Investigation of Adiposity Measures and Operational Taxonomic unit (OTU) Data Transformation Procedures in Stool Samples from a German Cohort Study Using Machine Learning Algorithms
Abstract
1. Introduction
2. Materials and Methods
2.1. Study Population
2.2. Microbiota Profiling by 16S rRNA Amplicon Sequencing
2.3. Exclusion Criteria
2.4. Adiposity Measures
2.5. Machine Learning Algorithms
2.6. Statistical Analysis
3. Results and Discussion
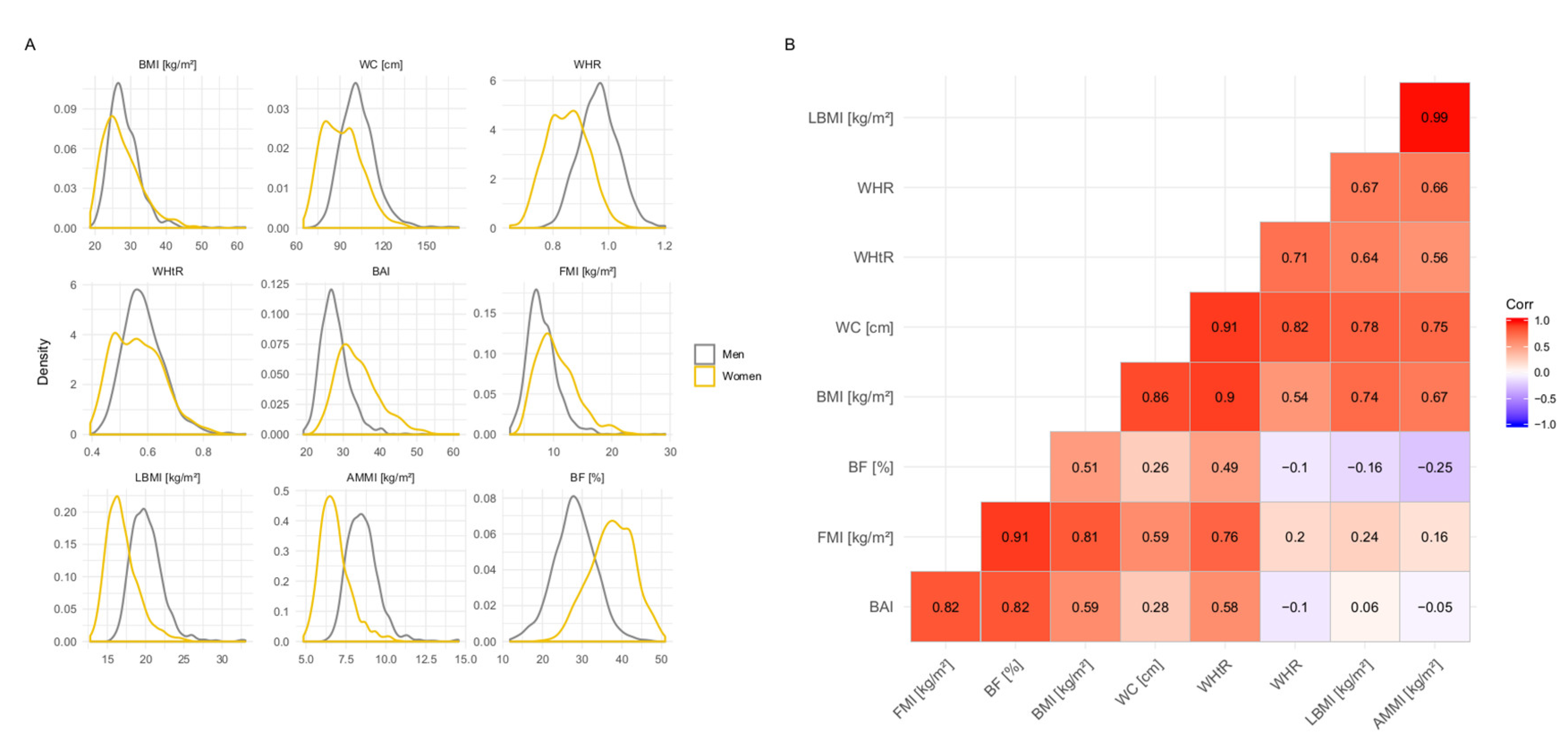
3.1. Benchmark Data on Study Population and Adiposity Measures
3.2. Adiposity Measurement Selection
3.3. Comparison of OTU Data Transformation Approaches
3.4. Implications from Machine Learning Algorithms
3.5. Effect of Sex-Stratification on Predictive Performance
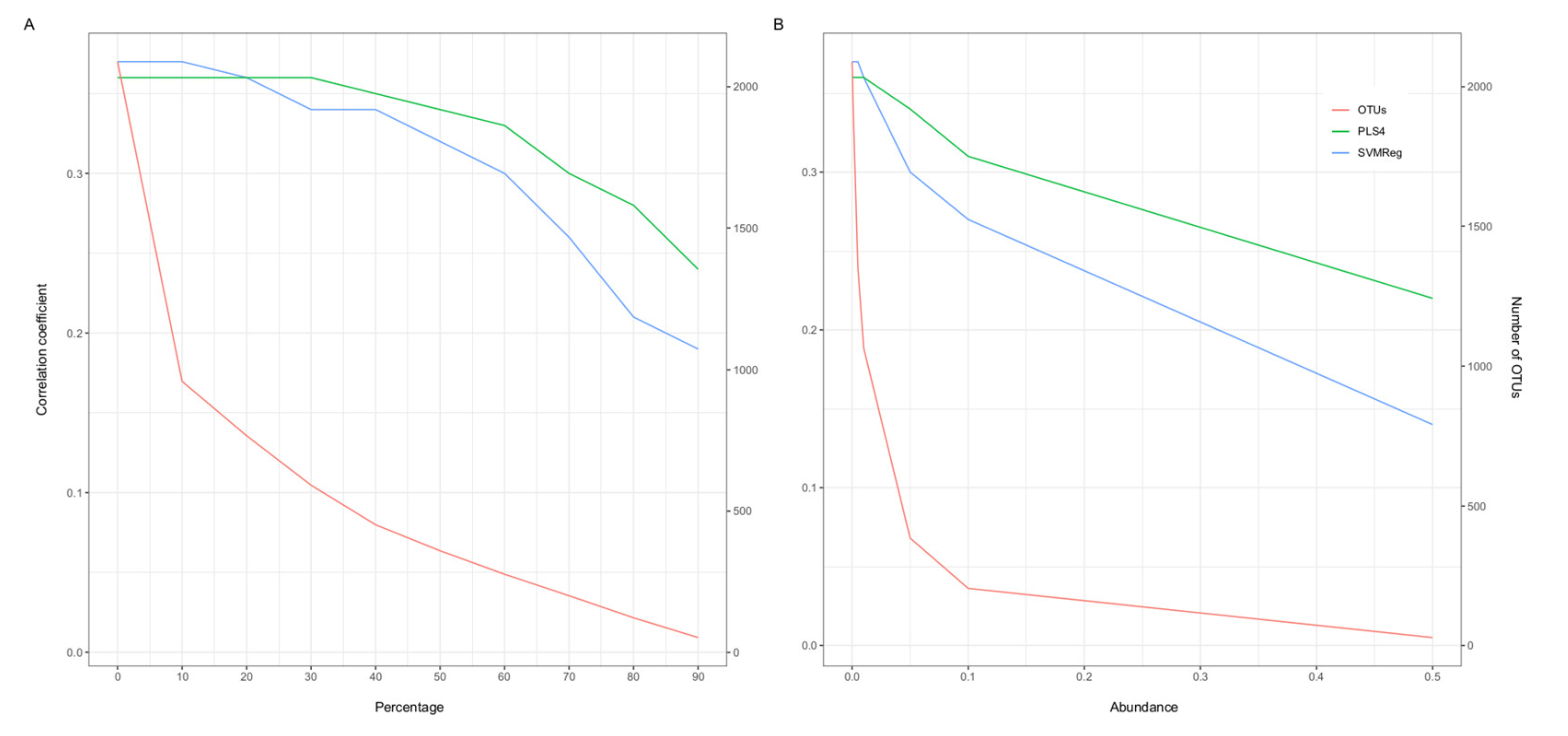
3.6. Dependency of Prediction Capacity on Prevalent and Abundant OTUs
3.7. Limitations
4. Conclusions
Supplementary Materials
Author Contributions
Funding
Acknowledgments
Conflicts of Interest
References
- World Health Organization Malnutrition. Key Facts. 2018. Available online: https://www.who.int/news-room/fact-sheets/detail/malnutrition (accessed on 20 March 2020).
- Khan, M.J.; Gerasimidis, K.; Edwards, C.A.; Shaikh, M.G. Role of Gut Microbiota in the Aetiology of Obesity: Proposed Mechanisms and Review of the Literature. J. Obes. 2016, 2016, 1–27. [Google Scholar] [CrossRef]
- Hartstra, A.V.; Bouter, K.E.C.; Bäckhed, F.; Nieuwdorp, M. Insights into the Role of the Microbiome in Obesity and Type 2 Diabetes. Diabetes Care 2015, 38, 159–165. [Google Scholar] [CrossRef]
- Fung, T.C.; Olson, C.A.; Hsiao, E.Y. Interactions between the microbiota, immune and nervous systems in health and disease. Nat. Neurosci. 2017, 20, 145–155. [Google Scholar] [CrossRef]
- Schroeder, B.O.; Bäckhed, F. Signals from the gut microbiota to distant organs in physiology and disease. Nat. Med. 2016, 22, 1079–1089. [Google Scholar] [CrossRef]
- Jackson, M.A.; Verdi, S.; Maxan, M.-E.; Shin, C.M.; Zierer, J.; Bowyer, R.C.E.; Martin, T.; Williams, F.M.K.; Menni, C.; Bell, J.T.; et al. Gut microbiota associations with common diseases and prescription medications in a population-based cohort. Nat. Commun. 2018, 9, 2655. [Google Scholar] [CrossRef]
- Wu, H.; Esteve, E.; Tremaroli, V.; Khan, M.T.; Caesar, R.; Mannerås-Holm, L.; Ståhlman, M.; Olsson, L.M.; Serino, M.; Planas-Fèlix, M.; et al. Metformin alters the gut microbiome of individuals with treatment-naive type 2 diabetes, contributing to the therapeutic effects of the drug. Nat. Med. 2017, 23, 850–858. [Google Scholar] [CrossRef]
- Tseng, C.-H.; Wu, C.-Y. The gut microbiome in obesity. J. Formos. Med. Assoc. 2019, 118, S3–S9. [Google Scholar] [CrossRef]
- Bohan, R.; Tianyu, X.; Tiantian, Z.; Ruonan, F.; Hongtao, H.; Qiong, W.; Chao, S. Gut microbiota: a potential manipulator for host adipose tissue and energy metabolism. J. Nutr. Biochem. 2019, 64, 206–217. [Google Scholar] [CrossRef]
- Finucane, M.M.; Sharpton, T.J.; Laurent, T.J.; Pollard, K.S. A Taxonomic Signature of Obesity in the Microbiome? Getting to the Guts of the Matter. PLoS ONE 2014, 9, e84689. [Google Scholar] [CrossRef]
- Sze, M.A.; Schloss, P.D. Looking for a Signal in the Noise: Revisiting Obesity and the Microbiome. mBio 2016, 7, e01018-16. [Google Scholar] [CrossRef]
- Gloor, G.B.; Macklaim, J.M.; Pawlowsky-Glahn, V.; Egozcue, J.J. Microbiome Datasets Are Compositional: And This Is Not Optional. Front. Microbiol. 2017, 8, 2224. [Google Scholar] [CrossRef]
- Weiss, S.; Xu, Z.Z.; Peddada, S.; Amir, A.; Bittinger, K.; Gonzalez, A.; Lozupone, C.; Zaneveld, J.R.; Vázquez-Baeza, Y.; Birmingham, A.; et al. Normalization and microbial differential abundance strategies depend upon data characteristics. Microbiome 2017, 5, 27. [Google Scholar] [CrossRef]
- Morgan, X.C.; Huttenhower, C. Chapter 12: Human Microbiome Analysis. PLoS Comput. Biol. 2012, 8, e1002808. [Google Scholar] [CrossRef]
- Callahan, B.J.; McMurdie, P.J.; Rosen, M.J.; Han, A.W.; Johnson, A.J.A.; Holmes, S.P. DADA2: High-resolution sample inference from Illumina amplicon data. Nat. Methods 2016, 13, 581–583. [Google Scholar] [CrossRef]
- Egozcue, J.J. Isometric Logratio Transformations for Compositional Data Analysis. Math. Geol. 2003, 35, 279–300. [Google Scholar] [CrossRef]
- Holle, R.; Happich, M.; Löwel, H.; Wichmann, H.E.; MONICA/KORA Study Group. KORA—A research platform for population based health research. Gesundheitswesen 2005, 67, S19–S25. [Google Scholar] [CrossRef]
- Laxy, M.; Knoll, G.; Schunk, M.; Meisinger, C.; Huth, C.; Holle, R. Quality of Diabetes Care in Germany Improved from 2000 to 2007 to 2014, but Improvements Diminished since 2007. Evidence from the Population-Based KORA Studies. PLoS ONE 2016, 11, e0164704. [Google Scholar] [CrossRef]
- Reitmeier, S.; Kießling, S.; Clavel, T.; List, M.; Almeida, E.L.; Ghosh, T.S.; Neuhaus, K.; Grallert, H.; Troll, M.; Rathmann, W.; et al. Arrhythmic gut microbiome signatures for risk profiling of Type-2 Diabetes. bioRxiv 2019. [Google Scholar] [CrossRef]
- Lagkouvardos, I.; Joseph, D.; Kapfhammer, M.; Giritli, S.; Horn, M.; Haller, D.; Clavel, T. IMNGS: A comprehensive open resource of processed 16S rRNA microbial profiles for ecology and diversity studies. Sci. Rep. 2016, 6, 33721. [Google Scholar] [CrossRef]
- Edgar, R.C. UPARSE: highly accurate OTU sequences from microbial amplicon reads. Nat. Methods 2013, 10, 996–998. [Google Scholar] [CrossRef]
- Reitmeier, S.; Hitch, T.C.; Fikas, N.; Hausmann, B.; Ramer-Tait, A.E.; Neuhaus, K.; Berry, D.; Haller, D.; Lagkouvardos, I.; Clavel, T. Handling of spurious sequences affects the outcome of high-throughput 16S rRNA gene amplicon profiling. Review 2020. [Google Scholar] [CrossRef]
- Bergman, R.N.; Stefanovski, D.; Buchanan, T.A.; Sumner, A.E.; Reynolds, J.C.; Sebring, N.G.; Xiang, A.H.; Watanabe, R.M. A Better Index of Body Adiposity. Obesity 2011, 19, 1083–1089. [Google Scholar] [CrossRef]
- Markus, M.R.P.; Rospleszcz, S.; Ittermann, T.; Baumeister, S.E.; Schipf, S.; Siewert-Markus, U.; Lorbeer, R.; Storz, C.; Ptushkina, V.; Peters, A.; et al. Glucose and insulin levels are associated with arterial stiffness and concentric remodeling of the heart. Cardiovasc. Diabetol. 2019, 18, 145. [Google Scholar] [CrossRef]
- Kyle, U.G.; Genton, L.; Karsegard, L.; Slosman, D.O.; Pichard, C. Single prediction equation for bioelectrical impedance analysis in adults aged 20--94 years. Nutrition 2001, 17, 248–253. [Google Scholar] [CrossRef]
- Kyle, U.G.; Schutz, Y.; Dupertuis, Y.M.; Pichard, C. Body composition interpretation. Contributions of the fat-free mass index and the body fat mass index. Nutrition 2003, 19, 597–604. [Google Scholar] [CrossRef]
- Kyle, U.G.; Genton, L.; Hans, D.; Pichard, C. Validation of a bioelectrical impedance analysis equation to predict appendicular skeletal muscle mass (ASMM). Clin. Nutr. 2003, 22, 537–543. [Google Scholar] [CrossRef]
- Frank, E.; Hall, M.A.; Witten, I.H. Online Appendix for Data mining: Practical Machine Learning Tools and Techniques. 2016. Available online: https://waikato.github.io/weka-wiki/citing_weka/ (accessed on 20 March 2020).
- Hall, M.; Frank, E.; Holmes, G.; Pfahringer, B.; Reutemann, P.; Witten, I.H. The WEKA Data Mining Software: An Update. SIGKDD Explor. 2009, 11, 10–18. [Google Scholar] [CrossRef]
- R Core Team. R: A Language and Environment for Statistical Computing; R Foundation for Statistical Computing: Vienna, Austria, 2019; Available online: https://www.R-project.org/ (accessed on 21 March 2020).
- van den Boogaart, K.G.; Tolosana-Delgado, R.; Bren, M. compositions: Compositional Data Analysis. 2018. Available online: https://CRAN.R-project.org/package=compositions (accessed on 21 March 2020).
- Jost, L. Entropy and diversity. Oikos 2006, 113, 363–375. [Google Scholar] [CrossRef]
- Oksanen, J.; Blanchet, F.G.; Friendly, M.; Kindt, R.; Legendre, P.; McGlinn, D.; Minchin, P.R.; O’Hara, R.B.; Simpson, G.L.; Solymos, P.; et al. vegan: Community Ecology Package. 2019. Available online: https://CRAN.R-project.org/package=vegan (accessed on 21 March 2020).
- United Nations, Department of Economic and Social Affairs, Population Division. World Population Ageing 2017 – Highlights; United Nations: New York, NY, USA, 2017; Available online: https://www.un.org/en/development/desa/population/publications/pdf/ageing/WPA2017_Highlights.pdf (accessed on 21 March 2020).
- World Health Organization. Obesity: Preventing and Managing the Global Epidemic: Report of a WHO Consultation (WHO Technical Report Series 894); World Health Organization: Geneva, Switzerland, 2000; p. 9 (Table 2.1). Available online: https://www.who.int/nutrition/publications/obesity/WHO_TRS_894/en/ (accessed on 19 March 2020).
- Ley, C.J.; Lees, B.; Stevenson, J.C. Sex- and menopause-associated changes in body-fat distribution. Am. J. Clin. Nutr. 1992, 55, 950–954. [Google Scholar] [CrossRef]
- Kirchengast, S.; Gruber, D.; Sator, M.; Hartmann, B.; Knogler, W.; Huber, J. Menopause-associated differences in female fat patterning estimated by dual-energy X-ray absorptiometry. Ann. Hum. Biol. 1997, 24, 45–54. [Google Scholar] [CrossRef]
- Zierer, J.; Jackson, M.A.; Kastenmüller, G.; Mangino, M.; Long, T.; Telenti, A.; Mohney, R.P.; Small, K.S.; Bell, J.T.; Steves, C.J.; et al. The fecal metabolome as a functional readout of the gut microbiome. Nat. Genet. 2018, 50, 790–795. [Google Scholar] [CrossRef]
- Beaumont, M.; Goodrich, J.K.; Jackson, M.A.; Yet, I.; Davenport, E.R.; Vieira-Silva, S.; Debelius, J.; Pallister, T.; Mangino, M.; Raes, J.; et al. Heritable components of the human fecal microbiome are associated with visceral fat. Genome Biol. 2016, 17, 189. [Google Scholar] [CrossRef]
- Le Roy, C.I.; Bowyer, R.C.E.; Castillo-Fernandez, J.E.; Pallister, T.; Menni, C.; Steves, C.J.; Berry, S.E.; Spector, T.D.; Bell, J.T. Dissecting the role of the gut microbiota and diet on visceral fat mass accumulation. Sci. Rep. 2019, 9, 9758. [Google Scholar] [CrossRef]
- Arora, T.; Bäckhed, F. The gut microbiota and metabolic disease: current understanding and future perspectives. J. Intern. Med. 2016, 280, 339–349. [Google Scholar] [CrossRef]
- Lahiri, S.; Kim, H.; Garcia-Perez, I.; Reza, M.M.; Martin, K.A.; Kundu, P.; Cox, L.M.; Selkrig, J.; Posma, J.M.; Zhang, H.; et al. The gut microbiota influences skeletal muscle mass and function in mice. Sci. Transl. Med. 2019, 11, eaan5662. [Google Scholar] [CrossRef]
- Rost, S.; Freuer, D.; Peters, A.; Thorand, B.; Holle, R.; Linseisen, J.; Meisinger, C. New indexes of body fat distribution and sex-specific risk of total and cause-specific mortality: a prospective cohort study. BMC Public Health 2018, 18, 427. [Google Scholar] [CrossRef]
- Tyrovolas, S.; Panagiotakos, D.; Georgousopoulou, E.; Chrysohoou, C.; Tousoulis, D.; Haro, J.M.; Pitsavos, C. Skeletal muscle mass in relation to 10 year cardiovascular disease incidence among middle aged and older adults: the ATTICA study. J. Epidemiol. Community Health 2020, 74, 26–31. [Google Scholar] [CrossRef]
- Fei, N.; Bernabé, B.P.; Lie, L.; Baghdan, D.; Bedu-Addo, K.; Plange-Rhule, J.; Forrester, T.E.; Lambert, E.V.; Bovet, P.; Gottel, N.; et al. The human microbiota is associated with cardiometabolic risk across the epidemiologic transition. PLoS ONE 2019, 14, e0215262. [Google Scholar] [CrossRef]
- Bind, M.-A.C.; Rubin, D.B. Bridging observational studies and randomized experiments by embedding the former in the latter. Stat. Methods Med. Res. 2019, 28, 1958–1978. [Google Scholar] [CrossRef]
- McKnight, D.T.; Huerlimann, R.; Bower, D.S.; Schwarzkopf, L.; Alford, R.A.; Zenger, K.R. Methods for normalizing microbiome data: An ecological perspective. Methods Ecol. Evol. 2019, 10, 389–400. [Google Scholar] [CrossRef]
- Costea, P.I.; Zeller, G.; Sunagawa, S.; Bork, P. A fair comparison. Nat. Methods 2014, 11, 359. [Google Scholar] [CrossRef]
- Nguyen, N.-P.; Warnow, T.; Pop, M.; White, B. A perspective on 16S rRNA operational taxonomic unit clustering using sequence similarity. NPJ Biofilms Microbiomes 2016, 2, 16004. [Google Scholar] [CrossRef]
- Human Microbiome Project Consortium Structure, function and diversity of the healthy human microbiome. Nature 2012, 486, 207–214. [CrossRef]
- Venturelli, O.S.; Carr, A.C.; Fisher, G.; Hsu, R.H.; Lau, R.; Bowen, B.P.; Hromada, S.; Northen, T.; Arkin, A.P. Deciphering microbial interactions in synthetic human gut microbiome communities. Mol. Syst. Biol. 2018, 14, e8157. [Google Scholar] [CrossRef]
- Faust, K.; Sathirapongsasuti, J.F.; Izard, J.; Segata, N.; Gevers, D.; Raes, J.; Huttenhower, C. Microbial Co-occurrence Relationships in the Human Microbiome. PLoS Comput. Biol. 2012, 8, e1002606. [Google Scholar] [CrossRef]
- Breuninger, T.A.; Riedl, A.; Wawro, N.; Rathmann, W.; Strauch, K.; Quante, A.; Peters, A.; Thorand, B.; Meisinger, C.; Linseisen, J. Differential associations between diet and prediabetes or diabetes in the KORA FF4 study. J. Nutr. Sci. 2018, 7, e34. [Google Scholar] [CrossRef]


| Characteristics | Overall (n = 1923) | Men (n = 936) | Women (n = 987) | 
|---|---|---|---|
| Age (years) | 60.0 (12.1) | 60.3 (12.3) | 59.7 (11.9) | 
| Body mass index (kg/m2) | 27.9 (5.0) | 28.3 (4.5) | 27.5 (5.4) | 
| Waist circumference (cm) | 97.0 (14.2) | 102.8 (12.4) | 91.5 (13.6) | 
| Waist–hip ratio | 0.91 (0.09) | 0.96 (0.07) | 0.85 (0.07) | 
| Waist–height ratio | 0.58 (0.08) | 0.59 (0.07) | 0.56 (0.09) | 
| Body adiposity index | 31.0 (6.0) | 27.8 (4.0) | 34.0 (5.9) | 
| Fat mass index (kg/m2) | 9.4 (3.4) | 8.1 (2.8) | 10.6 (3.5) | 
| Lean body mass index (kg/m2) | 18.5 (2.6) | 20.1 (2.1) | 16.9 (2.1) | 
| Appendicular muscle mass index (kg/m2) | 7.7 (1.3) | 8.6 (1.0) | 6.8 (1.0) | 
| Body fat (%) | 32.9 (7.1) | 28.1 (5.3) | 37.5 (5.5) | 
| Data Transformation | Machine Learning Algorithm | |||||||||
|---|---|---|---|---|---|---|---|---|---|---|
| SVMReg NPK | RF | M5Rules | PLS20 | PLS4 | ||||||
| CC | RMSE | CC | RMSE | CC | RMSE | CC | RMSE | CC | RMSE | |
| Body mass index | ||||||||||
| Raw counts | 0.18 | 1.01 | 0.26 | 0.97 | 0.19 | 1.06 | 0.17 | 1.24 | 0.21 | 0.99 | 
| RA (100%) | 0.18 | 1.01 | 0.26 | 0.97 | 0.23 | 1.02 | 0.21 | 1.11 | 0.22 | 0.99 | 
| RA + Log | 0.30 | 0.97 | 0.25 | 0.97 | 0.26 | 1.01 | 0.22 | 1.22 | 0.32 | 0.96 | 
| Raw counts + CLR | 0.33 | 0.95 | 0.21 | 0.98 | 0.25 | 1.01 | 0.22 | 1.23 | 0.31 | 0.97 | 
| Raw counts + ILR | 0.33 | 0.95 | 0.19 | 0.98 | 0.28 | 0.99 | 0.22 | 1.23 | 0.31 | 0.97 | 
| Waist circumference | ||||||||||
| Raw counts | 0.24 | 0.98 | 0.32 | 0.95 | 0.22 | 1.07 | 0.22 | 1.19 | 0.25 | 0.98 | 
| RA (100%) | 0.24 | 0.98 | 0.33 | 0.95 | 0.23 | 1.08 | 0.27 | 1.09 | 0.28 | 0.97 | 
| RA + Log | 0.36 | 0.94 | 0.29 | 0.96 | 0.34 | 0.97 | 0.27 | 1.18 | 0.37 | 0.94 | 
| Raw counts + CLR | 0.39 | 0.93 | 0.28 | 0.96 | 0.34 | 0.97 | 0.27 | 1.19 | 0.37 | 0.94 | 
| Raw counts + ILR | 0.39 | 0.93 | 0.28 | 0.96 | 0.30 | 0.99 | 0.27 | 1.19 | 0.37 | 0.94 | 
| Waist-hip ratio | ||||||||||
| Raw counts | 0.23 | 0.99 | 0.31 | 0.96 | 0.18 | 1.06 | 0.21 | 1.16 | 0.23 | 0.98 | 
| RA (100%) | 0.23 | 0.99 | 0.29 | 0.96 | 0.25 | 1.02 | 0.24 | 1.11 | 0.26 | 0.97 | 
| RA + Log | 0.34 | 0.94 | 0.26 | 0.97 | 0.29 | 0.99 | 0.28 | 1.16 | 0.35 | 0.95 | 
| Raw counts + CLR | 0.36 | 0.94 | 0.25 | 0.97 | 0.28 | 1.00 | 0.28 | 1.17 | 0.35 | 0.95 | 
| Raw counts + ILR | 0.36 | 0.94 | 0.25 | 0.97 | 0.28 | 1.00 | 0.28 | 1.17 | 0.35 | 0.95 | 
| Waist-height ratio | ||||||||||
| Raw counts | 0.21 | 1.00 | 0.31 | 0.95 | 0.22 | 1.06 | 0.20 | 1.23 | 0.23 | 0.98 | 
| RA (100%) | 0.21 | 1.00 | 0.30 | 0.96 | 0.23 | 1.03 | 0.25 | 1.09 | 0.26 | 0.98 | 
| RA + Log | 0.33 | 0.95 | 0.27 | 0.96 | 0.30 | 0.99 | 0.24 | 1.21 | 0.36 | 0.94 | 
| Raw counts + CLR | 0.37 | 0.94 | 0.25 | 0.97 | 0.29 | 1.00 | 0.24 | 1.22 | 0.36 | 0.94 | 
| Raw counts + ILR | 0.37 | 0.94 | 0.26 | 0.97 | 0.28 | 1.00 | 0.24 | 1.22 | 0.36 | 0.95 | 
| Body adiposity index | ||||||||||
| Raw counts | 0.13 | 1.02 | 0.14 | 0.99 | 0.13 | 1.07 | 0.10 | 1.28 | 0.13 | 1.00 | 
| RA (100%) | 0.13 | 1.02 | 0.14 | 0.99 | 0.09 | 1.15 | 0.12 | 1.15 | 0.13 | 1.01 | 
| RA + Log | 0.23 | 0.99 | 0.14 | 0.99 | 0.18 | 1.03 | 0.13 | 1.29 | 0.23 | 0.99 | 
| Raw counts + CLR | 0.24 | 0.99 | 0.12 | 0.99 | 0.15 | 1.06 | 0.13 | 1.30 | 0.24 | 1.00 | 
| Raw counts + ILR | 0.24 | 0.99 | 0.12 | 0.99 | 0.13 | 1.06 | 0.13 | 1.30 | 0.24 | 1.00 | 
| Fat mass index | ||||||||||
| Raw counts | 0.14 | 1.02 | 0.17 | 0.99 | 0.11 | 1.07 | 0.12 | 1.21 | 0.16 | 1.00 | 
| RA (100%) | 0.14 | 1.02 | 0.18 | 0.98 | 0.16 | 1.05 | 0.14 | 1.14 | 0.16 | 1.01 | 
| RA + Log | 0.26 | 0.98 | 0.15 | 0.99 | 0.18 | 1.04 | 0.17 | 1.26 | 0.26 | 0.98 | 
| Raw counts + CLR | 0.28 | 0.97 | 0.17 | 0.99 | 0.19 | 1.03 | 0.17 | 1.27 | 0.26 | 0.99 | 
| Raw counts + ILR | 0.28 | 0.97 | 0.16 | 0.99 | 0.17 | 1.05 | 0.17 | 1.27 | 0.26 | 0.99 | 
| Lean body mass index | ||||||||||
| Raw counts | 0.25 | 0.99 | 0.32 | 0.95 | 0.18 | 1.12 | 0.19 | 1.26 | 0.24 | 0.98 | 
| RA (100%) | 0.25 | 0.99 | 0.33 | 0.95 | 0.25 | 1.02 | 0.25 | 1.10 | 0.27 | 0.97 | 
| RA + Log | 0.34 | 0.94 | 0.27 | 0.96 | 0.30 | 0.99 | 0.28 | 1.18 | 0.33 | 0.96 | 
| Raw counts + CLR | 0.36 | 0.94 | 0.26 | 0.97 | 0.28 | 1.00 | 0.28 | 1.19 | 0.33 | 0.96 | 
| Raw counts + ILR | 0.36 | 0.94 | 0.28 | 0.96 | 0.29 | 1.00 | 0.28 | 1.19 | 0.33 | 0.96 | 
| Appendicular muscle mass index | ||||||||||
| Raw counts | 0.25 | 0.99 | 0.32 | 0.95 | 0.22 | 1.07 | 0.20 | 1.24 | 0.23 | 0.98 | 
| RA (100%) | 0.25 | 0.99 | 0.29 | 0.96 | 0.21 | 1.06 | 0.24 | 1.10 | 0.27 | 0.97 | 
| RA + Log | 0.34 | 0.94 | 0.26 | 0.97 | 0.29 | 0.99 | 0.28 | 1.17 | 0.33 | 0.96 | 
| Raw counts + CLR | 0.35 | 0.94 | 0.29 | 0.96 | 0.29 | 1.00 | 0.28 | 1.18 | 0.33 | 0.96 | 
| Raw counts + ILR | 0.35 | 0.94 | 0.28 | 0.96 | 0.32 | 0.98 | 0.28 | 1.18 | 0.33 | 0.96 | 
| Body fat percentage | ||||||||||
| Raw counts | 0.14 | 1.02 | 0.19 | 0.98 | 0.08 | 1.12 | 0.10 | 1.19 | 0.15 | 1.00 | 
| RA (100%) | 0.14 | 1.02 | 0.18 | 0.98 | 0.04 | 1.24 | 0.12 | 1.16 | 0.15 | 1.00 | 
| RA + Log | 0.23 | 0.97 | 0.16 | 0.99 | 0.18 | 1.04 | 0.18 | 1.25 | 0.26 | 0.99 | 
| Raw counts + CLR | 0.28 | 0.97 | 0.14 | 0.99 | 0.15 | 1.05 | 0.18 | 1.25 | 0.25 | 1.00 | 
| Raw counts + ILR | 0.28 | 0.97 | 0.12 | 0.99 | 0.19 | 1.04 | 0.18 | 1.25 | 0.26 | 1.00 | 
| Abdominal Adiposity Measures | Total Population (n = 1923) | Men (n = 936) | Women (n = 987) | |||
|---|---|---|---|---|---|---|
| CC | RMSE | CC | RMSE | CC | RMSE | |
| SVMReg NPK and CLR | ||||||
| Waist circumference | 0.39 | 0.93 | 0.24 | 0.98 | 0.32 | 0.96 | 
| Waist–hip ratio | 0.36 | 0.94 | 0.24 | 0.98 | 0.26 | 0.98 | 
| Waist–height ratio | 0.37 | 0.94 | 0.26 | 0.97 | 0.34 | 0.95 | 
| PLS4 and RA + Log | ||||||
| Waist circumference | 0.37 | 0.94 | 0.27 | 0.99 | 0.31 | 0.98 | 
| Waist–hip ratio | 0.35 | 0.95 | 0.24 | 1.01 | 0.27 | 1.00 | 
| Waist–height ratio | 0.36 | 0.94 | 0.28 | 0.99 | 0.34 | 0.97 | 
© 2020 by the authors. Licensee MDPI, Basel, Switzerland. This article is an open access article distributed under the terms and conditions of the Creative Commons Attribution (CC BY) license (http://creativecommons.org/licenses/by/4.0/).
Share and Cite
Troll, M.; Brandmaier, S.; Reitmeier, S.; Adam, J.; Sharma, S.; Sommer, A.; Bind, M.-A.; Neuhaus, K.; Clavel, T.; Adamski, J.; et al. Investigation of Adiposity Measures and Operational Taxonomic unit (OTU) Data Transformation Procedures in Stool Samples from a German Cohort Study Using Machine Learning Algorithms. Microorganisms 2020, 8, 547. https://doi.org/10.3390/microorganisms8040547
Troll M, Brandmaier S, Reitmeier S, Adam J, Sharma S, Sommer A, Bind M-A, Neuhaus K, Clavel T, Adamski J, et al. Investigation of Adiposity Measures and Operational Taxonomic unit (OTU) Data Transformation Procedures in Stool Samples from a German Cohort Study Using Machine Learning Algorithms. Microorganisms. 2020; 8(4):547. https://doi.org/10.3390/microorganisms8040547
Chicago/Turabian StyleTroll, Martina, Stefan Brandmaier, Sandra Reitmeier, Jonathan Adam, Sapna Sharma, Alice Sommer, Marie-Abèle Bind, Klaus Neuhaus, Thomas Clavel, Jerzy Adamski, and et al. 2020. "Investigation of Adiposity Measures and Operational Taxonomic unit (OTU) Data Transformation Procedures in Stool Samples from a German Cohort Study Using Machine Learning Algorithms" Microorganisms 8, no. 4: 547. https://doi.org/10.3390/microorganisms8040547
APA StyleTroll, M., Brandmaier, S., Reitmeier, S., Adam, J., Sharma, S., Sommer, A., Bind, M.-A., Neuhaus, K., Clavel, T., Adamski, J., Haller, D., Peters, A., & Grallert, H. (2020). Investigation of Adiposity Measures and Operational Taxonomic unit (OTU) Data Transformation Procedures in Stool Samples from a German Cohort Study Using Machine Learning Algorithms. Microorganisms, 8(4), 547. https://doi.org/10.3390/microorganisms8040547
 
        


 
       