Simple Summary
Endoparasites such as Ascaris suum can pose a serious threat to the health of livestock and, consequently, humans. One promising way of controlling the threat is the use of natural enemies/antagonistic fungi. In this study, we examined the effects of entomopathogenic fungi (naturally attacking insects) as a bioregulator in the invasive stages of the parasitic nematode A. suum. The conducted study indicates that none of the fungal strains tested have nematocidal activity against A. suum eggs, and they do not meet the criteria required for use in the bioregulation of the parasite’s dispersal stages. Among the strains tested, Isaria fumosorosea and Metarhizium robertsii stood out, combining the highest metabolic activity with nematocidal activity against A. suum.
Abstract
The aim of the study was to evaluate the potential of using five selected species of entomopathogenic fungi (Beauveria bassiana, B. brongniartii, Conidiobolus coronatus, Isaria fumosorosea, and Metarhizium robertsii) in the bioregulation of the dispersive stages of the parasitic nematode—Ascaris suum. Experimental cultures of each of the selected entomopathogenic fungi, as well as a control culture without fungi, were incubated with A. suum eggs at 26 °C for 28 days. Development of the A. suum eggs was observed using a light microscope on the 7th, 14th, 21st, and 28th days of incubation. The API-ZYM® test was used to determine, semiquantitatively, the activity of 19 hydrolytic enzymes from the entomopathogenic fungi. The cytotoxicity of the fungi was determined using tetrazole salt MTT. It was found that none of the five tested strains of entomopathogenic fungi showed an ovicidal effect, and none of them colonized the A. suum egg shells. However, ovistatic activity was observed mainly until the 14th day of incubation by I. fumosorosea, M. robertsii, and B. bassiana. In the MTT test, M. robertsii showed moderate cytotoxicity, while the other species showed low cytotoxicity. Among the strains tested, I. fumosorosea showed the highest spectrum of hydrolase production (13 out of 19 enzymes gave a positive reaction from 3 to 5; 20–40 nM or more). The absence of morphological changes in the A. suum egg shells suggests that the antagonistic effect of the studied entomopathogenic fungi may be due to their cytotoxicity, associated with the production of secondary metabolites—toxins (M. robertsii) and enzymatic activity (I. fumosorosea).
1. Introduction
As a result of raising and breeding pigs, a large amount of organic matter is introduced into the environment in the form of animal feces. This leads to the entry of various forms of parasites into the soil. The use of manure from pig farms poses potential risks to human and animal health due to soil-transmitted helminths, such as Ascaris spp. [1]. Their eggs can contaminate soils and surface waters, may be transported to wastewater treatment plants, and may be deposited in sludge that is sometimes used as an organic fertilizer [1,2,3,4].
The very high reproductive potential of Ascaris (200,000 eggs/day), the longevity of the invasive eggs, and their resistance to the influence of harmful external factors pose a significant problem in the control of ascariasis, while at the same time resulting in a high extensiveness of infection in humans and pigs [5,6,7]. The prevalence of A. suum ranges from a dozen to more than 60% by country, population, husbandry, diet, and age of the carrier pigs [8,9,10,11]. The extensiveness of A. suum infection in pigs in Poland is 30–60% [7,8,12] and is also high in other countries. For instance, it ranges from 15–64% in Denmark [10] and is 32.59% in Mumbai, India [9], 25.9% in Ethiopia [13], and 44.5% in South Africa [11]. Pigs living outdoors (including organic farms) are at higher risk of Ascaris infection than pigs housed indoors [10,14,15]. Ascariasis in pigs is a major economic problem due to detrimental carcass composition, reduced feed conversion efficiency, and losses to the meat industry, but it is also a public health threat [3,14,16,17].
According to Stewart [18], losses in the United States due to swine liver seizures (the effect of A. suum infestation) are estimated at USD 17.5 million per year, and losses associated with reduced feed conversion by animals are an additional USD 60.1 million per year. Some studies have shown that cross-species transmission occurs between pigs and humans living in close proximity or where pig manure is used as fertilizer on vegetables for human consumption. For this reason, A. suum is considered a zoonotic pathogen [14,16,19]. Furthermore, a number of researchers have suggested that A. suum and A. lumbricoides are a single species that is only reproductively isolated [20,21,22].
Eggs of the soil-transmitted parasitic nematodes Ascaris, Trichuris, and Toxocara have been considered as indicators in assessing the hygienic status of sewage sludge and organic fertilizers. The eggs of these parasites have been shown to be more resistant to various sanitation methods (liming, pasteurization, composting) than other animal and human endoparasites [2,4,15,23]. Due to the economic and health significance of nematode infections (especially ascariasis), as well as some regulations concerning organic farms (especially in Europe where the use of chemical anthelmintics is often prohibited), investigations on natural means active against human and animal parasitic nematodes have been conducted for years [1,24].
One of the methods used to tackle parasitic infestations in humans and animals are fungi, which possess various abilities to reduce helminth populations. Some fungi, such as entomopathogenic fungi, enter the host (insect) through the cuticle and initiate the development of infection, which then occurs in three main phases. The first phase is associated with the adhesion of conidial spores to the host body and their germination in the epicuticle. The second phase involves penetration of the cuticle by mycelial hyphae. This process, according to Mustafa and Kaur [25], is the result of mechanical forces together with enzymes produced by the fungi (proteases, chitinases, lipases, and lipoxygenases). The final stage is the complete destruction of the host and its death. In the course of zoomycosis, fungal metabolites are particularly active, including depsipeptides (e.g., Dsx destructins) produced by members of the genus Metarhizium [26] and Conidiobolus [27], which cause convulsions, loss of motor coordination, and paralysis in insects [28]. The nematostatic and nematocidal effects of some insecticidal fungi in reducing helminth populations that cause parasitosis in humans and animals are also known. The ovicidal effects of Pochonia chlamydosporia (H.C. Evans) have been reported in nematode species such as Trichuris vulpis [29], Toxocara vitulorum [30], A. suum [31], and the tapeworm Taenia saginata [32]. Penetration of P. chlamydosporia mycelia has also been observed in eggs of the flukes Schistosoma mansonii [33] and Fasciola hepatica [34]. Entomopathogenic fungi have also shown inhibitory effects on the development of A. suum and A. lumbricoides eggs. Of note among these species are the following strains: Paecilomyces variotii and P. viridis [35], Isaria fumosorosea (=Paecilomyces fumosoroseus), P. lilacinus, Metarhizium flavoviride, M. anisopliae [36,37], Metacordyceps chlamydosporia (=Verticillium chlamydosporium), and Pochonia chlamydosporia [31,38,39,40,41].
It seems reasonable to learn about the interaction of other species of entomopathogenic fungi with the dispersal stages of parasitic geohelminths. Therefore, the aim of this study was to evaluate the potential of selected entomopathogenic fungal species (Beauveria bassiana, B. brongniartii, Conidiobolus coronatus, Isaria fumosorosea, and Metarhizium robertsii) for use in the bioregulation of the invasive stages of the parasitic nematode Ascaris suum.
2. Materials and Methods
2.1. Fungi
Strains of five species of entomopathogenic fungi were selected for the study: Beauveria bassiana (Bals.-Criv.) Vuill., B. brongniartii (Sacc.) Petch, Conidiobolus coronatus (Costantin) A. Batko, Isaria fumosorosea Wize, and Metarhizium robertsii (J.F. Bisch.), S.A. Rehner and Humber. Isolates of these entomopathogenic fungi were obtained from the collection of the Department of Horticulture and Plant Protection at the University in Siedlce. Fungal strains of Beauveria bassiana (UPH 34), Isaria fumosorosea (UPH 42) (Figure 1), and Metarhizium robertsii (UPH 21) (Figure 2) were obtained from soils in cultivated fields near Siedlce (Masovian Voivodeship) using the Galleria bait method [42]. Isolates of the fungi Beauveria brongniartii (UPH 66) and Conidiobolus coronatus (UPH 50) were also isolated from cultivated soil, but using a selective medium [43]. The nomenclature of the fungi is based on the Index Fungorum (http://www.indexfungorum.org accessed on 20 October 2023). Single-spore cultures of the strains were grown on PDA medium (Merck). Prior to the experiment, the fungi were grown on Sabouraud medium (SDA) and stored at 4 °C.
Figure 1.
Strain of Isaria fumosorosea (photo by C. Tkaczuk).
Figure 2.
Metarhizium robertsii; (a–h) conidiophore and conidia, white scale bar—5 µm; (i) colony on agar medium (photo by C. Tkaczuk and S. Różalska).
Discs (ø 4 mm) were cut from the 3-week-old mycelium of these cultures and placed on PDA medium. Incubation was carried out in the dark at 25 °C for 21 days, after which new discs (ø 4 mm) were cut and transferred to Petri dishes (ø 50 mm) containing an A. suum egg suspension [44,45].
2.2. Ascaris suum Eggs
Fertilized eggs of A. suum were obtained from the uteri of female nematodes (n = 60) obtained from the intestines of pigs from organic (50%) and traditional (50%) farms. The collected eggs were centrifuged in distilled water (3× at 1000 rpm) for 3 min. A. suum eggs were incubated in distilled water containing 0.05% formalin, 0.05% streptomycin sulfate, and 0.01% chloramphenicol [46,47].
Experimental cultures (with the presence of entomopathogenic fungi) and control culture (without fungi) each contained a 10 mL suspension of A. suum eggs. A. suum eggs were incubated in Petri dishes (ø 50 mm) at 26 °C for 28 days.
A. suum eggs were observed under a light microscope (Olympus CX21, Japan; ×10; 40) on days 7, 14, 21, and 28 of incubation from a collected 0.1 mL of A. suum egg suspension. The following developmental stages were determined in 100 randomly observed eggs: zygote, 2–8 blastomeres, morula/blastula, gastrula, and larva. The evaluation of developmental stages was performed on 100 eggs each time and repeated twice for both experimental and control cultures.
2.3. Fungal Enzymatic Activity
The API-ZYM test (bioMerieux, Lyon, France) was used to semiquantitatively determine the activity of 19 hydrolytic fungal enzymes: alkaline phosphatase, esterase (C4), esterase lipase (C8), lipase (C14), leucine arylamidase, valine arylamidase, cystine arylamidase, trypsin, chymotrypsin, acid phosphatase, naphthol-AS-BI-phosphohydrolase, α-galactosidase, β-galactosidase, β-glucuronidase, α-glucosidase, β-glucosidase, N-acetyl-β-glucosoaminidase, α-mannosidase, and α-fucosidase. Assays were performed according to the manufacturer’s instructions. API-ZYM strips were incubated with mature (7 day) fungal cultures grown on PDA (transferred to sterile saline) and then incubated at 37 °C for 4 h. Hydrolytic activity was determined in nanomoles of hydrolyzed substrate on a color scale from 0–5 provided by the manufacturer, where: 0—negative reaction, 1—5 nM, 2—10 nM, 3—20 nM, 4—30 nM, and 5—40 nM, or more. 1–2 was interpreted as low, 3 as moderate, and 4–5 as high enzymatic activity.
2.4. Cytotoxicity of Entomopathogenic Fungi in MTT Assay
Cytotoxicity was determined using tetrazole salt MTT (3[4,5-dimethylthiazol-2-yl]-2,5-diphenyltetrazolium bromide, Sigma Aldrich, Darmstad, Germany). The study was conducted using the porcine kidney (SK) cell line. The MTT colorimetric assay for cytotoxicity is based on the conversion of yellow tetrazole salts to purple water-insoluble formazan crystals. The salt reduction takes place exclusively in the mitochondria of living and metabolically active cells. If cells are damaged or destroyed by the toxin, the salt does not transform and the yellow color of the tetrazole salts is retained [48].
The study was performed using a swine kidney (SK) cell line. The cells were cultured in MEM (Minimum Essential Medium Eagle; Sigma-Aldrich) supplemented with an antibiotic solution (stock solution: 10,000 units of penicillin and 10 mg of streptomycin per mL in 0.9% NaCl (Sigma-Aldrich)), and 5% fetal calf serum (Sigma-Aldrich) in a CO2-incubator (CB, BINDER GmbH, Tuttlingen, Germany) (5% CO2, 37 °C, 98% humidity).
Extracts were prepared from the fungal strains grown in the Petri dishes (PDA medium). The fungal strains were transferred to a sterile stomacher bag and extracted twice with 50 mL of chloroform for 4 min in a laboratory paddle blender (BagMixer® 400, Intersciences, Saint Nom la Bretêche, France). Chloroform was passed through a filter into a round bottom flask and evaporated to dryness in a vacuum evaporator. The evaporation residue was dissolved in 2 mL of chloroform using an ultrasonic bath and pipetted into the vials; then, the extracts were evaporated under a stream of nitrogen. Extracts were dissolved in 1 mL of mixture of ethanol dimethyl sulfoxide–minimum essential medium with Earle’s salts (MEM) (1.7 + 0.3 + 98, v/v/v) as described by Hanelt et al. [48]. Then, serial log 2 dilutions of sample extract were prepared (1–31.5 cm2/mL, 2–15.625 cm2/mL, 3–7.813 cm2/mL, 4–3.906 cm2/mL, 5–1.953 cm2/mL, 6–0.977 cm2/mL, 7–0.488 cm2/mL, 8–0.244 cm2/mL, 9–0.122 cm2/mL, and 10–0.061 cm2/mL).
For the next 48 h, the plates were incubated in a CO2-incubator (CB, BINDER GmbH, Tuttlingen, Germany) (5% CO2, 37 °C, 98% humidity); then, 20 µL of MTT solution in PBS (Merck, Darmstadt, Germany) was added to the wells and the whole set was incubated for another 4 h. After removing the liquid from the wells, 100 µL of DMSO was added as a solvent for the formazan crystals. After shaking for 5 min (Titramax 101 shaker, Heidolph, Schwabach, Germany), cytotoxicity was quantified using a microplate spectrophotometer (Ledetect 96 Microplate Reader, Labexim Products, Lengau, Austria) coupled with MikroWin 2010 OEM version (Mikrotek Laborsysteme GmbH, Overath, Germany) based on the absorbance measured at a wavelength of 510 nm, which corresponded to the maximum absorption of the formazan derivative. If the absorbance was less than 50% of the cell division activity, all samples analyzed were considered toxic.
The cytotoxicity IC 50 (sample concentration at which cell proliferation is inhibited by 50% compared to control cells) was determined on the basis of serial dilutions according to the scale of Hanelt et al. [48]. The cytotoxicity of the analyzed fungal strains was reduced by the IC50 value of the control. Semi-quantitative scale for cytotoxicity grading was adopted: the low cytotoxic effect (+) with a half maximal inhibitory concentration (IC50) value from 31.251 cm2/mL to 7.813 cm2/mL, the medium cytotoxic effect (++) with a value from 3.906 cm2/mL to 0.488 cm2/mL, and the high cytotoxic effect (+++) with a value from 0.244 cm2/mL to 0.061 cm2/mL. No cytotoxic effect was assessed if the extract concentration at 31.251 cm2/mL failed to inhibit the growth of the swine kidney cell line (SK) (and if the percentage of extinction with respect to the control group was ≥50%).
2.5. Statistical Analyses
Statistical analyses were performed using Statistica version 12 software (StatSoft. Inc., Hamburg Germany). Independent samples t-test was used to determine differences between the two groups (control vs. experimental). Differences at p < 0.05 were considered significant.
3. Results
3.1. Influence of Entomopathogenic Fungi on the Embryonic Development of A. suum
The inhibitory effect of most of the tested fungi on the embryonic development of A. suum was most evident up to the 14th day of incubation (p < 0.05). On the 7th day of incubation, the inhibitory effect on the embryogenesis of A. suum was shown by all tested fungal species except C. coronatus (Figure 3). The most inhibitory effect on the development of A. suum eggs—expressed by a higher percentage of zygotes compared to the control—was shown by the following fungal species, respectively: B. brongniartii, I. fumosorosea, M. robertsii, and B. bassiana (p < 0.05). At the same time, there was a lower percentage of A. suum eggs at the morula/blastula stage incubated with these fungal species (p < 0.05).

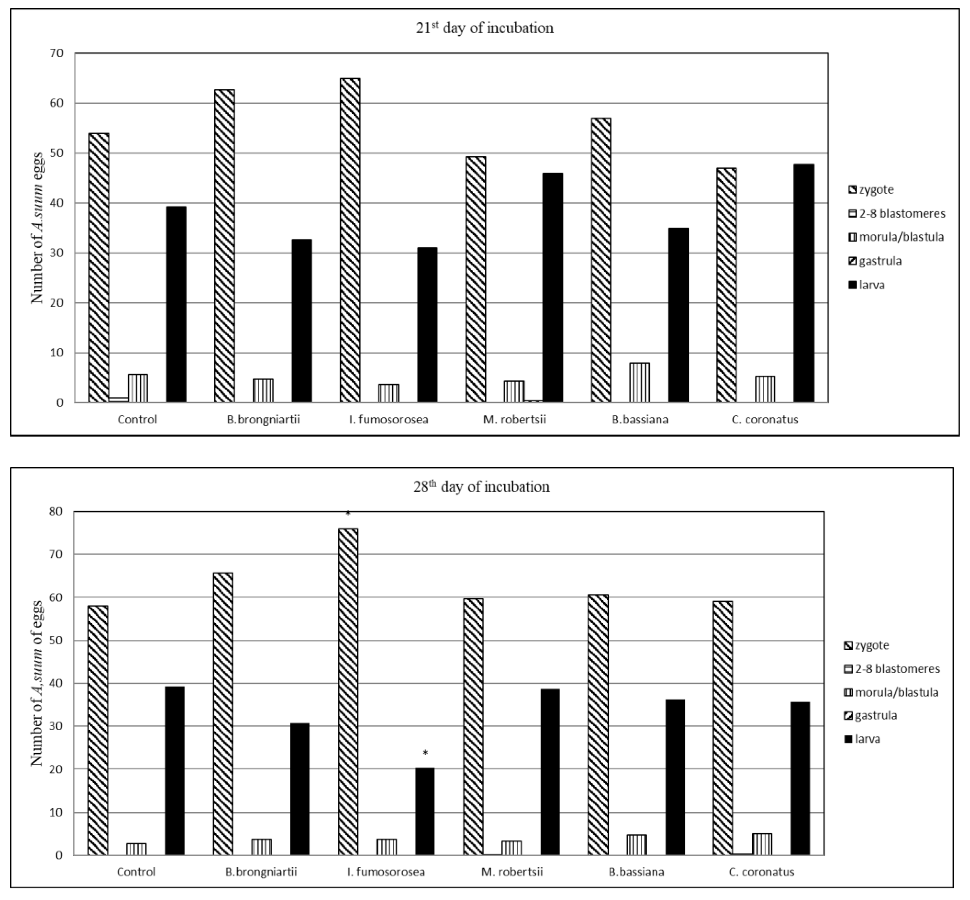
Figure 3.
The mean number of Ascaris suum eggs at 7th, 14th, 21st and 28th day of incubation in control and in the presence of fungi: Beauveria brongniartii; Isaria fumosorosea; Metarhizium robertsii; Beauveria bassiana; and Conidiobolus coronatus; *—differences statistically significant at p < 0.05.
On day 14 of embryogenesis, a higher percentage of eggs at the morula/blastula stage was found in eggs incubated with M. robertsii and B. bassiana compared to the control, while a lower percentage of eggs at this stage (p < 0.05) was found in eggs incubated with C. coronatus. In the presence of all fungi tested, the percentage of larvae was lower compared to the control, but statistically significant differences were found only for I. fumosorosea. On day 21, a higher percentage of eggs at the zygote stage was found in the presence of B. brongniartii, I. fumosorosea, and B. bassiana, but these differences were not statistically significant compared to the control. On the 28th day of incubation, the highest percentage of eggs at the zygote stage and the lowest percentage of eggs at the larval stage were found only in the presence of I. fumosorosea (p < 0.05). None of the five entomopathogenic fungal strains tested colonized the egg shells of A. suum.
3.2. The Enzymatic Activity of Entomopathogenic Fungi
Among the strains tested in the API-ZYM® test, I. fumosorosea showed the largest spectrum of hydrolase production (positive reaction of 3–5; 20–40 nM or more) (13 out of 19 enzymes). All strains except B. brongniartii were capable of producing leucine arylamidase, while the positive reaction in the production of valine and cysteine arylamidase and trypsin was shown only by the strain I. fumosoresea (Table 1). All strains, except B. brongniartii, showed C4 esterase activity, while C8 esterase was produced only by strains I. fumosorosea and C. coronatus.
Table 1.
The production of 19 hydrolases by entomopathogenic fungal species in the API-ZYM® test.
None of the strains tested was capable of synthesizing lipase (C14), chymotrypsin, α-galactosidase, α-mannosidase, β-glucuronidase and α-fucosidase. B. brongniartii, and I. fumosorosea showed β-galactosidase activity (3–5; 20–40 nM or more). All strains showed very high activity of acid phosphatase (5; 40 nM or more) and β-glucosidase (3–5; 20–40 nM or more). High activity (3–5; 20–40 nM or more) of all strains was also found in the production of naphthol phosphohydrolase and N-acetyl-β-glucosaminidase. In contrast, a very high α-glucosidase activity was found only in I. fumosorosea (5; 40 nM or more).
3.3. Cytotoxicity of Entomopathogenic Fungi in MTT Test
In the MTT test, only the strain Metarhizium robertsii showed the lowest IC ratio (IC50 3.91 cm2/mL) and moderate cytotoxicity among the entomopathogenic fungi tested. For Isaria fumosorosea, the ratio was slightly higher (IC50 7.81 cm2/mL) and corresponded to low cytotoxicity. A similarly low level of cytotoxicity characterized the other tested fungal species (Table 2).
Table 2.
Cytotoxicity of entomopathogenic fungi in the MTT assay.
4. Discussion
This study is part of a series of experiments on the effects of different trophic groups of fungi on A. suum embryogenesis, some of which have been published on soil fungi [45]. In both the studies on soil fungi and entomopathogenic fungi, there was a control group in which a surprisingly high percentage of A. suum eggs (more than 50%) remained in the zygote stage until the end of incubation. An explanation for this phenomenon may be that the eggs used in the study (in both the experimental and control cultures) were obtained from 60 female pigs obtained from one organic (N = 30) and one conventional (N = 30) farm. On organic farms, one method of reducing parasite infestations is the use of feed additives in the form of medicinal plants. The active constituents of these plants reduce the level of parasitic infestation and interfere with the physiological functions of the parasite [49]. In an organic farm where 50% of the adult forms of A. suum were obtained, a mixture of herbs such as garlic (Allium sativum), pumpkin (Cucurbita pepo), thyme (Thymus vulgaris), mugwort (Artemisia vulgaris), and fennel (Foeniculum vulgare) were added to the feed, with varying nematocidal effects [50,51,52,53,54]. The presence of these herb species in the host diet was also most likely responsible for the inhibition of A. suum embryonic development in controls [45].
In recent decades, the fight against parasitic diseases has been based mainly on chemotherapy involving repeated administration of antiparasitic drugs. Research indicating the possibility of a natural, biological reduction of A. suum populations is of great practical importance. The subject of this research is very topical because, in several regions of the world, pig farming has experienced an increase in the extensiveness of A. suum infection, which is associated, among other things, with the use of manure or slurry as fertilizer. In Norway, an increase in the extensiveness of A. suum infection in pigs has been associated with increased humidity in washing pens and mechanical egg transfer [15].
Previous results from studies of antagonistic interactions between entomopathogenic fungi and parasitic geohelminths [29,30,31,34,40,41] inspire an evaluation of the potential capabilities of fungi in the bioregulation of invasive stages of parasites, such as the nematode A. suum.
This study showed varying degrees of inhibitory effects of the tested entomopathogenic fungi on the embryonic development of A. suum. Observation of the entire embryogenesis of A. suum in contact with the fungi indicates that the potential for the antagonistic effect of most of the tested strains manifested mainly in the first 14 days of incubation, while at the end of the experiment it persisted only in I. fumosorosea. An exponent of the nematostatic effect of I. fumosorosea was a lower percentage of A. suum larvae on the 7th, 14th, and 28th days of incubation and a higher percentage of eggs at the zygotic stage on the 7th and 28th days of incubation, compared to the control (p < 0.05). The mechanism of this inhibitory effect may have different sources. Many authors point to the importance of the enzymatic activity of entomopathogens in causing zoomycosis [28,55,56], and anthropomycosis [57]. The results of the studies conducted also suggest that fungal enzymes may play a major role in the inhibition of A. suum embryogenesis.
In fact, it was found in the most inhibitory strain of A. suum—strain I. fumosorosea, which is associated with the highest number of enzymes detected in the API-ZYM assay (13 enzymes out of 19) and their highest activity, compared to the other fungal strains (Table 1). The most important of these enzymes are probably the peptidases (cysteine and valine arylamidase), whose activity is characterized by I. fumosorosea. This is confirmed by studies linking the virulence of entomopathogenic fungi to the production of the mentioned enzymes [58]. In the first phase of insect cuticle degradation, other proteases Pr1 (subtilisin-like peptidase) and Pr2 (trypsin-like peptidase) are also active [25,59]. Their presence has been demonstrated in B. bassiana [60,61,62], M. anisopliae [26], and I. fumosorosea [63]. Our results confirm trypsin activity only for I. fumosorosea, which seems to warrant a key role for this peptidase in the process of cuticle penetration. However, this does not exclude the involvement of other enzymes in the overall proteolytic activity of fungi [44].
Another group of enzymes important for the pathogenicity of entomopathogenic fungi are lipases and esterases. Their action in the insect epicuticula enables both the hydrolysis of lipoproteins and lipids and the adhesion of fungal spores [29]. In addition, these enzymes also affect changes in the permeability of biological membranes. In our study, all strains tested showed the highest activity of acid phosphatase and naphthol-AS-BI phosphohydrolase (concentrations above 40 nmol). As in the case of proteolytic activity, the strain I. fumosorosea stood out among those tested, both in the number and degree of lipase and esterase activity, as confirmed by Ali et al. [63]
Individual enzymes from the group of these hydrolases are also produced by B. bassiana, C. coronatus, and M. robertsii (Table 1), which is also confirmed by the studies of other authors [26,29,59,64]. Not all enzymatic activity results are so clear, which may indicate differences in strain activity. This suggestion is supported by the study of Bridge et al. [65], who tested 22 strains of M. anisopliae and found that each strain had its own unique enzymatic profile. In their study, M. robertsii produced only six enzymes with moderate to high hydrolytic capacity (above 20 and 40 nmol) (Table 1). This enzymatic activity, combined with the highest degree of cytotoxicity among the fungi tested, may have been responsible for the intensity of the antagonistic effect, which translated into the inhibition of embryogenesis of A. suum. Thus, in further studies, it would be advisable to identify specific toxic compounds produced by entomopathogenic fungi, since the MTT assay is quantitative and not qualitative.
5. Conclusions
The conducted study indicates that none of the fungal strains tested have nematocidal activity against A. suum eggs and do not meet the criteria required for their use in bioregulation of the parasite’s dispersal stages. However, among the strains tested, the I. fumosorosea and M. robertsii strains stood out, combining the highest metabolic activity with nematostatic activity against A. suum. In the perspective of further research, it is necessary to take into account the method of raising pigs (organic farms vs. traditional farms) because of the possibility of a potential effect of the host diet (i.e., the presence of different types of herbs in the feed) on the embryogenesis of A. suum.
Author Contributions
Conceptualization, L.K.; methodology, L.K. and K.M.-Z.; formal analysis, L.K., K.M.-Z., B.P. and E.K.; writing—original draft preparation, L.K., K.M.-Z., B.P. and E.K.; writing—review and editing, L.K., K.M.-Z., B.P. and Ł.Ł.; investigation, L.K., K.M.-Z., Ł.Ł., C.T., M.T., J.G. and E.D. All authors have read and agreed to the published version of the manuscript.
Funding
This study was conducted and financed as part of statutory activities of Department of Biology and Medical Parasitology, Pomeranian Medical University in Szczecin, Poland. This work was supported by the Polish Minister of Education and Science under the program “Regional Initiative of Excellence” in 2019–2022 (Grant No. 008/RID/2018/19).
Institutional Review Board Statement
The Ascaris suum roundworms were obtained from the intestine of pigs that are routinely slaughtered (for consumption) in the slaughterhouse process line. Pigs, the hosts of A. suum, were not slaughtered specifically to obtain test material. The roundworms were obtained after receiving information from the butchery (slaughterhouse) that parasites are present in the intestines of already-dead animals, which disqualify these parts of the animals for further technological use. This is regulated by the Act of 15 January 2015 “on the protection of animals used for scientific or educational purposes” (https://orka.sejm.gov.pl/proc7.nsf/ustawy/2709_u.htm (accessed on 19 October 2023)).
Informed Consent Statement
Not applicable.
Data Availability Statement
Data are contained within the article.
Acknowledgments
The authors would like to thank Sylwia Różalska for microscopic photos.
Conflicts of Interest
The authors declare no conflict of interest.
References
- Lindgren, K.; Gunnarsson, S.; Höglund, J.; Lindahl, C.; Roepstorff, A. Nematode parasite eggs in pasture soils and pigs on organic farms in Sweden. Org. Agric. 2020, 10, 289–300. [Google Scholar] [CrossRef]
- Zdybel, J.; Karamon, J.; Dąbrowska, J.; Różycki, M.; Bilska-Zając, E.; Kłapeć, T.; Cencek, T. Parasitological contamination with eggs Ascaris spp., Trichuris spp. and Toxocara spp. of dehydrated municipal sewage sludge in Poland. Environ. Pollut. 2019, 248, 621–626. [Google Scholar] [CrossRef] [PubMed]
- Miller, L.A.; Colby, K.; Manning, S.E.; Hoenig, D.; McEvoy, E.; Montgomery, S.; Mathison, B.; de Almeida, M.; Bishop, H.; Dasilva, A.; et al. Ascariasis in humans and pigs on small-scale farms, Maine, USA, 2010–2013. Emerg. Infect. Dis. 2015, 21, 332–334. [Google Scholar] [CrossRef] [PubMed]
- WHO. Integrated Guide to Sanitary Parasitology; Regional Office for the Eastern Mediterranean Regional Centre for Environmental Health Activities Amman: Amman, Jordan, 2004; ISBN 92-9021-386-8. [Google Scholar]
- Amin, O.M. Pathogenic micro-organisms and helminths in sewage products, Arabian Gulf, country of Bahrain. Am. J. Public Health 1988, 78, 314–315. [Google Scholar] [CrossRef] [PubMed]
- Brownell, S.A.; Nelson, K.L. Inactivation of single-celled Ascaris suum eggs by low-pressure UV radiation. Appl. Environ. Microbiol. 2006, 72, 2178–2184. [Google Scholar] [CrossRef]
- Nosal, P. Prevention and applied methods of worm control in pigs. Przegl. Hod. 1996, 2, 11–13. [Google Scholar]
- Knecht, D.; Popiołek, M.; Zaleśny, G. Does meatiness of pigs depend on the level of gastro-intestinal parasites infection? Prev. Vet. Med. 2011, 99, 234–239. [Google Scholar] [CrossRef]
- Dadas, S.; Mishra, S.K.; Jawalagatti, V.; Gupta, S.; Gudewar, J.; Scholar, M.D. Prevalence of Gastro-Intestinal Parasites in Pigs (Sus scrofa) of Mumbai Region. Int. J. Sci. Environ. Technol. 2016, 5, 822–826. [Google Scholar]
- Katakam, K.K.; Thamsborg, S.M.; Dalsgaard, A.; Kyvsgaard, N.C.; Mejer, H. Environmental contamination and transmission of Ascaris suum in Danish organic pig farms. Parasit. Vectors 2016, 9, 80. [Google Scholar] [CrossRef]
- Nwafor, I.C.; Roberts, H.; Fourie, P. Prevalence of gastrointestinal helminths and parasites in smallholder pigs reared in the central Free State Province. Onderstepoort J. Vet. Res. 2019, 86, e1–e8. [Google Scholar] [CrossRef]
- Knecht, D.; Jankowska, A.; Zaleśny, G. The impact of gastrointestinal parasites infection on slaughter efficiency in pigs. Vet. Parasitol. 2012, 184, 291–297. [Google Scholar] [CrossRef] [PubMed]
- Tomass, Z.; Imam, E.; Kifleyohannes, T.; Tekle, Y.; Weldu, K. Prevalence of gastrointestinal parasites and Cryptosporidium species in extensively managed pigs in Mekelle and urban areas of southern zone of Tigray region, northern Ethiopia. Vet. World 2013, 6, 433–439. [Google Scholar] [CrossRef]
- Nejsum, P.; Betson, M.; Bendall, R.P.; Thamsborg, S.M.; Stothard, J.R. Assessing the zoonotic potential of Ascaris suum and Trichuris suis: Looking to the future from an analysis of the past. J. Helminthol. 2012, 86, 148–155. [Google Scholar] [CrossRef] [PubMed]
- Roepstorff, A.; Nansen, P. Epidemiology and control of helminth infections in pigs under intensive and non-intensive production systems. Vet. Parasitol. 1994, 54, 69–85. [Google Scholar] [CrossRef]
- Nejsum, P.; Parker, E.D.J.; Frydenberg, J.; Roepstorff, A.; Boes, J.; Haque, R.; Astrup, I.; Prag, J.; Skov Sørensen, U.B. Ascariasis is a zoonosis in Denmark. J. Clin. Microbiol. 2005, 43, 1142–1148. [Google Scholar] [CrossRef]
- Peng, W.; Criscione, C.D. Ascariasis in people and pigs: New inferences from DNA analysis of worm populations. Infect. Genet. Evol. J. Mol. Epidemiol. Evol. Genet. Infect. Dis. 2012, 12, 227–235. [Google Scholar] [CrossRef]
- Stewart, T.B. Economics of endoparasitism in pigs. Pig News Inf. 2001, 22, 29–30. [Google Scholar]
- Monteiro, K.J.L.; Calegar, D.A.; Santos, J.P.; Bacelar, P.A.A.; Coronato-Nunes, B.; Reis, E.R.C.; Boia, M.N.; Carvalho-Costa, F.A.; Jaeger, L.H. Genetic diversity of Ascaris spp. infecting humans and pigs in distinct Brazilian regions, as revealed by mitochondrial DNA. PLoS ONE 2019, 14, e0218867. [Google Scholar] [CrossRef]
- Leles, D.; Gardner, S.L.; Reinhard, K.; Iñiguez, A.; Araujo, A. Are Ascaris lumbricoides and Ascaris suum a single species? Parasit. Vectors 2012, 5, 42. [Google Scholar] [CrossRef]
- da Silva Alves, E.B.; Conceição, M.J.; Leles, D. Ascaris lumbricoides, Ascaris suum, or “Ascaris lumbrisuum”? J. Infect. Dis. 2016, 213, 1355. [Google Scholar]
- Søe, M.J.; Kapel, C.M.O.; Nejsum, P. Ascaris from Humans and Pigs Appear to Be Reproductively Isolated Species. PLoS Negl. Trop. Dis. 2016, 10, e0004855. [Google Scholar] [CrossRef] [PubMed]
- Papajová, I.; Szabová, E.; Juriš, P.; Oláhová, K. Asanation of the environment contaminated with enteronematode eggs. Folia Vet. 2005, 49, 40–42. [Google Scholar]
- Garcia-Bustos, J.F.; Sleebs, B.E.; Gasser, R.B. An appraisal of natural products active against parasitic nematodes of animals. Parasit. Vectors 2019, 12, 306. [Google Scholar] [CrossRef]
- Mustafa, U.; Kaur, G. Extracellular enzyme production in Metarhizium anisopliae isolates. Folia Microbiol. 2009, 54, 499–504. [Google Scholar] [CrossRef]
- Schrank, A.; Vainstein, M.H. Metarhizium anisopliae enzymes and toxins. Toxicon 2010, 56, 1267–1274. [Google Scholar] [CrossRef] [PubMed]
- Wieloch, W. Toxic metabolites produced by the parasitic fungus Conidiobolus coronatus. Wiad. Parasitol. 2007, 53, 355–357. [Google Scholar]
- Sánchez-Pérez, L.; Barranco-Florido, J.; Rodríguez-Navarro, S.; Cervantes-Mayagoitia, J.; Ramos-López, M. Enzymes of entomopathogenic fungi, advances and insights. Adv. Enzym. Res. 2014, 2, 65–76. [Google Scholar] [CrossRef]
- Silva, A.R.; Araújo, J.V.; Braga, F.R.; Alves, C.D.F.; Frassy, L.N. In vitro ovicidal activity of the nematophagous fungi Duddingtonia flagrans, Monacrosporium thaumasium and Pochonia chlamydosporia on Trichuris vulpis eggs. Vet. Parasitol. 2010, 172, 76–79. [Google Scholar] [CrossRef]
- Braga, F.R.; Ferreira, S.R.; Araújo, J.V.; Araujo, J.M.; Silva, A.R.; Carvalho, R.O.; Campos, A.K.; Freitas, L.G. Predatory activity of Pochonia chlamydosporia fungus on Toxocara (syn. Neoascaris) vitulorum eggs. Trop. Anim. Health Prod. 2010, 42, 309–314. [Google Scholar] [CrossRef]
- Araújo, J.V.; Braga, F.R.; Silva, A.R.; Araujo, J.M.; Tavela, A.O. In vitro evaluation of the effect of the nematophagous fungi Duddingtonia flagrans, Monacrosporium sinense, and Pochonia chlamydosporia on Ascaris suum eggs. Parasitol. Res. 2008, 102, 787–790. [Google Scholar] [CrossRef]
- Araújo, J.M.; Araújo, J.V.; Braga, F.R.; Carvalho, R.O.; Silva, A.R.; Campos, A.K. Interaction and ovicidal activity of nematophagous fungus Pochonia chlamydosporia on Taenia saginata eggs. Exp. Parasitol. 2009, 121, 338–341. [Google Scholar] [CrossRef] [PubMed]
- Braga, F.R.; Araújo, J.V.; Campos, A.K.; Silva, A.R.; Araújo, J.M.; Carvalho, R.O.; Corrĕa, D.N.; Pereira, C.A.J. In vitro evaluation of the effect of the nematophagous fungi Duddingtonia fragrans, Manacrosporium sinense and Pochonia chlamydo-sporia on Schistosoma mansoni eggs. World J. Microbiol. Biotechnol. 2008, 24, 2713–2716. [Google Scholar] [CrossRef]
- Braga, F.R.; Araújo, J.V.; Campos, A.K.; Araújo, J.M.; Carvalho, R.O.; Silva, A.R.; Tavela, A.O. In vitro evaluation on the action of the nematophagous fungi Duddingtonia fragrans, Manacrosporium sinense and Pochonia chlamydosporia on Fasciola hepatica eggs. World J. Microbiol. Biotechnol. 2008, 24, 1559–1564. [Google Scholar] [CrossRef]
- Blaszkowska, J.; Kurnatowski, P.; Wojcik, A.; Goralska, K.; Szwabe, K. In vitro evaluation of the ovistatic and ovicidal effect of the cosmopolitan filamentous fungi isolated from soil on Ascaris suum eggs. Vet. Parasitol. 2014, 199, 165–171. [Google Scholar] [CrossRef]
- Jaborowska, M. Limitation in the population of parasitic geohelminths by saprotrophic soil fungi and their secretions. Ann. Acad. Med. Stetin. 2006, 52, 37–46. [Google Scholar]
- Jaborowska, M.; Kuźna-Grygiel, W.; Mazurkiewicz-Zapałowicz, K.; Kołodziejczyk, L. Comparative sudies on the antagonistic effects of mould fungi on the embryogenesis of Ascaris suum. Adv. Agric. Sci. 2006, 10, 45–49. [Google Scholar]
- Basualdo, J.A.; Ciarmela, M.L.; Sarmiento, P.L.; Minvielle, M.C. Biological activity of Paecilomyces genus against Toxocara canis eggs. Parasitol. Res. 2000, 86, 854–859. [Google Scholar] [CrossRef]
- Ciarmela, M.L.; Minvielle, M.C.; Lori, G.; Basualdo, J.A. Biological interaction between soil fungi and Toxocara canis eggs. Vet. Parasitol. 2002, 103, 251–257. [Google Scholar] [CrossRef]
- Lýsek, H.; Krajcí, D. Penetration of ovicidal fungus Verticillium chlamydosporium through the Ascaris lumbricoides egg-shells. Folia Parasitol. 1987, 34, 57–60. [Google Scholar]
- Lýsek, H.; Stĕrba, J. Colonization of Ascaris lumbricoides eggs by the fungus Verticillium chlamydosporium Goddard. Folia Parasitol. 1991, 38, 255–259. [Google Scholar]
- Zimmermann, G. The ‘Galleria bait method’ for detection of entomopathogenic fungi in soil. J. Appl. Entomol. 1986, 102, 213–215. [Google Scholar] [CrossRef]
- Strasser, H.; Forer, A.; Schinner, F. Development of media for the selective isolation and maintenance of viruIence of Beauveria brongniartii. In Proceedings of the 3rd International Workshop on Microbial Control of Soil Dwerling Pests, Lincoln, New Zealand, 21–23 February 1996. [Google Scholar]
- Kołodziejczyk, L.; Mazurkiewicz-Zapałowicz, K.; Janda, K.; Dzika, E. The effect of saprotrophic fungi on the development and hatching of Fasciola hepatica eggs. Folia Biol. 2014, 62, 149–154. [Google Scholar] [CrossRef] [PubMed]
- Kołodziejczyk, L.; Mazurkiewicz-Zapałowicz, K.; Twaruzek, M.; Grajewski, J.; Łopusiewicz, Ł.; Rybińska, A.; Dzika, E.; Pilarczyk, B. The ovistatic effect of saprotrophic soil fungi on Ascaris suum eggs. Folia Biol. 2019, 67, 109–118. [Google Scholar] [CrossRef]
- Blaszkowska, J.; Wojcik, A.; Kurnatowski, P.; Szwabe, K. Biological interactions between soil saprotrophic fungi and Ascaris suum eggs. Vet. Parasitol. 2013, 196, 401–408. [Google Scholar] [CrossRef] [PubMed]
- Araújo, J.V.; Santos, M.A.; Ferraz, S. Ovicidal effect of nematophagous fungi on embryonate eggs of Toxocara canis. Arq. Bras. Med. Vet. Zootec. 1995, 47, 37–42. (In Portuguese) [Google Scholar]
- Hanelt, M.; Gareis, M.; Kollarczik, B. Cytotoxicity of mycotoxins evaluated by the MTT-cell culture assay. Mycopathologia 1994, 128, 167–174. [Google Scholar] [CrossRef]
- Masamha, B.; Gadzirayi, C.T.; Mukutirwa, I. Efficacy of Allium sativum (garlic) in controlling nematode parasites in sheep. Int. J. Appl. Res. Vet. Med. 2010, 8, 161–169. [Google Scholar]
- Burke, J.M.; Wells, A.; Casey, P.; Miller, J.E. Garlic and papaya lack control over gastrointestinal nematodes in goats and lambs. Vet. Parasitol. 2009, 159, 171–174. [Google Scholar] [CrossRef]
- El Shenawy, N.S.; Soliman, M.F.M.; Reyad, S.I. The effect of antioxidant properties of aqueous garlic extract and Nigella sativa as anti-schistosomiasis agents in mice. Rev. Inst. Med. Trop. Sao Paulo 2008, 50, 29–36. [Google Scholar] [CrossRef]
- Costa, C.T.C.; Bevilaqua, C.M.L.; Camurça-Vasconcelos, A.L.F.; Maciel, M.V.; Morais, S.M.; Castro, C.M.S.; Braga, R.R.; Oliveira, L.M.B. In vitro ovicidal and larvicidal activity of Azadirachta indica extracts on Haemonchus contortus. Small Rumin. Res. 2008, 74, 284–287. [Google Scholar] [CrossRef]
- Feitosa, T.F.; Vilela, V.L.R.; Athayde, A.C.R.; Braga, F.R.; Dantas, E.S.; Vieira, V.D.; de Melo, L.R.B. Anthelmintic efficacy of pumpkin seed (Cucurbita pepo Linnaeus, 1753) on ostrich gastrointestinal nematodes in a semiarid region of Paraíba State, Brazil. Trop. Anim. Health Prod. 2013, 45, 123–127. [Google Scholar] [CrossRef] [PubMed]
- Giarratana, F.; Muscolino, D.; Beninati, C.; Giuffrida, A.; Panebianco, A. Activity of Thymus vulgaris essential oil against Anisakis larvae. Exp. Parasitol. 2014, 142, 7–10. [Google Scholar] [CrossRef] [PubMed]
- Khan, S.; Nadir, S.; Lihua, G.; Xu, J.; Holmes, K.A.; Dewen, Q. Identification and characterization of an insect toxin protein, Bb70p, from the entomopathogenic fungus, Beauveria bassiana, using Galleria mellonella as a model system. J. Invertebr. Pathol. 2016, 133, 87–94. [Google Scholar] [CrossRef] [PubMed]
- Yang, J.; Huang, X.; Tian, B.; Sun, H.; Duan, J.; Wu, W.; Zhang, K. Characterization of an extracellular serine protease gene from the nematophagous fungus Lecanicillium psalliotae. Biotechnol. Lett. 2005, 27, 1329–1334. [Google Scholar] [CrossRef]
- Fromentin, H. Enzymatic characterization with the API ZYM system of entomophthorales potentially pathogenic to man. Curr. Microbiol. 1982, 7, 315–318. [Google Scholar] [CrossRef]
- Castellanos-Moguel, J.; González-Barajas, M.; Mier, T.; Reyes-Montes, M.D.R.; Aranda, E.; Toriello, C. Virulence testing and extracellular subtilisin-like (Pr1) and trypsin-like (Pr2) activity during propagule production of Paecilomyces fumosoroseus isolates from whiteflies (Homoptera: Aleyrodidae). Rev. Iberoam. Micol. 2007, 24, 62–68. [Google Scholar] [CrossRef]
- Mishra, S.; Kumar, P.; Malik, A. Effect of process parameters on the enzyme activity of a novel Beauveria bassiana isolate. Int. J. Curr. Microbiol. App. Sci. 2013, 2, 49–56. [Google Scholar]
- Kaur, G.; Padmaja, V. Relationships among activities of extracellular enzyme production and virulence against Helicoverpa armigera in Beauveria bassiana. J. Basic Microbiol. 2009, 49, 264–274. [Google Scholar] [CrossRef]
- Fernandes, E.G.; Valério, H.M.; Feltrin, T.; Van Der Sand, S.T. Variability in the production of extracellular enzymes by entomopathogenic fungi grown on different substrates. Braz. J. Microbiol. 2012, 43, 827–833. [Google Scholar] [CrossRef]
- Fernandes, E.K.K.; Moraes, A.M.L.; Pacheco, R.S.; Rangel, D.E.N.; Miller, M.P.; Bittencourt, V.R.E.P.; Roberts, D.W. Genetic diversity among Brazilian isolates of Beauveria bassiana: Comparisons with non-Brazilian isolates and other Beauveria species. J. Appl. Microbiol. 2009, 107, 760–774. [Google Scholar] [CrossRef]
- Ali, S.; Huang, Z.; Ren, S. Production of cuticle degrading enzymes by Isaria fumosorosea and their evaluation as a biocontrol agent against diamondback moth. J. Pest Sci. 2010, 83, 361–370. [Google Scholar] [CrossRef]
- Włóka, E. Characterization of proteo-, chitino- and lipolytic enzymes of parasitic fungus Conidiobolus coronatus. Wiad. Parazytol. 2010, 56, 83–85. [Google Scholar] [PubMed]
- Bridge, P.D.; Williams, M.A.J.; Prior, C.; Paterson, R.R.M. Morphological, biochemical and molecular characteristics of Metarhizium anisopliae and M. flavoviride. J. Gen. Microbiol. 1993, 139, 1163–1169. [Google Scholar] [CrossRef]
Disclaimer/Publisher’s Note: The statements, opinions and data contained in all publications are solely those of the individual author(s) and contributor(s) and not of MDPI and/or the editor(s). MDPI and/or the editor(s) disclaim responsibility for any injury to people or property resulting from any ideas, methods, instructions or products referred to in the content. |
© 2023 by the authors. Licensee MDPI, Basel, Switzerland. This article is an open access article distributed under the terms and conditions of the Creative Commons Attribution (CC BY) license (https://creativecommons.org/licenses/by/4.0/).



