Increasing Phosphorus Uptake Efficiency by Phosphorus-Starved Microalgae for Municipal Wastewater Post-Treatment
Abstract
:1. Introduction
2. Materials and Methods
2.1. Microalgae Strain Selection and Culturing Conditions
2.2. Wastewater Source
2.3. Experimental Setup
2.4. Analytical Procedures
2.4.1. Nutrient Analysis
2.4.2. Determination of Biomass Concentration Change
2.4.3. Polyphosphate Detection and Quantification
2.4.4. Alkaline Phosphatase Activity Detection
2.5. Determination of Nutrient Uptake Kinetics
2.6. Data Analysis
3. Results and Discussion
3.1. Algal Growth and Biomass Production
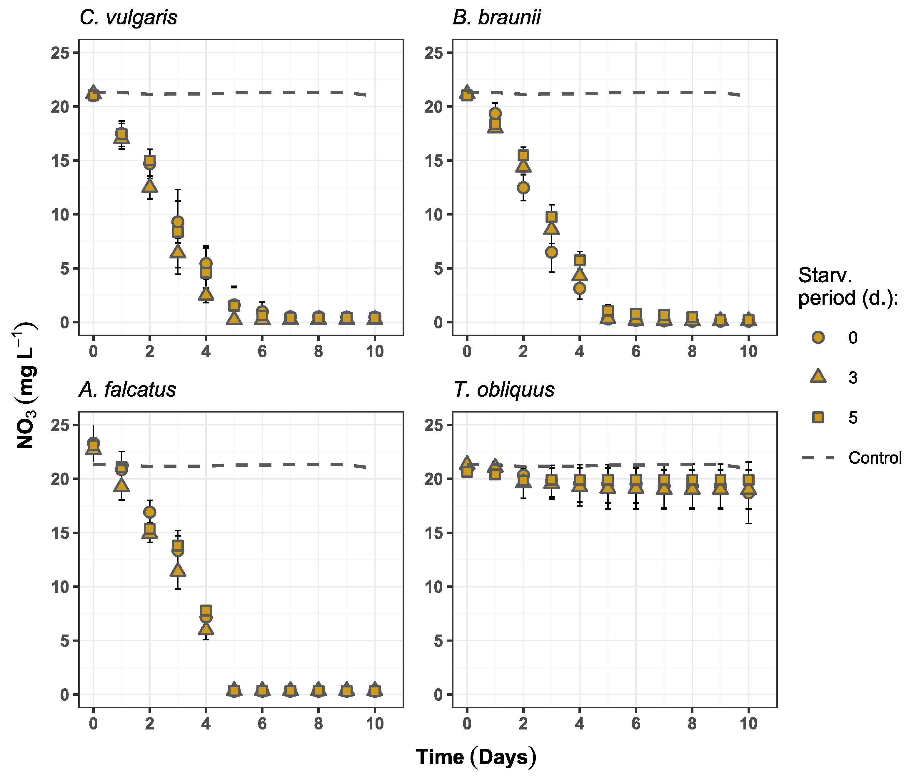
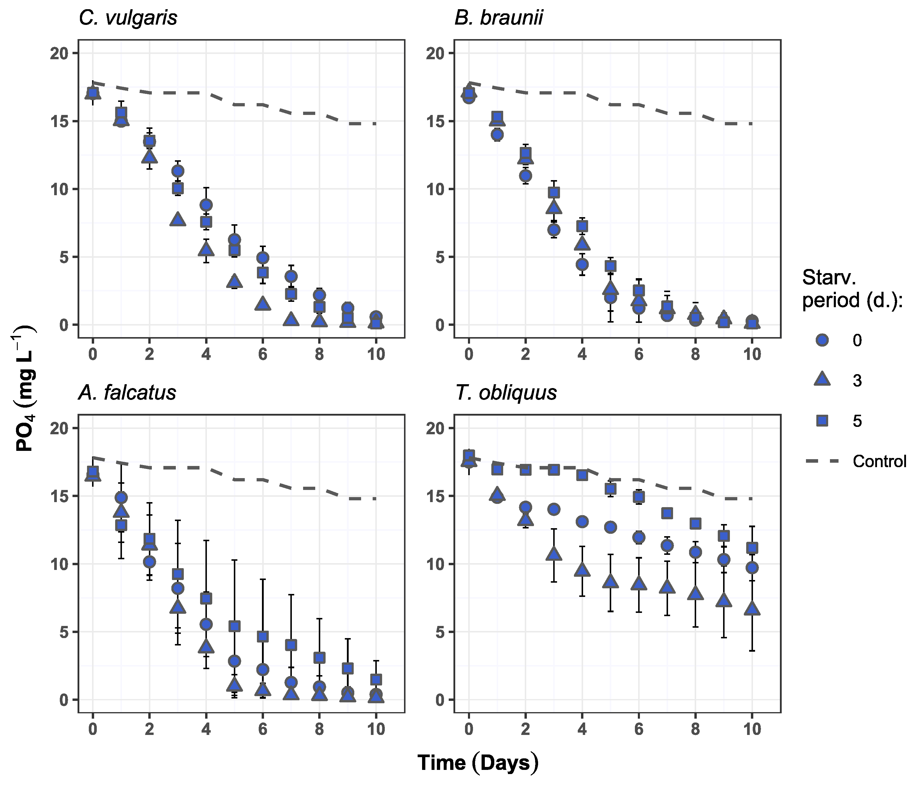
3.2. Nutrient Removal
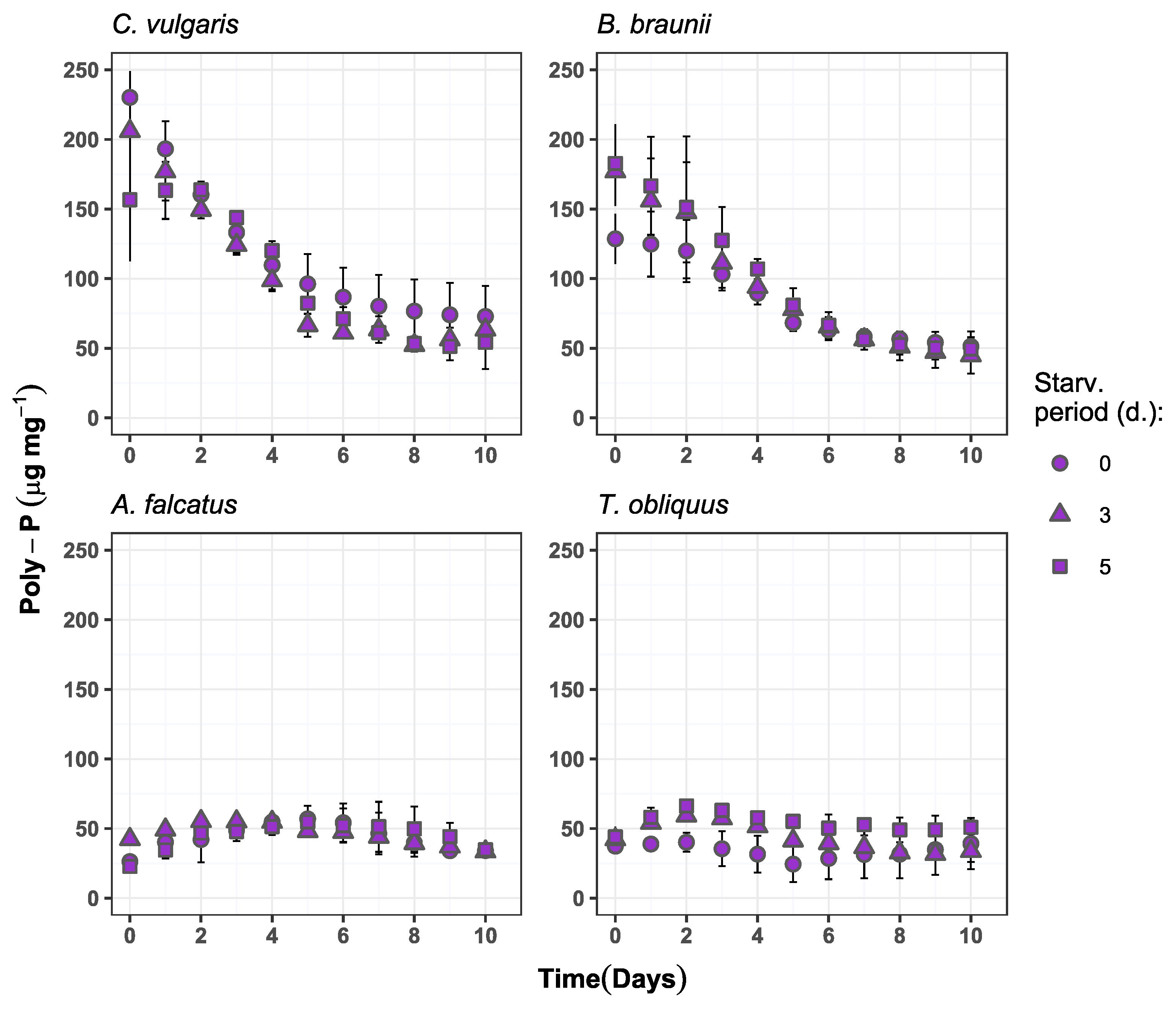
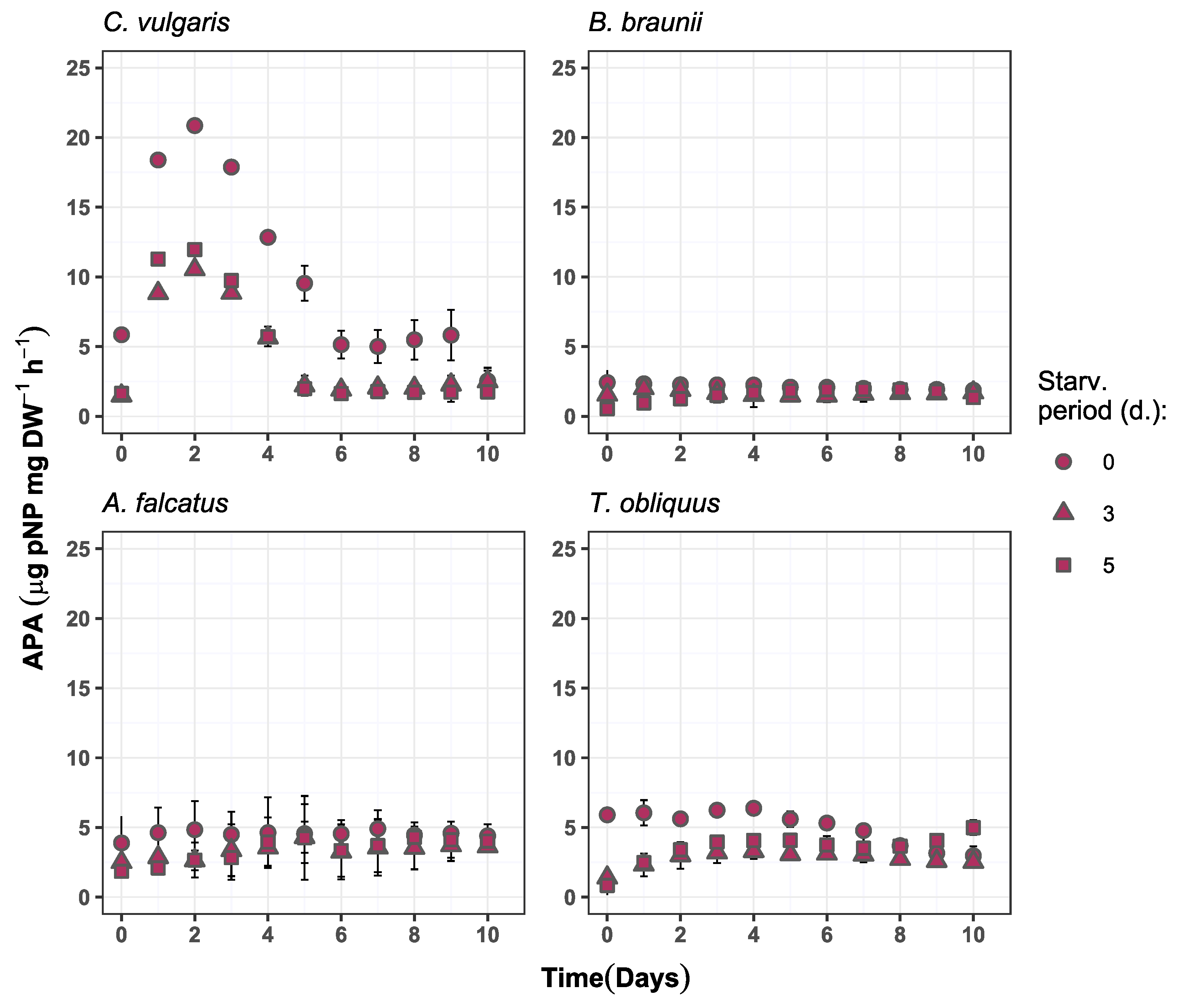
3.3. Biomass Poly-P Content and AP Activity as Indicators for P-Deficiency
4. Conclusions
Author Contributions
Funding
Institutional Review Board Statement
Informed Consent Statement
Data Availability Statement
Conflicts of Interest
References
- Chrispim, M.C.; Scholz, M.; Nolasco, M.A. Phosphorus Recovery from Municipal Wastewater Treatment: Critical Review of Challenges and Opportunities for Developing Countries. J. Environ. Manag. 2019, 248, 109268. [Google Scholar] [CrossRef]
- Molinos-Senante, M.; Gómez, T.; Garrido-Baserba, M.; Caballero, R.; Sala-Garrido, R. Assessing the Sustainability of Small Wastewater Treatment Systems: A Composite Indicator Approach. Sci. Total Environ. 2014, 497–498, 607–617. [Google Scholar] [CrossRef]
- Bunce, J.T.; Ndam, E.; Ofiteru, I.D.; Moore, A.; Graham, D.W. A Review of Phosphorus Removal Technologies and Their Applicability to Small-Scale Domestic Wastewater Treatment Systems. Front. Environ. Sci. 2018, 6, 8. [Google Scholar] [CrossRef] [Green Version]
- Borowitzka, M.A. High-Value Products from Microalgae-Their Development and Commercialisation. J. Appl. Phycol. 2013, 25, 743–756. [Google Scholar] [CrossRef]
- Whitton, R.; Ometto, F.; Pidou, M. Microalgae for Municipal Wastewater Nutrient Remediation: Mechanisms, Reactors and Outlook for Tertiary Treatment. Environ. Technol. Rev. 2015, 4, 133–148. [Google Scholar] [CrossRef] [Green Version]
- Cai, T.; Park, S.Y.; Li, Y. Nutrient Recovery from Wastewater Streams by Microalgae: Status and Prospects. Renew. Sustain. Energy Rev. 2013, 19, 360–369. [Google Scholar] [CrossRef]
- Chen, X.; Li, Z.; He, N.; Zheng, Y.; Li, H.; Wang, H.; Wang, Y.; Lu, Y.; Li, Q.; Peng, Y. Nitrogen and Phosphorus Removal from Anaerobically Digested Wastewater by Microalgae Cultured in a Novel Membrane Photobioreactor. Biotechnol. Biofuels 2018, 11, 190. [Google Scholar] [CrossRef] [PubMed] [Green Version]
- Osorio, J.H.M.; Del Mondo, A.; Pinto, G.; Pollio, A.; Frunzo, L.; Lens, P.N.L.; Esposito, G. Nutrient Removal Efficiency of Green Algal Strains at High Phosphate Concentrations. Water Sci. Technol. 2020, 80, 1832–1843. [Google Scholar] [CrossRef]
- Patel, A.; Barrington, S.; Lefsrud, M. Microalgae for Phosphorus Removal and Biomass Production: A Six Species Screen for Dual-Purpose Organisms. GCB Bioenergy 2012, 4, 485–495. [Google Scholar] [CrossRef]
- Lavrinovičs, A.; Mežule, L.; Juhna, T. Microalgae Starvation for Enhanced Phosphorus Uptake from Municipal Wastewater. Algal Res. 2020, 52, 102090. [Google Scholar] [CrossRef]
- Powell, N.; Shilton, A.; Chisti, Y.; Pratt, S. Towards a Luxury Uptake Process via Microalgae—Defining the Polyphosphate Dynamics. Water Res. 2009, 43, 4207–4213. [Google Scholar] [CrossRef]
- Powell, N.; Shilton, A.N.; Pratt, S.; Chisti, Y. Factors Influencing Luxury Uptake of Phosphorus by Microalgae in Waste Stabilization Ponds. Environ. Sci. Technol. 2008, 42, 5958–5962. [Google Scholar] [CrossRef] [PubMed]
- Solovchenko, A.E.; Ismagulova, T.T.; Lukyanov, A.A.; Vasilieva, S.G.; Konyukhov, I.V.; Pogosyan, S.I.; Lobakova, E.S.; Gorelova, O.A. Luxury Phosphorus Uptake in Microalgae. J. Appl. Phycol. 2019, 31, 2755–2770. [Google Scholar] [CrossRef]
- Hernandez, J.P.; De-Bashan, L.E.; Bashan, Y. Starvation Enhances Phosphorus Removal from Wastewater by the Microalga Chlorella Spp. Co-Immobilized with Azospirillum Brasilense. Enzyme Microb. Technol. 2006, 38, 190–198. [Google Scholar] [CrossRef] [Green Version]
- Brown, N.; Shilton, A. Luxury Uptake of Phosphorus by Microalgae in Waste Stabilisation Ponds: Current Understanding and Future Direction. Rev. Environ. Sci. Biotechnol. 2014, 13, 321–328. [Google Scholar] [CrossRef]
- Levasseur, W.; Perré, P.; Pozzobon, V. A Review of High Value-Added Molecules Production by Microalgae in Light of the Classification. Biotechnol. Adv. 2020, 41, 107545. [Google Scholar] [CrossRef]
- Stanier, R.Y.; Kunisawa, R.; Mandel, M.; Cohen-Bazire, G. Purification and Properties of Unicellular Blue-Green Algae (Order Chroococcales). Bacteriol. Rev. 1971, 35, 171–205. [Google Scholar] [CrossRef]
- Patton, C.; Kryskalla, J.U.S. Geological Survey National Water Quality Laboratory: Evaluation of Alkaline Persulfate Digestion as an Alternative to Kjeldahl Digestion for Determination of Total and Dissolved Nitrogen and Phosphorous in Water. 2003. Available online: https://pubs.er.usgs.gov/publication/wri034174 (accessed on 26 July 2021).
- Cogan, D.; Fay, C.; Boyle, D.; Osborne, C.; Kent, N.; Cleary, J.; Diamond, D. Development of a Low Cost Microfluidic Sensor for the Direct Determination of Nitrate Using Chromotropic Acid in Natural Waters. Anal. Methods 2015, 7, 5396–5405. [Google Scholar] [CrossRef]
- 4500-P PHOSPHORUS, Standard Methods for the Examination of Water and Wastewater. 2018. Available online: https://www.standardmethods.org/doi/full/10.2105/SMWW.2882.093 (accessed on 26 July 2021).
- Wang, M.; Yang, Y.; Chen, Z.; Chen, Y.; Wen, Y.; Chen, B. Removal of Nutrients from Undiluted Anaerobically Treated Piggery Wastewater by Improved Microalgae. Bioresour. Technol. 2016, 222, 130–138. [Google Scholar] [CrossRef]
- Mukherjee, C.; Ray, K. An Improved Method for Extraction and Quantification of Polyphosphate Granules from Microbial Cells. Protoc. Exch. 2015. [Google Scholar] [CrossRef]
- Solovchenko, A.; Khozin-Goldberg, I.; Selyakh, I.; Semenova, L.; Ismagulova, T.; Lukyanov, A.; Mamedov, I.; Vinogradova, E.; Karpova, O.; Konyukhov, I.; et al. Phosphorus Starvation and Luxury Uptake in Green Microalgae Revisited. Algal Res. 2019, 43, 101651. [Google Scholar] [CrossRef]
- Aravantinou, A.F.; Theodorakopoulos, M.A.; Manariotis, I.D. Selection of Microalgae for Wastewater Treatment and Potential Lipids Production. Bioresour. Technol. 2013, 147, 130–134. [Google Scholar] [CrossRef] [PubMed]
- Álvarez-Díaz, P.D.; Ruiz, J.; Arbib, Z.; Barragán, J.; Garrido-Pérez, M.C.; Perales, J.A. Freshwater Microalgae Selection for Simultaneous Wastewater Nutrient Removal and Lipid Production. Algal Res. 2017, 24, 477–485. [Google Scholar] [CrossRef]
- Ruangsomboon, S. Effect of Light, Nutrient, Cultivation Time and Salinity on Lipid Production of Newly Isolated Strain of the Green Microalga, Botryococcus Braunii KMITL 2. Bioresour. Technol. 2012, 109, 261–265. [Google Scholar] [CrossRef]
- Liu, J.; Ge, Y.; Cheng, H.; Wu, L.; Tian, G. Aerated Swine Lagoon Wastewater: A Promising Alternative Medium for Botryococcus Braunii Cultivation in Open System. Bioresour. Technol. 2013, 139, 190–194. [Google Scholar] [CrossRef] [PubMed]
- Yonezawa, N.; Matsuura, H.; Shiho, M.; Kaya, K.; Watanabe, M.M. Effects of Soybean Curd Wastewater on the Growth and Hydrocarbon Production of Botryococcus Braunii Strain BOT-22. Bioresour. Technol. 2012, 109, 304–307. [Google Scholar] [CrossRef]
- Álvarez-Díaz, P.D.; Ruiz, J.; Arbib, Z.; Barragán, J.; Garrido-Pérez, C.; Perales, J.A. Lipid Production of Microalga Ankistrodesmus Falcatus Increased by Nutrient and Light Starvation in a Two-Stage Cultivation Process. Appl. Biochem. Biotechnol. 2014, 174, 1471–1483. [Google Scholar] [CrossRef]
- Wang, L.; Min, M.; Li, Y.; Chen, P.; Chen, Y.; Liu, Y.; Wang, Y.; Ruan, R. Cultivation of Green Algae Chlorella Sp. in Different Wastewaters from Municipal Wastewater Treatment Plant. Appl. Biochem. Biotechnol. 2010, 162, 1174–1186. [Google Scholar] [CrossRef]
- Görs, M.; Schumann, R.; Hepperle, D.; Karsten, U. Quality Analysis of Commercial Chlorella Products Used as Dietary Supplement in Human Nutrition. J. Appl. Phycol. 2010, 22, 265–276. [Google Scholar] [CrossRef]
- Niitsu, R.; Kanazashi, M.; Matsuwaki, I.; Ikegami, Y.; Tanoi, T.; Kawachi, M.; Watanabe, M.M.; Kato, M. Changes in the Hydrocarbon-Synthesizing Activity during Growth of Botryococcus Braunii B70. Bioresour. Technol. 2012, 109, 297–299. [Google Scholar] [CrossRef] [PubMed]
- Di Caprio, F.; Pagnanelli, F.; Wijffels, R.H.; Van der Veen, D. Quantification of Tetradesmus Obliquus (Chlorophyceae) Cell Size and Lipid Content Heterogeneity at Single-Cell Level. J. Phycol. 2018, 54, 187–197. [Google Scholar] [CrossRef] [PubMed]
- George, B.; Pancha, I.; Desai, C.; Chokshi, K.; Paliwal, C.; Ghosh, T.; Mishra, S. Effects of Different Media Composition, Light Intensity and Photoperiod on Morphology and Physiology of Freshwater Microalgae Ankistrodesmus Falcatus—A Potential Strain for Bio-Fuel Production. Bioresour. Technol. 2014, 171, 367–374. [Google Scholar] [CrossRef] [PubMed]
- Kamalanathan, M.; Pierangelini, M.; Shearman, L.A.; Gleadow, R.; Beardall, J. Impacts of Nitrogen and Phosphorus Starvation on the Physiology of Chlamydomonas Reinhardtii. J. Appl. Phycol. 2016, 28, 1509–1520. [Google Scholar] [CrossRef]
- El-Sheek, M.M.; Rady, A.A. Effect of Phosphorus Starvation on Growth, Photosynthesis and Some Metabolic Processes in the Unicellular Green Alga Chlorella Kessleri. Phyt. Ann. Rei Bot. 1995, 35, 139–151. [Google Scholar]
- Ren, L.; Wang, P.; Wang, C.; Chen, J.; Hou, J.; Qian, J. Algal Growth and Utilization of Phosphorus Studied by Combined Mono-Culture and Co-Culture Experiments. Environ. Pollut. 2017, 220, 274–285. [Google Scholar] [CrossRef]
- Reynolds, C.S. Vegetation Processes in the Pelagic: A Model for Ecosystem Theory. Excell. Ecol. 1997, 9, 70–71. [Google Scholar] [CrossRef]
- Martin, P.; Dyhrman, S.T.; Lomas, M.W.; Poulton, N.J.; Van Mooy, B.A.S. Accumulation and Enhanced Cycling of Polyphosphate by Sargasso Sea Plankton in Response to Low Phosphorus. Proc. Natl. Acad. Sci. USA 2014, 111, 8089–8094. [Google Scholar] [CrossRef] [Green Version]
- Wang, J.; Pant, H.K. Enzymatic Hydrolysis of Organic Phosphorus in River Bed Sediments. Ecol. Eng. 2010, 36, 963–968. [Google Scholar] [CrossRef]
- Eixler, S.; Karsten, U.; Selig, U. Phosphorus Storage in Chlorella Vulgaris (Trebouxiophyceae, Chlorophyta) Cells and Its Dependence on Phosphate Supply. Phycologia 2006, 45, 53–60. [Google Scholar] [CrossRef]
- Sanz-Luque, E.; Bhaya, D.; Grossman, A.R. Polyphosphate: A Multifunctional Metabolite in Cyanobacteria and Algae. Front. Plant Sci. 2020, 11, 938. [Google Scholar] [CrossRef]
- Mamatha, S.S.; Malik, A.; Varik, S.; Parvathi, V.; Jineesh, V.K.; Gauns, M.U.; LokaBharathi, P.A. Alkaline Phosphatase Activity at the Southwest Coast of India: A Comparison of Locations Differently Affected by Upwelling. J. Sea Res. 2015, 95, 196–205. [Google Scholar] [CrossRef]
- McCarthy, S.D.S.; Rafferty, S.R.; Frost, P.C. Responses of Alkaline Phosphatase Activity to Phosphorus Stress in Daphnia Magna. J. Exp. Biol. 2010, 213, 256–261. [Google Scholar] [CrossRef] [PubMed] [Green Version]
- Zhou, J.; Qin, B.; Casenave, C.; Han, X. Effects of Turbulence on Alkaline Phosphatase Activity of Phytoplankton and Bacterioplankton in Lake Taihu. Hydrobiologia 2016, 765, 197–207. [Google Scholar] [CrossRef] [Green Version]







| Parameter | Unit | Value |
|---|---|---|
| Total nitrogen | mg N L−1 | 24.5 |
| NH4 | mg N L−1 | 0.5 |
| NO2 + 3 | mg N L−1 | 21.3 |
| Total phosphorus | mg P L−1 | 20.1 |
| PO4 | mg P L−1 | 17.5 |
| pH | 8.2 | |
| EC | μS/cm | 1600 |
| BOD | mg O2 L−1 | 5.3 |
| COD | mg L−1 | 74 |
| Species | Equation | R2 |
|---|---|---|
| T. obliquus | y = 0.5817x − 0.0129 | 0.997 |
| C. vulgaris | y = 0.4076x – 0.0052 | 0.999 |
| B. braunii | y = 0.5183x – 0.0054 | 0.989 |
| A. falcatus | y = 0.5421x – 0.003 | 0.992 |
| Starvation Period (Days) | Nutrient Removal (%) | Biomass Nutrient Consumption (V), (mg N(P) g−1 DW) | Nutrient Uptake Rate (k), (d−1) | ||||
|---|---|---|---|---|---|---|---|
| NO3-N | PO4-P | NO3-N | PO4-P | NO3-N | PO4-P | ||
| C. vulgaris | 0 | 97.7 | 96.6 | 57.70 | 31.70 | 209.07 | 114.87 |
| 3 | 98.9 | 99.2 | 29.75 | 21.12 | 72.04 | 51.14 | |
| 5 | 98.1 | 99.4 | 34.76 | 22.12 | 96.68 | 61.53 | |
| B. braunii | 0 | 99.3 | 97.3 | 29.19 | 15.63 | 72.77 | 38.96 |
| 3 | 99.0 | 99.1 | 28.17 | 16.79 | 66.26 | 39.50 | |
| 5 | 98.6 | 99.2 | 29.23 | 15.06 | 68.72 | 35.40 | |
| A. falcatus | 0 | 98.7 | 97.7 | 44.32 | 25.95 | 129.40 | 75.77 |
| 3 | 98.4 | 99.2 | 35.31 | 23.88 | 94.74 | 64.08 | |
| 5 | 98.7 | 91.2 | 49.87 | 17.89 | 165.47 | 59.37 | |
| T.obliquus | 0 | 10.2 | 44.5 | 32.20 | 111.56 | 563.02 | 1.10 |
| 3 | 10.8 | 62.4 | 12.50 | 49.29 | 65.66 | 2.02 | |
| 5 | 3.6 | 37.8 | 2.97 | 5.67 | 12.65 | 0.36 | |
Publisher’s Note: MDPI stays neutral with regard to jurisdictional claims in published maps and institutional affiliations. |
© 2021 by the authors. Licensee MDPI, Basel, Switzerland. This article is an open access article distributed under the terms and conditions of the Creative Commons Attribution (CC BY) license (https://creativecommons.org/licenses/by/4.0/).
Share and Cite
Lavrinovičs, A.; Murby, F.; Zīverte, E.; Mežule, L.; Juhna, T. Increasing Phosphorus Uptake Efficiency by Phosphorus-Starved Microalgae for Municipal Wastewater Post-Treatment. Microorganisms 2021, 9, 1598. https://doi.org/10.3390/microorganisms9081598
Lavrinovičs A, Murby F, Zīverte E, Mežule L, Juhna T. Increasing Phosphorus Uptake Efficiency by Phosphorus-Starved Microalgae for Municipal Wastewater Post-Treatment. Microorganisms. 2021; 9(8):1598. https://doi.org/10.3390/microorganisms9081598
Chicago/Turabian StyleLavrinovičs, Aigars, Fredrika Murby, Elīna Zīverte, Linda Mežule, and Tālis Juhna. 2021. "Increasing Phosphorus Uptake Efficiency by Phosphorus-Starved Microalgae for Municipal Wastewater Post-Treatment" Microorganisms 9, no. 8: 1598. https://doi.org/10.3390/microorganisms9081598
APA StyleLavrinovičs, A., Murby, F., Zīverte, E., Mežule, L., & Juhna, T. (2021). Increasing Phosphorus Uptake Efficiency by Phosphorus-Starved Microalgae for Municipal Wastewater Post-Treatment. Microorganisms, 9(8), 1598. https://doi.org/10.3390/microorganisms9081598

