Measurement Duration but Not Distance, Angle, and Neighbour-Proximity Affects Precision in Enteric Methane Emissions when Using the Laser Methane Detector Technique in Lactating Dairy Cows
Abstract
:Simple Summary
Abstract
1. Introduction
2. Materials and Methods
2.1. Data Collection
2.2. Enteric Methane Phenotypes
2.3. Data Analysis
- −
- Yijkl, average value of the αi measurement time, the τj cow, the βjk date, and the lth sample;
- −
- µ, αi, τj remain the same;
- −
- βjk, nested factor with “CowID” i. βjk effects follow a Normal Distribution with a variance σ2CowID:Day;
- −
- εijk, independent residuals N(0, σ2).
3. Results
4. Discussion
5. Conclusions
Author Contributions
Funding
Institutional Review Board Statement
Informed Consent Statement
Data Availability Statement
Acknowledgments
Conflicts of Interest
References
- Iseki, T.; Miyaji, M. A portable remote methane detector using a tunable diode laser. In Proceedings of the 22nd World Gas Congress, Tokyo, Japan, 15 June 2003. [Google Scholar]
- Crowcon Detection Instruments. Laser Methane Mini Specifications. Available online: https://www.crowcon.com/products/portables/lmm-gen-2/#specs (accessed on 26 November 2021).
- Chagunda, M.G.G.; Ross, D.; Roberts, D.J. On the use of a laser methane detector in dairy cows. Comput. Electron. Agric. 2009, 68, 157–160. [Google Scholar] [CrossRef]
- Russell, J.M.; Barnett, J.W.; Desilets, E.; Bertrand, S. Mitigation strategies to reduce GHG emissions from the dairy industry. In Reduction of Greenhouse Gas Emissiosns at Farm and Manufacturing Levels; International Dairy Federation (I.N.P.A.): Brussels, Belgium, 2007. [Google Scholar]
- Chagunda, M.G.G.; Ross, D.; Rooke, J.; Yan, T.; Douglas, J.L.; Poret, L.; McEwan, N.R.; Teeranavattanakul, P.; Roberts, D.J. Measurement of enteric methane from ruminants using a hand-held laser methane detector. Acta Agric. Scand. Sect. A–Anim. Sci. 2013, 63, 68–75. [Google Scholar] [CrossRef]
- Bruder, T.; Rouillé, B.; Yan, T.; Chagunda, M.G.G. Towards a robust protocol for enteric methane measurements using a hand held Laser Methane Detector® in Ruminants. In ICAR Technical Series; ICAR: Rome, Italy, 2017; pp. 27–33. [Google Scholar]
- Roessler, R.; Chefor, F.; Schlecht, E. Using a portable laser methane detector in goats to assess diurnal, diet-and position-dependent variations in enteric methane emissions. Comput. Electron. Agric. 2018, 150, 110–117. [Google Scholar] [CrossRef]
- Sorg, D.; Difford, G.F.; Mühlbach, S.; Kuhla, B.; Swalve, H.H.; Lassen, J.; Strabel, T.; Pszczola, M. Comparison of a laser methane detector with the GreenFeed and two breath analysers for on-farm measurements of methane emissions from dairy cows. Comput. Electron. Agric. 2018, 153, 285–294. [Google Scholar] [CrossRef]
- Sorg, D. Measuring Livestock CH4 Emissions with the Laser Methane Detector: A Review. Methane 2022, 1, 38–57. [Google Scholar] [CrossRef]
- Ricci, P.; Chagunda, M.G.G.; Rooke, J.; Houdijk, J.G.M.; Duthie, C.A.; Hyslop, J.; Roehe, R.; Waterhouse, A. Evaluation of the laser methane detector to estimate methane emissions from ewes and steers. J. Anim. Sci. 2014, 92, 5239–5250. [Google Scholar] [CrossRef] [PubMed]
- Dubey, A.K.; Yadava, V. Laser beam machining—A review. Int. J. Mach. Tools Manuf. 2008, 48, 609–628. [Google Scholar] [CrossRef]
- Tan, L.; Du, W.; Ma, J. Effect of the outer scale on the angle of arrival variance for free-space-laser beam corrugated by non-Kolmogorov turbulence. J. Russ. Laser Res. 2009, 30, 552–559. [Google Scholar] [CrossRef]
- Abdullah-Al-Mamun, M.; Voelz, D. Effects of temperature inversion in the lower atmosphere on dispersion and angle of arrival of highly directional beams. Opt. Eng. 2020, 59, 081802. [Google Scholar] [CrossRef]
- Andrews, L.C.; Phillips, R.L.; Hopen, C.Y. Laser Beam Scintillation with Applications; SPIE—the International Society for Optical Engineering: Bellingham, WA, USA, 2001; Volume 99, ISBN 0-8194-4103-1. [Google Scholar]
- Kleiber, M.; Cole, H.H.; Mead, S.W. Bloat in cattle and composition of rumen gases. J. Dairy Sci. 1943, 26, 929–933. [Google Scholar] [CrossRef]
- Tenney, S.M. Respiration in mammals. In Duke’s Physiology of Domestic Animals, 9th ed.; Swenson, M.J., Ed.; Cornell University Press Ltd.: London, UK, 1982; pp. 175–202. [Google Scholar]
- Wu, L.; Groot Koerkamp, P.W.G.; Ogink, N. Uncertainty assessment of the breath methane concentration method to determine methane production of dairy cows. J. Dairy Sci. 2018, 101, 1554–1564. [Google Scholar] [CrossRef] [PubMed] [Green Version]
- Tokyo Gas Engineering Solutions. SA3C50A, Laser Methane Mini-g Operating Manual. Available online: https://www.crowcon.com/wp-content/uploads/2018/12/SA3C50A-Manual.pdf (accessed on 14 February 2022).



| Characteristics * | Group 1 | Group 2 | Group 3 | Group 4 | Group 5 |
|---|---|---|---|---|---|
| First Day of LMD | 9 February 2021 | 16 February 2021 | 23 February 2021 | 2 March 2021 | 9 March 2021 |
| Last Day of LMD | 12 February 2021 | 19 February 2021 | 26 February 2021 | 5 March 2021 | 12 March 2021 |
| Number of cows | 4 | 4 | 4 | 4 | 4 |
| Lactation rank | 4.00 | 3.00 | 3.25 | 2.50 | 3.50 |
| DIM (d) | 114 | 130 | 166 | 153 | 146 |
| DMI in 8 previous days (kg/d) | 20.2 | 21.9 | 22.8 | 26.5 | 24.6 |
| Milk Yield (kg/d) | 26.2 | 29.5 | 29.2 | 36.2 | 30.0 |
| Body Weight (kg) | 833 | 793 | 739 | 742 | 687 |
| Compared to a 240 s Measurement | Question |
|---|---|
| At 60, 120, and 180 s | Is information lost at shorter durations? Is a 240 s measurement necessary? |
| At 300 s | Is information added at longer durations? Is a 240 s measurement satisfactory? |
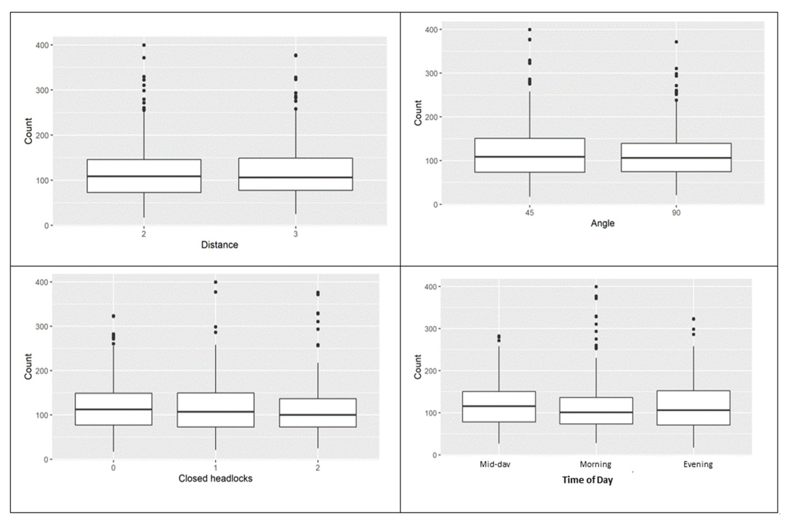
| Factor | Modality | N | Min | Max | Mean | Median | sd | Iqr |
|---|---|---|---|---|---|---|---|---|
| Distance | 2 | 360 | 17.2 | 399.5 | 116.9 | 108.3 | 59.8 | 72.9 |
| Distance | 3 | 360 | 24.5 | 377.3 | 118.0 | 106.1 | 58.4 | 71.8 |
| Angle | 45 | 360 | 17.2 | 399.5 | 120.3 | 108.5 | 63.1 | 77.7 |
| Angle | 90 | 360 | 20.7 | 371.7 | 114.7 | 106.0 | 54.6 | 65.1 |
| Closed headlock | 0 | 240 | 17.2 | 323.2 | 120.5 | 112.2 | 57.6 | 72.1 |
| Closed headlock | 1 | 240 | 20.7 | 399.5 | 119.0 | 106.9 | 61.6 | 77.0 |
| Closed headlock | 2 | 240 | 24.5 | 376.1 | 113.0 | 99.9 | 57.9 | 64.0 |
| Time of day | Morning | 240 | 28.0 | 399.5 | 117.1 | 100.8 | 65.2 | 63.1 |
| Time of day | Afternoon | 240 | 26.6 | 282.5 | 119.5 | 115.7 | 53.3 | 72.5 |
| Time of day | Evening | 240 | 17.2 | 323.2 | 115.8 | 106.3 | 58.2 | 81.5 |
| Duration (s) | Lsmean (ppm-m) | Std Error |
|---|---|---|
| 60 | 135.78 a | 1.54 |
| 120 | 143.42 b | 1.54 |
| 180 | 145.32 b | 1.53 |
| 240 | 148.08 b | 3.06 |
Publisher’s Note: MDPI stays neutral with regard to jurisdictional claims in published maps and institutional affiliations. |
© 2022 by the authors. Licensee MDPI, Basel, Switzerland. This article is an open access article distributed under the terms and conditions of the Creative Commons Attribution (CC BY) license (https://creativecommons.org/licenses/by/4.0/).
Share and Cite
Boré, R.; Bruder, T.; El Jabri, M.; March, M.; Hargreaves, P.R.; Rouillé, B.; Dewhurst, R.J.; Chagunda, M.G.G. Measurement Duration but Not Distance, Angle, and Neighbour-Proximity Affects Precision in Enteric Methane Emissions when Using the Laser Methane Detector Technique in Lactating Dairy Cows. Animals 2022, 12, 1295. https://doi.org/10.3390/ani12101295
Boré R, Bruder T, El Jabri M, March M, Hargreaves PR, Rouillé B, Dewhurst RJ, Chagunda MGG. Measurement Duration but Not Distance, Angle, and Neighbour-Proximity Affects Precision in Enteric Methane Emissions when Using the Laser Methane Detector Technique in Lactating Dairy Cows. Animals. 2022; 12(10):1295. https://doi.org/10.3390/ani12101295
Chicago/Turabian StyleBoré, Raphaël, Thiphaine Bruder, Mohammed El Jabri, Margaret March, Paul R. Hargreaves, Benoît Rouillé, Richard J. Dewhurst, and Mizeck G. G. Chagunda. 2022. "Measurement Duration but Not Distance, Angle, and Neighbour-Proximity Affects Precision in Enteric Methane Emissions when Using the Laser Methane Detector Technique in Lactating Dairy Cows" Animals 12, no. 10: 1295. https://doi.org/10.3390/ani12101295
APA StyleBoré, R., Bruder, T., El Jabri, M., March, M., Hargreaves, P. R., Rouillé, B., Dewhurst, R. J., & Chagunda, M. G. G. (2022). Measurement Duration but Not Distance, Angle, and Neighbour-Proximity Affects Precision in Enteric Methane Emissions when Using the Laser Methane Detector Technique in Lactating Dairy Cows. Animals, 12(10), 1295. https://doi.org/10.3390/ani12101295

