Abstract
Understanding trait selection factors is vital for decoding the processes shaping species’ assemblages. However, trait-based studies in freshwater crustacean copepod assemblages are scarce, especially in groundwater environments. We explored how environmental filtering influences functional traits in copepod assemblages across four freshwater habitats (an alluvial aquifer, a hyporheic zone, a stream benthic zone and a lake littoral) along a depth gradient. Each habitat had distinct environmental templates based on light, temperature and dissolved oxygen. We analysed 4898 individuals from 43 copepod species and examined 12 morphological and life history traits. The results revealed significant differences in copepod traits among habitats, notably in ovigerous female biomass, egg biomass and ovigerous female percentages. Furthermore, despite some statistical uncertainty, notable differences were also observed in the number of juveniles, male-to-female abundance ratios and overall biomass. No significant differences were observed in juvenile biomass, egg characteristics, body size dimorphism or juvenile-to-adult ratios among habitats. The trait variations offer insights into copepod-mediated ecosystem services, particularly carbon recycling. To gain a deeper understanding of copepod adaptations to environmental features and anthropogenic changes, future research should consider additional functional traits, such as locomotion and feeding habits.
1. Introduction
Species possess a diverse range of measurable functional characteristics (traits), which allow them to participate in and persist within specific habitats over time [1]. The concept of functional diversity captures the variation in traits among species within a community [2]. The environment serves as a critical filter, shaping the taxonomic and functional diversity of communities and assemblages [1,3]. If a functional trait is not well suited to the local habitat conditions, a series of hierarchical filters can prevent a species from joining a community or assemblage [4]. Conversely, if a local habitat undergoes irreversible changes, one or more functional traits may become ineffective and disappear from the community [5]. Environmental filtering acts as a sieve, allowing only those species (and within species, those individuals) with certain traits to thrive in a particular habitat [5]. This process can accelerate or decelerate evolutionary changes depending on the match or mismatch between the traits favoured by environmental filters and the available genetic variation in the population [5]. Since functional traits reflect the ecological services provided by the community or assemblage (e.g., Ref. [6]), functional diversity indicates the ability of communities to maintain ecosystem functions within their specific environments (e.g., Ref. [7]). Reduced functional diversity, characterised by a limited variation in traits both between and within species, is associated with diminished provision of ecosystem services, heightened vulnerability to change and reduced resilience [8,9]. Therefore, traits can serve as indicators of specific ecological processes (e.g., Ref. [10]) and early warning signals of community disturbance [11,12].
Morphological traits pertain to the observable physical characteristics and structures of living organisms, encompassing body size, shape, biomass, as well as egg size and egg-sac shape [13]. Environmental filtering, driven by abiotic factors, may favour the convergence of morphological traits within a community and consequently reduces functional diversity [3]. The effects of environmental filtering on biological communities are evident in diverse habitats worldwide [14,15]. The groundwater environment offers a distinctive opportunity for in-depth exploration of this phenomenon due to its constrained ecological conditions [16]. Factors such as darkness, low resource availability and thermal stability significantly influence the morphological traits of vertebrate and invertebrate assemblages residing in deep groundwater habitats [16]. Many groundwater-dwelling animals exhibit “the darkness syndrome” [17], i.e., a set or combination of specific traits, which tend to co-occur within individuals, species or populations, such as depigmentation, blindness, elongated appendages and large eggs [16,18,19]. Ongoing evolutionary processes sculpting these traits can be observed in certain species, such as the amphipod Gammarus minus Say, 1818 [20,21] and the copepod Eudiaptomus intermedius (Steuer, 1897) [22]. This is due to the coexistence of surface and subterranean populations [20,21,22]. In these cases, we can witness the process of adaptation to subterranean habitats in real time, as we can observe the extent of morphological differences between epigean and subterranean populations. When it comes to body shape and biomass traits, it remains unclear whether and how subterranean environments act as filters. We could speculate that the scarcity of trophic resources in these environments leads to small-sized species with lower biomass than the surface counterparts, resulting in groundwater assemblages, which consume and fix less carbon than their surface relatives [16]. Furthermore, the high thermal stability of these environments should not necessitate the development of large sizes and biomass, as the animals do not require a buffer to compensate temperature variation [23]. Copepods residing in habitats with significant fluctuations in abiotic factors exhibit larger body sizes compared to those from stable aquatic ecosystems [24]. On the other hand, the low predation pressure, which is typical of subterranean environments, and the longevity of species inhabiting them might favour large sizes and biomass, as observed in certain subterranean amphipods [25]. Subterranean species produce fewer eggs; yet, they are typically larger than their closely related surface-dwelling counterparts [26]. These aspects have been subject to limited investigation in subterranean environments [5,27], partly due to the recent introduction of trait-based approaches in groundwater ecology and the inherent challenges posed by some taxa [16]. For example, copepods, a diverse group of small crustaceans found in various aquatic habitats and dominant in groundwater [28,29], exhibit closely resembling body shapes along a surface–subterranean gradient, indicating that groundwater habitats might not always filtrate body morphology alone [5]. Miniaturisation, body depigmentation and anophthalmia/microphthalmia represent the most common shared features among copepods living in subterranean habitats, although they are not exclusive to groundwater copepods [29]. Copepods are suitable models for studying trait variation along the surface–subterranean gradient due to their wide distribution across different regions and ecosystems [29,30]. Copepods exhibit remarkable adaptability to various environmental conditions, with surface-dwelling copepods typically exposed to light, fluctuating temperatures and seasonal variations, while subterranean copepods inhabit dark, stable and resource-limited environments [29]. Lastly, copepods are critical in aquatic ecosystems as primary consumers, connecting primary producers to higher trophic levels [31].
In this study, we investigated the morphological and life history variations in copepod assemblages across four different freshwater habitats: (i) an alluvial aquifer, representing a deep groundwater habitat; (ii) a hyporheic zone as an ecotonal habitat; (iii) the streambed of a river as a permanently submerged freshwater habitat; and (iv) the littoral zone of a large lake as a partially submerged freshwater habitat. To understand copepod trait variation across the four habitats, we defined the selective environment, or so-called environmental filtering, by framing environmental variation within a habitat template. To this end, we pinpointed three fundamental properties, which differentiate subterranean habitats from surface ones: light (as a proxy for photosynthetic energy availability), thermal variation and dissolved oxygen [5]. We hypothesised that the habitat templates are filters influencing copepod assemblages’ life history and morphological traits, thereby affecting their carbon cycling contribution.
2. Materials and Methods
2.1. Study Area
We conducted a comprehensive investigation of copepod morphological traits and life history in four distinct habitats located along a depth vertical gradient in Italy (Figure 1).
Figure 1.
Schematic representation of the four freshwater habitats. From top to bottom: littoral zone of Lake Maggiore (L), benthic zone of Tiber River (R), hyporheic zone (HZ) of Rio Gamberale Creek and Vomano River alluvial aquifer (A). The black dots represent the locations of the sampling sites within each habitat. Dashed arrows visually denote the gradient of environmental conditions, including variations in light availability, temperature and oxygen levels across these distinct habitats. Triangles indicate the aquifer water table.
The habitats were explicitly identified as follows (Figure 1): (i) the alluvial aquifer of Vomano River (A); (ii) the hyporheic zone of Rio Gamberale Creek (HZ); (iii) the benthic layers of Tiber River (R); and (iv) the littoral zone of Lake Maggiore (L). The alluvial aquifer (30 km2) is characterised by permeable deposits comprising gravelly and sandy-gravelly layers with occasional silty-clay lenses [32]. The aquifer is primarily recharged by the waters of Vomano River, with minor contributions from rainfall (approximately 800 mm per year). The predominant land use in the area is agriculture. The hyporheic zone was associated with a creek in central Apennines (specifically, Rio Gamberale), which extended for 10 kilometres and had a discharge rate of 360 L/s [33]. The predominant composition of the hyporheic sediments was sand (particle size: 63 μm < φ ≤ 2 mm), accounting for 60–81% of the composition, clay-silt (φ ≤ 63 μm; range: 18–40%) and gravel (particle size: 2 mm < φ ≤ 64 mm; range: 0–3%) [33]. The predominant land use in the catchment of Rio Gamberale is agriculture [33]. The benthic copepods of Tiber River (406 km in length) were collected at the Sansepolcro sampling station in Tuscany. The riverbed granulometry consisted of gravel (particle size: 2 mm < φ ≤ 64 mm; range: 20–62%) and sand (particle size: 63 μm < φ ≤ 2 mm; range: 3–8%) [34]. The land in the catchment is mainly utilised for urban and agricultural purposes. Finally, Lake Maggiore (93 m above sea level, maximum depth of 370 m, average yearly rainfall of about 1700 mm) covers an area of 213 km2 in the Regio Insubrica within the west Southern Alps [35]. Copepods were collected from the lake littoral, each site covering approximately 25 m of sandy shore, extending up to 20 m towards open waters, and reaching a maximum depth of 1.10 m [36]. The sediment granulometry consisted of sand (particle size: 63 μm < φ ≤ 2 mm; range: 93–95%), followed by clay-silt (φ ≤ 63 μm; range: 1–7%) and gravel (particle size: 2 mm < φ ≤ 64 mm; range: 1–3%) [36]. The lake catchment is mainly utilised for urban, tourist and agricultural purposes.
2.2. Sampling Methodologies
The copepod assemblages within the four habitats have undergone extensive study in recent years, resulting in several publications [34,36,37,38,39]. Readers seeking details about the sampling protocols are encouraged to refer to these references’ publications. However, we provide a concise synthesis of the sampling methodologies in the following section. In the alluvial aquifer, we collected copepods from 54 private bores (depths: 2–100 m) used for crop irrigation during autumn 2014 and spring and autumn 2015, for a total of 86 samples. We used a Cvetkov net [40] with a mesh size of 60 μm in bores with a diameter > 50 cm. For bores with a diameter < 50 cm, we pumped 500 L of water (depending on the bore’s replenishment rate) and filtered the volume through a 60 μm mesh sieve [41]. Subsequently, we obtained two litres of bore water for the analysis of 56 chemical compounds encompassing agrochemicals, sulphates, N-compounds, heavy metals, fertilisers and pesticides. We collected biological samples in the hyporheic zone at 5 sampling stations, each consisting of 3 replicates along a transect oblique to the stream channel, in December 2014 and June 2015 for a total of 30 samples. We hammered steel piezometers equipped with a 5 mm hole-screened tip into the hyporheic zone, reaching a maximum depth of 40 cm. The piezometers were then connected to a membrane pump. We pumped and filtered 10 L of interstitial waters and sediments through a 60 μm mesh net. Consequently, we collected 2 L of hyporheic water to screen for 99 chemical compounds, including metals, pesticides, volatile organic compounds and hydrocarbons. During the period from February to November 2022, we collected copepods from semi-lentic and lotic habitats at Sansepolcro station in Tiber River using a standard approach of kick sampling [36]. This involved disturbing the substrate on the riverbed in an area of approximately 625 cm2 with foot up to a depth of 5 cm for 30 s. After disturbing the substrate, we collected the suspended sediment and dislodged meiofauna using a hand net with a mesh size of 60 μm. The net was quickly dragged over the disturbed area in the opposite direction of the flow. We closed the net underwater to prevent filtering the water column before bringing it to the surface. Overall, we collected 24 biological samples and further water samples for chemical analyses: total alkalinity, nitrate, ammonium, total nitrogen, reactive and total phosphorus, reactive silica, chloride, sulphate, calcium, magnesium, sodium, potassium, total organic carbon and organic nitrogen. Finally, during the summer period 2019–2021, we collected lake littoral copepods at temporarily and permanently submerged sites at three sampling stations using the previously described kick sampling. Overall, we collected 18 biological samples from the lake. We also collected 1 L of water for chemical analysis at a distance of 10 m from the shoreline and analysed the same chemicals as for Tiber River. For each biological sample collected in the four habitats, we measured the temperature, dissolved oxygen, electrical conductivity and pH using the YSI 6000 multi-parameter probe and the WTW 3430 SET G. In the field, all biological samples were preserved in a 70% ethanol solution and later sorted in the laboratory under a stereomicroscope at 16x magnification. We standardised the samples to 150 meiofaunal individuals based on preliminary sampling surveys to optimise meiobenthic taxa richness at the class or order level [42]. All copepod specimens were classified to the species level using the current literature as a reference [43,44]. Copepod species were categorised into two groups: “stygobites” (i.e., obligate groundwater dwellers) and “non-stygobites” (i.e., surface water species, which occasionally or accidentally enter groundwater). We captured the full copepod diversity in the four analysed habitats based on the values of parametric and non-parametric estimators of species richness [36,37,38,39]. We recognise that employing diverse sampling methods may introduce bias when comparing datasets. On the other hand, the analysed habitats could not allow the adoption of a common sampling strategy.
2.3. Life History and Morphological Traits
Each copepod individual was assigned to one of the following stages: ovigerous female, non-ovigerous female, male, copepodid and nauplius. Each collected specimen was photographed using a LEICA M205C stereomicroscope with an integrated camera and subsequently measured using the LAS software (Leica Application Suite, version 4.7.1). Body size (length and width in mm) and egg diameter (in mm) were converted into biovolume using the formulae provided by Reiss and Schmid-Araya [45] and Maier [46], respectively. Copepod biovolume was converted to fresh weight, assuming a specific gravity of 1.1 [45]. The egg volume was converted to egg fresh weight with the conversion factor of 0.0037 µg/104 µm3 [46]. The dry carbon content (biomass) was estimated as being 40% of the dry mass, with a dry/wet mass ratio equal to 0.25 [45].
We examined a total of 12 traits, encompassing both morphological and life history characteristics, namely
Trait #1. Cumulative biomass per each site, as the overall biomass of adult and copepodid individuals, nauplii and eggs.
Trait #2. Biomass of juveniles per each site, as cumulative biomass of copepodids and nauplii.
Trait #3. Biomass of ovigerous females per site, as the cumulative amount of dry carbon of females carrying egg sacs (without considering the biomass of eggs).
Trait #4. Egg biomass per site, as the biomass of a single egg cumulated for each site and then divided by the number of ovigerous females occurring at each site. We did not calculate the biomass of the entire egg sac because copepod embryos hatch individually, one at a time. Therefore, we collected females carrying complete egg sacs, as well as those carrying egg sacs with some eggs already hatched.
Trait #5. Body size dimorphism, computed as the ratio of the mean male length to the mean female length for each site.
Trait #6. Relative egg size, computed as the mean value of the ratios of the biomass of a single egg to the biomass of the ovigerous female carrying that egg per site.
Trait #7. Egg volume, computed as the mean volume (in µm3) per site of one egg calculated using the equation for a sphere.
Trait #8. Number of eggs/sac, computed as the mean number, for each site, of eggs contained in a single egg sac.
Trait #9. Number of juveniles, computed as the cumulative abundances of copepodids and nauplii per site.
Trait #10. Ratio of juvenile/adult abundances, computed as the ratio of cumulative number of juveniles to cumulative number of adults per site.
Trait #11. Ratio of male/female abundances, computed as the ratio of cumulative number of males to cumulative number of females per site.
Trait #12. Percentage of ovigerous females, computed as the percentage of females carrying egg sacs based on the total number of females (ovigerous + non-ovigerous) per site.
Biomass traits are expressed in ng of dry C per site. Abundances are expressed as the number of individuals per site. Trait values are presented as either cumulative biomass per site (Traits #1, 2, 3, 4 and 9) or average values (Traits #5, 6, 7, 8, 10, 11 and 12). In both cases, the temporal replicates were averaged (Table S1). An unforeseen laboratory incident, which resulted in the detachment of eggs from the females during the preservation of samples from the hyporheic habitat, regrettably prevented us from analysing Traits #3, 4, 7, 8 and 12 for this habitat.
2.4. Data Analysis
To analyse the morphological and life history differences among the four copepod assemblages across the four freshwater habitats, we applied a one-way PERMANOVA (α = 0.05, permutations = 999) for each trait (factor: habitat; levels: A, HZ, R, L), followed by permutational pair-wise post hoc t-tests. We used unrestricted permutations of raw data and Type I of the sum of squares on a Bray–Curtis dissimilarity matrix, as they provide an exact test for an unbalanced one-way design [47]. To assess the potential heterogeneity of the variances among groups before PERMANOVA, we performed the permutational Levene’s test with a PERMDISP routine (α = 0.05, permutations = 999). The significance level was set at 0.05 for the post hoc tests, as permutation tests do not require correction based on the number of groups [47]. To allow the inclusion of otherwise null or impossible ratios in the analysis, we added a dummy variable equal to 1 to the abundance values before computing the ratios (Traits #10 and 11). The data were log-transformed before the analyses, except for percentages, which were analysed as raw data. We illustrated significant differences among the habitats using box plots. Analyses were performed with PRIMER v7 and PERMANOVA+ [47]. Box plots were created using R software v4.1.2 (1 November 2021) [48].
3. Results
3.1. Habitat Template
In Table 1, we summarised the environmental heterogeneity of the four habitats. The waters of the alluvial aquifer exhibited the highest thermal stability, while dissolved oxygen was considerably lower than in the other habitats. TOC was higher in the subterranean habitat, which was also enriched with nitrates, while ionised ammonium exceeded 0.5 mg L−1 in the hyporheic zone. Detailed results of the chemical analyses can be found in the publications included in the footers of Table 1. The chemical analysis of the waters of Tiber River at the Sansepolcro station and Lake Maggiore indicated that the water quality consistently met the established thresholds of both the Water Framework Directive and Italian regulation [36]. However, 50% of groundwater samples from the alluvial aquifer displayed nitrate levels exceeding the quality threshold of 50 mg L−1 [37]. Furthermore, 25% of samples from the hyporheic water of Rio Gamberale Creek contained an ammonium concentration above the acceptable limit of 0.5 mg L−1 [38]. No significant influence of nitrate pollution on the abundance and functional traits of copepod assemblages was observed [37]. In contrast, ammonium contamination seemed to affect both the taxonomic and functional diversity of invertebrate assemblages at 25% of the sites investigated, as well as the biomass of copepods [33,38]. The effects of ammonium contamination on the copepod assemblages in this study will be discussed later in more detail.
Table 1.
Key environmental properties influencing the morphological and life history traits of copepod assemblages. A = alluvial aquifer of Vomano River; HZ = hyporheic zone of Rio Gamberale Creek; R = benthic layers of Tiber River; L = littoral zone of Lake Maggiore. Temperature (T), dissolved oxygen (DO), total organic carbon (TOC), nitrate and ionised ammonium values are reported as mean ± standard deviation. Superscripts indicate the season(s) during which the surveys were conducted. The measurement of TOC was not conducted in the lake because it was beyond the project’s scope. ND: not determined.
3.2. Life History and Morphological Traits
Overall, we identified and measured 4898 copepod individuals, belonging to 43 species, of which 21 were from the order Harpacticoida and 22 were from the order Cyclopoida (Table A1). Twenty out of these species were stygobites. Stygobiotic species occurred in the alluvial aquifer (18 stygobiotic species out of 27 and 693 stygobiotic individuals out of 1624) and hyporheic zone (2 stygobiotic species out of 13 and 40 stygobiotic individuals out of 261). No stygobiotic species were ever found in the river and lake samples. The median values of each trait are shown in Table 2 and Figure S1, respectively.
Table 2.
Summary of the minimum, maximum and median (± standard deviation) values of the twelve traits in each habitat. A = alluvial aquifer of Vomano River; HZ = hyporheic zone of Rio Gamberale Creek; R = benthic layers of Tiber River; L = littoral zone of Lake Maggiore. Biomass is expressed in ng of dry C; abundances in number of individuals. nd: not determined.
The analyses unveiled significant differences in both copepod life history and morphological traits among the four habitats. Specifically, we observed variations in the cumulative biomass, biomass of ovigerous females, egg biomass, number of juveniles, female to male ratio abundances and percentages of ovigerous females (Traits #1, 3, 4, 9, 11 and 12; Table S2).
Importantly, the results related to the biomass of ovigerous females, egg biomass and percentages of ovigerous females (Traits #3, 4 and 12) were unaffected by heterogeneous dispersion among the groups (Figure 2). This contrasts with the findings associated with cumulative biomass, the number of juveniles and the ratio of female to male abundances (Traits #1, 9 and 11), for which a significant PERMDISP indicated heterogeneity of variances among the groups (Table S2). While we reported the results of pair-wise tests for all significant PERMANOVA analyses (Table S2), our discussion primarily focuses on the outcomes of tests, which offered unambiguous and reliable inferences, free from bias stemming from variance heterogeneity (i.e., Traits #3, 4 and 12). This approach is essential to ensure that our interpretations are grounded in reliable scientific findings and to avoid making unsubstantiated or exaggerated claims about the observed phenomena, as advocated by Kimmel et al. (2023) [49]. No significant differences were highlighted in the biomass of juveniles, relative egg size, body size dimorphisms, egg volume, number of eggs per egg sac and ratio of juveniles to adults (Table S2). Pair-wise t-tests (Table S2) indicated significant differences between the alluvial aquifer and lake and between the alluvial aquifer and river benthic layers for Traits #3, 4 and 12 (Table S2).
Figure 2.
Box plots showing the median (horizontal lines), the first and third quartiles (box spans) and the sampling sites (black dots) of Trait #3 (top left box), Trait #12 (bottom left box) and Trait #4 (right box). A = alluvial aquifer of Vomano River; HZ = hyporheic zone of Rio Gamberale Creek; R = benthic layers of Tiber River; L = littoral zone of Lake Maggiore. The inadvertent separation of eggs from females during the sample preservation process rendered it impossible to compare these traits in the hyporheic zone.
In contrast, no differences were highlighted between the river benthic layers and lake littoral zone, except for Trait #4 (Table S2). In detail, the median values of the biomass of ovigerous females and eggs, as well as the percentages of ovigerous females, were significantly lower in the alluvial aquifer than in the other two habitats (Figure 2). The egg biomass was higher in river benthic layers than in the other two habitats. The inadvertent separation of eggs from females during the sample preservation process rendered it impossible to compare these traits in the hyporheic zone (Figure 2).
4. Discussion
In this study, the waters of the alluvial aquifer were warmer but exhibited a higher thermal stability compared to the other habitats. Conversely, the concentration of dissolved oxygen was considerably lower than in the other habitats. Interestingly, TOC was higher in the subterranean habitat, which was also enriched with nitrates, while ionised ammonium exceeded the legal limit in many sites in the hyporheic zone. Overall, our analyses revealed significant differences in the biomass of ovigerous females, egg biomass and the percentages of ovigerous females per site among the three habitats (alluvial aquifer, river benthic layers and lake littoral zone). The differences in these traits were pronounced between subterranean and surface habitats. The analyses revealed no significant differences in the biomass of juveniles, relative egg size, egg volume and number of eggs per sac, body size dimorphism and the ratio of juveniles to adults among the four habitats. Uncertain results were obtained for cumulative biomass, the number of juveniles and the ratio of females to males due to the heterogeneity of variances among the groups.
In this study, we found only one stygobiotic ovigerous female, which was collected from the alluvial aquifer. In contrast, we collected numerous non-stygobiotic ovigerous females from the river benthic layers and the littoral zone of the lake, as well as from the alluvial aquifer. Hence, in this study, the biomass of the ovigerous females was due to non-stygobiotic copepod species, and it was significantly lower in the aquifer than in the two surface habitats. This finding suggests that the reproduction of stygobiotic copepod species is far less frequent than that of their surface-dwelling counterparts [28,29]. Our finding also suggests that non-stygobiotic females reproduce less in subterranean habitats than in surface ones. The timing and triggers for reproduction of stygobiotic copepods are still poorly understood, but they are probably linked to the availability of resources [50,51]. Female copepods living in energy-limited habitats likely invest more energy in structural features, such as fewer but larger eggs, rather than increasing reproductive output with many smaller eggs [52,53]. On the other hand, the factors influencing the reproduction of non-stygobiotic copepods are known to be related to temperature, pH and trophic resources [53]. While the lack of light, which indicates the lack of photosynthetic energetic resources, likely affects the reproduction of herbivorous non-stygobiotic species in the aquifer, TOC provides limited insights into the actual trophic resource available to copepods in subterranean habitats. Many copepod species likely feed on microbial biofilms, which, in turn, utilise the dissolved fraction of TOC (i.e., DOC) as an energy resource [28,54]. The DOC found in subterranean environments differs energetically from surface DOC. Subterranean DOC represents the residue of organic matter produced at the surface and degraded by soil micro-organisms [55]. When it reaches subterranean environments, DOC consists of stable organic compounds resistant to further bacterial degradation, and as such, it is of low energy content [54]. Hence, the lack of photosynthetic production along with the low nutritional value of DOC could potentially account for the low biomass of non-stygobiotic ovigerous females observed in the alluvial aquifer in this study. Reduced oxygen levels could also limit non-stygobiotic copepod reproductive success in groundwater, as observed in other groundwater crustaceans (e.g., Ref. [56]). On the other hand, the number of non-stygobiotic copepod individuals in an alluvial aquifer can be substantial [57,58], and these individuals may encounter suitable conditions for reproduction in aquifers contaminated by sewage wastes [59]. In addition, in a recent meta-analysis conducted by Vaccarelli et al. (2023) [60], an alarming concern came to light related to the possibility of surface-dwelling species infiltrating subterranean ecosystems as a consequence of climate change [27]. This migration could further disrupt the existing trophic dynamics, with surface copepod species, known for their higher metabolic activity [61] and fertility [28,29], expected to swiftly replace their subterranean counterparts in the organic-enriched groundwater habitat [59], thereby encroaching on their living spaces and depleting their energy resources [37].
The absence of significant differences related to egg size, egg volume and the number of eggs per egg sac (which are intrinsic characteristics of each species; [46,53,62]) among the four habitats is likely due to our approach, which was centred on the assemblage level rather than on the single species composing the assemblages.
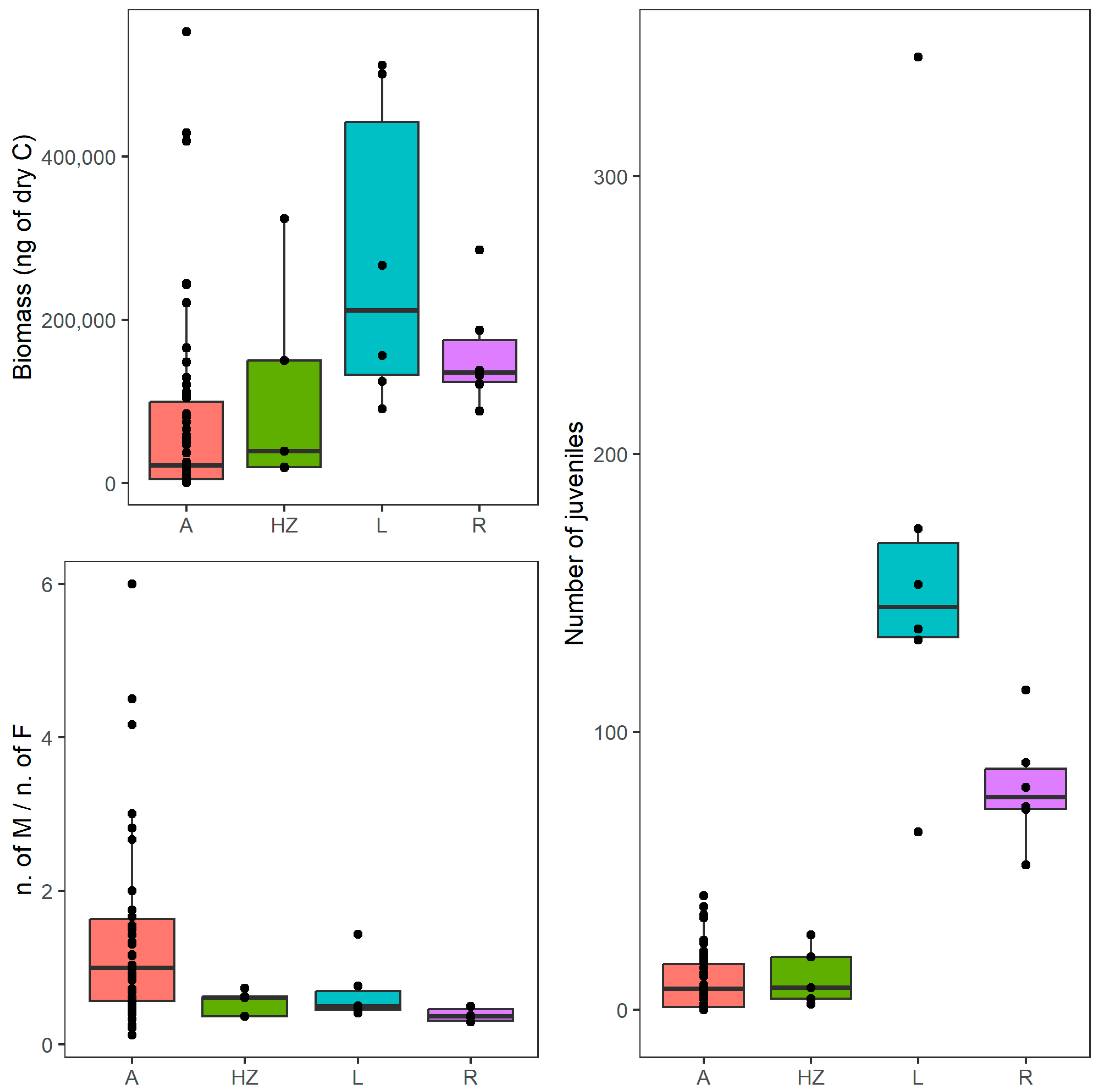
The analyses revealed notable differences in the number of juveniles and overall biomass per site across the four habitats. However, these differences were uncertain because they were influenced by heterogeneity among the groups. Specifically, as shown in Figure 3, the data variance for the lake habitat appeared to be broader than that for the other habitats for both traits.
Figure 3.
Box plots showing the median (horizontal lines), the first and third quartiles (box spans) and the sites (black dots) of Trait #1 (top left box), Trait #11 (bottom left box) and Trait #9 (right box). A = alluvial aquifer of Vomano River; HZ = hyporheic zone of Rio Gamberale Creek; R = benthic layers of Tiber River; L = littoral zone of Lake Maggiore.
Nonetheless, the median values presented in Figure 3 seemed to indicate substantial differences, where the alluvial aquifer and hyporheic zone exhibited lower overall biomass compared to the two surface habitats. The low biomass values per hyporheic site may have been influenced by the toxic effect of ammonium, at least in certain sites [33,38]. The low biomass per aquifer site may be due to other factors, such as the high thermal stability, since stygobiotic animals do not need to grow large to cope with thermal variation in subterranean habitats [23]. In both the alluvial and hyporheic habitats, the predation exerted by non-stygobiotic copepods might have a role in determining the low overall biomass, as observed for other taxa in other studies (e.g., Ref. [63]). Accordingly, in both habitats, the stygobiotic biomass accounted for <30% of the overall value (27% in the alluvial aquifer and 11% in the hyporheic zone).
The juvenile abundances were also lower in the aquifer and hyporheic zone than in the two surface habitats. Copepodids have higher oxygen consumptions than adult stages [61]. Consequently, the low oxygen concentrations in the subterranean habitats could be a stressful factor, which affects the survival of juvenile stages of non-stygobiotic copepod species, as observed in other studies [64].
Our analyses uncovered significant differences in male-to-female abundance ratios across the four habitats. This result was affected by a noticeable disparity in data dispersion within the aquifer (Figure 3). However, the box plots seem to support the idea that the median male-to-female ratio is close to 1 in the alluvial aquifer—a value, which is higher than those observed in the other three habitats. Despite some statistical uncertainty, such interpretation may indeed deserve consideration. In environments characterised by substantial thermal stability, females of stygobiotic crustacean species are known to display asynchronous behaviour [65]. In these situations, males often improve their reproductive success by employing effective mate-finding strategies rather than depending on their dominance in aggressive interactions [65]. This is why the sex ratio often approximates 1:1 in many subterranean environments or may even favour males [65], as it seems to do in our study. On the contrary, in environments characterised by daily or seasonal thermal fluctuation, non-stygobiotic females tend to exhibit synchronised receptiveness, causing temporary surges in competition among males and ultimately leading to a lower male-to-female ratio (e.g., Ref. [66]). The surges in competition among males are usually accompanied by the emergence of sexual dimorphism in environments characterised by seasonal thermal variation [65]. The absence of a significant difference in terms of body size dimorphism across the four habitats in our study is likely due to the occurrence of numerous non-stygobiotic copepods in the subterranean habitat.
This study suggests that non-stygobiotic copepods entering subterranean environments is a common event, while it appears that stygobiotic copepods do not show an inclination to colonise surface habitats. This finding has repercussions for the subterranean food webs. We have long been concerned about the occurrence of non-stygobiotic species in subterranean environments due to the impact these species can have on the availability of food resources and predator–prey dynamics [67]. The contribution of non-stygobiotic organisms to the carbon resource in groundwater has not been extensively studied until now [68]. While some non-stygobiotic copepod species can be predators [53], exerting relevant pressure on subterranean copepods, other species are herbivorous, feeding on algae, and may encounter death due to starvation in subterranean habitats. Their carcasses can serve as a source of carbon for subterranean ecosystems [69]. Furthermore, their faecal pellets might enhance groundwater microbial growth, as excrement particles can serve as a fresh substrate to colonise [70]. However, the entrance of non-stygobiotic copepods into subterranean environments may increase in conjunction with climate warming, and their persistence could be facilitated by potential organic contaminations [59,60]. In such scenario, we hypothesise that predatory pressure and competition for resources may pose a significant threat to stygobiotic copepod populations, with serious implications for the conservation of endemic and rare species [71].
Our study primarily focuses on light as a proxy for energy availability. However, total microbial cell count is a more reliable indicator of trophic energy availability for many stygobiotic copepod species [72]. Further, some traits, such as egg size, egg volume and the number of eggs per egg sac, did not provide significant information at the assemblage level. However, they could be useful indicators of population functionality when utilised at the species level [73]. Further, our study is observational and does not involve experimental manipulations. Experimentally altering the environmental conditions or conducting controlled experiments could provide more direct insights into the mechanisms driving trait differences. These limitations suggest areas for further research and highlight the need for a more comprehensive understanding of copepod ecology in different freshwater habitats.
We must acknowledge the limitations posed by our study’s design, which include variability in sampling across different seasons and campaigns. The differences in datasets arise from the distinct objectives of each project under which the various habitats were monitored. We endeavoured to minimise these effects through sample standardisation; however, the possibility that temporal variability influenced our results cannot be entirely discounted. Seasonal effects are either negligible or significantly mitigated in subterranean water bodies, such as alluvial aquifers, and in ecotonal zones, such as the hyporheic zone [72]. Conversely, seasonality markedly impacts the dynamics of surface water environments, such as rivers and lakes. In our research, the timing of surveys in the aquifer, hyporheic zone and river benthic layers was strategically planned to encompass the potential effects of seasonality. However, the monitoring of the lake littoral zone was limited to the summer months over a three-year period. This seasonal limitation potentially restricted our ability to fully capture the functional diversity within the lake littoral environment. Consequently, comparisons involving this particular habitat may be influenced by this timing, introducing a possible bias in our results. We recognise that this situation poses a methodological challenge for our study. However, despite the methodological weakness highlighted, we believe that the results presented here offer interesting insights and pave the way for more targeted and methodologically advanced future investigations. Our approach is a preliminary step before delving into more advanced ecological and evolutionary studies, which might, for instance, quantify trait heritability or link trait variations to an individual’s fitness. Trait heritability patterns encompass the intensity of genetic correlations among various life history traits, the extent of non-additive genetic variance and the unavoidable occurrence of genotype–environment interactions.
5. Conclusions
This study aimed to explore copepod trait variations across diverse freshwater habitats, focusing on the differences between subterranean and surface environments driven by light availability, thermal stability and oxygen levels. Our findings revealed significant differences in copepod traits, notably in ovigerous female biomass, egg biomass and the percentages of ovigerous females, and—although with some statistical uncertainty—also in the number of juveniles, male-to-female abundance ratios and overall biomass. These distinctions were more pronounced between subterranean and surface habitats. No significant differences emerged regarding juvenile biomass, egg characteristics, body size dimorphism or the juvenile-to-adult ratio among habitats. In the context of climate change, our results indicate potential challenges for surface-dwelling copepods seeking refuge in subterranean habitats, primarily due to limited energy and oxygen resources. We observed frequent non-stygobiotic copepod occurrences in subterranean sites, while stygobiotic copepods were never found in the surface habitats of this study. Further investigations can illuminate the non-stygobiotic copepod-mediated carbon transfer in subterranean food webs and the repercussions of climate-induced species’ migrations for underground communities. Finally, we emphasise that intraspecific trait variability in response to environmental factors represents a promising avenue for subsequent investigations.
Supplementary Materials
The following supporting information can be downloaded at: https://www.mdpi.com/article/10.3390/environments10120199/s1, Table S1: Values of morphological and life history traits per site in the four habitats. White spaces represent the unavailability of the trait value for that site. Traits #3, 4, 6, 7, 8 and 12 were not measured at the hyporheic zone habitat sites. The SB/nSB ratio (Ecology) was not calculated for the fluvial benthos and littoral zone habitats, as all individuals were non-stygobite. A = alluvial aquifer of Vomano River; HZ = hyporheic zone of Rio Gamberale Creek; R = benthic layers of Tiber River; L = littoral zone of Lake Maggiore. Biomass is expressed in ng of dry C and abundances in number of individuals; Table S2: PERMDISP, PERMANOVA and pair-wise test results for the twelve morphological and life history traits. In bold, the statistically significant p-values (p > 0.005). A = alluvial aquifer of Vomano River; HZ = hyporheic zone of Rio Gamberale Creek; R = benthic layers of Tiber River; L = littoral zone of Lake Maggiore. Ha: habitat (factor); res: residuals. Figure S1: Box plots showing the median (horizontal lines), the first and third quartiles (box spans) and the sampling sites (black dots) of the twelve functional traits analysed in this research. All values were log(x+1)-transformed, except for Trait #12 (bottom right box), which shows percentage values. A = alluvial aquifer of Vomano River; HZ = hyporheic zone of Rio Gamberale Creek; R = benthic layers of Tiber River; L = littoral zone of Lake Maggiore. CUM_BIO = Cumulative biomass (ng); JUV_BIO = Biomass of juveniles (ng); OF_BIO = Biomass of ovigerous females (ng); EGG_BIO = Egg biomass (ng); BS_DIM = Body size dimorphism; RES = Relative egg size; EGG_V = Egg volume (µm3); N_EGG = Number of eggs/sac; N_JUV = Number of juveniles; J/A = Ratio of juvenile/adult abundances; M/F = Ratio of male/female abundances; %_OF = Percentage of ovigerous females.
Author Contributions
Conceptualisation, A.T.D.C. and T.D.L.; methodology, A.T.D.C. and T.D.L.; data collection, A.T.D.C., T.D.L., D.M.P.G., B.F., M.D.C., E.G. and I.V.; validation, D.M.P.G., B.F., M.D.C., E.G. and I.V.; formal analysis, A.T.D.C. and T.D.L.; investigation, A.T.D.C., B.F. and D.M.P.G.; resources, D.M.P.G. and T.D.L.; data curation, A.T.D.C.; writing—original draft preparation, A.T.D.C. and T.D.L.; writing—review and editing, A.T.D.C., T.D.L., D.M.P.G., B.F., M.D.C., E.G. and I.V.; supervision, D.M.P.G., T.D.L. and B.F.; project administration, D.M.P.G., T.D.L. and B.F.; funding acquisition, D.M.P.G. and T.D.L. All authors have read and agreed to the published version of the manuscript.
Funding
This research was funded by the European Commission—LIFE12 BIO/IT/000231 AQUALIFE “Development of an innovative and user-friendly indicator system for biodiversity in groundwater dependent ecosystems”. This work was supported by the INTERREG Italian–Swiss project ParchiVerbanoTicino funded by the European Regional Development Fund (ERDF) ID: 481668. This research was also funded by Biodiversa+, the European Biodiversity Partnership under the 2021–2022 BiodivProtect joint call for research proposals, co-funded by the European Commission (GA N 101052342), and with the following funding organisations: Ministry of Universities and Research (Italy); Agencia Estatal de Investigacio’ n—Fundacio´ n Biodiversidad (Spain); Fundo Regional para a Ciencia e Tecnologia (Portugal); Suomen Akatemia—Ministry of the Environment (Finland); Belgian Science Policy Office (Belgium); Agence Nationale de la Recherche (France); Deutsche Forschungsgemeinschaft e.V. (Germany); Schweizerischer Nationalfonds (grant no. 31BD30_209583, Switzerland); Fonds zur Fo¨ rderung der Wissenschaftlichen Forschung (Austria); Ministry of Higher Education, Science and Innovation (Slovenia); and the Executive Agency for Higher Education, Research, Development and Innovation Funding (Romania). T.D.L. acknowledges the support of NBFC to CNR, funded by the Italian Ministry of University and Research, P.N.R.R., Missione 4 Componente 2, “Dalla ricerca all’impresa”, Investimento 1.4, Project CN00000033.
Data Availability Statement
The data presented in this study are available in Supplementary Material.
Acknowledgments
We acknowledge the support in the field sampling survey from Angela Boggero (CNR-IRSA), Emiliano Mori, Andrea Viviano and Andrea Pontalti (CNR-IRET). We are grateful to four reviewers who provided suggestions to ameliorate our manuscript.
Conflicts of Interest
The authors declare no conflict of interest.
Appendix A
Table A1.
List of the species and their ecological category belonging to the copepod assemblages of the four habitats. SB: stygobiotic; nSB: non-stygobiotic; A: alluvial aquifer; HZ: hyporheic zone; L: lake littoral zone; R: river benthic layers.
Table A1.
List of the species and their ecological category belonging to the copepod assemblages of the four habitats. SB: stygobiotic; nSB: non-stygobiotic; A: alluvial aquifer; HZ: hyporheic zone; L: lake littoral zone; R: river benthic layers.
| Species | Ecology | Habitat |
|---|---|---|
| Acanthocyclops robustus (Sars G.O., 1863) | nSB | A, HZ, L |
| Acanthocyclops vernalis (Fischer, 1853) | nSB | R |
| Attheyella crassa (Sars G.O., 1863) | nSB | HZ, R, L |
| Bryocamptus dentatus Chappuis, 1937 | SB | A |
| Bryocamptus echinatus (Mrázek, 1893) | nSB | HZ, R, L |
| Bryocamptus hoferi (Douwe, 1908) | nSB | L |
| Bryocamptus minutus (Claus, 1863) | nSB | L |
| Bryocamptus pygmaeus (Sars G.O., 1863) | nSB | A, HZ, R |
| Canthocamptus staphylinus (Jurine, 1820) | nSB | HZ, R |
| Cyclops abissorum Sars G.O., 1863 | nSB | A |
| Diacyclops bicuspidatus (Claus, 1857) | nSB | A |
| Diacyclops bisetosus (Rehberg, 1880) | nSB | A, HZ |
| Diacyclops clandestinus (Kiefer, 1926) | SB | A, HZ |
| Diacyclops cosanus Stella & Salvadori, 1954 | SB | A |
| Diacyclops maggii Pesce & Galassi, 1987 | SB | A |
| Diacyclops nagysalloensis (Kiefer, 1927) | SB | A |
| Diacyclops paolae Pesce & Galassi, 1987 | SB | A |
| Elaphoidella bidens (Schmeil, 1894) | nSB | L |
| Elaphoidella plutonis Chappuis, 1938 | SB | A |
| Epactophanes richardi Mrázek, 1893 | nSB | R, L |
| Eucyclops subterraneus intermedius Damian, 1955 | SB | A, HZ |
| Eucyclops lilljeborgi (Sars G.O., 1918) | nSB | L |
| Eucyclops macrurus (Sars G.O., 1863) | nSB | L |
| Eucyclops serrulatus (Fischer, 1851) | nSB | A, HZ, L |
| Fontinalicaridinae gen. sp.1 | SB | A |
| Macrocyclops albidus (Jurine, 1820) | nSB | A, HZ, R, L |
| Megacyclops viridis (Jurine, 1820) | nSB | HZ |
| Mesocyclops leuckarti (Claus, 1857) | nSB | L |
| Microcyclops varicans (Sars G.O., 1863) | nSB | R |
| Moraria poppei meridionalis Chappuis, 1929 | nSB | HZ |
| Moraria sp.1 | SB | A |
| Nitocrella achaiae Pesce, 1981 | SB | A |
| Nitocrella fedelitae Pesce, 1985 | SB | A |
| Nitocrella morettii Pesce, 1984 | SB | A |
| Nitocrella psammophila Chappuis, 1954 | SB | A |
| Nitocrella stammeri Chappuis, 1938 | SB | A |
| Nitocra hibernica (Brady, 1880) | nSB | R, L |
| Paracyclops fimbriatus (Fischer, 1853) | nSB | HZ, R, L |
| Paracyclops imminutus Kiefer, 1929 | nSB | A |
| Parapseudoleptomesochra italica Pesce & Petkovski, 1980 | SB | A |
| Pseudectinosoma reductum Galassi & De Laurentiis, 1997 | SB | A |
| Speocyclops italicus Kiefer, 1938 | SB | A |
| Tropocyclops prasinus (Fischer, 1860) | nSB | A |
References
- Kraft, N.J.B.; Adler, P.B.; Godoy, O.; James, E.C.; Fuller, S.; Levine, J.M. Community assembly, coexistence and the environmental filtering metaphor. Funct. Ecol. 2015, 29, 592–599. [Google Scholar] [CrossRef]
- Cadotte, M.W.; Carscadden, K.; Mirotchnick, N. Beyond species: Functional diversity and the maintenance of ecological processes and services. J. Appl. Ecol. 2011, 48, 1079–1087. [Google Scholar] [CrossRef]
- Cornwell, W.K.; Schwilk, D.W.; Ackerly, D.D. A trait-based test for habitat filtering: Convex hull volume. Ecology 2006, 87, 1465–1471. [Google Scholar] [CrossRef]
- Menegotto, A.; Dambros, C.S.; Netto, S.A. The scale-dependent effect of environmental filters on species turnover and nestedness in an estuarine benthic community. Ecology 2019, 100, 1–9. [Google Scholar] [CrossRef] [PubMed]
- Fišer, C.; Brancelj, A.; Yoshizawa, M.; Mammola, S.; Fišer, Ž. Dissolving morphological and behavioural traits of groundwater animals into a functional phenotype. In Groundwater Ecology and Evolution, 2nd ed.; Malard, F., Griebler, C., Rétaux, S., Eds.; Academic Press: Cambridge, MA, USA, 2023; Chapter 18; pp. 415–438. [Google Scholar] [CrossRef]
- Violle, C.; Navas, M.L.; Vile, D.; Kazakou, E.; Fortunel, C.; Hummel, I.; Garnier, E. Let the concept of trait be functional! Oikos 2007, 116, 882–892. [Google Scholar] [CrossRef]
- Sutton, L.; Iken, K.; Bluhm, B.A.; Mueter, F.J. Comparison of functional diversity of two Alaskan Arctic shelf epibenthic communities. Mar. Ecol. Prog. Ser. 2020, 651, 1–21. [Google Scholar] [CrossRef]
- Webb, C.T.; Hoeting, J.A.; Ames, G.M.; Pyne, M.I.; LeRoy Poff, N. A structured and dynamic framework to advance traits-based theory and prediction in ecology. Ecol. Lett. 2010, 13, 267–283. [Google Scholar] [CrossRef]
- Pearson, R.G.; Stanton, J.C.; Shoemaker, K.T.; Aiello-Lammens, M.E.; Ersts, P.J.; Horning, N.; Fordham, D.A.; Raxworthy, C.J.; Ryu, H.Y.; McNees, J.; et al. Life history and spatial traits predict extinction risk due to climate change. Nat. Clim. Chang. 2014, 4, 217–221. [Google Scholar] [CrossRef]
- Lavorel, S.; Grigulis, K. How fundamental plant functional trait relationships scale-up to trade-offs and synergies in ecosystem services. J. Ecol. 2012, 100, 128–140. [Google Scholar] [CrossRef]
- Mulder, C.; Boit, A.; Mori, S.; Vonk, J.A.; Dyer, S.D.; Faggiano, L.; Geisen, S.; González, A.L.; Kaspari, M.; Lavorel, S.; et al. Distributional (In)Congruence of Biodiversity–Ecosystem Functioning. In Advances in Ecological Research; Jacob, U., Woodward, G., Eds.; Academic Press: Cambridge, MA, USA, 2012; Volume 46, pp. 1–88. [Google Scholar] [CrossRef]
- Mouillot, D.; Loiseau, N.; Grenié, M.; Algar, A.C.; Allegra, M.; Cadotte, M.W.; Casajus, N.; Denelle, P.; Guéguen, M.; Maire, A.; et al. The dimensionality and structure of species trait spaces. Ecol. Lett. 2021, 24, 1988–2009. [Google Scholar] [CrossRef]
- McCoy, M.W.; Bolker, B.M.; Osenberg, C.W.; Sminer, B.G.; Vonesh, J.R. Size correction: Comparing morphological traits among populations and environments. Oecologia 2006, 148, 547–554. [Google Scholar] [CrossRef]
- Conti, L.; Schmidt-kloiber, A.; Grenouillet, G.; Graf, W. A trait-based approach to assess the vulnerability of European aquatic insects to climate change. Hydrobiologia 2014, 721, 297–315. [Google Scholar] [CrossRef]
- Sutton, L.; Mueter, F.J.; Bluhm, B.A.; Iken, K. Environmental filtering influences functional community assembly of epibenthic communities. Front. Mar. Sci. 2021, 8, 736917. [Google Scholar] [CrossRef]
- Hose, G.C.; Chariton, A.A.; Daam, M.A.; Di Lorenzo, T.; Galassi, D.M.P.; Halse, S.A.; Reboleira, A.S.P.; Robertson, A.L.; Schmidt, S.I.; Korbel, K.L. Invertebrate traits, diversity and the vulnerability of groundwater ecosystems. Funct. Ecol. 2022, 36, 2200–2214. [Google Scholar] [CrossRef]
- Danielopol, D.L.; Baltanás, A.; Bonaduce, G. The darkness syndrome in subsurface-shallow and deep-sea dwelling Ostracoda (Crustacea). In Deep Sea and Extreme Shallow-Water Habitats: Affinities and Adaptations; Ott, J., Stachowitsch, M., Uiblein, F., Eds.; Österreichischen Akademie der Wissenschaften (Austrain Academy of Science): Vienna, Austria, 1996; pp. 123–143. [Google Scholar]
- Christiansen, K. Morphological adaptations. In Encyclopedia of Caves, 2nd ed.; White, W.B., Culver, D.C., Eds.; Elsevier Academic Press: Amsterdam, The Netherlands, 2012; pp. 517–528. [Google Scholar]
- Friedrich, M. Biological clocks and visual systems in cave-adapted animals at the dawn of speleogenomics. Integr. Comp. Biol. 2013, 53, 50–67. [Google Scholar] [CrossRef] [PubMed]
- Culver, D.C.; Kane, T.C.; Fong, D.W. Adaptation and Natural Selection in Caves: The Evolution of Gammarus Minus; Harvard Univ. Press: London, UK, 1995. [Google Scholar]
- Fong, D.W. Gammarus minus: A model system for the study of adaptation to the cave environment. In Encyclopedia of Caves, 2nd ed.; White, W.B., Culver, D.C., Eds.; Elsevier Academic Press: Amsterdam, The Netherlands, 2019; pp. 451–458. [Google Scholar] [CrossRef]
- Galassi, D.M.P.; Fiasca, B.; Di Lorenzo, T.; Montanari, A.; Porfirio, S.; Fattorini, S. Groundwater Biodiversity in a Chemoautotrophic Cave Ecosystem: How Geochemistry Regulates Microcrustacean Community Structure. Aquat. Ecol. 2017, 51, 75–90. [Google Scholar] [CrossRef]
- Mazurkiewicz, M.; Górska, B.; Renaud, P.E.; Włodarska-Kowalczuk, M. Latitudinal consistency of biomass size spectra—Benthic resilience despite environmental, taxonomic and functional trait variability. Sci. Rep. 2020, 10, 4164. [Google Scholar] [CrossRef] [PubMed]
- Anufriieva, E.V.; Shadrin, N.V. Factors determining the average body size of geographically separated Arctodiaptomus salinus (Daday, 1885) populations. Zool. Res. 2014, 35, 132. [Google Scholar] [CrossRef]
- Delić, T.; Fišer, C. Species interactions. In Encyclopedia of Caves, 3rd ed.; White, W.B., Culver, D.C., Pipan, T., Eds.; Academic Press: Cambridge, MA, USA, 2019; Chapter 113; pp. 967–973. [Google Scholar] [CrossRef]
- Hüppop, K.; Wilkens, H. Bigger eggs in subterranean Astyanax fasciatus (Characidae, Pisces). J. Zool. Syst. Evol. Res. 1991, 29, 280–288. [Google Scholar] [CrossRef]
- Mammola, S.; Cardoso, P.; Culver, D.C.; Deharveng, L.; Ferreira, R.L.; Fišer, C.; Galassi, D.M.P.; Griebler, C.; Halse, S.; Humphreys, W.F.; et al. Scientists’ Warning on the Conservation of Subterranean Ecosystems. BioScience 2019, 69, 641–650. [Google Scholar] [CrossRef]
- Galassi, D.M.P. Groundwater copepods: Diversity patterns over ecological and evolutionary scales. Hydrobiologia 2001, 453, 227–253. [Google Scholar] [CrossRef]
- Galassi, D.M.P.; Huys, R.; Reid, J.W. Diversity, ecology and evolution of groundwater copepods. Freshw. Biol. 2009, 54, 691–708. [Google Scholar] [CrossRef]
- Giere, O. Introduction to Meiobenthology. In Meiobenthology; Springer: Berlin/Heidelberg, Germany, 2019. [Google Scholar] [CrossRef]
- Huys, R.; Boxshall, G.A. Copepod Evolution; The Ray Society: London, UK, 1991; p. 468. [Google Scholar]
- Desiderio, G.; Nanni, T.; Rusi, S. La pianura del fiume Vomano (Abruzzo): Idrogeologia, antropizzazione e suoi effetti sul depauperamento della falda. Boll. Soc. Geol. It. 2003, 122, 421–434. [Google Scholar]
- Di Lorenzo, T.; Fiasca, B.; Di Cicco, M.; Vaccarelli, I.; Tabilio Di Camillo, A.; Crisante, S.; Galassi, D.M.P. Effectiveness of Biomass/Abundance Comparison (ABC) Models in Assessing the Response of Hyporheic Assemblages to Ammonium Contamination. Water 2022, 14, 2934. [Google Scholar] [CrossRef]
- Trentanovi, G.; Viviano, A.; Mazza, G.; Busignani, L.; Magherini, E.; Giovannelli, E.; Traversi, M.L.; Mori, E. Riparian forest throwback at the Eurasian beaver era: A woody vegetation assessment for Mediterranean regions. Biodivers. Conserv. 2023, 32, 4259–4274. [Google Scholar] [CrossRef]
- Ambrosetti, W.; Barbanti, L.; Rolla, A. The climate of Lago Maggiore area during the last fifty years. J. Limnol. 2006, 65, 1–62. [Google Scholar] [CrossRef]
- Cifoni, M.; Boggero, A.; Rogora, M.; Ciampittiello, M.; Martínez, A.; Galassi, D.M.P.; Fiasca, B.; Di Lorenzo, T. Effects of human-induced water level fluctuations on copepod assemblages of the littoral zone of Lake Maggiore. Hydrobiologia 2022, 849, 3545–3564. [Google Scholar] [CrossRef]
- Di Lorenzo, T.; Fiasca, B.; Di Camillo Tabilio, A.; Murolo, A.; Di Cicco, M.; Galassi, D.M.P. The weighted Groundwater Health Index (wGHI) by Korbel and Hose (2017) in European groundwater bodies in nitrate vulnerable zones. Ecol. Indic. 2020, 116, 106525. [Google Scholar] [CrossRef]
- Di Lorenzo, T.; Fiasca, B.; Di Cicco, M.; Cifoni, M.; Galassi, D.M.P. Taxonomic and functional trait variation along a gradient of ammonium contamination in the hyporheic zone of a Mediterranean stream. Ecol. Indic. 2021, 132, 108268. [Google Scholar] [CrossRef]
- Boggero, A.; Kamburska, L.; Zaupa, A.; Ciampittiello, M.; Rogora, M.; Di Lorenzo, T. Synoptic results on the potential impacts of the Lake Maggiore water management strategy on freshwater littoral ecosystems and invertebrate biocoenosis (NW, Italy). J. Limnol. 2022, 81, 2147. [Google Scholar] [CrossRef]
- Cvetkov, L. Un filet phréatobiologique. Bull L’institut Zool Musée Sofia 1968, 22, 215–219. [Google Scholar]
- Malard, F.; Boutin, C.; Camacho, A.I.; Ferreira, D.; Michel, G.; Sket, B.; Stoch, F. 2009. Diversity patterns of stygobiotic crustaceans across multiple spatial scales in Europe. Freshw. Biol. 2009, 54, 756–776. [Google Scholar] [CrossRef]
- Metzeling, L.; Miller, J. Evaluation of the sample size used for the rapid bioassessment of rivers using macroinvertebrates. Hydrobiologia 2001, 444, 159–170. [Google Scholar] [CrossRef]
- Boxshall, G.A.; Halsey, S.H. An Introduction to Copepod Diversity; Ray Society: Andover, UK, 2004. [Google Scholar]
- Dussart, B.; Defaye, D. World Directory of Crustacea Copepoda of Inland Waters; Publishers BV: Leiden, The Netherlands, 2006. [Google Scholar]
- Reiss, J.; Schmid-Araya, J.M. Existing in plenty: Abundance, biomass and diversity of ciliates and meiofauna in small streams. Freshw. Biol. 2008, 53, 652–668. [Google Scholar] [CrossRef]
- Maier, G. Patterns of life history among cyclopoid copepods of central Europe. Freshw. Biol. 1994, 31, 77–86. [Google Scholar] [CrossRef]
- Anderson, M.J.; Gorley, R.N.; Clarke, K.R. PERMANOVA+for PRIMER: Guide to Software and Statistical Methods; PRIMER-E: Plymouth, UK, 2008; p. 214. [Google Scholar]
- R Core Team. R: A Language and Environment for Statistical Computing; R Foundation for Statistical Computing: Vienna, Austria, 2008; Available online: http://www.R-project.org/ (accessed on 25 February 2020).
- Kimmel, K.; Avolio, M.L.; Ferraro, P.J. Empirical evidence of widespread exaggeration bias and selective reporting in ecology. Nat. Ecol. Evol. 2003, 7, 1525–1536. [Google Scholar] [CrossRef]
- Reiss, J.; Perkins, D.M.; Fussmann, K.E.; Krause, S.; Canhoto, C.; Romeijn, P.; Robertson, A.L. Groundwater flooding: Ecosystem structure following an extreme recharge event. Sci. Total Environ. 2019, 652, 1252–1260. [Google Scholar] [CrossRef]
- Saccò, M.; Blyth, A.; Bateman, P.W.; Hua, Q.; Mazumder, D.; White, N.; Humphreys, E.F.; Laini, A.; Griebler, C.; Grice, K. New light in the dark-a proposed multidisciplinary framework for studying functional ecology of groundwater fauna. Sci. Total Environ. 2019, 662, 963–977. [Google Scholar] [CrossRef]
- Hervant, F.; Mathieu, J.; Barré, H.; Simon, K.; Pinon, C. Comparative study on the behavioral, ventilatory, and respiratory responses of hypogean and epigean crustaceans to long-term starvation and subsequent feeding. Comp. Biochem. Physiol. Part A Mol. Integr. Physiol. 1997, 118, 1277–1283. [Google Scholar] [CrossRef]
- Dole-Olivier, M.-J.; Galassi, D.M.P.; Marmonier, P.; Châtelliers, M.C.D. The biology and ecology of lotic microcrustaceans. Freshw. Biol. 2000, 44, 63–91. [Google Scholar] [CrossRef]
- Griebler, C.; Mindl, B.; Slezak, D.; Geiger-Kaiser, M. Distribution patterns of attached and suspended bacteria in pristine and contaminated shallow aquifers studied with an in situ sediment exposure microcosm. Aquat. Microb. Ecol. 2002, 28, 117–129. [Google Scholar] [CrossRef]
- Fillinger, L.; Griebler, C.; Hellal, J.; Joulian, C.; Weaver, L. Microbial diversity and processes in groundwater. In Groundwater Ecology and Evolution, 2nd ed.; Malard, F., Griebler, C., Rétaux, S., Eds.; Academic Press: Cambridge, MA, USA, 2023; Chapter 9; pp. 211–240. [Google Scholar] [CrossRef]
- Carpenter, J.H. Forty-year natural history study of Bahalana geracei Carpenter, 1981, an anchialine cavedwelling isopod (Crustacea, Isopoda, Cirolanidae) from San Salvador Island, Bahamas: Reproduction, growth, longevity, and population structure. Subterr. Biol. 2021, 37, 105–156. [Google Scholar] [CrossRef]
- Di Lorenzo, T.; Galassi, D.M.P. Agricultural impact in Mediterranean alluvial aquifers: Do groundwater communities respond? Fundam. Appl. Limnol. 2013, 182, 271–282. [Google Scholar] [CrossRef]
- Iepure, S.; Rasines-Ladero, R.; Meffe, R.; Carreno, F.; Mostaza, D.; Sundberg, A.; Di Lorenzo, T.; Barroso, J.L. The role of groundwater crustaceans in disentangling aquifer type features—A case study of the Upper Tagus Basin, central Spain. Ecohydrology 2017, 10, e1876. [Google Scholar] [CrossRef]
- Malard, F.; Mathieu, J.; Reygrobellet, J.L.; Lafont, M. Biomotoring groundwater contamination: Application to a karst area in Southern France. Aquat. Sci. 1996, 58, 158–187. [Google Scholar] [CrossRef]
- Vaccarelli, I.; Colado, R.; Pallarés, S.; Galassi, D.M.P.; Sánchez-Fernández, D.; Di Cicco, M.; Meierhofer, M.B.; Piano, E.; Di Lorenzo, T.; Mammola, S. A global meta-analysis reveals multilevel and context-dependent effects of climate change on subterranean ecosystems. One Earth 2023, 6, 1–13. [Google Scholar] [CrossRef]
- Di Lorenzo, T.; Di Marzio, W.D.; Spigoli, D.; Baratti, M.; Messana, G.; Cannicci, S.; Galassi, D.M.P. Metabolic rates of a hypogean and an epigean species of copepod in an alluvial aquifer. Freshw. Biol. 2015, 60, 426–435. [Google Scholar] [CrossRef]
- Hopkins, C. The relationship between maternal body size and clutch size, development time and egg mortality in Euchaeta norvegica (Copepoda: Calanoida) from Loch Etive, Scotland. J. Mar. Biol. Assoc. 1977, 57, 723–733. [Google Scholar] [CrossRef]
- Manenti, R.; Melotto, A.; Guillaume, O.; Ficetola, G.F.; Lunghi, E. Switching from mesopredator to apex predator: How do responses vary in amphibians adapted to cave living? Behav. Ecol. Sociobiol. 2020, 74, 126. [Google Scholar] [CrossRef]
- Di Lorenzo, T.; Murolo, A.; Fiasca, B.; Tabilio Di Camillo, A.; Di Cicco, M.; Galassi, D.M.P. Potential of a Trait-Based Approach in the Characterization of an N-Contaminated Alluvial Aquifer. Water 2019, 11, 2553. [Google Scholar] [CrossRef]
- Fišer, C.; Delic, T.; Lustrik, R.; Zagmajster, M.; Altermatt, F. Niches within a niche: Ecological differentiation of subterranean amphipods across Europe’s interstitial waters. Ecography 2019, 42, 1212–1223. [Google Scholar] [CrossRef]
- Hirst, A.G.; Kiørboe, T. Macroevolutionary patterns of sexual size dimorphism in copepods. Proc. R Soc. B 2014, 281, 20140739. [Google Scholar] [CrossRef] [PubMed]
- Mammola, S.; Goodacre, S.L.; Isaia, M. Climate change may drive cave spiders to extinction. Ecography 2018, 41, 233–243. [Google Scholar] [CrossRef]
- Baker, M.A.; Valett, H.M.; Dahm, C.N. Organic carbon supply and metabolism in a shallow groundwater ecosystem. Ecology 2000, 81, 3133–3148. [Google Scholar] [CrossRef]
- Venarsky, M.; Simon, K.S.; Saccò, M.; François, C.; Simon, L.; Griebler, C. Groundwater food webs. In Groundwater Ecology and Evolution, 2nd ed.; Malard, F., Griebler, C., Rétaux, S., Eds.; Academic Press: Cambridge, MA, USA, 2023; Chapter 10; pp. 241–261. [Google Scholar] [CrossRef]
- Marmonier, P.; Piscart, C.; Sarriquet, P.E.; Azam, D.; Chauvet, E. Relevance of large litter bag burial for the study of leaf breakdown in the hyporheic zone. Hydrobiologia 2010, 641, 203–214. [Google Scholar] [CrossRef]
- Nanni, V.; Piano, E.; Cardoso, P.; Isaia, M.; Mammola, S. An expert-based global assessment of threats and conservation measures for subterranean ecosystems. Biol. Conserv. 2023, 283, 110136. [Google Scholar] [CrossRef]
- Hose, G.C.; Di Lorenzo, T.; Fillinger, L.; Galassi, D.M.P.; Griebler, C.; Hahn, H.J.; Handley, K.M.; Korbel, K.; Reboleira, A.S.P.; Siemensmeyer, T.; et al. Assessing groundwater ecosystem health, status, and services. In Groundwater Ecology and Evolution, 2nd ed.; Malard, F., Griebler, C., Rétaux, S., Eds.; Academic Press: Cambridge, MA, USA, 2023; Chapter 22; pp. 501–524. [Google Scholar] [CrossRef]
- Lee, E.H.; Choi, S.Y.; Seo, M.H.; Lee, S.J.; Soh, H.Y. Effects of Temperature and pH on the Egg Production and Hatching Success of a Common Korean copepod. Diversity 2020, 12, 372. [Google Scholar] [CrossRef]
Disclaimer/Publisher’s Note: The statements, opinions and data contained in all publications are solely those of the individual author(s) and contributor(s) and not of MDPI and/or the editor(s). MDPI and/or the editor(s) disclaim responsibility for any injury to people or property resulting from any ideas, methods, instructions or products referred to in the content. |
© 2023 by the authors. Licensee MDPI, Basel, Switzerland. This article is an open access article distributed under the terms and conditions of the Creative Commons Attribution (CC BY) license (https://creativecommons.org/licenses/by/4.0/).


