holtappels, M.; Lavik, G.; Jensen, M.M.; Kuypers, M.M.M. 15N-Labeling Experiments to Dissect the Contributions of Heterotrophic Denitrification and Anammox to Nitrogen Removal in the OMZ Waters of the Ocean. Methods in Enzymol. 2011, 223–251. [Google Scholar] [CrossRef]
- Koike, I.; Hattori, A. Simultaneous determinations of nitrification and nitrate reduction in coastal sediments by a 15N dilution technique. Simultaneous Determinations of Nitrification and Nitrate Reduction in Coastal Sediments by a 15N Dilution Technique. Appl. Environ. Microbiol. 1978, 35, 853–857. [Google Scholar] [CrossRef]
- Santos, J.P.; Mendes, D.; Monteiro, M.; Ribeiro, H.; Baptista, M.S.; Borges, M.T.; Magalhães, C. Salinity impact on ammonia oxidizers activity and amoA expression in estuarine sediments. Estuar. Coast. Shelf Sci. 2017, 211, 177–187. [Google Scholar] [CrossRef]
- Beman, J.M.; Chow, C.; King, A.L.; Feng, Y.; Fuhrman, J.A.; Andersson, A. Global declines in oceanic nitrification rates as a consequence of ocean acidification. Proc. Natl. Acad. Sci. USA 2011, 108, 208–213. [Google Scholar] [CrossRef]
- Caporaso, J.G.; Lauber, C.L.; Walters, W.A.; Berg-Lyons, D.; Lozupone, C.A.; Turnbaugh, P.J. Global patterns of 16S rRNA diversity at a depth of millions of sequences per sample. Proc. Natl. Acad. Sci. USA 2011, 108, 4516–4522. [Google Scholar] [CrossRef]
- Nocker, A.; Camper, A.K. Selective Removal of DNA from Dead Cells of Mixed Bacterial Communities by Use of Ethidium Monoazide Selective Removal of DNA from Dead Cells of Mixed Bacterial Communities by Use of Ethidium Monoazide. Am. Soc. Microbiol. 2006, 72. [Google Scholar] [CrossRef]
- Schloss, P.D.; Westcott, S.L.; Ryabin, T.; Hall, J.R.; Hartmann, M.; Hollister, E.B. Introducing mothur: Open-source, platform-independent, community-supported software for describing and comparing microbial communities. Appl. Environ. Microbiol. 2009, 75, 7537–7541. [Google Scholar] [CrossRef] [PubMed]
- Edgar, R.C. Search and clutering orders of magnitude faster than BLAST. Bioinformatics 2010, 26, 2460–2461. [Google Scholar] [CrossRef] [PubMed]
- Edgar, R.C. UPARSE: Highly accurate OTU sequences from microbial amplicon reads. Nat. Methods 2013, 10, 996–998. [Google Scholar] [CrossRef] [PubMed]
- Bernal, A.; Ear, U.; Kyrpidesa, N. GOLD: GenomesOnLine Database\rGenomes OnLine Database (GOLD): A monitor of genome projects world-wide. Nucleic Acids Res. 2001, 29, 126–127. [Google Scholar] [CrossRef] [PubMed]
- Wang, Q.; Garrity, G.M.; Tiedje, J.M.; Cole, J.R. Naive bayesian classifier for rapid assignment of rRNA sequencesinto the new bacterial taxonomy. Appl. Environ. Microbiol. 2007, 73, 5261–5267. [Google Scholar] [CrossRef] [PubMed]
- R Core Team R: A Language and Environment for Statistical Computing 2019. Available online: http://www.r-project.org/index.html (accessed on 16 February 2020).
- Oksanen, J.; Blanchet, F.G.; Friendly, M.; Kindt, R.; Legendre, P.; Mcglinn, D. Package “vegan.” 2018. Available online: https://cran.ism.ac.jp/web/packages/vegan/vegan.pdf (accessed on 16 February 2020).
- McMurdie, P.J.; Holmes, S. Phyloseq: An R Package for Reproducible Interactive Analysis and Graphics of Microbiome Census Data. PLoS ONE 2013, 8. [Google Scholar] [CrossRef]
- Wickham, H. ggplot2: An Implementation of the Grammar of Graphics. R package version 0.7. 2008. Available online: http//CRAN.R-project.org/package= ggplot2 (accessed on 16 February 2020).
- Blazewicz, S.J.; Barnard, R.L.; Daly, R.A.; Firestone, M.K. Evaluating rRNA as an indicator of microbial activity in environmental communities: Limitations and uses. ISME J. 2013, 7, 2061–2068. [Google Scholar] [CrossRef]
- Goordial, J.; Davila, A.; Lacelle, D.; Pollard, W.; Marinova, M.M.; Greer, C.W. Nearing the cold-arid limits of microbial life in permafrost of an upper dry valley, Antarctica. ISME J. 2016, 10, 1613–1624. [Google Scholar] [CrossRef]
- Schostag, M.; Stibal, M.; Jacobsen, C.S.; Bælum, J.; Tas, N.; Elberling, B. Distinct summer and winter bacterial communities in the active layer of Svalbard permafrost revealed by DNA-and RNA-based analyses. Front. Microbiol. 2015, 6. [Google Scholar] [CrossRef]
- Tourna, M.; Stieglmeier, M.; Spang, A.; Konneke, M.; Schintlmeister, A.; Urich, T. Nitrososphaera viennensis, an ammonia oxidizing archaeon from soil. Proc. Natl. Acad. Sci. USA 2011, 108, 8420–8425. [Google Scholar] [CrossRef]
- Fierer, N.; Carney, K.M.; Horner-Devine, M.C.; Megonigal, J.P. The biogeography of ammonia-oxidizing bacterial communities in soil. Microb. Ecol. 2009, 58, 435–445. [Google Scholar] [CrossRef] [PubMed]
- Koch, H.; Lücker, S.; Albertsen, M.; Kitzinger, K.; Herbold, C.; Spieck, E. Expanded metabolic versatility of ubiquitous nitrite-oxidizing bacteria from the genus Nitrospira. Proc. Natl. Acad. Sci. USA 2015, 112, 11371–11376. [Google Scholar] [CrossRef] [PubMed]
- Francis, C.A.; Roberts, K.J.; Beman, J.M.; Santoro, A.E.; Oakley, B.B. Ubiquity and diversity of ammonia-oxidizing archaea in water columns and sediments of the ocean. Proc. Natl. Acad. Sci. USA 2005, 102, 14683–14688. [Google Scholar] [CrossRef] [PubMed]
- Kuzyakov, Y.; Friedel, J.K.; Stahr, K. Review of mechanisms and quantification of priming effects. Soil Biol. Biochem. 2000, 32, 1485–1498. [Google Scholar] [CrossRef]
- Shanhun, F.L.; Almond, P.C.; Clough, T.J.; Smith, C.M. Abiotic processes dominate CO2 fluxes in Antarctic soils. Soil Biol. Biochem. 2012, 53, 99–111. [Google Scholar] [CrossRef]
- Tiao, G.; Lee, C.K.; McDonald, I.R.; Cowan, D.A.; Cary, S.C. Rapid microbial response to the presence of an ancient relic in the Antarctic Dry Valleys. Nat. Commun. 2012, 3. [Google Scholar] [CrossRef][Green Version]
- Van Horn, D.J.; Okie, J.G.; Buelow, H.N.; Gooseff, M.N.; Barrett, J.E.; and Takacs-Vesbach, C.D. Soil microbial responses to increased moisture and organic resources along a salinity gradient in a polar desert. Appl. Environ. Microbiol. 2014, 80, 3034–3043. [Google Scholar] [CrossRef]
- Zhalnina, K.; Dörr de Quadros, P.; Camargo, F.O.; Triplett, E.W. Drivers of archaeal ammonia-oxidizing communities in soil. Front. Microbiol. 2012, 3, 210. [Google Scholar] [CrossRef]
- Mertens, J.; Wakelin, S.A.; Broos, K.; Mclaughlin, M.J.; Smolders, E. Extent of copper tolerance and consequences for functional stability of the ammonia-oxidizing community in long-term copper-contaminated Soils. Environ. Toxicol. Chem. 2010, 29, 27–37. [Google Scholar] [CrossRef]
- Lehtovirta-Morley, L.E.; Ge, C.; Ross, J.; Yao, H.; Nicol, G.W.; Prosser, J.I. Characterisation of terrestrial acidophilic archaeal ammonia oxidisers and their inhibition and stimulation by organic compounds. FEMS Microbiol. Ecol. 2014, 89, 542–552. [Google Scholar] [CrossRef]
- Alonso-Saez, L.; Waller, A.S.; Mende, D.R.; Bakker, K.; Farnelid, H.; Yager, P.L. Role for urea in nitrification by polar marine Archaea. Proc. Natl. Acad. Sci. USA 2012, 109, 17989–17994. [Google Scholar] [CrossRef] [PubMed]
- Qin, W.; Amin, S.A.; Martens-Habbena, W.; Walker, C.B.; Urakawa, H.; Devol, A.H. Marine ammonia-oxidizing archaeal isolates display obligate mixotrophy and wide ecotypic variation. Proc. Natl. Acad. Sci. USA 2014, 111, 12504–12509. [Google Scholar] [CrossRef] [PubMed]
- Xue, C.; Zhang, X.; Zhu, C.; Zhao, J.; Zhu, P.; Peng, C. Quantitative and compositional responses of ammonia-oxidizing archaea and bacteria to long-term field fertilization. Sci. Rep. 2016, 6. [Google Scholar] [CrossRef] [PubMed]




| Miers Valley | Beacon Valley | Study | |
|---|---|---|---|
| pH | 8.62 ± 0.31 | 7.10 ± 0.28 | [26] |
| Conductivity (µS/cm) | 300 | 3920 | [26] |
| C/N | 18.22 ± 20.07 | 1.80 ± 0.46 | [26] |
| Cu (ppm) | 11.9 ± 2.7 | 73.7 ± 12. 6 | [26] |
| AOA amoA gene copies (g−1 soil) | 6 × 105 | 1 × 105 | [14] |
| AOB amoA gene copies (g−1 soil) | 1 × 106 | 5 × 103 | [14] |
| NH4+ (nmol g−1) | 22.9 | 23.5 | This study |
| NO2− + NO3− (nmol g−1) | 4.11 | 28.9 | This study |
© 2020 by the authors. Licensee MDPI, Basel, Switzerland. This article is an open access article distributed under the terms and conditions of the Creative Commons Attribution (CC BY) license (http://creativecommons.org/licenses/by/4.0/).
Share and Cite
Monteiro, M.; S. Baptista, M.; Séneca, J.; Torgo, L.; K. Lee, C.; Cary, S.C.; Magalhães, C. Understanding the Response of Nitrifying Communities to Disturbance in the McMurdo Dry Valleys, Antarctica. Microorganisms 2020, 8, 404. https://doi.org/10.3390/microorganisms8030404
Monteiro M, S. Baptista M, Séneca J, Torgo L, K. Lee C, Cary SC, Magalhães C. Understanding the Response of Nitrifying Communities to Disturbance in the McMurdo Dry Valleys, Antarctica. Microorganisms. 2020; 8(3):404. https://doi.org/10.3390/microorganisms8030404
Chicago/Turabian StyleMonteiro, Maria, Mafalda S. Baptista, Joana Séneca, Luís Torgo, Charles K. Lee, S. Craig Cary, and Catarina Magalhães. 2020. "Understanding the Response of Nitrifying Communities to Disturbance in the McMurdo Dry Valleys, Antarctica" Microorganisms 8, no. 3: 404. https://doi.org/10.3390/microorganisms8030404
APA StyleMonteiro, M., S. Baptista, M., Séneca, J., Torgo, L., K. Lee, C., Cary, S. C., & Magalhães, C. (2020). Understanding the Response of Nitrifying Communities to Disturbance in the McMurdo Dry Valleys, Antarctica. Microorganisms, 8(3), 404. https://doi.org/10.3390/microorganisms8030404

