Abstract
The default mode network (DMN) is a complex network that plays a significant and active role during naturalistic stimulation. Previous studies that have used naturalistic stimuli, such as real-life stories or silent or sonorous films, have found that the information processing involved a complex hierarchical set of brain regions, including the DMN nodes. The DMN is not involved in low-level features and is only associated with high-level content-related incoming information. The human sexual experience involves a complex set of processes related to both external context and inner processes. Since the DMN plays an active role in the integration of naturalistic stimuli and aesthetic perception with beliefs, thoughts, and episodic autobiographical memories, we aimed at quantifying the involvement of the nodes of the DMN during visual sexual stimulation. After a systematic search in the principal electronic databases, we selected 83 fMRI studies, and an ALE meta-analysis was calculated. We performed conjunction analyses to assess differences in the DMN related to stimulus modalities, sex differences, and sexual orientation. The results show that sexual stimulation alters the topography of the DMN and highlights the DMN’s active role in the integration of sexual stimuli with sexual schemas and beliefs.
1. Introduction
The default mode network (DMN) is a complex brain network that encompasses several brain regions, including the posterior cingulate cortex (PCC), anterior medial prefrontal cortex (mPFC), posterior inferior parietal lobule, and several temporal regions, which are usually active during a resting state and inactive when a subject is involved in a cognitive task [1,2,3,4,5].
The DMN usually reduces its activity during the performance of a cognitive task when compared to that during a rest state. However, the DMN is not just an intrinsic system that is only actively involved in internal or self-related and stimulus-independent processing; it is also active during specific tasks.
The DMN allows for the integration of three types of processes related to the assessment of incoming sensory input: both recent and active memories, which influence the present, and a set composed of long-term memories, beliefs, and emotions that peculiarly characterize a single individual [6]. The DMN has an active and dynamic role in the modeling of external context-dependent information. Previous studies that have used naturalistic stimuli, such as real-life stories and silent or sonorous films, have found that the information processing involves a complex, hierarchical set of brain regions, including the DMN nodes [7,8]. In similar cases, the DMN regions were responsible for integrating the information that accumulates during each scenario into the stimulus in a unique way [9]. This active role is confirmed by evidence that found that the DMN is able to integrate non-perceptual aspects of aesthetic experiences, confirming a pivotal role for the MPFC [10].
According to D’Argembeau et al. [11,12], the DMN is composed of multiple interacting systems [13,14]. The PCC and the anterior mPFC (amPFC) comprise the core system, interacting with the dorsal medial prefrontal cortex (dmPFCsys) and the medial temporal lobe (MTLsys) systems. The DmPFCsys encompasses the dorsomedial prefrontal cortex and the lateral temporal cortex to the temporoparietal junction and is implicated in mentalizing, metacognition, and scene construction [15]. The MLTsys consists of the ventral mPFC (vmPFC), the posterior inferior parietal cortices, and the retrosplenial cortex. Moreover, the hippocampal and parahippocampal areas are involved in the MLTsys, which is principally implicated in prospective memory. The three systems mentioned above show a strong interaction at different levels.
The hippocampus and the parahippocampal gyri (PHGs) represent the subcortical components of the DMN. Back projections from the hippocampal system to the parietal areas are important for memory recall [16]. According to previous findings, the PHG mediates between the PCC and the hippocampus [17]. Additionally, regions of the DMN within the MTL have been observed to be relevant in episodic memory processing [18]. Nevertheless, coupling with the hippocampus and the DMN hub occurs only during episodic memory retrieval processes and not during encoding [19].
The human sexual experience involves a complex set of processes related to both external contexts and inner processes, such as thoughts, beliefs, and past experiences and memories. Several functional magnetic resonance imaging (fMRI) studies have highlighted a complex set of cortical and subcortical brain regions related to sexual arousal or specific alterations observed in pathological conditions. Sexual arousal can be conceived as a specific part of general arousal, and it is related to sexual motivation and desire [20,21,22]. Sexual desire is commonly defined as the presence of sexual thoughts, fantasies, and motivations to engage in sexual behavior in response to relevant internal and external cues and is influenced by factors such as mood, health, and attitude. This excitement status prepares the body for sexual activity and results in a state of arousal. Sexual arousal is connected to sexual desire and is defined as both subjective and physiological [20]. Most of the fMRI studies have used visual sexual stimulation designs, in which the stimuli consisted of erotic or sexually explicit videos or photos. These studies highlighted a complex set of regions involved in the complex processes and mechanisms that accomplish one of the initial stages of sexual response, such as sexual arousal. According to the classical vision from Stoléru [23], this complexity can be neurophenomenologically summarized in four components that can process the appraisal of the sexual stimulus: the motivation and the emotional, autonomic, and sexual responses. Considering this, it can be possible to conceive sexual arousal as a cycle that comes naturally. Indeed, Georgiadis and Kringelbach [24] suggested that the cycle of sexual response and sexual pleasure may be considered the center of human sexual behavior. The stages of the human sexual response can be described as “the sexual pleasure cycle”, which differentiates among distinct phases, inspired by the approach to other pleasure-seeking behaviors, like eating.
Since the DMN plays an active role in the integration of naturalistic stimuli and aesthetic perception with beliefs, thoughts, and episodic autobiographical memories, the present meta-analysis aims to quantify the involvement of the nodes of the DMN during sexual stimulation. We also aimed to identify the influence of the stimulus type on the DMN and specific alterations in the DMN’s topological configuration related to pathological conditions, sexual orientation, and transsexualism.
2. Materials and Methods
2.1. Systematic Review Protocol, Study Selection, and Study Inclusion
The present meta-analysis followed the Preferred Reporting Items for Systematic Reviews and Meta-Analyses (PRISMA) guidelines and the PICO research-question strategy protocol (Appendix A) [25]. The flowchart in Figure 1 depicts the steps of the selection process.
Figure 1.
Flowchart of the selection process. ** From Page MJ, et al. [25].
fMRI studies about sexual arousal evoked using visual sexual stimulation published in English between 2000 and 2024 were systematically searched in PubMed, Web of Science, and Scopus.
The computer search was based on the PICO approach, combining the keywords “sexual arousal” and “fMRI” (sexual arousal: “sexual arousal” [MeSH Terms] OR (“sexual” [All Fields] AND “arousal” [All Fields]) OR “sexual arousal” [All Fields]; fMRI: “magnetic resonance imaging” [MeSH Terms] OR (“magnetic” [All Fields] AND “resonance” [All Fields] AND “imaging” [All Fields]) OR “magnetic resonance imaging” [All Fields] OR “fmri” [All Fields]).
We selected studies that met the following criteria: (1) MNI or Talairach coordinates that were mentioned in the tables, figure captions, or results section; (2) studies that used visual, tactile, and olfactory modalities related to sexual behavior (i.e., visual or audio-visual sexual stimulation; olfactory stimulation; tactile sexual stimulation). First, the presence of tridimensional (MNI or Talairach) coordinates was checked and retrieved. Then, all the reported Talairach coordinates were transformed in MNI using the tool “convert foci” present in GingerALE. The obtained MNI coordinates were thus screened to find those representing DMN nodes according to those used by Esposito et al. [26]. We included the following bilateral AAL clusters: “CINGULUM_ANT; FRONTAL_SUP_MED; HIPPOCAMPUS; PARAHIPPOCAMPAL; TEMPORAL_MID; CINGULUM_POST; ANGULAR; PRECUNEUS; PARIETAL_INF”. Moreover, we used the AAL atlas implemented in MRIcron (v.1.0.2) to assess the correspondence between the retrieved coordinates and the DMN nodes [27].
We obtained 83 [28,29,30,31,32,33,34,35,36,37,38,39,40,41,42,43,44,45,46,47,48,49,50,51,52,53,54,55,56,57,58,59,60,61,62,63,64,65,66,67,68,69,70,71,72,73,74,75,76,77,78,79,80,81,82,83,84,85,86,87,88,89,90,91,92,93,94,95,96,97,98,99,100,101,102,103,104,105,106,107,108,109,110] studies after duplicate removal (Figure 1). Subsequently, we retrieved all the studies and screened them to identify other studies of interest. Similarly, all the narrative, systematic reviews, and meta-analyses were retrieved and checked to find relevant studies concordant with our search. Two authors independently performed the literature search and assessment (Table 1 and Figure 1).
Table 1.
Inclusion and exclusion criteria for the study selection.
2.2. ALE fMRI Meta-Analysis
We performed an activation likelihood estimation (ALE) using GingerAle 3.02 (https://www.brainmap.org/ale/ accessed on 1 January 2024) [111] on the DMN clusters reported in the included studies. Since most of the studies reported coordinates resulting from the contrast analyses, whereas some of the included studies also reported coordinates for each stimulus category or group, we decided to report both types of results.
ALE is a widely used analytical technique for performing coordinate-based meta-analyses and determining the convergence of foci, as reported in previous studies. GingerAle implements the ALE algorithm and calculates the maximum probability of activation to create modeled activation maps for each experiment. Then, the union of all modeled activation maps was computed voxel by voxel, and each sample size was taken into consideration. The obtained whole-brain ALE maps were created by comparison with a null distribution map. The reliability of an ALE map was calculated by applying permutation, which allowed for the determination of the difference between the true activation foci convergence and random clustering [112].
To assess the involvement of the DMN during sexual stimulation, an ALE map with all the DMN-related coordinates was calculated (FDR pN < 0.01 corrected). Moreover, contrast analyses were performed to assess the following:
- (i)
- Differences between videos and pictures, highlighting the DMN’s involvement in responses to dynamic and static stimuli.
- (ii)
- Similarly, differences in the DMN nodes between heterosexuals and homosexuals and between heterosexuals and transsexuals;
- (iii)
- Differences between heterosexual healthy subjects and pedophiles;
- (iv)
- Differences between heterosexual healthy men and patients affected by sexual dysfunctions, such as psychogenic erectile dysfunction or premature ejaculation.
Due to the number of studies, an FDR correction was applied when the number of studies was greater than or equal to 35. With < 35 studies, a p < 0.001 was applied.
Contrast analyses were carried out using conjunction analysis. Specifically, conjunction examines two different sets of foci for statistically significant differences in convergence. It contrasts and compares two datasets, showing their similarities, by calculating the voxelwise minimum value of the input ALE images.
We used Mango 4.1 (http://ric.uthscsa.edu/mango/mango.html, accessed on 1 January 2024) [113] to visualize the results by navigating between the volumes of the image of an MRI template in the MNI space with a 2 × 2 × 2 mm resolution (https://www.brainmap.org/ale/, accessed on 1 January 2024).
3. Results
3.1. Principal Characteristics of the Included Studies
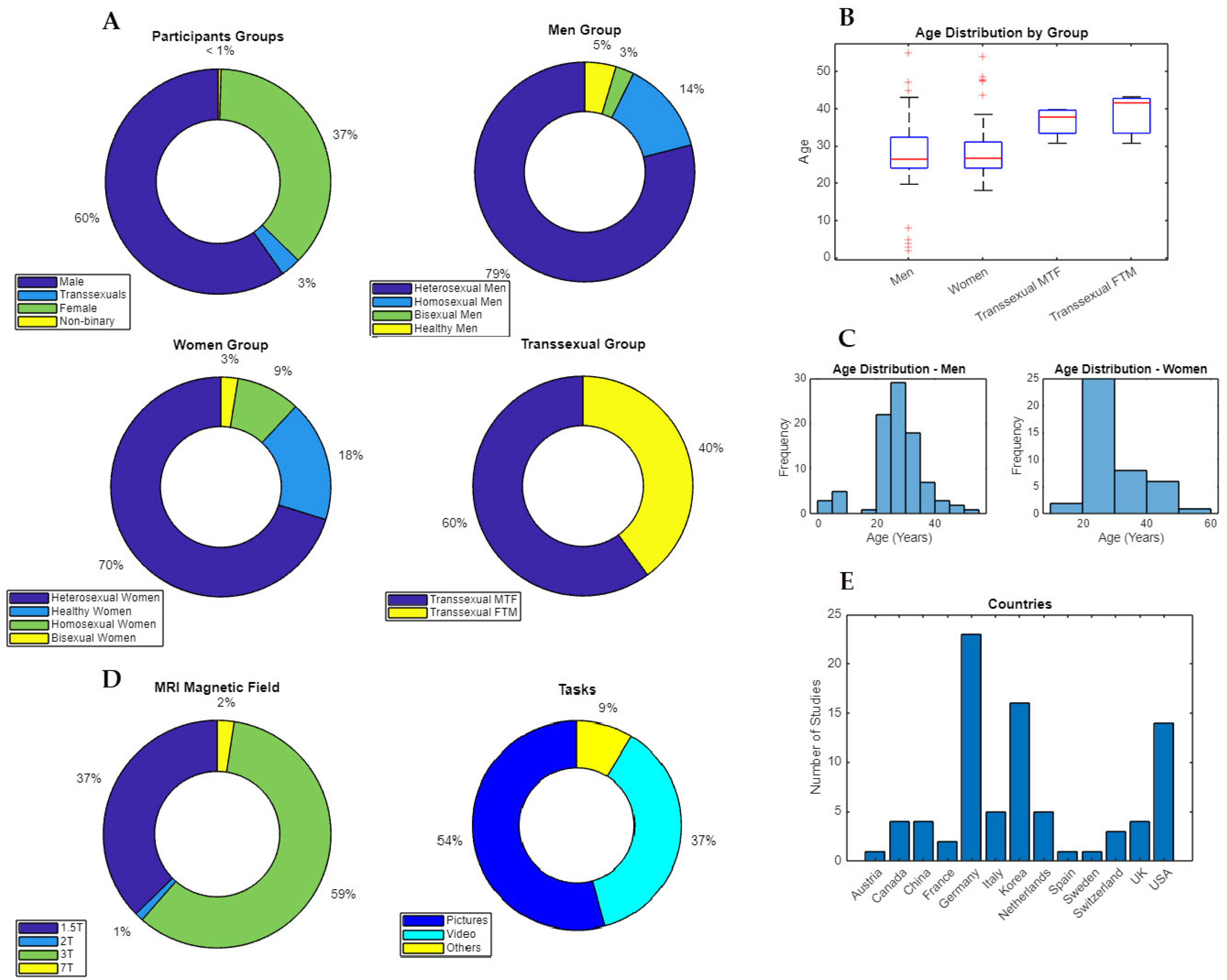
The results of this meta-analysis are based on data obtained from 2587 participants, of which 1545 were men (59.72%) and 956 were women (36.95%). Among the male participants, 1220 participants identified as heterosexual (78.96%), 212 as homosexual (13.72%), and 42 as bisexual (2.72%). The sexual orientation of 71 participants was not mentioned, and they were merely reported as healthy (4.60%). Among all the male participants, 92 were patients (5.95%), 76 of whom were heterosexual (82.61%), 12 of whom were homosexual (13.04%), and 4 of whom were bisexual (4.35%). Moreover, 71 men were reported to have sexual dysfunction (4.60%), such as psychogenic erectile dysfunction (41–2.65%) and pedophilia (30–1.94%). Among those in the pedophilia group, 14 were heterosexual (46.67%), 12 were homosexual (40.00%), and 4 were bisexual (13.33%). Another 10 men were reported to have major depression disorder (MDD—0.64%), and 11 had infarctions in the right middle cerebral artery (MCA) territory (0.71%).
Of all the female participants, 671 were heterosexual (70.19%), 90 were homosexual (9.41%), 24 were bisexual (2.51%), and 171 were healthy individuals (17.89%). Among the women, only 27 (2.82%) were breast cancer survivors.
This meta-analysis included not only cisgender participants but also transsexual and nonbinary participants. More specifically, 45 of the participants were transsexual male-to-female (1.74%), 30 were transsexual female-to-male (1.16%), and 11 were nonbinary (0.43%).
The age range of the participants was between 18 and 56 years, with an average of 30.66 years. The mean age was 31.63 years for the male participants, 25.48 for the female participants, 36 for the transsexual participants, and 37 for the nonbinary participants.
Most of the studies were from Germany (27.71%), South Korea (19.28%), and the United States of America (16.87%). The rest were from the Netherlands (6.02%), Italy (6.02%), Canada (4.82%), China (4.82%), the United Kingdom (4.82%), Switzerland (3.61%), France (2.41%), Spain (1.20%), Sweden (1.20%), and Austria (1.20%).
Most studies used only pictures (54.22%) or videos (37.35%) as stimuli. Only two studies used both pictures and videos (2.41%). Moreover, two studies used pictures in combination with a task, one with an approach-avoidance task (1.20%), and the other with a choice reaction time task (1.20%). The rest used video games (1.20%), self-induced orgasm (1.20%), or genital (0.97%) or olfactory stimulation (1.20%).
There was some variation in terms of the magnetic field strength of the scanners used in the studies. The majority of the studies used 3T MRI scanners (59.04%). The remaining studies used 1.5 T (37.35%), 7 T (2.41%), and 2 T (1.20%) MRI scanners. A total of 62 studies performed whole-brain analysis (74.70%), 16 performed ROI-based analysis (19.28%), and 5 performed a combination of both (6.02%).
In four of the studies, the effects of medication were examined (4.82%). Of these, three had randomized double-blind designs (75.00%), two were placebo-controlled (50.00%), one was within-subjects (25.00%), one had a crossover design (25.00%), and one compared only two groups of women who were taking or not taking oral contraception during their menstrual cycle (25.00%). All the studies assessed different medications, such as bupropion and paroxetine, gamma-hydroxybutyrate (GHB), oral contraception, and kisspeptin.
Furthermore, of all 83 studies, 60 used MNI coordinates (72.29%), and 23 used Talairach coordinates (27.71%; Figure 2).
Figure 2.
Characteristics of the included studies. (A). Four doughnut charts of the number of participants for each gender group (men, women, transsexuals, and nonbinary) and each sexual orientation subgroup for men and women (heterosexual, homosexual, bisexual, or healthy) and for transsexuals (transsexual male to female and transsexual female to male) (B). Boxplot of the age distribution of men, women, and both transsexual subgroups (C). Histograms of the age distribution of the male and female participants (D). Doughnut charts related to the number of types of MRI machine magnetic field strengths and tasks used in the studies (E). Bar plot of the number of studies produced by each country. All the graphs were created using MATLAB (vers. 2022b).
3.2. Brain Results
To assess the involvement of the DMN during sexual stimulation in healthy heterosexual participants or in specific populations or pathological conditions, we performed a series of meta-analyses, followed by conjunction analyses, which allowed for a comparison of the results. During sexual stimulation, all the principal nodes included in the DMN were involved. However, more homogeneous clusters, with higher ALE values, were found in correspondence with the ACC/mPFC and parahippocampal/hippocampi bilaterally (FDR pN < 0.01; Figure 3).
Figure 3.
ALE map of the resulting DMN nodes during sexual stimulation. Maps are overimposed on a 2 × 2 × 2 mm MNI template according to neurological convention. The colored bar denotes the corresponding ALE value ranges indicated on the maps (FDR pN < 0.01).
As mentioned above, most of the studies applied visual sexual stimulation, using silent, audiovisual stimuli or pictures/photos. To assess topological alterations in the involvement of DMN nodes during sexual stimulation, we performed a conjunction analysis to compare the use of video and pictures. This analysis highlighted the involvement of subcortical components of the DMN (FDR pN < 0.01) during video > pictures in correspondence with the bilateral parahippocampal and hippocampal regions.
To study the presence of between-sex differences in the DMN, we compared the studies that investigated sexual arousal in heterosexual men and women (men ∩ women) using a conjunction analysis, with uncorrected p < 0.001, since 40 studies for men and 13 for women were included. The results highlight convergent significant clusters corresponding to the ACC/mPFC and parahippocampal/hippocampi bilaterally and to the left angular gyrus/IPL (Table 2).
Table 2.
Brain clusters resulting from ALE meta-analysis performed for all the studies.
Similarly, the contrast between heterosexuals (both males and females) and (∩) homosexuals (both males and females) showed homogenous convergent clusters in the left parahippocampus and dorsomedial PFC/ACC (Table 3; Figure 4).
Table 3.
Brain clusters resulting from the conjunction analysis between video and picture stimuli, men and women, and heterosexual and homosexual participants (p < 0.001).
Figure 4.
Conjunction ALE map results. Activation likelihood maps resulting from the contrast between videos and pictures (TOP), between men and women (bottom left), and between heterosexual and homosexual subjects (bottom right). The contrast map “video vs. pictures” (FDR pN < 0.01) showed convergent activity in the ventral parahippocampal regions of the DMN. The two contrast maps at the bottom (p < 0.001) show the involvement of both subcortical and cortical DMN nodes in sex differences and sexual preference. The maps are superimposed on an MNI 2 × 2 × 2 mm template according to neurological convention. The colored bars under each map indicate the ALE value ranges.
The studies that investigated patients with mood disorders, sexual dysfunctions, MTF and FTM transsexuals, and pharmacological trials were not included in the contrast analyses due to the low number of studies (n < 10) and fewer foci.
4. Discussion
Despite the growing interest in the cerebral underpinnings of human sexual behavior and sexual arousal, little is known about the role of the DMN in the processing of sexual stimuli. Most of the information about the role played by the DMN in sexual behavior is from clinical fMRI studies. In recent years, several fMRI studies have investigated alterations in the DMN nodes during the resting state, predominantly involving male participants. According to our systematic search, only 83 of the 103 studies showed specific results and coordinates corresponding to the DMN nodes and hubs. The global ALE map showed that during sexual stimulation in all the studies, the topography of the DMN was preserved, including all the principal cortical and subcortical nodes. Naturalistic, emotionally arousing stimuli allow for the activation of the DMN. Several studies have shown that the DMN plays an active role during the processing of audiovisual stimuli, such as silent movies and listening to stories [114]. Interestingly, our results reveal wider involvement and more convergent results in the large anterior cluster, which brings together the ACC and mPFC. The ACC and mPFC together represent one of the hubs of the DMN. Conversely, we found weaker results corresponding to the hubs, including the PCC and precuneus. This result can confirm a specific role played by the anterior cingulate and medial prefrontal cortices during the elaboration of complex naturalistic stimuli and with the formation and recall of schemas. The formation and recall of specific schemas rely on regions such as the ventromedial prefrontal cortex, precuneus, bilateral temporoparietal junction, and hippocampus [115]. Sexual intercourse, as shown in a video, involves a series of schemas. For instance, several studies have shown that all video stimuli show specific phases of sexual intercourse, such as petting and vaginal or oral intercourse. Despite this, sexual self-schema is a part of a broader concept of the self that is believed to be crucial for intrapersonal and interpersonal sexual relationships [116]. Previous findings have revealed that positive schematic women and men reported higher levels of sexual self-efficacy and lower levels of sexual aversion [117,118].
We found that visual stimuli, such as pictures and videos, were the main modality used to elicit genital or subjective sexual arousal. Among the brain networks, the DMN was found to be relevant for carrying an internal model of information from narrative content, and its clusters were found to play an important role in the representation of event models and schemas [119,120]. The response of the DMN was hypothesized to be strictly related to the content of the stimuli over long time scales and is invariant to changes in low-level properties of the stimuli [6]. Moreover, studies that used the same content presented with different modalities (i.e., audiovisual vs. written content) found no dramatic changes in the temporal DMN responses [119,121]. However, according to our findings, different stimulus modalities and paradigms elicited different DMN responses. Comparisons between dynamic and static stimuli, such as videos and pictures, respectively, highlighted the role played by subcortical nodes of the DMN. Convergent results were found in the bilateral parahippocampal regions. Coactivation of the DMN and subcortical regions, such as the hippocampus, was found during naturalistic movie viewing and was related to the fluctuation in surprise experienced by the participants [114]. During surprise, the hippocampal regions included in the DMN integrate three different processes relevant to the experience of surprise: switching between unexpected external information in input, episodic memories related to incoming information, and the internal model. However, the angular gyrus plays a relevant role in this integration process [122]. No involvement of the angular gyrus was observed for the comparison between videos and pictures in our study. The involvement of the parahippocampus could also be related to the sensitivity of the DMN to long-term memories. Sexual activities, as depicted in a video, could induce the retrieval of long-term content-related memories. In a recent study, an excerpt from the Twilight Zone was shown to participants. Those who had a background in the plot of the TV series showed increased connectivity between the DMN nodes and the hippocampus [123].
Most of the studies have investigated the brain correlates of sexual arousal in healthy heterosexual male participants, representing a great methodological and theoretical limitation that can indirectly affect our results and their interpretation [124]. We observed significant sex differences in the DMN, which partially preserved its topography with a pattern involving the mPFC, parahippocampus, and left precuneus/IPL.
The DMN is highly sensitive to individual differences in the interpretation of external incoming content. Most of the sexual stimuli used in previous studies were adapted to a male heterosexual audience. For instance, it is possible to hypothesize that women inexperienced or unfamiliarized with explicit sexual video clips might feel more discomfort or be more negatively affected than when viewing erotic or romantic ones. In this way, Borg et al. [31] demonstrated a similar brain activation pattern to “explicit penetrative” or sadomasochistic and disgusting stimuli in women. Moreover, only a few studies have taken into account hormonal cycling shifts that could affect desire, sexual motivation, and arousal in women. However, as mentioned above, the active DMN integrates incoming information over a long time scale with schemas, beliefs, and memories. Beliefs play a crucial triggering role in sexual arousal in men. Similarly, sexual and erotic fantasies can be a trigger for sexual arousal in women. However, our results seem to confirm that male sexual arousal is more stimulus-dependent than fantasy-evoked [125].
In recent years, some studies have shown that kisspeptin could play a role in sexual motivation and desire in both men and women [126,127]. Kisspeptin administration can negatively affect the role of the dmPFC system in sexual processing in healthy men. This neuropeptide can improve desire and drive aspects of motivation [128]. In a randomized clinical trial, Thurston and colleagues [128] reported that the administration of kisspeptin to premenopausal women with hypoactive sexual desire disorder improved their brain response to sexual stimuli and attractive faces. Interestingly, they found an association between kisspeptin and activation of the hippocampus during visual sexual stimulation. The hippocampus and middle and inferior frontal regions contain a high density of kisspeptin receptor-1 (KISS1R) [129].
Similar to the contrast observed between men and women, the contrast between heterosexual and homosexual participants highlights the interplay between the mPFC/ACC node and the left parahippocampus. A recent study indicated that 98% of homosexual men reported having viewed pornography within 30 days, which is more than the 72% of heterosexual men [130]. Our results not only show an alteration in the DMN pattern but also confirm a possible role of its previously mentioned nodes in the integration between schemas and incoming information processing. However, in homosexual women and men, sexual self-schemas have been less studied, and less is known about their influence on contextual incoming information processing. Moreover, Lau et al. [131,132] reported that 42.5% of gay men and 75.6% of lesbian women reported at least one sexual problem during their lifetime. These sexual problems can be reflected in negative sexual schemas that are common among homosexuals with mood disorders. Compared to heterosexual individuals, homosexual individuals tend to activate cognitive schemas of incompetence, self-depreciation, and helplessness [133].
5. Conclusions and Limitations
The present ALE meta-analysis shows, for the first time, a possible active role of the DMN during the processing of sexual stimuli. Moreover, our results highlight topographic changes in men, women, and homosexuals that could underlie differences not only in the processing of incoming information but also in its integration with schemas, beliefs, and memories that play a crucial role in human sexual behavior. Intriguingly, the results shown in this study highlight the importance of sexual stimulation as a tool to discover specific alterations in the integration between incoming information schemas and beliefs. This could provide several insights that are helpful for developing new psychotherapy strategies to treat sexual dysfunctions and sexual perturbation. Following new advances, the role played by other brain networks also needs to be assessed [134]. Further studies could assess the intersubject connectivity during sexual stimulation [135] and the relevance of the DMN during ecological experiences using different imaging techniques, such as functional near-infrared spectroscopy (fNIRS) [136].
However, several limitations need to be acknowledged. First, as we stated, we were not able to perform specific analyses to assess alterations in the DMN activity during sexual stimulation in transsexuals, pedophiles, or patients. Furthermore, our results did not consider the differences related to the experimental paradigms used. Similarly, some studies have indicated the presence of healthy participants without mentioning sexual orientation.
Author Contributions
Conceptualization, J.P., V.M., N.C. and C.C. (Camila Comprido); methodology, J.P. and N.C.; software, N.C. and J.P.; validation, J.P., N.C., C.C. (Carlotta Cogoni), and D.P.; formal analysis, J.P. and N.C.; investigation, J.P.; resources, N.C.; data curation, J.P. and N.C.; writing—original draft preparation, N.C. and J.P.; writing—review and editing, R.F., C.C. (Carlotta Cogoni), D.P. and M.T.M.; visualization, N.C.; supervision, N.C. All authors have read and agreed to the published version of the manuscript.
Funding
C.Ci. is supported by a grant from FCT (EXPL/PSI-GER/1148/2021).
Institutional Review Board Statement
Not applicable.
Informed Consent Statement
Not applicable.
Data Availability Statement
Not applicable.
Conflicts of Interest
The authors declare no conflicts of interest.
Appendix A
- PICO Worksheet and Search Strategy Protocol
- 1. Define your question using PICO by identifying the patient/problem, intervention, comparison group, and outcome:
- Patient/Problem: Healthy adults; patients with sexual dysfunction; sexual offenders; pedophiles.
- Intervention: fMRI.
- Comparison: Studies using different types of sexual stimulation tasks.
- Outcome: Topographic alteration of DMN during sexual stimulation.
- Write out your question
- 2. Type of question/problem: Alteration and involvement of DMN subsystems in imaging studies about human sexual behavior.
- Circle one: Therapy/Prevention/Diagnosis/Etiology/Prognosis.
- 3. Type of studies/publications to include in the search:
- Check all that apply:
- □ Meta-analysis □ Systematic review
- □ Clinical practice guidelines □ Randomized controlled trial
- □ Research studies or articles □ Case report or series
- □ Research report or other grey literature
- 4. List main topics and alternate terms from your PICO question that can be used for your search: “Sexuality”; “Sexual behavior”; “Sexual arousal”
- 5. Write out your search strategy: sexual arousal: “sexual arousal”[MeSH Terms] OR (“sexual”[All Fields] AND “arousal”[All Fields]) OR “sexual arousal”[All Fields]; fMRI: “magnetic resonance imaging”[MeSH Terms] OR (“magnetic”[All Fields] AND “resonance”[All Fields] AND “imaging”[All Fields]) OR “magnetic resonance imaging”[All Fields] OR “fMRI”[All Fields]
- 6. List any limits that may apply to your search:
- Gender: Female; Male.
- Age: Adult.
- Year(s) of publication: no limits; Language(s): English
- 7. List the databases you will search: PubMed, Scopus, and Web of Science.
References
- Greicius, M.D.; Krasnow, B.; Reiss, A.L.; Menon, V. Functional connectivity in the resting brain: A network analysis of the default mode hypothesis. Proc. Natl. Acad. Sci. USA 2003, 100, 253–258. [Google Scholar] [CrossRef]
- Imperatori, C.; Della Marca, G.; Brunetti, R.; Carbone, G.A.; Massullo, C.; Valenti, E.M.; Amoroso, N.; Maestoso, G.; Contardi, A.; Farina, B. Default Mode Network alterations in alexithymia: An EEG power spectra and connectivity study. Sci. Rep. 2016, 6, 36653. [Google Scholar] [CrossRef][Green Version]
- Raichle, M.E. The brain’s default mode network. Annu. Rev. Neurosci. 2015, 38, 433–447. [Google Scholar] [CrossRef]
- Raichle, M.E.; MacLeod, A.M.; Snyder, A.Z.; Powers, W.J.; Gusnard, D.A.; Shulman, G.L. A default mode of brain function. Proc. Natl. Acad. Sci. USA 2001, 98, 676–682. [Google Scholar] [CrossRef]
- Crittenden, B.M.; Mitchell, D.J.; Duncan, J. Recruitment of the default mode network during a demanding act of executive control. Elife 2015, 4, e06481. [Google Scholar] [CrossRef]
- Yeshurun, Y.; Nguyen, M.; Hasson, U. The default mode network: Where the idiosyncratic self meets the shared social world. Nat. Rev. Neurosci. 2021, 22, 181–192. [Google Scholar] [CrossRef]
- Hasson, U.; Yang, E.; Vallines, I.; Heeger, D.J.; Rubin, N. A hierarchy of temporal receptive windows in human cortex. J. Neurosci. 2008, 28, 2539–2550. [Google Scholar] [CrossRef]
- Lerner, Y.; Honey, C.J.; Silbert, L.J.; Hasson, U. Topographic mapping of a hierarchy of temporal receptive windows using a narrated story. J. Neurosci. 2011, 31, 2906–2915. [Google Scholar] [CrossRef]
- Hasson, U.; Chen, J.; Honey, C.J. Hierarchical process memory: Memory as an integral component of information processing. Trends Cogn. Sci. 2015, 19, 304–313. [Google Scholar] [CrossRef]
- Vessel, E.A.; Isik, A.I.; Belfi, A.M.; Stahl, J.L.; Starr, G.G. The default-mode network represents aesthetic appeal that generalizes across visual domains. Proc. Natl. Acad. Sci. USA 2019, 116, 19155–19164. [Google Scholar] [CrossRef]
- D’Argembeau, A.; Collette, F.; Van der Linden, M.; Laureys, S.; Del Fiore, G.; Degueldre, C.; Luxen, A.; Salmon, E. Self-referential reflective activity and its relationship with rest: A PET study. Neuroimage 2005, 25, 616–624. [Google Scholar] [CrossRef]
- D’Argembeau, A.; Ruby, P.; Collette, F.; Degueldre, C.; Balteau, E.; Luxen, A.; Maquet, P.; Salmon, E. Distinct regions of the medial prefrontal cortex are associated with self-referential processing and perspective taking. J. Cogn. Neurosci. 2007, 19, 935–944. [Google Scholar] [CrossRef]
- Andrews-Hanna, J.R.; Reidler, J.S.; Sepulcre, J.; Poulin, R.; Buckner, R.L. Functional-anatomic fractionation of the brain’s default network. Neuron 2010, 65, 550–562. [Google Scholar] [CrossRef]
- Lee, T.W.; Xue, S.W. Functional connectivity maps based on hippocampal and thalamic dynamics may account for the default-mode network. Eur. J. Neurosci. 2018, 47, 388–398. [Google Scholar] [CrossRef]
- Hassabis, D.; Maguire, E.A. Deconstructing episodic memory with construction. Trends Cogn. Sci. 2007, 11, 299–306. [Google Scholar] [CrossRef]
- Rolls, E.T. Spatial coordinate transforms linking the allocentric hippocampal and egocentric parietal primate brain systems for memory, action in space, and navigation. Hippocampus 2020, 30, 332–353. [Google Scholar] [CrossRef]
- Ward, A.M.; Schultz, A.P.; Huijbers, W.; Van Dijk, K.R.; Hedden, T.; Sperling, R.A. The parahippocampal gyrus links the default-mode cortical network with the medial temporal lobe memory system. Hum. Brain Mapp. 2014, 35, 1061–1073. [Google Scholar] [CrossRef]
- Rugg, M.D.; Vilberg, K.L. Brain networks underlying episodic memory retrieval. Curr. Opin. Neurobiol. 2013, 23, 255–260. [Google Scholar] [CrossRef]
- Huijbers, W.; Pennartz, C.M.; Cabeza, R.; Daselaar, S.M. The hippocampus is coupled with the default network during memory retrieval but not during memory encoding. PLoS ONE 2011, 6, e17463. [Google Scholar] [CrossRef]
- Calabrò, R.S.; Cacciola, A.; Bruschetta, D.; Milardi, D.; Quattrini, F.; Sciarrone, F.; la Rosa, G.; Bramanti, P.; Anastasi, G. Neuroanatomy and function of human sexual behavior: A neglected or unknown issue? Brain Behav. 2019, 9, e01389. [Google Scholar] [CrossRef]
- Georgiadis, J.R. Functional neuroanatomy of human cortex cerebri in relation to wanting sex and having it. Clin. Anat. 2015, 28, 314–323. [Google Scholar] [CrossRef]
- Ågmo, A.; Laan, E. Sexual incentive motivation.; sexual behavior.; and general arousal: Do rats and humans tell the same story? Neurosci. Biobehav. Rev. 2022, 135, 104595. [Google Scholar] [CrossRef]
- Stoléru, S.; Fonteille, V.; Cornélis, C.; Joyal, C.; Moulier, V. Functional neuroimaging studies of sexual arousal and orgasm in healthy men and women: A review and meta-analysis. Neurosci. Biobehav. Rev. 2012, 36, 1481–1509. [Google Scholar] [CrossRef]
- Georgiadis, J.R.; Kringelbach, M.L. The human sexual response cycle: Brain imaging evidence linking sex to other pleasures. Prog. Neurobiol. 2012, 98, 49–81. [Google Scholar] [CrossRef]
- Page, M.J.; McKenzie, J.E.; Bossuyt, P.M.; Boutron, I.; Hoffmann, T.C.; Mulrow, C.D.; Shamseer, L.; Tetzlaff, J.M.; Akl, E.A.; Brennan, S.E.; et al. The PRISMA 2020 statement: An updated guideline for reporting systematic reviews. BMJ 2021, 372, n71. [Google Scholar] [CrossRef]
- Esposito, R.; Cieri, F.; Chiacchiaretta, P.; Cera, N.; Lauriola, M.; Di Giannantonio, M.; Tartaro, A.; Ferretti, A. Modifications in resting state functional anticorrelation between default mode network and dorsal attention network: Comparison among young adults.; healthy elders and mild cognitive impairment patients. Brain Imaging Behav. 2018, 12, 127–141. [Google Scholar] [CrossRef]
- Rolls, E.T.; Huang, C.C.; Lin, C.P.; Feng, J.; Joliot, M. Automated anatomical labelling atlas 3. Neuroimage 2020, 206, 116189. [Google Scholar] [CrossRef]
- Kim, G.W.; Jeong, G.W. A comparative study of brain activation patterns associated with sexual arousal between males and females using 3.0-T functional magnetic resonance imaging. Sex. Health 2014, 11, 11–16. [Google Scholar] [CrossRef]
- Demos, K.E.; Heatherton, T.F.; Kelley, W.M. Individual differences in nucleus accumbens activity to food and sexual images predict weight gain and sexual behavior. J. Neurosci. 2012, 32, 5549–5552. [Google Scholar] [CrossRef]
- Wehrum-Osinsky, S.; Klucken, T.; Kagerer, S.; Walter, B.; Hermann, A.; Stark, R. At the second glance: Stability of neural responses toward visual sexual stimuli. J. Sex. Med. 2014, 11, 2720–2737. [Google Scholar] [CrossRef]
- Borg, C.; Georgiadis, J.R.; Renken, R.J.; Spoelstra, S.K.; Weijmar Schultz, W.; de Jong, P.J. Brain processing of visual stimuli representing sexual penetration versus core and animal-reminder disgust in women with lifelong vaginismus. PLoS ONE 2014, 9, e84882. [Google Scholar] [CrossRef]
- Oei, N.Y.L.; Both, S.; van Heemst, D.; van der Grond, J. Acute stress-induced cortisol elevations mediate reward system activity during subconscious processing of sexual stimuli. Psychoneuroendocrinology 2014, 39, 111–120. [Google Scholar] [CrossRef]
- Wehrum, S.; Klucken, T.; Kagerer, S.; Walter, B.; Hermann, A.; Vaitl, D.; Stark, R. Gender commonalities and differences in the neural processing of visual sexual stimuli. J. Sex. Med. 2013, 10, 1328–1342. [Google Scholar] [CrossRef]
- Kim, T.H.; Kang, H.K.; Jeong, G.W. Assessment of brain metabolites change during visual sexual stimulation in healthy women using functional MR spectroscopy. J. Sex. Med. 2013, 10, 1001–1011. [Google Scholar] [CrossRef]
- Kagerer, S.; Klucken, T.; Wehrum, S.; Zimmermann, M.; Schienle, A.; Walter, B.; Vaitl, D.; Stark, R. Neural activation toward erotic stimuli in homosexual and heterosexual males. J. Sex. Med. 2011, 8, 3132–3143. [Google Scholar] [CrossRef]
- Bianchi-Demicheli, F.; Cojan, Y.; Waber, L.; Recordon, N.; Vuilleumier, P.; Ortigue, S. Neural bases of hypoactive sexual desire disorder in women: An event-related FMRI study. J. Sex. Med. 2011, 8, 2546–2559. [Google Scholar] [CrossRef]
- Ponseti, J.; Granert, O.; Jansen, O.; Wolff, S.; Mehdorn, H.; Bosinski, H.; Siebner, H. Assessment of sexual orientation using the hemodynamic brain response to visual sexual stimuli. J. Sex. Med. 2009, 6, 1628–1634. [Google Scholar] [CrossRef]
- Schiffer, B.; Paul, T.; Gizewski, E.; Forsting, M.; Leygraf, N.; Schedlowski, M.; Kruger, T.H. Functional brain correlates of heterosexual paedophilia. Neuroimage 2008, 41, 80–91. [Google Scholar] [CrossRef]
- Moulier, V.; Mouras, H.; Pélégrini-Issac, M.; Glutron, D.; Rouxel, R.; Grandjean, B.; Bittoun, J.; Stoléru, S. Neuroanatomical correlates of penile erection evoked by photographic stimuli in human males. Neuroimage 2006, 33, 689–699. [Google Scholar] [CrossRef]
- Stark, R.; Schienle, A.; Girod, C.; Walter, B.; Kirsch, P.; Blecker, C.; Ott, U.; Schäfer, A.; Sammer, G.; Zimmermann, M.; et al. Erotic and disgust-inducing pictures--differences in the hemodynamic responses of the brain. Biol. Psychol. 2005, 70, 19–29. [Google Scholar] [CrossRef]
- Klucken, T.; Schweckendiek, J.; Merz, C.J.; Tabbert, K.; Walter, B.; Kagerer, S.; Vaitl, D.; Stark, R. Neural activations of the acquisition of conditioned sexual arousal: Effects of contingency awareness and sex. J. Sex. Med. 2009, 6, 3071–3085. [Google Scholar] [CrossRef] [PubMed]
- Mouras, H.; Stoléru, S.; Bittoun, J.; Glutron, D.; Pélégrini-Issac, M.; Paradis, A.L.; Burnod, Y. Brain processing of visual sexual stimuli in healthy men: A functional magnetic resonance imaging study. Neuroimage 2003, 20, 855–869. [Google Scholar] [CrossRef] [PubMed]
- Walter, M.; Bermpohl, F.; Mouras, H.; Schiltz, K.; Tempelmann, C.; Rotte, M.; Heinze, H.J.; Bogerts, B.; Northoff, G. Distinguishing specific sexual and general emotional effects in fMRI-subcortical and cortical arousal during erotic picture viewing. Neuroimage 2008, 40, 1482–1494. [Google Scholar] [CrossRef] [PubMed]
- Strahler, J.; Kruse, O.; Wehrum-Osinsky, S.; Klucken, T.; Stark, R. Neural correlates of gender differences in distractibility by sexual stimuli. Neuroimage 2018, 176, 499–509. [Google Scholar] [CrossRef] [PubMed]
- Safron, A.; Klimaj, V.; Sylva, D.; Rosenthal, A.M.; Li, M.; Walter, M.; Bailey, J.M. Neural Correlates of Sexual Orientation in Heterosexual, Bisexual, and Homosexual Women. Sci. Rep. 2018, 8, 673. [Google Scholar] [CrossRef] [PubMed]
- Ponseti, J.; Bosinski, H.A.; Wolff, S.; Peller, M.; Jansen, O.; Mehdorn, H.M.; Büchel, C.; Siebner, H.R. A functional endophenotype for sexual orientation in humans. Neuroimage 2006, 33, 825–833. [Google Scholar] [CrossRef] [PubMed]
- Unterhorst, K.; Gerwinn, H.; Pohl, A.; Kärgel, C.; Massau, C.; Ristow, I.; Kneer, J.; Amelung, T.; Walter, H.; Beier, K.; et al. An Exploratory Study on the Central Nervous Correlates of Sexual Excitation and Sexual Inhibition. J. Sex. Res. 2020, 57, 397–408. [Google Scholar] [CrossRef] [PubMed]
- Arnow, B.A.; Desmond, J.E.; Banner, L.L.; Glover, G.H.; Solomon, A.; Polan, M.L.; Lue, T.F.; Atlas, S.W. Brain activation and sexual arousal in healthy.; heterosexual males. Brain 2002, 125, 1014–1023. [Google Scholar] [CrossRef]
- Oh, S.K.; Kim, G.W.; Yang, J.C.; Kim, S.K.; Kang, H.K.; Jeong, G.W. Brain activation in response to visually evoked sexual arousal in male-to-female transsexuals: 3.0 tesla functional magnetic resonance imaging. Korean J. Radiol. 2012, 13, 257–264. [Google Scholar] [CrossRef]
- Wernicke, M.; Hofter, C.; Jordan, K.; Fromberger, P.; Dechent, P.; Müller, J.L. Neural correlates of subliminally presented visual sexual stimuli. Conscious. Cogn. 2017, 49, 35–52. [Google Scholar] [CrossRef]
- Seok, J.W.; Park, M.S.; Sohn, J.H. Neural pathways in processing of sexual arousal: A dynamic causal modeling study. Int. J. Impot. Res. 2016, 28, 184–188. [Google Scholar] [CrossRef] [PubMed]
- Seo, Y.; Jeong, B.; Kim, J.W.; Choi, J. Plasma concentration of prolactin.; testosterone might be associated with brain response to visual erotic stimuli in healthy heterosexual males. Psychiatry Investig. 2009, 6, 194–203. [Google Scholar] [CrossRef] [PubMed]
- Costumero, V.; Barrós-Loscertales, A.; Bustamante, J.C.; Ventura-Campos, N.; Fuentes, P.; Rosell-Negre, P.; Ávila, C. Reward sensitivity is associated with brain activity during erotic stimulus processing. PLoS ONE 2013, 8, e66940. [Google Scholar] [CrossRef] [PubMed]
- Jordan, K.; Wieser, K.; Methfessel, I.; Fromberger, P.; Dechent, P.; Müller, J.L. Sex attracts—Neural correlates of sexual preference under cognitive demand. Brain Imaging Behav. 2018, 12, 109–126. [Google Scholar] [CrossRef]
- Seo, Y.; Jeong, B.; Kim, J.W.; Choi, J. The relationship between age and brain response to visual erotic stimuli in healthy heterosexual males. Int. J. Impot. Res. 2010, 22, 234–239. [Google Scholar] [CrossRef][Green Version]
- Sundaram, T.; Jeong, G.W.; Kim, T.H.; Kim, G.W.; Baek, H.S.; Kang, H.K. Time-course analysis of the neuroanatomical correlates of sexual arousal evoked by erotic video stimuli in healthy males. Korean J. Radiol. 2010, 11, 278–285. [Google Scholar] [CrossRef] [PubMed]
- Brand, M.; Snagowski, J.; Laier, C.; Maderwald, S. Ventral striatum activity when watching preferred pornographic pictures is correlated with symptoms of Internet pornography addiction. Neuroimage 2016, 129, 224–232. [Google Scholar] [CrossRef] [PubMed]
- Paul, T.; Schiffer, B.; Zwarg, T.; Krüger, T.H.; Karama, S.; Schedlowski, M.; Forsting, M.; Gizewski, E.R. Brain response to visual sexual stimuli in heterosexual and homosexual males. Hum. Brain Mapp. 2008, 29, 726–735. [Google Scholar] [CrossRef] [PubMed]
- Hu, S.H.; Wang, Q.D.; Xu, Y.; Liao, Z.L.; Xu, L.J.; Liao, Z.L.; Xu, X.J.; Wei, E.Q.; Yan, L.Q.; Hu, J.B.; et al. Haemodynamic brain response to visual sexual stimuli is different between homosexual and heterosexual men. J. Int. Med. Res. 2011, 39, 199–211. [Google Scholar] [CrossRef]
- Zhang, M.; Hu, S.; Xu, L.; Wang, Q.; Xu, X.; Wei, E.; Yan, L.; Hu, J.; Wei, N.; Zhou, W.; et al. Neural circuits of disgust induced by sexual stimuli in homosexual and heterosexual men: An fMRI study. Eur. J. Radiol. 2011, 80, 418–425. [Google Scholar] [CrossRef]
- Safron, A.; Sylva, D.; Klimaj, V.; Rosenthal, A.M.; Li, M.; Walter, M.; Bailey, J.M. Neural Correlates of Sexual Orientation in Heterosexual, Bisexual, and Homosexual Men. Sci. Rep. 2017, 7, 41314. [Google Scholar] [CrossRef] [PubMed]
- Hu, S.H.; Wei, N.; Wang, Q.D.; Yan, L.Q.; Wei, E.Q.; Zhang, M.M.; Hu, J.B.; Huang, M.L.; Zhou, W.H.; Xu, Y. Patterns of brain activation during visually evoked sexual arousal differ between homosexual and heterosexual men. AJNR Am. J. Neuroradiol. 2008, 29, 1890–1896. [Google Scholar] [CrossRef] [PubMed]
- Savic, I.; Lindström, P. PET and MRI show differences in cerebral asymmetry and functional connectivity between homo- and heterosexual subjects. Proc. Natl. Acad. Sci. USA 2008, 105, 9403–9408. [Google Scholar] [CrossRef] [PubMed]
- Gizewski, E.R.; Krause, E.; Schlamann, M.; Happich, F.; Ladd, M.E.; Forsting, M.; Senf, W. Specific cerebral activation due to visual erotic stimuli in male-to-female transsexuals compared with male and female controls: An fMRI study. J. Sex. Med. 2009, 6, 440–448. [Google Scholar] [CrossRef] [PubMed]
- Kim, G.W.; Kim, S.K.; Jeong, G.W. Neural activation-based sexual orientation and its correlation with free testosterone level in postoperative female-to-male transsexuals: Preliminary study with 3.0-T fMRI. Surg. Radiol. Anat. 2016, 38, 245–252. [Google Scholar] [CrossRef] [PubMed]
- Karama, S.; Lecours, A.R.; Leroux, J.M.; Bourgouin, P.; Beaudoin, G.; Joubert, S.; Beauregard, M. Areas of brain activation in males and females during viewing of erotic film excerpts. Hum. Brain Mapp. 2002, 16, 1–13. [Google Scholar] [CrossRef] [PubMed]
- Sylva, D.; Safron, A.; Rosenthal, A.M.; Reber, P.J.; Parrish, T.B.; Bailey, J.M. Neural correlates of sexual arousal in heterosexual and homosexual women and men. Horm. Behav. 2013, 64, 673–684. [Google Scholar] [CrossRef] [PubMed]
- Metzger, C.D.; Eckert, U.; Steiner, J.; Sartorius, A.; Buchmann, J.E.; Stadler, J.; Tempelmann, C.; Speck, O.; Bogerts, B.; Abler, B.; et al. High field FMRI reveals thalamocortical integration of segregated cognitive and emotional processing in mediodorsal and intralaminar thalamic nuclei. Front. Neuroanat. 2010, 4, 138. [Google Scholar] [CrossRef] [PubMed]
- Arnow, B.A.; Millheiser, L.; Garrett, A.; Lake Polan, M.; Glover, G.H.; Hill, K.R.; Lightbody, A.; Watson, C.; Banner, L.; Smart, T.; et al. Women with hypoactive sexual desire disorder compared to normal females: A functional magnetic resonance imaging study. Neuroscience 2009, 158, 484–502. [Google Scholar] [CrossRef]
- Safron, A.; Barch, B.; Bailey, J.M.; Gitelman, D.R.; Parrish, T.B.; Reber, P.J. Neural correlates of sexual arousal in homosexual and heterosexual men. Behav. Neurosci. 2007, 121, 237–248. [Google Scholar] [CrossRef][Green Version]
- Brunetti, M.; Babiloni, C.; Ferretti, A.; Del Gratta, C.; Merla, A.; Olivetti Belardinelli, M.; Romani, G.L. Hypothalamus.; sexual arousal and psychosexual identity in human males: A functional magnetic resonance imaging study. Eur. J. Neurosci. 2008, 27, 2922–2927. [Google Scholar] [CrossRef]
- Ferretti, A.; Caulo, M.; Del Gratta, C.; Di Matteo, R.; Merla, A.; Montorsi, F.; Pizzella, V.; Pompa, P.; Rigatti, P.; Rossini, P.M.; et al. Dynamics of male sexual arousal: Distinct components of brain activation revealed by fMRI. Neuroimage 2005, 26, 1086–1096. [Google Scholar] [CrossRef]
- Sabatinelli, D.; Bradley, M.M.; Lang, P.J.; Costa, V.D.; Versace, F. Pleasure rather than salience activates human nucleus accumbens and medial prefrontal cortex. J. Neurophysiol. 2007, 98, 1374–1379. [Google Scholar] [CrossRef]
- Kim, G.W.; Jeong, G.W. Menopause-related brain activation patterns during visual sexual arousal in menopausal women: An fMRI pilot study using time-course analysis. Neuroscience 2017, 343, 449–458. [Google Scholar] [CrossRef] [PubMed]
- Baek, H.S.; Kim, G.W.; Sundaram, T.; Park, K.; Jeong, G.W. Brain Morphological Changes With Functional Deficit Associated With Sexual Arousal in Postmenopausal Women. Sex. Med. 2019, 7, 480–488. [Google Scholar] [CrossRef]
- Woodard, T.L.; Nowak, N.T.; Balon, R.; Tancer, M.; Diamond, M.P. Brain activation patterns in women with acquired hypoactive sexual desire disorder and women with normal sexual function: A cross-sectional pilot study. Fertil. Steril. 2013, 100, 1068–1076. [Google Scholar] [CrossRef] [PubMed]
- Kim, G.W.; Jeong, G.W. Neural mechanisms underlying sexual arousal in connection with sexual hormone levels: A comparative study of the postoperative male-to-female transsexuals and premenopausal and menopausal women. Neuroreport 2014, 25, 693–700. [Google Scholar] [CrossRef] [PubMed]
- Kennis, M.; Dewitte, M.; T’Sjoen, G.; Stinkens, K.; Sack, A.T.; Duecker, F. The behavioral component of sexual inhibition and its relation with testosterone levels: An fMRI study in transgender and cisgender individuals. Psychoneuroendocrinology 2024, 163, 106963. [Google Scholar] [CrossRef]
- Poeppl, T.B.; Nitschke, J.; Dombert, B.; Santtila, P.; Greenlee, M.W.; Osterheider, M.; Mokros, A. Functional cortical and subcortical abnormalities in pedophilia: A combined study using a choice reaction time task and fMRI. J. Sex. Med. 2011, 8, 1660–1674. [Google Scholar] [CrossRef]
- Ristow, I.; Foell, J.; Kärgel, C.; Borchardt, V.; Li, S.; Denzel, D.; Witzel, J.; Drumkova, K.; Beier, K.; Kruger, T.H.C.; et al. Expectation of sexual images of adults and children elicits differential dorsal anterior cingulate cortex activation in pedophilic sexual offenders and healthy controls. Neuroimage Clin. 2019, 23, 101863. [Google Scholar] [CrossRef]
- Cera, N.; Di Pierro, E.D.; Ferretti, A.; Tartaro, A.; Romani, G.L.; Perrucci, M.G. Brain networks during free viewing of complex erotic movie: New insights on psychogenic erectile dysfunction. PLoS ONE 2014, 9, e105336. [Google Scholar] [CrossRef]
- Cera, N.; Di Pierro, E.D.; Sepede, G.; Gambi, F.; Perrucci, M.G.; Merla, A.; Tartaro, A.; Del Gratta, C.; Galatioto Paradiso, G.; Vicentini, C.; et al. The role of left superior parietal lobe in male sexual behavior: Dynamics of distinct components revealed by FMRI. J. Sex. Med. 2012, 9, 1602–1612. [Google Scholar] [CrossRef]
- Kim, T.H.; Kim, G.W.; Kim, S.K.; Jeong, G.W. Brain activation-based sexual orientation in female-to-male transsexuals. Int. J. Impot. Res. 2016, 28, 31–38. [Google Scholar] [CrossRef] [PubMed]
- Bühler, M.; Vollstädt-Klein, S.; Klemen, J.; Smolka, M.N. Does erotic stimulus presentation design affect brain activation patterns? Event-related vs. blocked fMRI designs. Behav. Brain Funct. 2008, 4, 30. [Google Scholar] [CrossRef]
- Gizewski, E.R.; Krause, E.; Karama, S.; Baars, A.; Senf, W.; Forsting, M. There are differences in cerebral activation between females in distinct menstrual phases during viewing of erotic stimuli: A fMRI study. Exp. Brain Res. 2006, 174, 101–108. [Google Scholar] [CrossRef]
- Karama, S.; Armony, J.; Beauregard, M. Film excerpts shown to specifically elicit various affects lead to overlapping activation foci in a large set of symmetrical brain regions in males. PLoS ONE 2011, 6, e22343. [Google Scholar] [CrossRef] [PubMed]
- Heinzel, A.; Walter, M.; Schneider, F.; Rotte, M.; Matthiae, C.; Tempelmann, C.; Heinze, H.J.; Bogerts, B.; Northoff, G. Self-related processing in the sexual domain: A parametric event-related fMRI study reveals neural activity in ventral cortical midline structures. Soc. Neurosci. 2006, 1, 41–51. [Google Scholar] [CrossRef] [PubMed]
- Abler, B.; Seeringer, A.; Hartmann, A.; Grön, G.; Metzger, C.; Walter, M.; Stingl, J. Neural correlates of antidepressant-related sexual dysfunction: A placebo-controlled fMRI study on healthy males under subchronic paroxetine and bupropion. Neuropsychopharmacology 2011, 36, 1837–1847. [Google Scholar] [CrossRef]
- Bosch, O.G.; Havranek, M.M.; Baumberger, A.; Preller, K.H.; von Rotz, R.; Herdener, M.; Kraehenmann, R.; Staempfli, P.; Scheidegger, M.; Klucken, T.; et al. Neural underpinnings of prosexual effects induced by gamma-hydroxybutyrate in healthy male humans. Eur. Neuropsychopharmacol. 2017, 27, 372–382. [Google Scholar] [CrossRef]
- Yang, J.C. Functional neuroanatomy in depressed patients with sexual dysfunction: Blood oxygenation level dependent functional MR imaging. Korean J. Radiol. 2004, 5, 87–95. [Google Scholar] [CrossRef]
- Habermeyer, B.; Esposito, F.; Händel, N.; Lemoine, P.; Klarhöfer, M.; Mager, R.; Dittmann, V.; Seifritz, E.; Graf, M. Immediate processing of erotic stimuli in paedophilia and controls: A case control study. BMC Psychiatry 2013, 13, 88. [Google Scholar] [CrossRef] [PubMed]
- Zhu, X.; Wang, X.; Parkinson, C.; Cai, C.; Gao, S.; Hu, P. Brain activation evoked by erotic films varies with different menstrual phases: An fMRI study. Behav. Brain Res. 2010, 206, 279–285. [Google Scholar] [CrossRef]
- Bartels, A.; Zeki, S. The neural basis of romantic love. Neuroreport 2000, 11, 3829–3834. [Google Scholar] [CrossRef] [PubMed]
- Parada, M.; Gérard, M.; Larcher, K.; Dagher, A.; Binik, Y.M. Neural Representation of Subjective Sexual Arousal in Men and Women. J. Sex. Med. 2016, 13, 1508–1522. [Google Scholar] [CrossRef]
- Parada, M.; Gérard, M.; Larcher, K.; Dagher, A.; Binik, Y.M. How Hot Are They? Neural Correlates of Genital Arousal: An Infrared Thermographic and Functional Magnetic Resonance Imaging Study of Sexual Arousal in Men and Women. J. Sex. Med. 2018, 15, 217–229. [Google Scholar] [CrossRef] [PubMed]
- Huh, J.; Park, K.; Hwang, I.S.; Jung, S.I.; Kim, H.J.; Chung, T.W.; Jeong, G.W. Brain activation areas of sexual arousal with olfactory stimulation in men: A preliminary study using functional MRI. J. Sex. Med. 2008, 5, 619–625. [Google Scholar] [CrossRef] [PubMed]
- Ertl, N.; Mills, E.G.; Wall, M.B.; Thurston, L.; Yang, L.; Suladze, S.; Hunjan, T.; Phylactou, M.; Patel, B.; Bassett, P.A.; et al. Women and men with distressing low sexual desire exhibit sexually dimorphic brain processing. Sci. Rep. 2024, 14, 11051. [Google Scholar] [CrossRef] [PubMed]
- Safron, A.; Sylva, D.; Klimaj, V.; Rosenthal, A.M.; Bailey, J.M. Neural Responses to Sexual Stimuli in Heterosexual and Homosexual Men and Women: Men’s Responses Are More Specific. Arch. Sex. Behav. 2020, 49, 433–445. [Google Scholar] [CrossRef] [PubMed]
- Georgiadis, J.R.; Farrell, M.J.; Boessen, R.; Denton, D.A.; Gavrilescu, M.; Kortekaas, R.; Renken, R.J.; Hoogduin, J.M.; Egan, G.F. Dynamic subcortical blood flow during male sexual activity with ecological validity: A perfusion fMRI study. Neuroimage 2010, 50, 208–216. [Google Scholar] [CrossRef]
- Wise, N.J.; Frangos, E.; Komisaruk, B.R. Brain Activity Unique to Orgasm in Women: An fMRI Analysis. J. Sex. Med. 2017, 14, 1380–1391. [Google Scholar] [CrossRef]
- Park, J.H.; Kim, E.; Cho, H.; Park, D.W.; Choi, J.; Jang, S.H. Brain activation in response to visual sexual stimuli in male patients with right middle cerebral artery infarction: The first case-control functional magnetic resonance imaging study. Medicine 2021, 100, e25823. [Google Scholar] [CrossRef] [PubMed]
- Rodríguez-Nieto, G.; Sack, A.T.; Dewitte, M.; Emmerling, F.; Schuhmann, T. The Modulatory Role of Cortisol in the Regulation of Sexual Behavior in Young Males. Front. Behav. Neurosci. 2020, 14, 552567. [Google Scholar] [CrossRef] [PubMed]
- Versace, F.; Engelmann, J.M.; Jackson, E.F.; Slapin, A.; Cortese, K.M.; Bevers, T.B.; Schover, L.R. Brain responses to erotic and other emotional stimuli in breast cancer survivors with and without distress about low sexual desire: A preliminary fMRI study. Brain Imaging Behav. 2013, 7, 533–542. [Google Scholar] [CrossRef] [PubMed]
- Gillath, O.; Canterberry, M. Neural correlates of exposure to subliminal and supraliminal sexual cues. Soc. Cogn. Affect. Neurosci. 2012, 7, 924–936. [Google Scholar] [CrossRef] [PubMed]
- Moon, C.M.; Heo, S.H.; Yoon, W.; Baek, B.H.; Shin, S.S.; Kim, S.K.; Lee, Y.Y. Altered Sexual Response-Related Functional Connectivity and Morphometric Changes Influenced by Sex Hormones across Menopausal Status. J. Clin. Med. 2024, 13, 387. [Google Scholar] [CrossRef] [PubMed]
- Flannigan, R.; Heier, L.; Voss, H.; Chazen, J.L.; Paduch, D.A. Functional Magnetic Resonance Imaging Detects Between-Group Differences in Neural Activation Among Men with Delayed Orgasm Compared with Normal Controls: Preliminary Report. J. Sex. Med. 2019, 16, 1246–1254. [Google Scholar] [CrossRef] [PubMed]
- Maier, S.; Spiegelberg, J.; Jacob, G.; van Zutphen, L.; Zeeck, A.; Hartmann, A.; Tüscher, O.; Holovics, L.; van Elst, L.T.; Joos, A. Neural correlates of intimate picture stimuli in females. Psychiatry Res. Neuroimaging 2018, 273, 9–15. [Google Scholar] [CrossRef] [PubMed]
- Abler, B.; Kumpfmüller, D.; Grön, G.; Walter, M.; Stingl, J.; Seeringer, A. Neural correlates of erotic stimulation under different levels of female sexual hormones. PLoS ONE 2013, 8, e54447. [Google Scholar] [CrossRef] [PubMed]
- Montorsi, F.; Perani, D.; Anchisi, D.; Salonia, A.; Scifo, P.; Rigiroli, P.; Zanoni, M.; Heaton, J.P.; Rigatti, P.; Fazio, F. Apomorphine-induced brain modulation during sexual stimulation: A new look at central phenomena related to erectile dysfunction. Int. J. Impot. Res. 2003, 15, 203–209. [Google Scholar] [CrossRef]
- Comninos, A.N.; Wall, M.B.; Demetriou, L.; Shah, A.J.; Clarke, S.A.; Narayanaswamy, S.; Nesbitt, A.; Izzi-Engbeaya, C.; Prague, J.K.; Abbara, A.; et al. Kisspeptin modulates sexual and emotional brain processing in humans. J. Clin. Investig. 2017, 127, 709–719. [Google Scholar] [CrossRef]
- Turkeltaub, P.E.; Eickhoff, S.B.; Laird, A.R.; Fox, M.; Wiener, M.; Fox, P. Minimizing within-experiment and within-group effects in Activation Likelihood Estimation meta-analyses. Hum. Brain Mapp. 2012, 33, 1–13. [Google Scholar] [CrossRef] [PubMed]
- Eickhoff, S.B.; Bzdok, D.; Laird, A.R.; Kurth, F.; Fox, P.T. Activation likelihood estimation meta-analysis revisited. Neuroimage 2012, 59, 2349–2361. [Google Scholar] [CrossRef] [PubMed]
- Lancaster, J.L.; Cykowski, M.D.; McKay, D.R.; Kochunov, P.V.; Fox, P.T.; Rogers, W.; Toga, A.W.; Zilles, K.; Amunts, K.; Mazziotta, J. Anatomical global spatial normalization. Neuroinformatics 2010, 8, 171–182. [Google Scholar] [CrossRef]
- Brandman, T.; Malach, R.; Simony, E. The surprising role of the default mode network in naturalistic perception. Commun. Biol. 2021, 4, 79. [Google Scholar] [CrossRef] [PubMed]
- Gilboa, A.; Marlatte, H. Neurobiology of Schemas and Schema-Mediated Memory. Trends Cogn. Sci. 2017, 21, 618–631. [Google Scholar] [CrossRef] [PubMed]
- Andersen, B.L.; Cyranowski, J.M.; Espindle, D. Men’s sexual self-schema. J. Pers. Soc. Psychol. 1999, 76, 645–661. [Google Scholar] [CrossRef] [PubMed]
- Reissing, E.D.; Laliberté, G.M.; Davis, H.J. Young women’s sexual adjustment: The role of sexual self-schema, sexual self-efficacy, sexual aversion and body attitudes. Can. J. Hum. Sex. 2005, 14, 77. [Google Scholar]
- Wiederman, M.W.; Hurst, S.R. Physical attractiveness, body image, and women’s sexual self-schema. Psychol. Women Q. 1997, 21, 567–580. [Google Scholar] [CrossRef]
- Baldassano, C.; Hasson, U.; Norman, K.A. Representation of Real-World Event Schemas during Narrative Perception. J. Neurosci. 2018, 38, 9689–9699. [Google Scholar] [CrossRef]
- Chen, J.; Leong, Y.C.; Honey, C.J.; Yong, C.H.; Norman, K.A.; Hasson, U. Shared memories reveal shared structure in neural activity across individuals. Nat. Neurosci. 2017, 20, 115–125. [Google Scholar] [CrossRef]
- Honey, C.J.; Thompson, C.R.; Lerner, Y.; Hasson, U. Not lost in translation: Neural responses shared across languages. J. Neurosci. 2012, 32, 15277–15283. [Google Scholar] [CrossRef] [PubMed]
- Dohmatob, E.; Dumas, G.; Bzdok, D. Dark control: The default mode network as a reinforcement learning agent. Hum. Brain Mapp. 2020, 41, 3318–3341. [Google Scholar] [CrossRef] [PubMed]
- Chen, J.; Honey, C.J.; Simony, E.; Arcaro, M.J.; Norman, K.A.; Hasson, U. Accessing Real-Life Episodic Information from Minutes versus Hours Earlier Modulates Hippocampal and High-Order Cortical Dynamics. Cereb. Cortex. 2016, 26, 3428–3441. [Google Scholar] [CrossRef] [PubMed]
- van ‘t Hof, S.R.; Cera, N. Specific factors and methodological decisions influencing brain responses to sexual stimuli in women. Neurosci. Biobehav. Rev. 2021, 131, 164–178. [Google Scholar] [CrossRef] [PubMed]
- Koukounas, E.; Over, R. Male sexual arousal elicited by film and fantasy matched in content. Aust. J. Psychol. 1997, 49, 1–5. [Google Scholar] [CrossRef]
- Harter, C.J.L.; Kavanagh, G.S.; Smith, J.T. The role of kisspeptin neurons in reproduction and metabolism. J. Endocrinol. 2018, 238, R173–R183. [Google Scholar] [CrossRef] [PubMed]
- Mills, E.G.; Ertl, N.; Wall, M.B.; Thurston, L.; Yang, L.; Suladze, S.; Hunjan, T.; Phylactou, M.; Patel, B.; Muzi, B.; et al. Effects of Kisspeptin on Sexual Brain Processing and Penile Tumescence in Men With Hypoactive Sexual Desire Disorder: A Randomized Clinical Trial. JAMA Netw. Open 2023, 6, e2254313. [Google Scholar] [CrossRef] [PubMed]
- Thurston, L.; Hunjan, T.; Ertl, N.; Wall, M.B.; Mills, E.G.; Suladze, S.; Patel, B.; Alexander, E.C.; Muzi, B.; Bassett, P.A.; et al. Effects of Kisspeptin Administration in Women With Hypoactive Sexual Desire Disorder: A Randomized Clinical Trial. JAMA Netw. Open 2022, 5, e2236131. [Google Scholar] [CrossRef] [PubMed]
- Muir, A.I.; Chamberlain, L.; Elshourbagy, N.A.; Michalovich, D.; Moore, D.J.; Calamari, A.; Szekeres, P.G.; Sarau, H.M.; Chambers, J.K.; Murdock, P.; et al. AXOR12, a novel human G protein-coupled receptor, activated by the peptide KiSS-1. J. Biol. Chem. 2001, 276, 28969–28975. [Google Scholar] [CrossRef]
- Duggan, S.J.; McCreary, D.R. Body image, eating disorders, and the drive for muscularity in gay and heterosexual men: The influence of media images. J. Homosex. 2004, 47, 45–58. [Google Scholar] [CrossRef]
- Lau, J.T.; Kim, J.H.; Tsui, H.Y. Prevalence and factors of sexual problems in Chinese males and females having sex with the same-sex partner in Hong Kong: A population-based study. Int. J. Impot. Res. 2006, 18, 130–140. [Google Scholar] [CrossRef] [PubMed]
- Lau, J.T.; Kim, J.H.; Tsui, H.Y. Prevalence and sociocultural predictors of sexual dysfunction among Chinese men who have sex with men in Hong Kong. J. Sex. Med. 2008, 5, 2766–2779. [Google Scholar] [CrossRef] [PubMed]
- Peixoto, M.M.; Nobre, P. Cognitive schemas activated in sexual context: A comparative study with homosexual and heterosexual men and women, with and without sexual problems. Cogn. Ther. Res. 2015, 39, 390–402. [Google Scholar] [CrossRef]
- Di Plinio, S.; Ebisch, S.J.H. Brain network profiling defines functionally specialized cortical networks. Hum. Brain Mapp. 2018, 39, 4689–4706. [Google Scholar] [CrossRef] [PubMed]
- Nummenmaa, L.; Lahnakoski, J.M.; Glerean, E. Sharing the social world via intersubject neural synchronisation. Curr. Opin. Psychol. 2018, 4, 7–14. [Google Scholar] [CrossRef]
- Chai, W.; Zhang, P.; Zhang, X.; Wu, J.; Chen, C.; Li, F.; Xie, X.; Shi, G.; Liang, J.; Zhu, C.; et al. Feasibility study of functional near-infrared spectroscopy in the ventral visual pathway for real-life applications. Neurophotonics 2024, 11, 015002. [Google Scholar] [CrossRef]
Disclaimer/Publisher’s Note: The statements, opinions and data contained in all publications are solely those of the individual author(s) and contributor(s) and not of MDPI and/or the editor(s). MDPI and/or the editor(s) disclaim responsibility for any injury to people or property resulting from any ideas, methods, instructions or products referred to in the content. |
© 2024 by the authors. Licensee MDPI, Basel, Switzerland. This article is an open access article distributed under the terms and conditions of the Creative Commons Attribution (CC BY) license (https://creativecommons.org/licenses/by/4.0/).



