Variable Response in Alpine Tree-Ring Stable Isotopes Following Volcanic Eruptions in the Tropics and Iceland
Abstract
1. Introduction
2. Materials and Methods
2.1. Subfossil Wood Samples and Sampling Sites in the Alps
2.2. Stable Isotope Analysis and Carbon Isotope Correction
2.3. Selected Major Volcanic Eruptions
2.4. Superposed Epoch of the Major Volcanic Eruptions after 1 CE
2.5. Relation of Cellulose Isotopes to Climatic Parameters
3. Results
3.1. Early 19th Century Eruptions (of Tambora 1815 and Unidentified 1809 CE)

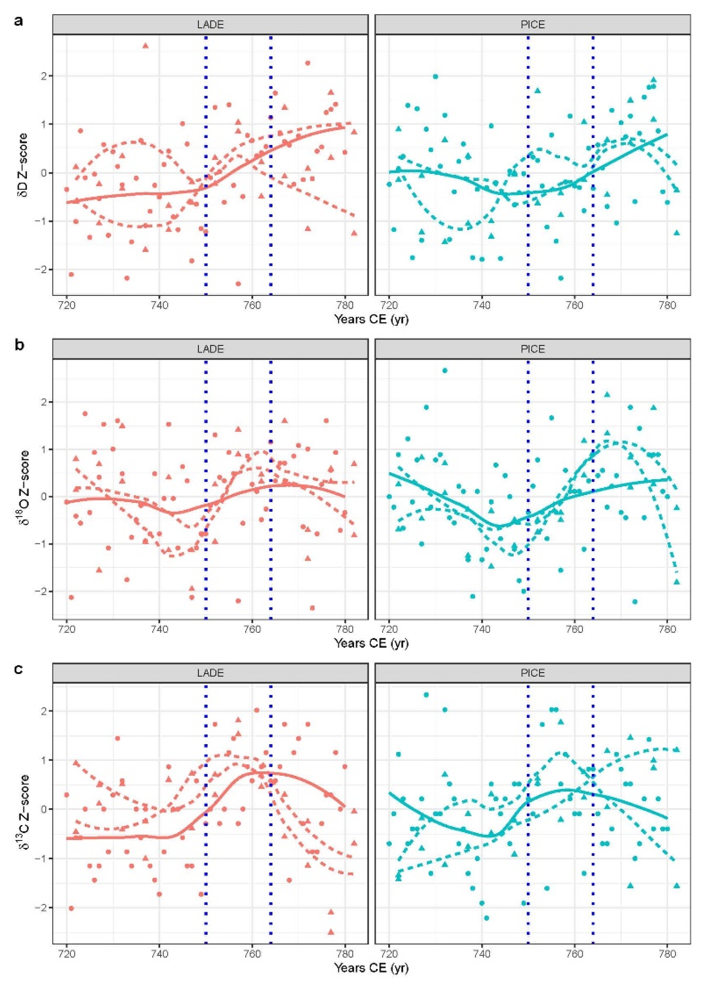
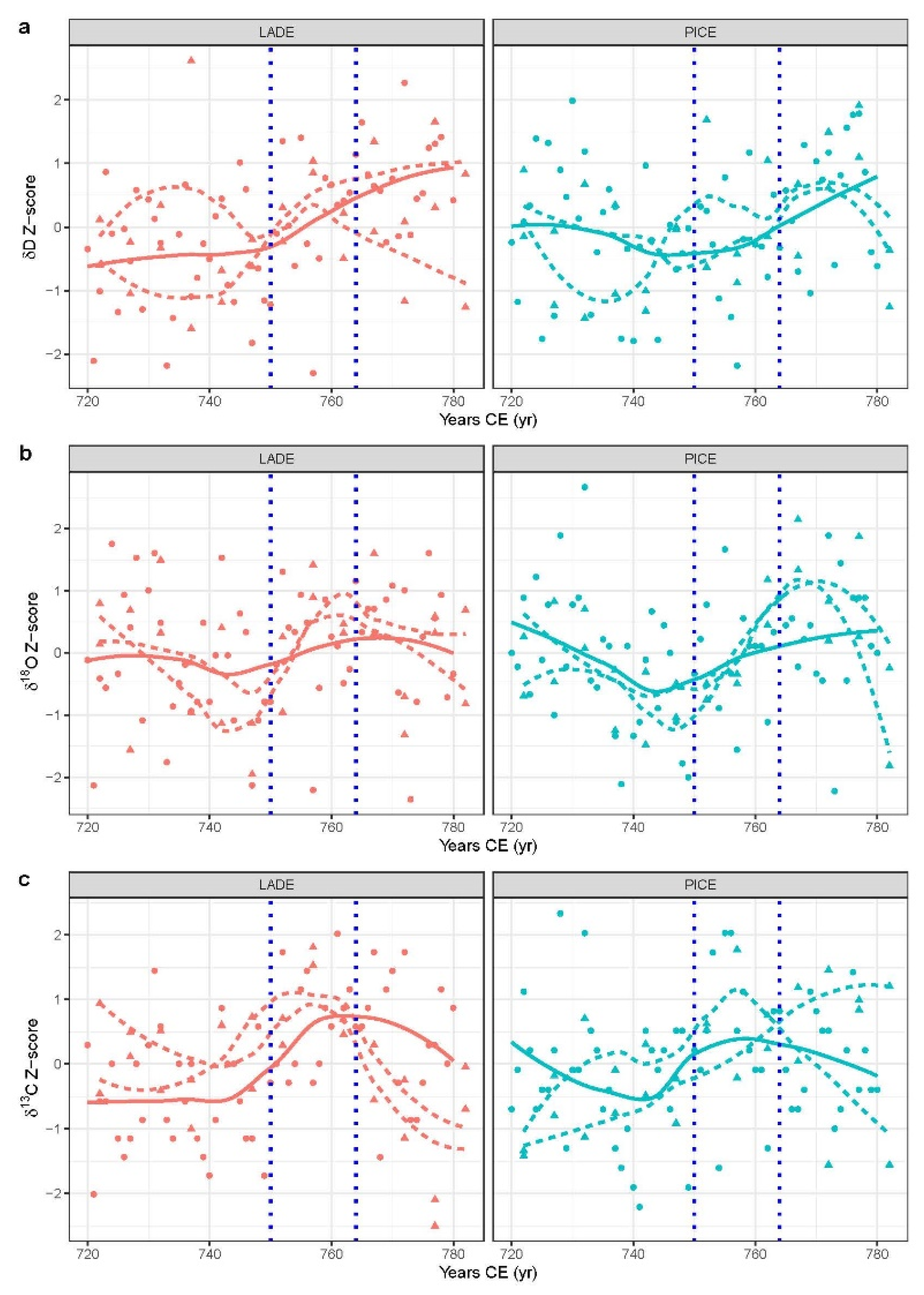
3.1.1. Mid-8th-century eruptions attributed to Iceland (750, 756, and 764 CE)
3.1.2. Eruptions of Laki (1783–1784 CE) and Samalas (1257 CE)
3.1.3. Superposed Analysis of Large Volcanic Eruptions during the Past Two Millennia
3.1.4. Isotopes’ Climatic Sensitivity in the Recent Period
4. Discussion
5. Conclusions
Supplementary Materials
Author Contributions
Funding
Institutional Review Board Statement
Informed Consent Statement
Data Availability Statement
Acknowledgments
Conflicts of Interest
References
- Robock, A. Volcanic Eruptions and Climate. Rev. Geophys. 2000, 38, 191–219. [Google Scholar] [CrossRef]
- Sigl, M.; Winstrup, M.; McConnell, J.R.; Welten, K.C.; Plunkett, G.; Ludlow, F.; Büntgen, U.; Caffee, M.; Chellman, N.; Dahl-Jensen, D. Timing and Climate Forcing of Volcanic Eruptions for the Past 2500 Years. Nature 2015, 523, 543–549. [Google Scholar] [CrossRef] [PubMed]
- Oman, L.; Robock, A.; Stenchikov, G.; Schmidt, G.A.; Ruedy, R. Climatic Response to High-Latitude Volcanic Eruptions. J. Geophys. Res. Atmos. 2005, 110, D13103. [Google Scholar] [CrossRef]
- Toohey, M.; Krüger, K.; Schmidt, H.; Timmreck, C.; Sigl, M.; Stoffel, M.; Wilson, R. Disproportionately Strong Climate Forcing from Extratropical Explosive Volcanic Eruptions. Nat. Geosci. 2019, 12, 100–107. [Google Scholar] [CrossRef]
- Raible, C.C.; Brönnimann, S.; Auchmann, R.; Brohan, P.; Frölicher, T.L.; Graf, H.-F.; Jones, P.; Luterbacher, J.; Muthers, S.; Neukom, R. Tambora 1815 as a Test Case for High Impact Volcanic Eruptions: Earth System Effects. Wiley Interdiscip. Rev. Clim. Chang. 2016, 7, 569–589. [Google Scholar] [CrossRef] [PubMed]
- Schaller, N.; Griesser, T.; Fischer, A.; STICK-LER, A.; Onnimann, S. Climate Effects of the 1883 Krakatoa Eruption: Historical and Present Perspectives. Vjschr. Natf. Ges. Zürich 2009, 154, 31–40. [Google Scholar]
- Zambri, B.; Robock, A.; Mills, M.J.; Schmidt, A. Modeling the 1783–1784 Laki Eruption in Iceland: 2. Climate Impacts. J. Geophys. Res. Atmos. 2019, 124, 6770–6790. [Google Scholar] [CrossRef]
- Edwards, J. The Enigmatic Northwestern North American Climate Response to the 1783 Laki Eruption. Ph.D. Thesis, The University of Arizona, Tucson, AZ, USA, 2020. [Google Scholar]
- Wegmann, M.; Brönnimann, S.; Bhend, J.; Franke, J.; Folini, D.; Wild, M.; Luterbacher, J. Volcanic Influence on European Summer Precipitation through Monsoons: Possible Cause for “Years without Summer”. J. Clim. 2014, 27, 3683–3691. [Google Scholar] [CrossRef]
- Liu, B.; Liu, J.; Ning, L.; Sun, W.; Yan, M.; Zhao, C.; Chen, K.; Wang, X. The Role of Samalas Mega Volcanic Eruption in European Summer Hydroclimate Change. Atmosphere 2020, 11, 1182. [Google Scholar] [CrossRef]
- Esper, J.; Schneider, L.; Krusic, P.J.; Luterbacher, J.; Büntgen, U.; Timonen, M.; Sirocko, F.; Zorita, E. European Summer Temperature Response to Annually Dated Volcanic Eruptions over the Past Nine Centuries. Bull. Volcanol. 2013, 75, 736. [Google Scholar] [CrossRef]
- Luterbacher, J.; Werner, J.P.; Smerdon, J.E.; Fernández-Donado, L.; González-Rouco, F.J.; Barriopedro, D.; Ljungqvist, F.C.; Büntgen, U.; Zorita, E.; Wagner, S. European Summer Temperatures since Roman Times. Environ. Res. Lett. 2016, 11, 024001. [Google Scholar] [CrossRef]
- Stoffel, M.; Khodri, M.; Corona, C.; Guillet, S.; Poulain, V.; Bekki, S.; Guiot, J.; Luckman, B.H.; Oppenheimer, C.; Lebas, N. Estimates of Volcanic-Induced Cooling in the Northern Hemisphere over the Past 1500 Years. Nat. Geosci. 2015, 8, 784–788. [Google Scholar] [CrossRef]
- D’Arrigo, R.; Wilson, R.; Tudhope, A. The Impact of Volcanic Forcing on Tropical Temperatures during the Past Four Centuries. Nat. Geosci. 2009, 2, 51–56. [Google Scholar] [CrossRef]
- Rao, M.P.; Cook, B.I.; Cook, E.R.; D’Arrigo, R.D.; Krusic, P.J.; Anchukaitis, K.J.; LeGrande, A.N.; Buckley, B.M.; Davi, N.K.; Leland, C. European and Mediterranean Hydroclimate Responses to Tropical Volcanic Forcing over the Last Millennium. Geophys. Res. Lett. 2017, 44, 5104–5112. [Google Scholar] [CrossRef] [PubMed]
- Fritz, H. Tree Rings: Basics and Applications of Dendrochronology; Springer Science & Business Media: Dordrecht, The Netherlands, 1976. [Google Scholar]
- Büntgen, U.; Wacker, L.; Galvan, J.; Arnold, S.; Arseneault, D.; Baillie, M.; Beer, J.; Bernabei, M.; Bleicher, N.; Boswijk, G. Tree Rings Reveal Globally Coherent Signature of Cosmogenic Radiocarbon Events in 774 and 993 CE. Nat. Commun. 2018, 9, 3605. [Google Scholar] [CrossRef] [PubMed]
- PAGES2k. A Global Multiproxy Database for Temperature Reconstructions of the Common Era. Sci. Data 2017, 4, 170088. [Google Scholar] [CrossRef]
- Reinig, F.; Wacker, L.; Jöris, O.; Oppenheimer, C.; Guidobaldi, G.; Nievergelt, D.; Adolphi, F.; Cherubini, P.; Engels, S.; Esper, J. Precise Date for the Laacher See Eruption Synchronizes the Younger Dryas. Nature 2021, 595, 66–69. [Google Scholar] [CrossRef] [PubMed]
- Büntgen, U.; Eggertsson, Ó.; Wacker, L.; Sigl, M.; Ljungqvist, F.C.; Di Cosmo, N.; Plunkett, G.; Krusic, P.J.; Newfield, T.P.; Esper, J. Multi-Proxy Dating of Iceland’s Major Pre-Settlement Katla Eruption to 822–823 CE. Geology 2017, 45, 783–786. [Google Scholar] [CrossRef]
- Oppenheimer, C.; Wacker, L.; Xu, J.; Galván, J.D.; Stoffel, M.; Guillet, S.; Corona, C.; Sigl, M.; Di Cosmo, N.; Hajdas, I. Multi-Proxy Dating the ‘Millennium Eruption’of Changbaishan to Late 946 CE. Quat. Sci. Rev. 2017, 158, 164–171. [Google Scholar] [CrossRef]
- Anchukaitis, K.J.; Breitenmoser, P.; Briffa, K.R.; Buchwal, A.; Büntgen, U.; Cook, E.R.; D’arrigo, R.D.; Esper, J.; Evans, M.N.; Frank, D. Tree Rings and Volcanic Cooling. Nat. Geosci. 2012, 5, 836–837. [Google Scholar] [CrossRef]
- Büntgen, U.; Kolář, T.; Rybníček, M.; Koňasová, E.; Trnka, M.; Ač, A.; Krusic, P.J.; Esper, J.; Treydte, K.; Reinig, F.; et al. No Age Trends in Oak Stable Isotopes. Paleoceanogr. Paleoclimatology 2020, 35. [Google Scholar] [CrossRef]
- Altman, J.; Saurer, M.; Dolezal, J.; Maredova, N.; Song, J.-S.; Ho, C.-H.; Treydte, K. Large Volcanic Eruptions Reduce Landfalling Tropical Cyclone Activity: Evidence from Tree Rings. Sci. Total Environ. 2021, 775, 145899. [Google Scholar] [CrossRef]
- Esper, J.; Konter, O.; Krusic, P.J.; Saurer, M.; Holzkämper, S.; Büntgen, U. Long-Term Summer Temperature Variations in the Pyrenees from Detrended Stable Carbon Isotopes. Geochronometria 2015, 42, 53–59. [Google Scholar] [CrossRef]
- Lücke, L.J.; Hegerl, G.C.; Schurer, A.P.; Wilson, R. Effects of Memory Biases on Variability of Temperature Reconstructions. J. Clim. 2019, 32, 8713–8731. [Google Scholar] [CrossRef]
- Esper, J.; Schneider, L.; Smerdon, J.E.; Schöne, B.R.; Büntgen, U. Signals and Memory in Tree-Ring Width and Density Data. Dendrochronologia 2015, 35, 62–70. [Google Scholar] [CrossRef]
- McCarroll, D.; Loader, N.J. Stable Isotopes in Tree Rings. Quat. Sci. Rev. 2004, 23, 771–801. [Google Scholar] [CrossRef]
- Churakova, O.V.; Bryukhanova, M.V.; Saurer, M.; Boettger, T.; Naurzbaev, M.M.; Myglan, V.S.; Vaganov, E.A.; Hughes, M.K.; Siegwolf, R.T. A Cluster of Stratospheric Volcanic Eruptions in the AD 530s Recorded in Siberian Tree Rings. Glob. Planet. Chang. 2014, 122, 140–150. [Google Scholar] [CrossRef]
- Helama, S.; Arppe, L.; Uusitalo, J.; Holopainen, J.; Mäkelä, H.M.; Mäkinen, H.; Mielikäinen, K.; Nöjd, P.; Sutinen, R.; Taavitsainen, J.-P. Volcanic Dust Veils from Sixth Century Tree-Ring Isotopes Linked to Reduced Irradiance, Primary Production and Human Health. Sci. Rep. 2018, 8, 1339. [Google Scholar] [CrossRef]
- Sidorova, O.V.; Saurer, M.; Guillet, S.; Corona, C.; Fonti, P.; Myglan, V.S.; Kirdyanov, A.V.; Naumova, O.V.; Ovchinnikov, D.V.; Shashkin, A.V. Siberian Tree-Ring and Stable Isotope Proxies as Indicators of Temperature and Moisture Changes after Major Stratospheric Volcanic Eruptions. Clim. Past 2019, 15, 685–700. [Google Scholar]
- Battipaglia, G.; Cherubini, P.; Saurer, M.; Siegwolf, R.T.; Strumia, S.; Francesca Cotrufo, M. Volcanic Explosive Eruptions of the Vesuvio Decrease Tree-Ring Growth but Not Photosynthetic Rates in the Surrounding Forests. Glob. Chang. Biol. 2007, 13, 1122–1137. [Google Scholar] [CrossRef]
- Büntgen, U.; Urban, O.; Krusic, P.J.; Rybníček, M.; Kolář, T.; Kyncl, T.; Ač, A.; Koňasová, E.; Čáslavskỳ, J.; Esper, J. Recent European Drought Extremes beyond Common Era Background Variability. Nat. Geosci. 2021, 14, 190–196. [Google Scholar] [CrossRef]
- Büntgen, U.; Allen, K.; Anchukaitis, K.J.; Arseneault, D.; Boucher, É.; Bräuning, A.; Chatterjee, S.; Cherubini, P.; Churakova, O.V.; Corona, C. The Influence of Decision-Making in Tree Ring-Based Climate Reconstructions. Nat. Commun. 2021, 12, 3411. [Google Scholar] [CrossRef] [PubMed]
- Kress, A.; Saurer, M.; Siegwolf, R.T.; Frank, D.C.; Esper, J.; Bugmann, H. A 350 Year Drought Reconstruction from Alpine Tree Ring Stable Isotopes. Glob. Biogeochem. Cycles 2010, 24, 2. [Google Scholar] [CrossRef]
- Grießinger, J.; Bräuning, A.; Helle, G.; Schleser, G.H.; Hochreuther, P.; Meier, W.J.-H.; Zhu, H. A Dual Stable Isotope Approach Unravels Common Climate Signals and Species-Specific Responses to Environmental Change Stored in Multi-Century Tree-Ring Series from the Tibetan Plateau. Geosciences 2019, 9, 151. [Google Scholar] [CrossRef]
- Reynolds-Henne, C.E.; Siegwolf, R.T.W.; Treydte, K.S.; Esper, J.; Henne, S.; Saurer, M. Temporal Stability of Climate-Isotope Relationships in Tree Rings of Oak and Pine (Ticino, Switzerland). Glob. Biogeochem. Cycles 2007, 21, 4. [Google Scholar] [CrossRef]
- Gagen, M.; McCarroll, D.; Edouard, J.-L. Combining Ring Width, Density and Stable Carbon Isotope Proxies to Enhance the Climate Signal in Tree-Rings: An Example from the Southern French Alps. Clim. Chang. 2006, 78, 363–379. [Google Scholar] [CrossRef]
- Treydte, K.; Schleser, G.H.; Schweingruber, F.H.; Winiger, M. The Climatic Significance of δ 13 C in Subalpine Spruces (Lötschental, Swiss Alps): A Case Study with Respect to Altitude, Exposure and Soil Moisture. Tellus B Chem. Phys. Meteorol. 2001, 53, 593–611. [Google Scholar] [CrossRef]
- Vitali, V.; Martínez-Sancho, E.; Treydte, K.; Andreu-Hayles, L.; Dorado-Liñán, I.; Gutierrez, E.; Helle, G.; Leuenberger, M.; Loader, N.J.; Rinne-Garmston, K.T. The Unknown Third–Hydrogen Isotopes in Tree-Ring Cellulose across Europe. Sci. Total Environ. 2022, 813, 152281. [Google Scholar] [CrossRef]
- Wieloch, T.; Grabner, M.; Augusti, A.; Serk, H.; Ehlers, I.; Yu, J.; Schleucher, J. Metabolism Is the Major Driver of Hydrogen Isotope Fractionation Recorded in Tree-Ring Glucose of Pinus Nigra. N. Phytol. 2021, 234, 449–461. [Google Scholar] [CrossRef]
- Affolter, S.; Häuselmann, A.; Fleitmann, D.; Edwards, R.L.; Cheng, H.; Leuenberger, M. Central Europe Temperature Constrained by Speleothem Fluid Inclusion Water Isotopes over the Past 14,000 Years. Sci. Adv. 2019, 5, eaav3809. [Google Scholar] [CrossRef] [PubMed]
- Nicolussi, K.; Kaufmann, M.; Melvin, T.M.; Van Der Plicht, J.; Schießling, P.; Thurner, A. A 9111 Year Long Conifer Tree-Ring Chronology for the European Alps: A Base for Environmental and Climatic Investigations. Holocene 2009, 19, 909–920. [Google Scholar] [CrossRef]
- Arosio, T.; Ziehmer, M.; Nicolussi, K.; Schluechter, C.; Thurner, A.; Österreicher, A.; Nyfeler, P.; Leuenberger, M.C. Alpine Holocene Triple Tree Ring Isotope Record; PANGAEA Publishing: Bremen, Germany, 2022. [Google Scholar] [CrossRef]
- Arosio, T.; Ziehmer, M.M.; Nicolussi, K.; Schlüchter, C.; Leuenberger, M. Alpine Holocene Tree-Ring Dataset: Age-Related Trends in the Stable Isotopes of Cellulose Show Species-Specific Patterns. Biogeosciences 2020, 17, 4871–4882. [Google Scholar] [CrossRef]
- Ziehmer, M.M.; Nicolussi, K.; Schlüchter, C.; Leuenberger, M. Preliminary Evaluation of the Potential of Tree-Ring Cellulose Content as a Novel Supplementary Proxy in Dendroclimatology. Biogeosciences 2018, 15, 1047–1064. [Google Scholar] [CrossRef]
- Loader, N.J.; Street-Perrott, F.A.; Daley, T.J.; Hughes, P.D.M.; Kimak, A.; Levanic, T.; Mallon, G.; Mauquoy, D.; Robertson, I.; Roland, T.P. Simultaneous Determination of Stable Carbon, Oxygen, and Hydrogen Isotopes in Cellulose. Anal. Chem. 2015, 87, 376–380. [Google Scholar] [CrossRef]
- Filot, M.S.; Leuenberger, M.; Pazdur, A.; Boettger, T. Rapid Online Equilibration Method to Determine the D/H Ratios of Non-Exchangeable Hydrogen in Cellulose. Rapid Commun. Mass Spectrom. 2006, 20, 3337–3344. [Google Scholar] [CrossRef]
- Coplen, T.B. Reporting of Stable Hydrogen, Carbon, and Oxygen Isotopic Abundances (Technical Report). Pure Appl. Chem. 1994, 66, 273–276. [Google Scholar] [CrossRef]
- Leuenberger, M. To What Extent Can Ice Core Data Contribute to the Understanding of Plant Ecological Developments of the Past. Terr. Ecol. 2007, 1, 211–233. [Google Scholar]
- Suess, H.E. Radiocarbon Concentration in Modern Wood. Science 1955, 122, 415–417. [Google Scholar] [CrossRef]
- Cole-Dai, J.; Ferris, D.; Lanciki, A.; Savarino, J.; Baroni, M.; Thiemens, M.H. Cold Decade (AD 1810–1819) Caused by Tambora (1815) and Another (1809) Stratospheric Volcanic Eruption. Geophys. Res. Lett. 2009, 36, 22. [Google Scholar] [CrossRef]
- Timmreck, C.; Toohey, M.; Zanchettin, D.; Brönnimann, S.; Lundstadt, E.; Wilson, R. The Unidentified Volcanic Eruption of 1809: Why It Remains a Climatic Cold Case. Clim. Past Discuss. 2021, 1–39. [Google Scholar]
- Oppenheimer, C. Climatic, Environmental and Human Consequences of the Largest Known Historic Eruption: Tambora Volcano (Indonesia) 1815. Prog. Phys. Geogr. 2003, 27, 230–259. [Google Scholar] [CrossRef]
- Lavigne, F.; Degeai, J.-P.; Komorowski, J.-C.; Guillet, S.; Robert, V.; Lahitte, P.; Oppenheimer, C.; Stoffel, M.; Vidal, C.M. Surono Source of the Great AD 1257 Mystery Eruption Unveiled, Samalas Volcano, Rinjani Volcanic Complex, Indonesia. Proc. Natl. Acad. Sci. USA 2013, 110, 16742–16747. [Google Scholar] [CrossRef]
- Vidal, C.M.; Métrich, N.; Komorowski, J.-C.; Pratomo, I.; Michel, A.; Kartadinata, N.; Robert, V.; Lavigne, F. The 1257 Samalas Eruption (Lombok, Indonesia): The Single Greatest Stratospheric Gas Release of the Common Era. Sci. Rep. 2016, 6, 34868. [Google Scholar] [CrossRef] [PubMed]
- Büntgen, U.; Smith, S.H.; Wagner, S.; Krusic, P.; Esper, J.; Piermattei, A.; Crivellaro, A.; Reinig, F.; Tegel, W.; Kirdyanov, A. Global Tree-Ring Response and Inferred Climate Variation Following the Mid-Thirteenth Century Samalas Eruption. Clim. Dyn. 2022, 59, 531–546. [Google Scholar] [CrossRef]
- Guillet, S.; Corona, C.; Stoffel, M.; Khodri, M.; Lavigne, F.; Ortega, P.; Eckert, N.; Sielenou, P.D.; Daux, V.; Davi, N. Climate Response to the Samalas Volcanic Eruption in 1257 Revealed by Proxy Records. Nat. Geosci. 2017, 10, 123–128. [Google Scholar] [CrossRef]
- Thordarson, T.; Self, S. Atmospheric and Environmental Effects of the 1783–1784 Laki Eruption: A Review and Reassessment. J. Geophys. Res. Atmos. 2003, 108, AAC-7. [Google Scholar] [CrossRef]
- Dawson, A.G.; Kirkbride, M.P.; Cole, H. Atmospheric Effects in Scotland of the AD 1783–1784 Laki Eruption in Iceland. Holocene 2021, 31, 830–843. [Google Scholar] [CrossRef]
- Elíasson, J. Katla Volcano in Iceland, Potential Hazards and Risk Assessment. Nat. Sci. 2014, 6, 9. [Google Scholar] [CrossRef][Green Version]
- Gudmundsdottir, E.R.; Larsen, G.; Eiriksson, J. Tephra Stratigraphy on the N Orth I Celandic Shelf: Extending Tephrochronology into Marine Sediments off N Orth I Celand. Boreas 2012, 41, 719–734. [Google Scholar] [CrossRef]
- Óladóttir, B.A.; Sigmarsson, O.; Larsen, G. Tephra Productivity and Eruption Flux of the Subglacial Katla Volcano, Iceland. Bull. Volcanol. 2018, 80, 58. [Google Scholar] [CrossRef]
- Óladóttir, B.A.; Larsen, G.; Sigmarsson, O. Volume Estimates of Nine Katla Tephra Layers (1860 BC–870 AD). Jökull 2014, 64, 23–40. [Google Scholar]
- Óladóttir, B.A.; Sigmarsson, O.; Larsen, G.; Thordarson, T. Katla Volcano, Iceland: Magma Composition, Dynamics and Eruption Frequency as Recorded by Holocene Tephra Layers. Bull. Volcanol. 2008, 70, 475–493. [Google Scholar] [CrossRef]
- Toohey, M.; Sigl, M. Volcanic Stratospheric Sulfur Injections and Aerosol Optical Depth from 500 BCE to 1900 CE. Earth Syst. Sci. Data 2017, 9, 809–831. [Google Scholar] [CrossRef]
- Arosio, T.; Ziehmer-Wenz, M.M.; Nicolussi, K.; Schlüchter, C.; Leuenberger, M. Larch Cellulose Shows Significantly Depleted Hydrogen Isotope Values With Respect to Evergreen Conifers in Contrast to Oxygen and Carbon Isotopes. Front. Earth Sci. 2020, 8, 579. [Google Scholar] [CrossRef]
- Auer, I.; Böhm, R.; Jurkovic, A.; Lipa, W.; Orlik, A.; Potzmann, R.; Schöner, W.; Ungersböck, M.; Matulla, C.; Briffa, K. HISTALP—Historical Instrumental Climatological Surface Time Series of the Greater Alpine Region. Int. J. Climatol. A J. R. Meteorol. Soc. 2007, 27, 17–46. [Google Scholar] [CrossRef]
- Büntgen, U.; Tegel, W.; Nicolussi, K.; McCormick, M.; Frank, D.; Trouet, V.; Kaplan, J.O.; Herzig, F.; Heussner, K.-U.; Wanner, H. 2500 Years of European Climate Variability and Human Susceptibility. Science 2011, 331, 578–582. [Google Scholar] [CrossRef]
- Büntgen, U.; Frank, D.C.; Nievergelt, D.; Esper, J. Summer Temperature Variations in the European Alps, AD 755–2004. J. Clim. 2006, 19, 5606–5623. [Google Scholar] [CrossRef]
- Pfister, C.; Rohr, C. Euro-Climhist. BORIS. 2015. Available online: https://boris.unibe.ch/id/eprint/73058 (accessed on 4 August 2022).
- Savard, M.M.; Daux, V. An Overview on Isotopic Divergences–Causes for Instability of Tree-Ring Isotopes and Climate Correlations. Clim. Past 2020, 16, 1223–1243. [Google Scholar] [CrossRef]
- Cole-Dai, J. Volcanoes and Climate. Wiley Interdiscip. Rev. Clim. Chang. 2010, 1, 824–839. [Google Scholar] [CrossRef]
- Brönnimann, S.; Franke, J.; Nussbaumer, S.U.; Zumbühl, H.J.; Steiner, D.; Trachsel, M.; Hegerl, G.C.; Schurer, A.; Worni, M.; Malik, A. Last Phase of the Little Ice Age Forced by Volcanic Eruptions. Nat. Geosci. 2019, 12, 650–656. [Google Scholar] [CrossRef]
- Büntgen, U.; Myglan, V.S.; Ljungqvist, F.C.; McCormick, M.; Di Cosmo, N.; Sigl, M.; Jungclaus, J.; Wagner, S.; Krusic, P.J.; Esper, J. Cooling and Societal Change during the Late Antique Little Ice Age from 536 to around 660 AD. Nat. Geosci. 2016, 9, 231–236. [Google Scholar] [CrossRef]
- Sigl, M.; Abram, N.J.; Gabrieli, J.; Jenk, T.M.; Osmont, D.; Schwikowski, M. 19th Century Glacier Retreat in the Alps Preceded the Emergence of Industrial Black Carbon Deposition on High-Alpine Glaciers. Cryosphere 2018, 12, 3311–3331. [Google Scholar] [CrossRef]
- Klesse, S.; Weigt, R.; Treydte, K.; Saurer, M.; Schmid, L.; Siegwolf, R.T.; Frank, D.C. Oxygen Isotopes in Tree Rings Are Less Sensitive to Changes in Tree Size and Relative Canopy Position than Carbon Isotopes. Plant Cell Environ. 2018, 41, 2899–2914. [Google Scholar] [CrossRef] [PubMed]
- McCormick, M.; Dutton, P.E.; Mayewski, P.A. Volcanoes and the Climate Forcing of Carolingian Europe, AD 750–950. Speculum 2007, 82, 865–895. [Google Scholar] [CrossRef]
- Schmidt, A.; Thordarson, T.; Oman, L.D.; Robock, A.; Self, S. Climatic Impact of the Long-Lasting 1783 Laki Eruption: Inapplicability of Mass-Independent Sulfur Isotopic Composition Measurements. J. Geophys. Res. Atmos. 2012, 117, D23. [Google Scholar] [CrossRef]
- Edwards, J.; Anchukaitis, K.J.; Gunnarson, B.E.; Pearson, C.; Seftigen, K.; von Arx, G.; Linderholm, H.W. The Origin of Tree-Ring Reconstructed Summer Cooling in Northern Europe During the 18th Century Eruption of Laki. Paleoceanogr. Paleoclimatology 2022, 37, e2021PA004386. [Google Scholar] [CrossRef]
- Salvador, I.; Romano, M.; Avanzini, M. Gli “Apparenti Disordini Delle Leggi Fisiche Dell’universo”: Gli Effetti Delle Eruzioni Del Laki (1783) e Del Tambora (1815) Nelle Cronache Delle Regioni Alpine. Tre Secoli Di Geol. Ital. Rend. Online Della Soc. Geol. Ital. 2018, 44, 72–79. [Google Scholar] [CrossRef]
- Arosio, T.; Ziehmer-Wenz, M.M.; Nicolussi, K.; Schlüchter, C.; Leuenberger, M.C. Investigating Masking Effects of Age Trends on the Correlations among Tree Ring Proxies. Forests 2021, 12, 1523. [Google Scholar] [CrossRef]








| This Study | This Study | Affolter et al. 2019 | Büntgen et al. 2006 | Büntgen et al. 2011 | Auer et al. 2006 | Climhist (Pfister, 2015) | |
|---|---|---|---|---|---|---|---|
| Proxy | δD, δ18O, δ13C cellulose | δD, δ18O, δ13C cellulose | δD fluid inclusion | MXD | TRW | HISTALP | Climhist Swiss Central Plateau temperature | 
| Temporal resolution | Annual | 5-Year | Multi-annual to Multi-decadal | Annual | Annual | Monthly | Monthly | 
| Region | Alps | Alps | Europe | European Alps | Central Europe | European Alps | Swiss Central Plateau | 
| Parameter | Temperature | Temperature | Temperature | Measured temperature | Measured temperature | ||
| Season | Annual | JJAS | JJA | JJA | All year | ||
| Periods | 1800–1815 CE 750–780 CE | 8930 b2k–2010 CE | −12596 BCE–2011 CE | 755–2004 CE | 499 BCE–2003 CE | 1760–2008 CE | 1760–2007 | 
| Publisher’s Note: MDPI stays neutral with regard to jurisdictional claims in published maps and institutional affiliations. | 
© 2022 by the authors. Licensee MDPI, Basel, Switzerland. This article is an open access article distributed under the terms and conditions of the Creative Commons Attribution (CC BY) license (https://creativecommons.org/licenses/by/4.0/).
Share and Cite
Arosio, T.; Affolter, S.; Nicolussi, K.; Sigl, M.; Ziehmer-Wenz, M.M.; Schlüchter, C.; Schaad, E.; Stähli, R.; Leuenberger, M.C. Variable Response in Alpine Tree-Ring Stable Isotopes Following Volcanic Eruptions in the Tropics and Iceland. Geosciences 2022, 12, 371. https://doi.org/10.3390/geosciences12100371
Arosio T, Affolter S, Nicolussi K, Sigl M, Ziehmer-Wenz MM, Schlüchter C, Schaad E, Stähli R, Leuenberger MC. Variable Response in Alpine Tree-Ring Stable Isotopes Following Volcanic Eruptions in the Tropics and Iceland. Geosciences. 2022; 12(10):371. https://doi.org/10.3390/geosciences12100371
Chicago/Turabian StyleArosio, Tito, Stéphane Affolter, Kurt Nicolussi, Michael Sigl, Malin Michelle Ziehmer-Wenz, Christian Schlüchter, Emmanuel Schaad, Rafael Stähli, and Markus Christian Leuenberger. 2022. "Variable Response in Alpine Tree-Ring Stable Isotopes Following Volcanic Eruptions in the Tropics and Iceland" Geosciences 12, no. 10: 371. https://doi.org/10.3390/geosciences12100371
APA StyleArosio, T., Affolter, S., Nicolussi, K., Sigl, M., Ziehmer-Wenz, M. M., Schlüchter, C., Schaad, E., Stähli, R., & Leuenberger, M. C. (2022). Variable Response in Alpine Tree-Ring Stable Isotopes Following Volcanic Eruptions in the Tropics and Iceland. Geosciences, 12(10), 371. https://doi.org/10.3390/geosciences12100371
 
        



 
       