Here Puppy, Chew on This: Short-Term Provision of Toys Does Not Improve Welfare in Companion Dogs
Abstract
:Simple Summary
Abstract
1. Introduction
2. Materials and Methods
2.1. Subjects
2.2. Procedure
2.2.1. Cognitive Bias Test
Training
For each training trial, the experimenter presented the stimulus—a bowl baited or non-baited with one piece of food (PureBites beef liver treats) depending on the condition—at a location 0.5 m to the left or right of a center point. When the bowl was placed on the “positive” side (P-trial), it contained a food reward and when the bowl was placed on the “negative” side (N-trial), it was empty. The location of the positive and negative sides was randomly assigned, for each subject and visit, to be at the right or left (of the experimenter) locations.
Each subject received two P-trials and two N-trials before receiving trials in a pseudo-randomly selected order. Subjects did not receive more than two of the same trial types consecutively and received a minimum of 14 training trials before being considered for test trials. Subjects were considered “trained”, or having discriminated the positive and negative locations, when their lowest latency to approach baited bowls (P-trials) was higher than the highest latency to approach non-baited bowls (N-trials) over the previous four consecutive trials.
Test
Subjects received up to six test trials with an “ambiguous” bowl (A-trials). In each, an unbaited bowl was placed between the P and N bowl locations. Two training trials (P and N) were conducted after three test trials to mitigate the effects of receiving consecutive unbaited bowls at the ambiguous location [42]. All subjects received a final trial (P-empty trial) in which an unbaited bowl was placed at the positive location. Thus, the testing phase included a total of nine trials.
2.2.2. Experimental Conditions
Experimental Group
Control Group
2.3. Coding
2.3.1. Cognitive Bias Test
2.3.2. Food Consumption
2.3.3. Activity Level
2.4. Behavioral Analysis
2.4.1. Cognitive Bias Test Protocol
Outliers and Exclusions
2.4.2. Food Consumption
2.4.3. Activity Levels
2.5. Statistical Analysis
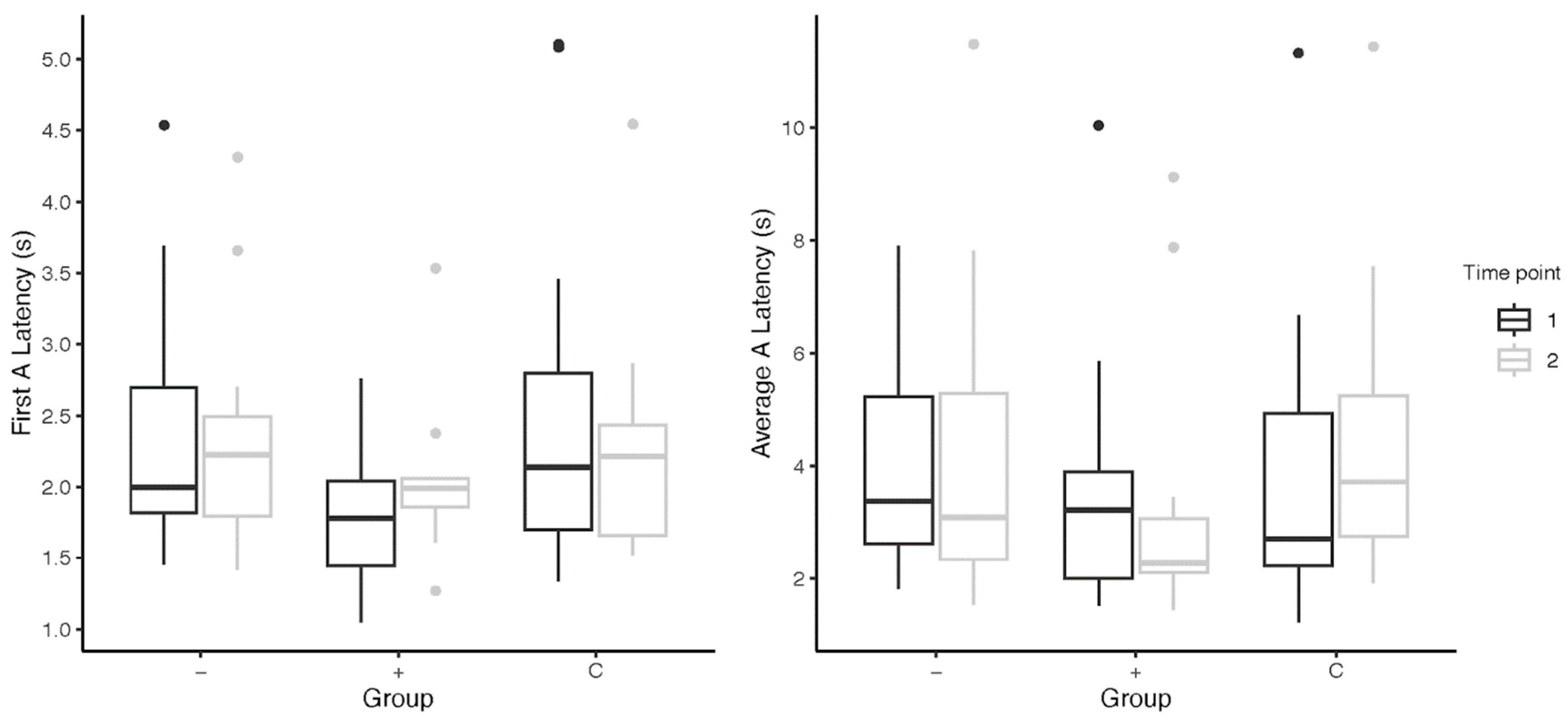
3. Results
3.1. Higher-Level Toy vs. Lower-Level Toy Subjects
3.1.1. Cognitive Bias Test
3.1.2. Food Consumption
3.1.3. Activity Levels
3.2. Higher-Level vs. Control Subjects
3.2.1. Cognitive Bias Test
3.2.2. Food Consumption
3.2.3. Activity Levels
4. Discussion
4.1. Subject Population
4.2. Measuring Welfare: The Cognitive Bias Test
4.3. Measuring Welfare: Appetite and Activity
4.4. Methodological Challenges
5. Conclusions
Supplementary Materials
Author Contributions
Funding
Institutional Review Board Statement
Informed Consent Statement
Data Availability Statement
Acknowledgments
Conflicts of Interest
References
- Broom, D.M. Animal Welfare Defined in Terms of Attempts to Cope with the Environment. Acta Agric. Scand. Sec. A Anim. Sci. Suppl. 1996, 27, 22–28. [Google Scholar]
- Duncan, I.J.H. The Changing Concept of Animal Sentience. Appl. Anim. Behav. Sci. 2006, 100, 11–19. [Google Scholar] [CrossRef]
- Broom, D.M. Assessing Welfare and Suffering. Behav. Process. 1991, 25, 117–123. [Google Scholar] [CrossRef] [PubMed]
- Hill, J.A. Indicators of Stress in Poultry. World’s Poult. Sci. J. 1983, 39, 24–31. [Google Scholar] [CrossRef]
- Dawkins, M.S. Evolution and Animal Welfare. Q. Rev. Biol. 1998, 73, 305–328. [Google Scholar] [CrossRef] [PubMed]
- Wiepkema, P.R.; Koolhaas, J.M. Stress and Animal Welfare. Anim. Welf. 1993, 2, 195–218. [Google Scholar] [CrossRef]
- Broom, D.M. Science, Ethics and Public Concern about Animal Welfare. In Proceedings of the Fourth European Colloquium on Acute Phase Proteins, Segovia, Spain, 25–26 September 2003; pp. 83–89. [Google Scholar]
- Odendaal, J.S.J. Science-Based Assessment of Animal Welfare: Companion Animals. Sci. Tech. Rev. Off. Epizoötics 2005, 24, 493–502. [Google Scholar] [CrossRef]
- Broom, D.M. Indicators of Poor Welfare. Br. Vet. J. 1986, 142, 524–526. [Google Scholar] [CrossRef]
- Barnett, J.L.; Hemsworth, P.H. The Validity of Physiological and Behavioural Measures of Animal Welfare. Appl. Anim. Behav. Sci. 1990, 25, 177–187. [Google Scholar] [CrossRef]
- Duncan, I.J. Science-Based Assessment of Animal Welfare: Farm Animals. Rev. Sci. Et Tech.-Off. Int. Des Epizoot. 2005, 24, 483–492. [Google Scholar] [CrossRef]
- Watanabe, S. How Animal Psychology Contributes to Animal Welfare. Appl. Anim. Behav. Sci. 2007, 106, 193–202. [Google Scholar] [CrossRef]
- Gagnon, S.; Doré, F.Y. Search Behavior in Various Breeds of Adult Dogs (Canis Familiaris): Object Permanence and Olfactory Cues. J. Comp. Psychol. 1992, 106, 58–68. [Google Scholar] [CrossRef] [PubMed]
- Miller, H.C.; Gipson, C.D.; Vaughan, A.; Rayburn-Reeves, R.; Zentall, T.R. Object Permanence in Dogs: Invisible Displacement in a Rotation Task. Psychon. Bull. Rev. 2009, 16, 150–155. [Google Scholar] [CrossRef]
- Fugazza, C.; Pogány, Á.; Miklósi, Á. Recall of Others’ Actions after Incidental Encoding Reveals Episodic-like Memory in Dogs. Curr. Biol. 2016, 26, 3209–3213. [Google Scholar] [CrossRef] [PubMed]
- Fugazza, C.; Pongrácz, P.; Pogány, Á.; Lenkei, R.; Miklósi, Á. Mental Representation and Episodic-like Memory of Own Actions in Dogs. Sci. Rep. 2020, 10, 10449. [Google Scholar] [CrossRef]
- Hare, B.; Brown, M.; Williamson, C.; Tomasello, M. The Domestication of Social Cognition in Dogs. Science 2002, 298, 1634–1636. [Google Scholar] [CrossRef] [PubMed]
- Miklösi, Á.; Polgárdi, R.; Topál, J.; Csányi, V. Use of Experimenter-given Cues in Dogs. Anim. Cogn. 1998, 1, 113–121. [Google Scholar] [CrossRef] [PubMed]
- Miklósi, A.; Polgárdi, R.; Topál, J.; Csányi, V. Intentional Behaviour in Dog-Human Communication: An Experimental Analysis of “Showing” Behaviour in the Dog. Anim. Cogn. 2000, 3, 159–166. [Google Scholar] [CrossRef]
- Mellor, D. Animal Emotions, Behaviour and the Promotion of Positive Welfare States. N. Z. Vet. J. 2012, 60, 1–8. [Google Scholar] [CrossRef]
- Yeates, J.W.; Main, D.C.J. Assessment of Positive Welfare: A Review. Vet. J. 2008, 175, 293–300. [Google Scholar] [CrossRef]
- Boissy, A.; Manteuffel, G.; Jensen, M.B.; Moe, R.O.; Spruijt, B.; Keeling, L.J.; Winckler, C.; Forkman, B.; Dimitrov, I.; Langbein, J.; et al. Assessment of Positive Emotions in Animals to Improve Their Welfare. Physiol. Behav. 2007, 92, 375–397. [Google Scholar] [CrossRef] [PubMed]
- Kirkden, R.D.; Pajor, E.A. Using Preference, Motivation and Aversion Tests to Ask Scientific Questions about Animals’ Feelings. Appl. Anim. Behav. Sci. 2006, 100, 29–47. [Google Scholar] [CrossRef]
- Diamond, M.C. Response of the Brain to Enrichment. An. Acad. Bras. Ciências 2001, 73, 211–220. [Google Scholar] [CrossRef]
- Carlstead, K.; Shepherdson, D. Effects of Environmental Enrichment on Reproduction. Zoo Biol. 1994, 13, 447–458. [Google Scholar] [CrossRef]
- Newberry, R.C. Environmental Enrichment: Increasing the Biological Relevance of Captive Environments. Appl. Anim. Behav. Sci. 1995, 44, 229–243. [Google Scholar] [CrossRef]
- Heys, M.; Lloyd, I.; Westgarth, C. “Bowls Are Boring”: Investigating Enrichment Feeding for Pet Dogs and the Perceived Benefits and Challenges. Vet. Rec. 2023, e3169. [Google Scholar] [CrossRef]
- Hubrecht, R.C. A Comparison of Social and Environmental Enrichment Methods for Laboratory Housed Dogs. Appl. Anim. Behav. Sci. 1993, 37, 345–361. [Google Scholar] [CrossRef]
- Pullen, A.J.; Merrill, R.J.N.; Bradshaw, J.W.S. Preferences for Toy Types and Presentations in Kennel Housed Dogs. Appl. Anim. Behav. Sci. 2010, 125, 151–156. [Google Scholar] [CrossRef]
- Wells, D.L. A Review of Environmental Enrichment for Kennelled Dogs, Canis Familiaris. Appl. Anim. Behav. Sci. 2004, 85, 307–317. [Google Scholar] [CrossRef]
- Rooney, N.; Gaines, S.; Hiby, E. A Practitioner’s Guide to Working Dog Welfare. J. Vet. Behav. 2009, 4, 127–134. [Google Scholar] [CrossRef]
- Flint, H.E.; Atkinson, M.; Lush, J.; Hunt, A.B.G.; King, T. Long-Lasting Chews Elicit Positive Emotional States in Dogs during Short Periods of Social Isolation. Animals 2023, 13, 552. [Google Scholar] [CrossRef] [PubMed]
- Wells, D. The Influence of Toys on the Behaviour and Welfare of Kennelled Dogs. Anim. Welf. 2004, 13, 367–373. [Google Scholar] [CrossRef]
- Herron, M.E.; Kirby-Madden, T.M.; Lord, L.K. Effects of Environmental Enrichment on the Behavior of Shelter Dogs. J. Am. Vet. Med. Assoc. 2014, 244, 687–692. [Google Scholar] [CrossRef] [PubMed]
- Schipper, L.L.; Vinke, C.M.; Schilder, M.B.H.; Spruijt, B.M. The Effect of Feeding Enrichment Toys on the Behaviour of Kennelled Dogs (Canis Familiaris). Appl. Anim. Behav. Sci. 2008, 114, 182–195. [Google Scholar] [CrossRef]
- Harding, E.J.; Paul, E.S.; Mendl, M. Cognitive Bias and Affective State. Nature 2004, 427, 312. [Google Scholar] [CrossRef]
- Mendl, M.; Burman, O.H.P.; Parker, R.M.A.; Paul, E.S. Cognitive Bias as an Indicator of Animal Emotion and Welfare: Emerging Evidence and Underlying Mechanisms. Appl. Anim. Behav. Sci. 2009, 118, 161–181. [Google Scholar] [CrossRef]
- Burman, O.H.P.; Parker, R.M.A.; Paul, E.S.; Mendl, M.T. Anxiety-Induced Cognitive Bias in Non-Human Animals. Physiol. Behav. 2009, 98, 345–350. [Google Scholar] [CrossRef]
- Bateson, M.; Desire, S.; Gartside, S.E.; Wright, G.A. Agitated Honeybees Exhibit Pessimistic Cognitive Biases. Curr. Biol. 2011, 21, 1070–1073. [Google Scholar] [CrossRef]
- Bethell, E.; Holmes, A.; Maclarnon, A.; Semple, S. Cognitive Bias in a Non-Human Primate: Husbandry Procedures Influence Cognitive Indicators of Psychological Well-Being in Captive Rhesus Macaques. Anim. Welf. 2012, 21, 185–195. [Google Scholar] [CrossRef]
- Matheson, S.M.; Asher, L.; Bateson, M. Larger, Enriched Cages Are Associated with “Optimistic” Response Biases in Captive European Starlings (Sturnus vulgaris). Appl. Anim. Behav. Sci. 2008, 109, 374–383. [Google Scholar] [CrossRef]
- Mendl, M.; Brooks, J.; Basse, C.; Burman, O.; Paul, E.; Blackwell, E.; Casey, R. Dogs Showing Separation-Related Behaviour Exhibit a “Pessimistic” Cognitive Bias. Curr. Biol. 2010, 20, R839–R840. [Google Scholar] [CrossRef] [PubMed]
- Duranton, C.; Horowitz, A. Let Me Sniff! Nosework Induces Positive Judgment Bias in Pet Dogs. Appl. Anim. Behav. Sci. 2019, 211, 61–66. [Google Scholar] [CrossRef]
- McCoy, D.E.; Schiestl, M.; Neilands, P.; Hassall, R.; Gray, R.D.; Taylor, A.H. New Caledonian Crows Behave Optimistically after Using Tools. Curr. Biol. 2019, 29, 2737–2742. [Google Scholar] [CrossRef] [PubMed]
- Tarou, L.R.; Bashaw, M.J. Maximizing the Effectiveness of Environmental Enrichment: Suggestions from the Experimental Analysis of Behavior. Appl. Anim. Behav. Sci. 2007, 102, 189–204. [Google Scholar] [CrossRef]
- Ringel, E. Behavior Coding Software-Dog Cognition Lab Independent Study. GitHub 2022. Available online: https://github.com/emily-dringel/BehavioralCodingSoftware/ (accessed on 27 July 2023).
- Pratt, J.W. Remarks on Zeros and Ties in the Wilcoxon Signed Rank Procedures. J. Am. Stat. Assoc. 1959, 54, 655–667. [Google Scholar] [CrossRef]
- Glass, G.V. A Ranking Variable Analogue of Biserial Correlation: Implications for Short-Cut Item Analysis. J. Educ. Meas. 1965, 2, 91–95. [Google Scholar] [CrossRef]
- Tomczak, M.; Tomczak, E. The Need to Report Effect Size Estimates Revisited. An Overview of Some Recommended Measures of Effect Size. Trends Sport Sci. 2014, 1, 19–25. [Google Scholar]
- R Core Team. R: A Language and Environment for Statistical Computing; R Foundation for Statistical Computing: Vienna, Austria, 2023; Available online: https://www.R-project.org (accessed on 28 June 2023).
- Hubrecht, R.C.; Serpell, J.A.; Poole, T.B. Correlates of Pen Size and Housing Conditions on the Behaviour of Kennelled Dogs. Appl. Anim. Behav. Sci. 1992, 34, 365–383. [Google Scholar] [CrossRef]
- Normando, S.; Contiero, B.; Marchesini, G.; Ricci, R. Effects of Space Allowance on the Behaviour of Long-Term Housed Shelter Dogs. Behav. Process. 2014, 103, 306–314. [Google Scholar] [CrossRef]
- Taylor, K.D.; Mills, D.S. The Effect of the Kennel Environment on Canine Welfare: A Critical Review of Experimental Studies. Anim. Welf. 2007, 16, 435–447. [Google Scholar] [CrossRef]
- Gaines, S.A. Kennelled Dog Welfare: Effects of Housing and Husbandry. Ph.D. Thesis, University of Bristol, Bristol, UK, 2008. [Google Scholar]
- Normando, S.; Corain, L.; Salvadoretti, M.; Meers, L.; Valsecchi, P. Effects of an Enhanced Human Interaction Program on Shelter Dogs’ Behaviour Analysed Using a Novel Nonparametric Test. Appl. Anim. Behav. Sci. 2009, 116, 211–219. [Google Scholar] [CrossRef]
- Hughes, B.O.; Duncan, I.J.H. The Notion of Ethological “Need”, Models of Motivation and Animal Welfare. Anim. Behav. 1988, 36, 1696–1707. [Google Scholar] [CrossRef]
- Macht, M. How Emotions Affect Eating: A Five-Way Model. Appetite 2008, 50, 1–11. [Google Scholar] [CrossRef]
- Fraser, D.; Duncan, I.J.H. “Pleasures”, “Pains” and Animal Welfare: Toward a Natural History of Affect. Anim. Welf. 1998, 7, 383–396. [Google Scholar] [CrossRef]
- Menor-Campos, D.J.; Molleda-Carbonell, J.M.; Lopez-Rodriguez, R. Effects of Exercise and Human Contact on Animal Welfare in a Dog Shelter. Vet. Rec. 2011, 169, 388. [Google Scholar] [CrossRef] [PubMed]
- Colpoys, J.; DeCock, D. Evaluation of the FitBark Activity Monitor for Measuring Physical Activity in Dogs. Animals 2021, 11, 781. [Google Scholar] [CrossRef]
- Hunt, R.L.; Whiteside, H.; Prankel, S. Effects of Environmental Enrichment on Dog Behaviour: Pilot Study. Animals 2022, 12, 141. [Google Scholar] [CrossRef]
- Howard, S.; Feuerbacher, E.; Gunter, L.; Hekman, J. Scented Toys as Enrichment: Exploring the Duration of Engagement with Scented Toys in Shelter Dogs. Master’s Thesis, Virginia Polytechnic Institute and State University, Blacksburg, VA, USA, 2023. [Google Scholar]



| Average Age (Years) | Sex | Breed | ||||||
| <4 | 4–8 | >8 | M | F | Mixed | Purebred | ||
| 53% | 28% | 19% | 53% | 47% | 72% | 28% | ||
| Level of Favorite Toy | Group, Level from 1–3 (if applicable) | |||||||
| 1 | 2 | 3 | Other * | C | E, 1 | E, 2 | E, 3 | |
| 79% | 4% | 11% | 6% | 32% | 26% | 21% | 21% | |
| Group | Timeline | Data Collected |
|---|---|---|
| 3 days | Start food consumption and activity data collection | |
| Control | First visit | First cognitive bias test |
| 12 days * | Specified at-home activities | |
| Second visit | Stop food consumption and activity data collection Second cognitive bias test | |
| 3 days | Start food consumption and activity data collection | |
| Experimental (all levels) | First visit | First cognitive bias test |
| 12 days * | Specified at-home activities with new provided toy every 4 days | |
| Second visit | Stop food consumption and activity data collection Second cognitive bias test |
| Group | Provided Toys | Functions | |||
|---|---|---|---|---|---|
| Food Reward (Y/N) | Sensory Modalities | Engagement Behaviors | |||
| Control | - | Y | |||
| Experimental, Level 1 | Nylabone DuraChew Original Bone | ![]() | N | Touch | Chewing, pawing |
| Max and Neo Furry Pals Water Bottle | ![]() | ||||
| ChuckIt! Ultra Ball | ![]() | ||||
| Experimental, Level 2 | LickiMat | ![]() | Y (visible) | Touch, smell, taste | Chewing, pawing, licking |
| Kong Original | ![]() | ||||
| Starmark Treat Crunching Barbell | ![]() | ||||
| Experimental, Level 3 | Nina Ottosson puzzles:Treat Maze | ![]() | Y (invisible) | Touch, smell, taste | Chewing, pawing, licking, nosing, rooting, active investigation |
| Brick | ![]() | ||||
| Tornado | ![]() | ||||
| Pre- to Post-Comparisons | Higher- vs. Lower-Level Toy Groups | Test Statistic | p | rrb | |||
|---|---|---|---|---|---|---|---|
| Higher | Lower | ||||||
| M | SD | M | SD | ||||
| Cognitive bias: Avg A latencies | −0.23 | 1.44 | 0.24 | 2.61 | 93 | 0.905 | 0.03 |
| Appetite | 0.26 | 1.24 | −0.66 | 1.94 | −0.10 | 0.318 | −0.24 |
| Activity levels | −763.72 | 2500.29 | −773.20 | 1687.34 | 97 | 0.592 | −0.12 |
| Pre- to Post-Comparisons | Higher-Level Toy vs. Control Groups | Test Statistic | p | rrb | |||
|---|---|---|---|---|---|---|---|
| Higher | Control | ||||||
| M | SD | M | SD | ||||
| Cognitive bias: Avg A latencies | −0.23 | 1.44 | 0.51 | 3.71 | 109 | 0.373 | 0.21 |
| Appetite | 0.26 | 1.24 | −0.22 | 1.57 | −0.64 | 0.519 | −0.16 |
| Activity levels | −763.72 | 2500.29 | 203.73 | 1984.77 | 0.614 | 0.614 | 0.12 |
Disclaimer/Publisher’s Note: The statements, opinions and data contained in all publications are solely those of the individual author(s) and contributor(s) and not of MDPI and/or the editor(s). MDPI and/or the editor(s) disclaim responsibility for any injury to people or property resulting from any ideas, methods, instructions or products referred to in the content. |
© 2023 by the authors. Licensee MDPI, Basel, Switzerland. This article is an open access article distributed under the terms and conditions of the Creative Commons Attribution (CC BY) license (https://creativecommons.org/licenses/by/4.0/).
Share and Cite
Chan, K.; Arellano, C.; Horowitz, A. Here Puppy, Chew on This: Short-Term Provision of Toys Does Not Improve Welfare in Companion Dogs. Animals 2023, 13, 3340. https://doi.org/10.3390/ani13213340
Chan K, Arellano C, Horowitz A. Here Puppy, Chew on This: Short-Term Provision of Toys Does Not Improve Welfare in Companion Dogs. Animals. 2023; 13(21):3340. https://doi.org/10.3390/ani13213340
Chicago/Turabian StyleChan, Kelly, Carol Arellano, and Alexandra Horowitz. 2023. "Here Puppy, Chew on This: Short-Term Provision of Toys Does Not Improve Welfare in Companion Dogs" Animals 13, no. 21: 3340. https://doi.org/10.3390/ani13213340
APA StyleChan, K., Arellano, C., & Horowitz, A. (2023). Here Puppy, Chew on This: Short-Term Provision of Toys Does Not Improve Welfare in Companion Dogs. Animals, 13(21), 3340. https://doi.org/10.3390/ani13213340










