Simple Summary
Forest musk deer (Moschus berezovskii) and alpine musk deer (Moschus chrysogaster), both classified as China’s National Grade I Protected Wildlife, coexist in the southeastern mountainous regions of the Qinghai–Tibet Plateau. Alpine musk deer were once thought to occupy higher-elevation shrubland and meadow habitats to reduce competition with forest musk deer. Nevertheless, a decade of camera-trapping data from Gongga Mountain National Nature Reserve, where the forest line extends up to 3830 m ASL, reveals that both species occupy overlapping high-altitude habitats (2870–4572 m ASL) without evidence of spatial segregation. Crucially, they avoid conflict through temporal partitioning: forest musk deer are primarily nocturnal, while alpine musk deer are mainly diurnal, with both showing seasonal activity adjustments. This “time-sharing” strategy enables stable coexistence. Our findings demonstrate that conservation strategies must account for species-specific adaptations to local geography and climate.
 Abstract
Elucidating the spatiotemporal distribution patterns of closely related sympatric species is essential for understanding niche partitioning dynamics. The forest musk deer (Moschus berezovskii) and alpine musk deer (Moschus chrysogaster) extensively co-occur across the southeastern Qinghai–Tibet Plateau, yet their coexistence mechanisms remain unclear. Based on a decade-long dataset (2012–2021) collected from 493 infrared cameras deployed in Gongga Mountain National Nature Reserve, this study integrated MaxEnt modeling, kernel density estimation, and niche overlap analysis to investigate their spatiotemporal distribution patterns. Spatially, the two species exhibited strong geographic consistency and similar ecological preferences for climate and vegetation factors. Both species shared an elevational range (2870–4572 m ASL) with no clear segregation, likely due to climate-driven forest line shifts. In contrast, temporal partitioning was pronounced: M. berezovskii was mostly nocturnal, while M. chrysogaster was primarily diurnal, with both showing seasonal activity adjustments. These findings highlight temporal niche differentiation as a key coexistence strategy and emphasize the necessity of incorporating geographic variation in habitat adaptation into conservation frameworks.
 1. Introduction
Understanding how ecologically similar sympatric species achieve stable coexistence remains one of the main goals in community ecology []. According to theoretical frameworks, coexistence requires differentiation along at least one niche axis (spatial, temporal, or trophic) to reduce interspecific competition []. Ungulates, as key ecosystem engineers, significantly influence forest and grassland dynamics through grazing, trampling, and seed dispersal [,]. However, research on niche partitioning and coexistence mechanisms among sympatric ungulates has predominantly focused on large- and medium-sized species, leaving the ecological strategies of smaller and often more vulnerable taxa comparatively unexplored.
The forest musk deer (Moschus. berezovskii Flerov, 1929) and alpine musk deer (M. chrysogaster Hodgson, 1839) (Artiodactyla: Moschidae) are solitary, forest-dependent ungulates, both designated as Class I nationally protected species in China. Moschus berezovskii currently maintains a fragmented distribution across western Sichuan, southern Shaanxi, and eastern Tibet [,], while M. chrysogaster, a high-altitude specialist shaped by the uplift of the Qinghai–Tibet Plateau, is restricted to alpine and subalpine habitats within and around the plateau []. Musk deer populations have experienced catastrophic declines under sustained poaching pressure, driven by the commercial demand for musk in perfume production and traditional medicine. A national survey in 2003 indicated that musk deer populations in China had declined to only 2–3% of their levels in the 1950s, with the M. berezovskii numbering about 100,000–200,000 individuals in the wild and the M. chrysogaster about 100,000 [,], emphasizing the need for ecological studies to inform conservation strategies.
The southeastern Qinghai–Tibet Plateau forms a key sympatric region for the endangered forest musk deer and alpine musk deer. Although previous studies have identified their individual habitat preferences [,,,], the extent to which spatiotemporal niche partitioning mediates their coexistence remains largely unresolved within this biodiversity-rich region. Gongga Mountain National Nature Reserve (29°20′–30°20′ N, 101°30′–102°15′ E), situated within the ecologically complex Hengduan Mountains, provides a rare context for examining sympatric interactions between these species under protected conditions. Based on ecological niche theory, we formulated two complementary hypotheses regarding the coexistence of Moschus berezovskii and M. chrysogaster. H1 (Spatial niche hypothesis): the two species exhibit substantial spatial overlap in distribution but differ in microhabitat selection as a mechanism facilitating coexistence. H2 (Temporal niche hypothesis): given the high degree of spatial niche overlap, temporal niche partitioning serves as the primary coexistence mechanism, with the two species displaying distinct diel activity patterns.
2. Materials and Methods
2.1. Study Area
Gongga Mountain National Nature Reserve (101°29′–102°12′ E and 29°01′–30°05′ N) is located in the central segment of the Daxue Mountains, part of the Hengduan Mountain system on the southeastern margin of the Qinghai–Tibet Plateau. Recognized as a national biodiversity conservation priority area (http://www.mee.gov.cn) and a core region within a global biodiversity hotspot (https://www.conservation.org), the reserve covers a total area of 4091.4 km2, with its main peak reaching an elevation of 7508.9 m ASL. Conservation targets focus on preserving montane forest ecosystems centered around Gongga Mountain, protecting low-altitude modern glaciers, and safeguarding rare and endangered wildlife and plant species (Master Plan for Sichuan Gongga Mountain National Nature Reserve, 2019–2030). The reserve features a temperate plateau climate, structured into seven distinct climatic zones along its altitudinal gradient: subtropical, warm-temperate, cold-temperate, subarctic, arctic, frigid, and perpetual snow zones. Mt. Gongga’s vegetation changes sharply with altitude, ranging from degraded lowland shrub–grass, agroforestry, and broadleaf forests below 2000 m ASL, through a series of mixed broadleaf and coniferous forests, shrub–grass belts, and meadows between 2000 and 4900 m ASL, to permafrost above 4900 m ASL []. Unexpectedly, the unique climatic conditions of Gongga Mountain have caused its tree line to reach an altitude of 3830 m ASL []. The resulting environmental heterogeneity supports a wide range of ecosystem types, providing critical habitats for diverse wildlife assemblages. Mt. Gongga hosts numerous carnivores, including Catopuma temminckii, Felis bieti, Otocolobus manul, Prionailurus bengalensis, Panthera pardus, Panthera uncia, Paguma larvata, Canis lupus, Vulpes vulpes, and Martes flavigula. In addition to M. berezovskii and M. chrysogaster, the area also supports several other ungulate species that may compete for resources, such as Rusa unicolor, Elaphodus cephalophus, Muntiacus vaginalis, Budorcas taxicolor, Capricornis milneedwardsii, Naemorhedus griseus, and Pseudois nayaur [].
2.2. Species Data Source and Processing
From 2012 to 2021, a systematic camera-trapping survey was implemented across Gongga Mountain National Nature Reserve and adjacent areas, resulting in 493 independent camera deployment sites. The survey accumulated a total of 102,879 camera-trap days, providing extensive spatial and temporal coverage for wildlife monitoring.
Camera sites were strategically selected to ensure representative habitat coverage, accounting for (1) habitat type distribution, (2) wildlife occurrence probability, and (3) field accessibility. Historical survey records from the reserve were integrated to prioritize areas with evidence of high wildlife activity, including game trails and scat presence. Cameras were deployed without bait near natural wildlife trails and water sources, and minor vegetation trimming was conducted where necessary to optimize detection probability while preserving animal movement corridors. All units operated continuously with photo-plus-video settings (three still images and a 15–20 s video per trigger event), set at medium to high sensitivity and maximum resolution (typically 2560 × 1920 pixels). This setting was adopted to maximize the amount of wildlife information collected while balancing the constraints of limited memory capacity.
To minimize spatial autocorrelation and reduce overfitting in subsequent modeling, spatial filtering was applied based on an estimated annual home range of approximately 0.3 km2 for both species []. Using ArcGIS 10.7, a 300 m radius buffer (0.28 km2) was generated around each detection point. When multiple conspecific records occurred within the same buffer zone, one record was randomly selected to represent that area. Following spatial thinning, 32 forest musk deer and 31 alpine musk deer records were retained for subsequent habitat suitability analysis (Figure 1).
 
      
    
    Figure 1.
      Occurrence locations of Moschus berezovskii and Moschus chrysogaster in Gongga Mountain National Nature Reserve.
  
2.3. Environmental Data Source and Processing
Ungulate habitat selection is largely shaped by environmental variables, particularly climate, topography, vegetation structure, and proximity to water sources [,,]. In addition, shifts in human land-use practices have increasingly introduced anthropogenic disturbance as a major determinant of wildlife distribution patterns []. Based on these considerations, 24 environmental variables were selected, representing five major categories (climate (19), topography (2), vegetation (2), water sources (1), and human disturbance (1)) as potential predictors of habitat suitability for M. berezovskii and M. chrysogaster. Since the 19 bioclimatic variables are all derived from temperature and precipitation using different algorithms, and to avoid the negative effects of multicollinearity on model predictions, they were pre-screened using the MaxEnt model and ENMTools 1.4. Only variables with a contribution rate greater than 1% and a correlation coefficient < |0.75| were retained []. Ultimately, four bioclimatic variables (mean diurnal range, temperature annual range, precipitation seasonality, and precipitation of the driest quarter) were selected for model construction (Table 1). Nine vegetation types were defined: agricultural land, aquatic area, broadleaf forest, coniferous forest, meadow, mixed coniferous–broadleaf forest, scree, shrubland, and woodland grassland.
 
       
    
    Table 1.
    Ten environmental variables in MaxEnt model prediction.
  
2.4. MaxEnt Modeling
Environmental predictors were assigned as categorical (e.g., vegetation type) or continuous variables according to their data structure. Model stability was evaluated through 10 bootstrap replicates, and logistic outputs were averaged across runs to generate final predictions []. Model performance was assessed using the area under the receiver operating characteristic curve (AUC), with values ranging from 0 to 1 []. Both M. berezovskii and M. chrysogaster models demonstrated robust predictive performance, with training and test AUC values exceeding 0.90 across replicates. The standard deviations (SD) were low (0.041 and 0.025, respectively), indicating high model reliability for habitat suitability estimation.
The balance training omission, predicted area, and threshold value (TPT) from the 10 MaxEnt replicates [] were applied in ArcGIS v10.7 to binarize habitat suitability outputs. Binary maps for each species were subsequently overlaid through arithmetic addition to identify suitable overlapping habitats.
Ecological niche overlap between M. berezovskii and M. chrysogaster was assessed using Hellinger’s I index (ranging from 0 to 1) implemented in ENMTools v1.4 [], with higher values indicating greater habitat similarity between species.
2.5. Kernel Density Estimation
Temporal activity patterns were assessed using 10 years (2012–2021) of infrared camera-trap data collected from Gongga Mountain National Nature Reserve. To minimize pseudo-replication, independent detection events were defined using a 30 min interval between consecutive records of the same species at the same site. After filtering, 103 valid detections of forest musk deer and 109 valid detections of alpine musk deer were retained for analysis (Figure 2). Temporal niche partitioning was examined within a seasonal framework specific to the climatic conditions of the reserve, classifying records into dry season (1 October–31 March) and wet season (1 April–30 September) [].
 
      
    
    Figure 2.
      Infrared camera photos of Moschus berezovskii and Moschus chrysogaster in Gongga Mountain National Nature Reserve.
  
Daily activity rhythms and temporal overlap between species were analyzed using kernel density estimation implemented in overlap packages in R v4.1.3 []. Temporal niche overlap was quantified by the coefficient of overlap (Dhat), ranging from 0 to 1, with higher values indicating greater overlap. Following sample size recommendations, Dhat1 was applied for comparisons involving fewer than 75 observations and Dhat4 for comparisons with 75 or more observations []. Activity pattern curves and overlap statistics were generated using the overlap and activity packages, allowing formal comparisons of diel activity and seasonal variation between the two species.
3. Results
3.1. Spatial Distribution Patterns
During the survey period, 493 infrared camera stations were deployed across Gongga Mountain National Nature Reserve. Results indicated that M. berezovskii was detected at 38 sites across an elevational range of 2723 to 4572 m ASL, with 428 photographic and 79 video captures, corresponding to 100 independent effective detection events. Furthermore, M. chrysogaster was recorded at 36 sites across an elevational range of 2870 to 4572 m ASL, yielding 344 photos and 103 videos, corresponding to 112 independent effective detection events. Co-occurrence was observed at 10 sites, all within the 2870–4572 m elevational range (Figure 1).
Species distribution modeling identified distinct habitat suitability thresholds (TPT = 0.039 for M. berezovskii, 0.0364 for M. chrysogaster), coupled with a high degree of ecological niche overlap (Hellinger’s I = 0.905), reflecting strong congruence in environmental requirements. Within the 4091.4 km2 reserve, suitable habitat was estimated to cover 1195.91 km2 (29.23% of the reserve) for M. berezovskii and 903.9 km2 (22.09% of the reserve) for M. chrysogaster, with an overlapping area of 779.62 km2 (19.10% of the reserve). This shared area is primarily distributed across southern low-elevation valleys, the central Zimei–Jiebei corridors, the northwestern Laoyulin Valley, and the southeastern Hailuo–Yanzi valleys. Beyond the shared regions, M. berezovskii occupied an additional 416.29 km2 of suitable habitat in peripheral areas (Figure 3).
 
      
    
    Figure 3.
      Overlap of suitable habitat for Moschus berezovskii and Moschus chrysogaster in Gongga Mountain National Nature Reserve.
  
3.2. Correlation Between Habitat Suitability and Environmental Variables
Analysis of environmental contributions within the MaxEnt framework revealed a consistent hierarchy of influence on habitat suitability for both species. Vegetation exerted the strongest influence, accounting for 37.5% of habitat suitability for forest musk deer and 35.6% for alpine musk deer. Climate ranked second, with contributions of 28% and 34.5%, respectively. Topography, anthropogenic disturbance, and water sources each contribute less than 25% to model performance for both species, suggesting comparatively minor roles in shaping habitat distribution (Table 2).
 
       
    
    Table 2.
    Contribution rate of environment variables for Moschus berezovskii and Moschus chrysogaster.
  
At the individual variable level, elevation (20.3%), vegetation type (19.8%), and net primary production (17.7%) emerged as primary determinants for forest musk deer habitat suitability, while net primary production (21%), mean diurnal temperature range (16.5%), distance to water source (15.2%), and vegetation type (14.6%) were identified as major predictors in the alpine musk deer (Table 2).
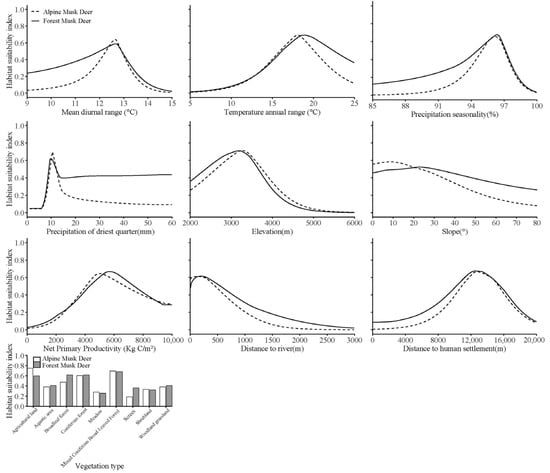
Both species exhibited remarkably similar ecological requirements, favoring environments characterized by a mean daily temperature range of 12–13 °C, elevations between 2500 and 3800 m, net primary productivity levels of 4000–6500 kg C/m2, a coefficient of variation in precipitation seasonality ranging from 95% to 97%, and dominance of coniferous or mixed conifer–broadleaf forests. The high degree of similarity in habitat preferences emphasizes their strong dependence on specific environmental conditions. Notably, examination of habitat suitability response curves indicated that M. berezovskii consistently occupied slightly broader or equivalent optimal ranges relative to M. chrysogaster, suggesting a narrower ecological tolerance and potentially higher sensitivity to habitat changes in M. chrysogaster (Figure 4).
 
      
    
    Figure 4.
      Response curves of habitat suitability for Moschus berezovskii and Moschus chrysogaster to environmental variables.
  
3.3. Temporal Distribution Patterns
At the annual scale, M. berezovskii and M. chrysogaster exhibited distinct diel activity patterns. Notably, M. berezovskii was predominantly nocturnal, with peak activity occurring between 18:00 and 02:00, and a secondary, smaller peak occurring between 05:30 and 07:30. In contrast, M. chrysogaster showed a bimodal activity pattern, with peaks between 08:00 and 10:00 and 19:00 and 21:00, and relatively lower nocturnal activity intensity (Figure 5).
 
      
    
    Figure 5.
      Daily activity patterns of Moschus berezovskii and Moschus chrysogaster across an annual time scale. Note: Overlap is represented by the shaded gray area.
  
Seasonal analysis revealed consistent but seasonally modulated activity patterns relative to annual trends (Figure 6). During the dry season, M. berezovskii retained its strong nocturnal preference, with primary peaks between 18:00 and 02:00, and a secondary peak at 05:00–07:30. Conversely, M. chrysogaster exhibited more complex dry season behavior, characterized by four distinct peaks between 02:00 and 04:00, 08:30 and 10:30, 11:30 and 13:30, and 18:30 and 20:30. In the wet season, M. berezovskii showed multiple activity intensity peaks, with a pronounced and extended peak occurring between 18:00 and 22:00, showing significantly higher nocturnal than diurnal activity. In contrast, M. chrysogaster presented two peaks, occurring between 07:30 and 09:30 and 19:00 and 22:00 in the wet season, with morning activity surpassing evening activity in both intensity and duration. Temporal niche overlap, quantified by Dhat1, was 0.764 in the dry season and 0.792 in the wet season, indicating substantial but incomplete overlap between the two species.
 
      
    
    Figure 6.
      Daily activity patterns of Moschus berezovskii and Moschus chrysogaster in dry (a) and wet seasons (b). Note: Overlap is represented by the shaded gray area.
  
4. Discussion
4.1. Spatial Ecological Niche
Among the three primary niche dimensions, habitat differentiation is regarded as the most fundamental and prevalent mechanism facilitating coexistence among closely related sympatric species [], forming the basis for subsequent temporal and trophic segregation. Accurate identification of suitable habitat distribution, therefore, remains essential for effective wildlife conservation and management []. In Gongga Mountain National Nature Reserve, M. berezovskii and M. chrysogaster were found to occupy 1195.91 km2 (29.23% of the reserve) and 903.9 km2 (22.09% of the reserve), respectively. Both species exhibited fragmented and patchy distribution patterns, with core habitats concentrated in southern, central-southern, southeastern, and northwestern sectors of the reserve. Notably, a substantial spatial overlap of 779.62 km2 was identified, accounting for 65.19% of the suitable habitat for M. berezovskii and 86.25% of the suitable habitat for M. chrysogaster. Comparative analyses demonstrated that M. berezovskii maintained a larger extent of non-overlapping suitable habitat relative to M. chrysogaster, suggesting a broader ecological amplitude along the habitat niche axis. Environmental determinants, including precipitation seasonality, vegetation type, and net primary productivity, were shared drivers of habitat selection for both species. However, response curve analyses indicated that M. berezovskii generally occupied broader or comparable optimal ranges for key environmental variables, supporting the inference of greater environmental adaptability.
Unexpectedly, no significant elevational segregation was detected between the two species within Gongga Mountain. Although alpine musk deer have traditionally been regarded as high-altitude specialists (Wu et al., 2006) and forest musk deer as occupying lower elevations [,], both species exhibited overlapping elevational distributions in this system. This pattern may reflect an upward shift in treeline driven by regional climate conditions, altering habitat availability across altitudinal gradients. A similar context-dependent pattern has been reported in North American cervids: sympatric mule deer and white-tailed deer exhibit clear spatial segregation in heterogeneous mountainous landscapes, yet show substantial overlap in homogeneous agricultural regions [,]. These findings highlight the importance of considering geographical variation in habitat adaptability when designing conservation strategies.
4.2. Temporal Ecological Niche
Both M. berezovskii and M. chrysogaster exhibited bimodal activity peaks across annual and seasonal timescales, consistent with the crepuscular activity patterns observed in many ungulate species [,]. Despite this shared framework, pronounced interspecific differences emerged in the timing and intensity of daily activity rhythms. The results indicated that M. chrysogaster displayed a strong diurnal bias, with daytime activity levels markedly exceeding nocturnal activity, a pattern consistent with observations from the Qilian Mountains [] and Upper Nujiang region []. In contrast, M. berezovskii exhibited a clear nocturnal profile within Gongga Mountain National Nature Reserve, with higher activity frequencies during nighttime hours, corroborating previous findings from Tangjiahe [] and Daxiangling reserves []. Evidence from other regions further suggests considerable flexibility in the temporal activity patterns of M. berezovskii. In Hupingshan National Nature Reserve, forest musk deer did not exhibit marked diurnal or nocturnal tendencies [], indicating that activity rhythms may vary in response to altitude, climatic conditions, and interspecific interactions. Similar patterns have been observed in other mammals, such as the serow and the Russian desman [,]. This behavioral flexibility results in a high degree of ecological plasticity and adaptive potential in response to varying environmental pressures.
Kernel density estimation further revealed moderate levels of temporal segregation between the two species. The annual diel activity overlap index was 0.792, with seasonal overlap indices of 0.764 in the dry season and 0.769 in the wet season. These relatively low overlap values suggest substantial temporal niche differentiation. Temporal partitioning likely represents a behavioral strategy to mitigate interspecific competition where spatial overlap is extensive, consistent with the hypothesis by Schoener (1974) that temporal niche differentiation can serve as a critical axis of competition among sympatric congeners [].
4.3. Coexistence Mechanisms
Classical ecological theory posits that closely related species occupying the same geographic area cannot maintain stable coexistence if they exhibit substantial overlap across all ecological niche dimensions []. MacArthur (1967) [] and subsequent studies emphasized that differentiation along at least one niche axis (spatial, temporal, or trophic) is essential to reduce interspecific competition and support long-term coexistence []. In the present study, M. berezovskii and M. chrysogaster exhibited a high degree of spatial niche overlap, particularly in elevational range and vegetation preferences, suggesting potential competition for similar environmental resources. According to the framework proposed by Kronfeld-Schor et al. (2003) [], such overlap is indicative of exploitative competition, where species indirectly compete through shared resource consumption rather than direct interference. However, despite substantial spatial overlap, pronounced temporal differentiation was observed, likely serving as a key mechanism facilitating coexistence. Infrared camera-trap data revealed that both species frequently occupied the same sites but exhibited distinct activity periods, supporting the notion that temporal segregation effectively mitigates direct competitive interactions. Similarly, a study in Fanjingshan National Nature Reserve, Guizhou Province, found that four sympatric ungulates (Elaphodus cephalophus, Rusa unicolor, Sus scrofa, Budorcas taxicolor) displayed significant differences in temporal activity patterns, with variations across diel periods, seasons, and reproductive stages, further underscoring the importance of temporal niche partitioning in maintaining their coexistence []. From a broader biogeographical perspective, M. berezovskii demonstrates wider distribution and higher ecological adaptability, inhabiting diverse environments from the Qinling Mountains and southwestern highlands to the hilly regions of eastern China. In contrast, M. chrysogaster is primarily restricted to high-elevation areas of the Qinghai–Tibet Plateau and peripheral regions, reflecting a narrower ecological niche breadth []. These differences suggest that M. berezovskii possesses greater ecological plasticity and behavioral flexibility, enabling stronger resilience to environmental variation and competitive pressures [].
Current population assessments indicate that both species maintain relatively low Relative Abundance Indices (RAI) within the Gongga Mountain National Nature Reserve [], suggesting that population densities are not sufficiently high to exert mutual suppressive effects. Consequently, interspecific competition likely remains at the level of exploitative interactions rather than direct interference []. The environment of Gongga Mountain, characterized by minimal anthropogenic disturbance, high vegetation complexity, and abundant food, further promotes coexistence by reducing competition intensity. Additionally, the generalist browsing behavior of both species, combined with dietary flexibility in response to seasonal changes and plant community dynamics [,], contributes to further alleviation of resource overlap. In summary, the combination of marked temporal niche segregation, moderate population densities, and access to resource-rich, structurally complex habitats provides a robust ecological basis for the stable coexistence of M. berezovskii and M. chrysogaster within the Gongga Mountain region.
It is important to note, however, that the coexistence of these species may also be influenced by local predators and other herbivores. Due to data constraints, this study did not examine such biotic interactions, which warrant further investigation in future research to fully elucidate the mechanisms underlying sympatric coexistence.
5. Conclusions
Previous studies have widely posited that altitudinal distribution differences constitute the primary coexistence mechanism for forest musk deer (Moschus berezovskii) and alpine musk deer (M. chrysogaster). However, our analysis of decade-long data (2012–2021) from 493 infrared cameras in Gongga Mountain National Nature Reserve demonstrates that within the tree line elevation zone (reaching 3830 m), the two species exhibit no significant divergence in altitudinal distribution range (2870–4572 m). Strikingly, temporal partitioning between the two species is profoundly pronounced: M. berezovskii displays predominantly nocturnal activity while M. chrysogaster follows a distinctly diurnal pattern. These findings collectively suggest that species coexistence strategies may dynamically adapt to rapid environmental shifts in climate and vegetation. Consequently, conservation frameworks must explicitly account for species-specific adaptations to local climatic and phytogeographical conditions.
Author Contributions
Conceptualization, N.Y., Y.J. and X.H.; Methodology, N.Y., Y.D. and M.L.; Software, Y.D., M.L. and X.H.; Writing—original draft preparation, N.Y. and X.H.; Funding acquisition, N.Y., Y.J. and X.H. All authors have read and agreed to the published version of the manuscript.
Funding
This research was supported by the National Science Foundation of China (32400403) and the Fundamental Research Funds for the Central Universities, Southwest Minzu University (ZYN2024094).
Institutional Review Board Statement
This study did not involve direct handling or experimentation on animals and was based solely on remotely collected camera-trap data. Therefore, formal approval from an Institutional Review Board or animal ethics committee was not required. All research activities complied with relevant national and local wildlife regulations.
Informed Consent Statement
Not applicable.
Data Availability Statement
The data presented in this study are available upon request from the corresponding author.
Acknowledgments
Thanks to the staff of Gongga Mountain Nature Reserve Administration for their support for this study.
Conflicts of Interest
The authors declare no conflicts of interest.
References
- Hutchinson, G.E. Homage to Santa-Rosalia of why are there so many kinds of animals. Am. Nat. 1959, 93, 145–159. [Google Scholar] [CrossRef]
- Schoener, T.W. Resource partitioning in ecological communities. Science 1974, 185, 27–39. [Google Scholar] [CrossRef] [PubMed]
- Namgail, T. Winter habitat partitioning between asiatic Ibex and blue sheep in Ladakh, Northern India. J. Mt. Ecol. 2006, 8, 7–13. [Google Scholar]
- Felton, A.M.; Hedwall, P.O.; Felton, A.; Wam, H.K. Forage availability, supplementary feed and ungulate density: Associations with ungulate damage in pine production forests. For. Ecol. Manag. 2022, 513, 120187. [Google Scholar] [CrossRef]
- Sheng, H.L.; Liu, Z.X. Chinese Musk Deer; Shanghai Science and Technology Press: Shanghai, China, 2007. (In Chinese) [Google Scholar]
- Liu, Z.X.; Sheng, H.L. A review of ecological research and protection sssues of musk deer in China. Chin. J. Zool. 2000, 3, 54–57. (In Chinese) [Google Scholar] [CrossRef]
- Yang, Q.S.; Meng, X.X.; Xia, L.; Feng, Z.J. Conservation status and causes of decline of musk deer (Moschus spp.) in China. Biol. Conserv. 2003, 109, 333–342. [Google Scholar] [CrossRef]
- Yao, G.; Wang, B.B.; Zhu, Y.; Wan, Q.H.; Fang, S.G. Low Population Density of the Endangered Forest Musk Deer, Moschus berezovskii, in China. Pak. J. Zool. 2015, 47, 325–333. [Google Scholar]
- Feng, H.; Wang, L.; Cao, F.; Ma, J.; Tang, J.; Feng, C.; Su, Z. Forest musk deer (Moschus berezovskii) in China: Research and protection. J. Vertebr. Biol. 2023, 72, 22067. [Google Scholar] [CrossRef]
- Wang, W.F.; Fu, X.; Sun, Y.M.; Gao, T.; Wang, X.H. Impacts of land use changes on habitat corridors for the wild forest musk deer at the northern Qinling Mountains, China. Reg. Environ. Change 2025, 25, 83. [Google Scholar] [CrossRef]
- Mi, S.H.; Zhao, C.; Sun, J.; Li, Z.Z.; Teng, L.W.; Liu, Z.S. Study on the habitat selection of alpine musk Deer in autumn. Sichuan J. Zool. 2021, 40, 169–175. (In Chinese) [Google Scholar]
- Shen, L.; Gao, H.; Wu, J.; Wang, G.; Liu, R.; Qi, J.; Zhang, X.; Zhang, A.; Chen, L.; Zhang, Y.; et al. Birth-site habitat selection of wild alpine musk deer (Moschus chrysogaster) in the northeastern qing-tibetan plateau of China. Biologia 2023, 78, 141–147. [Google Scholar] [CrossRef]
- Liu, Z.G.; Qiu, F.Y. The main vegetation types and their distribution in the Gongga Mountain region. Chin. J. Plant Ecol. 1986, 1, 26–34. (In Chinese) [Google Scholar]
- Li, P. Study of Physiological Characteristics of the Alpine Treeline Trees in Mt.Gongga. Master’s Thesis, Southwest University, Chongqing, China, 2008. (In Chinese). [Google Scholar]
- Qiao, J.; Jia, G.Q.; Zhou, H.M.; Gong, L.; Jiang, Y.; Xiao, N.W.; Gao, X.Q.; Wen, A.X.; Wang, J. Mammal and bird diversity recorded with camera traps in Gongga Mountain National Nature Reserve, Sichuan, China. Biodivers. Sci. 2022, 30, 116–123. (In Chinese) [Google Scholar] [CrossRef]
- Yang, Q.S.; Feng, Z.J.; Wang, Z.W.; Liu, W.L.; Li, X.C.; Silang, O.Z. Research on the territory of the apline musk deer in the southeastern Xizang. Acta Theriol. Sin. 1998, 2, 8–10+12–15. (In Chinese) [Google Scholar] [CrossRef]
- Wisdom, M.J.; Nielson, R.M.; Rowland, M.M.; Proffitt, K.M. Modeling Landscape Use for Ungulates: Forgotten Tenets of Ecology, Management, and Inference. Front. Ecol. Evol. 2020, 8, 211. [Google Scholar] [CrossRef]
- Bowyer, R.T.; Kie, J.G. Effects of scale on interpreting life-history characteristics of ungulates and carnivores. Divers. Distrib. 2006, 12, 244–257. [Google Scholar] [CrossRef]
- Liu, Y.C.; Wu, H.; Liu, S.H. Research Advances in Habitat Selection of Terrestrial Wildlife from Spatial Scales Perspective. J. Green Sci. Technol. 2015, 12, 5–8+13. (In Chinese) [Google Scholar]
- Shi, J.B.; Dunbar, R.; Buckland, D.; Miller, D. Daytime activity budgets of feral goats (Capra hircus) on the Isle of Rum: Influence of season, age, and sex. Can. J. Zool.-Rev. Can. De Zool. 2003, 81, 803–815. [Google Scholar] [CrossRef]
- Phillips, S.J.; Dudík, M. Modeling of species distributions with Maxent: New extensions and a comprehensive evaluation. Ecography 2008, 31, 161–1750. [Google Scholar] [CrossRef]
- Swets, J.A. Measuring the accuracy of diagnostic systems. Science 1988, 240, 1285–1293. [Google Scholar] [CrossRef]
- Liu, C.R.; White, M.; Newell, G. Selecting thresholds for the prediction of species occurrence with presence-only data. J. Biogeogr. 2013, 40, 778–789. [Google Scholar] [CrossRef]
- Warren, D.L.; Glor, R.E.; Turelli, M. ENMTools: A toolbox for comparative studies of environmental niche models. Ecography 2010, 33, 607–611. [Google Scholar] [CrossRef]
- You, Z.Y.; Lu, B.G.; Du, B.B.; Yang, N. Spatio-temporal viche of sympatric tufted deer (Elaphodus cephalophus) and sambar (Rusa unicolor) based on camera traps in the Gongga Mountain National Nature Reserve, China. Animals 2022, 12, 2694. [Google Scholar] [CrossRef] [PubMed]
- Meredith, M.; Ridout, M.; Campbell, L.A. overlap: Estimates of Coefficient of Overlapping for Animal Activity Patterns, R Package version 0.3.9.; The R Foundation: Vienna, Austria, 2024. [Google Scholar] [CrossRef]
- Ridout, M.S.; Linkie, M. Estimating overlap of daily activity patterns from camera trap data. J. Agric. Biol. Environ. Stat. 2009, 14, 322–337. [Google Scholar] [CrossRef]
- Wei, F.W.; Feng, Z.J.; Wang, Z.W. Research overview on wildlife habitat selection. Chin. J. Zool. 1998, 33, 49–53. (In Chinese) [Google Scholar]
- Wu, J.Y.; Wang, W. The Musk Deer of China; China Forestry Publishing House: Beijing, China, 2006. (In Chinese) [Google Scholar]
- Staudenmaier, A.R.; Shipley, L.A.; Bibelnieks, A.J.; Camp, M.J.; Thornton, D.H. Habitat use and spatio-temporal interactions of mule and white-tailed deer in an area of sympatry in NE Washington. Ecosphere 2021, 12, e03813.1-18. [Google Scholar] [CrossRef]
- Baasch, D.M. Resource Selection by White-Tailed Deer, Mule Deer, and Elk in Nebraska. Master’s Thesis, The University of Nebraska-Lincoln, Lincoln, NE, USA, 2008. [Google Scholar]
- Sun, J.X.; Li, J.Q.; Wan, Y.Q.; Xu, H.G. Study on the activity rhythms of nine ungulates in summer and autumn in Sichuan. J. Ecol. Rural Environ. 2018, 34, 1003–1009. (In Chinese) [Google Scholar] [CrossRef]
- Qiu, B.H.; Meng, Q.L.; Jin, Z.J.; Jiang, Q.; Wang, C. Analysis of daily activity rhythms of three ungulates in winter in Changbai Mountain Nature Reserve. Chin. J. Wildl. 2022, 43, 331–336. (In Chinese) [Google Scholar] [CrossRef]
- Ma, D.F.; Sun, Z.Y.; Hu, D.Z.; An, B.; Chen, L.Y.; Zhang, D.X.; Dong, K.; Zhang, L.X. Camera-trapping survey of the mammal diversity in the Qilian Mountains National Nature Reserve, Gansu Province. Acta Theriol. Sin. 2021, 41, 90–98. (In Chinese) [Google Scholar] [CrossRef]
- Li, P.; Zhang, Z.J.; Yang, H.; Wei, W.; Zhou, H.; Hong, M.S.; Fu, M.X.; Song, X.Q.; Yu, J. Study on activity rhythms of ungulates in Daxiangling Nature Reserve based on infrared camera trapping. J. Sichuan For. Sci. Technol. 2021, 42, 18–23. (In Chinese) [Google Scholar]
- Zha, M.H. Study on Habitat and Activity Rhythm of Forest Musk Deer (Moschus berezovskii) in Tangjiahe National Nature Reserve. Master’s Thesis, Beijing Forestry University, Beijing, China, 2019. (In Chinese). [Google Scholar]
- Yang, C.C. Activity Rhythm of Moschus berezovskii in Hunan Hupingshan National Nature Reserve by Camera Technology. Master’s Thesis, Central South University of Forestry & Technology, Changsha, China, 2021. (In Chinese). [Google Scholar]
- Chen, Y.; Xiao, Z.; Zhang, L.; Wang, X.; Li, M.; Xiang, Z. Activity rhythms of coexisting red serow and Chinese serow at Mt. Gaoligong as identified by camera traps. Animals 2019, 9, 1071. [Google Scholar] [CrossRef]
- Andreychev, A.; Kuznetsov, V.; Lapshin, A.; Alpeev, M. Activity of the Russian desman Desmana moschata (Talpidae, Insectivora) in its burrow. Therya 2020, 11, 161–167. [Google Scholar] [CrossRef]
- Hardin, G. Competitive exclusion principle. Science 1960, 131, 1292–12970. [Google Scholar] [CrossRef]
- Macarthur, R.; Levins, R. Limiting similarity, convergence, and divergence of coexisting species. Am. Nat. 1967, 101, 377–385. [Google Scholar] [CrossRef]
- Gordon, C.E. The coexistence of species. Rev. Chil. De Hist. Nat. 2000, 73, 175–198. [Google Scholar] [CrossRef]
- Kronfeld-Schor, N.; Dayan, T. Partitioning of time as an ecological resource. Annu. Rev. Ecol. Evol. Syst. 2003, 34, 153–181. [Google Scholar] [CrossRef]
- Xiang, D.; Meng, B.; Xie, B.; Huang, X.; Wang, C.; Ran, J.; Su, H.; Zhang, M. Daily activity rhythm of sympatric ungulate species in Fanjingshan Reserve, China. Glob. Ecol. Conserv. 2024, 56, e03271. [Google Scholar] [CrossRef]
- Chu, C.; Wang, Y.; Liu, Y.; Jiang, L.; He, F. Advances in species coexistence theory. Biodivers. Sci. 2017, 25, 345–354. [Google Scholar] [CrossRef]
- Ye, Z.-M.; He, Y.-D.; Huang, W.; Jin, X.-F.; Bergamo, P.J.; Yang, C.-F.; Ringler, E. Resource availability, competitor abundance and specialization affect competition among bumblebees. Behav. Ecol. 2025, 36, araf038. [Google Scholar] [CrossRef]
- Zhao, C.; Liu, Z.X.; Teng, L.W.; Gao, H.; Sun, Y.J.; Wang, Z.Y.; Wang, J.F.; Ma, Z.Q.; Liu, Z.S. Summer foraging strategies of alpine musk deer (Moschus sifanicus) in Helan Mountains. Chin. J. Wildl. 2018, 39, 215–223. [Google Scholar] [CrossRef]
| Disclaimer/Publisher’s Note: The statements, opinions and data contained in all publications are solely those of the individual author(s) and contributor(s) and not of MDPI and/or the editor(s). MDPI and/or the editor(s) disclaim responsibility for any injury to people or property resulting from any ideas, methods, instructions or products referred to in the content. | 
© 2025 by the authors. Licensee MDPI, Basel, Switzerland. This article is an open access article distributed under the terms and conditions of the Creative Commons Attribution (CC BY) license (https://creativecommons.org/licenses/by/4.0/).
