Abstract
Per- and polyfluoroalkyl substances (PFASs) are a broad group of synthetic chemicals characterized by strong carbon–fluorine bonds, making them highly persistent and widely distributed in the environment. Their chain length and functional head groups, such as sulfonate and carboxylate groups, determine key molecular properties like hydrophobicity, acidity, and sorption behavior. These properties significantly impact the effectiveness of PFAS removal from water systems. This review provides a structural classification of PFASs and explores removal strategies, with a particular emphasis on adsorption. It examines sustainable adsorbents, including both natural materials (e.g., cellulose, chitosan, lignin, and cyclodextrins) and engineered synthetic materials (e.g., covalent organic frameworks, metal–organic frameworks, and molecularly imprinted polymers). The discussion highlights important parameters such as chain length and functional chemistry, as these can greatly influence removal efficiency. Furthermore, the discussion addresses the adsorption mechanisms-such as electrostatic attraction, hydrophobic interaction, and fluorophilic interactions-to show how they contribute in different systems. By combining structural insights with adsorption performance data, this review aims to help design and select sustainable, high-performance adsorbents for efficiently reducing PFASs in contaminated water.
1. Introduction
Per- and polyfluoroalkyl substances (PFASs) encompass a remarkably broad class of synthetic organofluorine chemicals characterized by carbon chains that are fully or partially substituted with fluorine atoms. These compounds are known for the strength of the carbon–fluorine bond, which is among the strongest in chemistry. Because of this bond’s stability, PFASs exhibit significant chemical and thermal persistence, resisting degradation in natural environments and within living organisms [1,2]. The class is extraordinarily extensive: thousands of individual PFASs are cataloged by regulatory bodies and chemical databases such as PubChem and Chemical Abstract Service (CAS) [3]. The Organization for Economic Co-operation and Development (OECD) registry suggests that over seven million PFAS structures could exist [4]. In essence, PFASs represent a family of man-made “forever chemicals” that resist typical environmental or biological breakdown processes. These substances can be broadly categorized based on chain length, functional group chemistry, and whether they are polymeric or non-polymeric [5]. Polyfluoroalkyl substances act as precursors in industrial processes, with numerous minor variants existing that differ in chain length, head group chemistry, and branching [6].
The unique physiochemical properties of PFASs, including being lipophobic, hydrophobic, surface-active, and resistant to thermal and chemical degradation, have led to their use across various industries. Notably, PFASs have been employed in aqueous film-forming foams (AFFFs) for firefighting [7], surface treatments for textiles [8], paper [9], and food contact materials [10], non-stick cookware coatings [11], stain-resistant treatments for carpets and upholstery [12], as well as in automotive [5], aerospace [13], electronic [14], and medical devices [15]. Their use is so widespread that PFASs have been found in rainwater, groundwater, surface and drinking water, soils, sediments, indoor air, dust, and wildlife at locations ranging from heavily industrialized areas to remote ecosystems [15,16]. Widespread environmental presence has prompted extensive regulatory, scientific, and public response concern.
From a chemical perspective, the strength of the carbon–fluorine bond drives PFASs’ environmental persistence and buildup. This high-energy bond strongly resists hydrolysis, oxidation, and biological breakdown. Environmental transformation mainly involves breaking down functional groups or precursors into persistent PFAAs; fully mineralizing the fluorinated chain remains extremely difficult, even over geological timescales [17]. As a result, many PFAS have half-lives of several years to decades in water or soil, and some also have human serum half-lives of three to nine years [18] depending on chain length and head group chemistry [19,20]. Biomonitoring consistently detects PFASs in both human and wildlife populations worldwide [21]. Nearly every adult in serum studies exhibited measurable levels of PFOS, PFOA, or their replacements, even after regulatory measures reduced the production and use of long-chain PFASs in many areas [22]. For example, urine and serum samples often contain several nanograms per milliliter of PFOS and PFOA, while shorter-chain analogs and GenX derivatives are also widespread. In food systems, PFASs bioaccumulate through the food chain; fish, shellfish, and agricultural produce frequently serve as significant sources of exposure depending on local conditions contamination.
Human exposure to PFASs happens through several linked pathways. The most researched route is ingestion via contaminated water, food, or consumer products [23]. Dermal absorption and inhalation (from dust, indoor air, or spray products) add to the overall exposure load [24]. Occupational contact with and use of AFFFs in firefighting operations are recognized as high-risk scenarios.
Once absorbed, PFASs spread through the circulatory system and bind to serum proteins like albumin and enzymes involved in fatty acid transport [25]. Tissue accumulation is notable in the liver, kidney, and, to a lesser extent, in lipid-rich area tissues. PFASs easily cross the placenta and are found in breast milk, posing potential exposure risks to fetuses and nursing infants [26,27]. Epidemiological and toxicological studies link PFAS exposure at both low and high levels to various adverse health effects [28]. These include elevated liver enzymes, dysregulated lipid metabolism, a higher risk of kidney and testicular cancer, endocrine disruption (especially thyroid function), reproductive effects (such as altered fetal growth and developmental delays), and immunotoxicity (including reduced vaccine effectiveness) [29,30].
A growing scientific consensus states that all PFASs should be regulated together as one chemical class. Leading among these voices is Kwiatkowski et al., whose landmark article in Environmental Science & Technology Letters argues that persistence, mobility, and toxicity support a comprehensive regulatory approach [31]. They warned that addressing individual PFAS compounds separately will only lead to ongoing replacements with untested analogs. Meanwhile, Cousins et al. have compared PFAS contamination to breaching a planetary boundary, noting that environmental levels of PFOS, PFOA, PFHxS, and PFNA already exceed guideline limits in rainwater and soils worldwide [32]. Cousins advocates for regulatory commitment to industrial decarbonization, a class-based phase-out of non-essential uses, and funding for safer alternatives. In 2025, Cousins and colleagues created a database that cataloged over 500 environmentally friendly alternatives, showing steady progress toward a shift to green chemistry [33]. Relying on this scientific foundation, many jurisdictions have started implementing decisive regulatory steps. In the United States, the Environmental Protection Agency (EPA) enforced landmark drinking water regulations (National Primary Drinking Water Regulations, NPDWR) effective April 10, 2024. Legally enforceable maximum contaminant levels (MCLs) were set at 4 parts per trillion (ppt) for PFOA and PFOS, and at 10 ppt for PFNA, PFHxS, GenX (HFPO-DA), and PFBS; additionally, a hazard index limit of 1 was imposed for mixtures [34].
Across North America, individual U.S. states have enacted new legislation. For example, Wisconsin has expanded its authority to require PFAS cleanup even without confirmed discharges [35]; New York has limited certain PFASs in personal care and menstrual products [36]. New Mexico has gone further by banning added PFASs in consumer products, except for fluoropolymers [37]. Canadian provinces are also considering limits and initial steps toward class-based PFAS regulation [38]. Due to these regulatory efforts, there has been significant innovation in remediation technologies. Traditional groundwater and drinking-water treatments, such as granular activated carbon (GAC), ion exchange resins, and membrane filtration, effectively remove PFASs but do not destroy the chemicals, creating hazardous residuals that pose long-term disposal challenges [39]. Recent research is shifting toward destructive technologies that break the carbon–fluorine bond. Laboratory and pilot successes have been reported for plasma-based oxidation, electrochemical systems (e.g., low-cost graphene sponge electrodes that achieve partial defluorination), and supercritical water oxidation, reaching destruction efficiencies of over 99%. New strategies involve combining capture methods (such as foam fractionation) with advanced oxidation, thermal mineralization, or SCWO destruction [40].
This review provides a detailed look at per- and polyfluoroalkyl substances (PFASs) from both chemical and environmental cleanup perspectives. It starts by explaining the basic chemistry, sources, and environmental behavior of PFASs, emphasizing their unique physicochemical properties, durability, and tendency to bioaccumulate, which earns them the name “forever chemicals.” Then, it presents a systematic classification of PFASs, dividing them into polymeric and non-polymeric groups. Within the non-polymeric group, it further differentiates between long-chain and short-chain PFASs based on the number of perfluorinated carbon atoms and their functional head groups, including carboxylates, sulfonates, and others. This classification system is crucial for understanding the environmental fate, transport mechanisms, and reactivity of different PFAS species.
This review centers on current and emerging PFAS remediation strategies, which are mainly divided into destructive and non-destructive methods. Particular focus is placed on adsorption-based removal technologies, especially those using sustainable and synthetic polymeric adsorbents. We carefully evaluate the design, functionalization, and performance of these polymers in capturing PFASs from contaminated environments. Key factors affecting PFAS adsorption, such as chain length, head group chemistry, and the interaction between these molecular features and the adsorption mechanisms, are thoroughly discussed. We explain how the combination of chain length and head group polarity influences the affinity of PFAS molecules for different adsorbent surfaces, ultimately impacting removal efficiency. There are three reasons to focus on adsorption: First, it is a non-destructive method that does not produce secondary pollutants. In contrast, destructive technologies can convert primary pollutants into more hazardous secondary byproducts, creating additional challenges. Second, adsorption is simple in both the synthesis of adsorbents and their use. While many existing reviews highlight the development of synthetic adsorbents, our focus is on how the length of the adsorbent chain and its functional groups influence PFAS removal effectiveness. Third, adsorption is a more cost-effective and sustainable method compared to alternative removal technologies, as it requires little to no energy input. Finally, we offer a forward-looking perspective, providing guidance for researchers and stakeholders working on next-generation PFAS remediation technologies. We highlight future directions, including the development of multifunctional polymeric materials, mechanistic understanding of PFAS–polymer interactions, and the application of green chemistry principles, to advance sustainable management of PFAS contamination.
2. Classification of PFASs
PFASs are broadly classified into polymeric and non-polymeric categories [41,42] based on their chemical structures, molecular arrangements, and the number of carbon–fluorine (C-F) bonds. These two main classes are further divided into subclasses and groups based on attached functional groups, degree of fluorination, and characteristic behaviors. Polymeric substances are subdivided into three categories; fluoropolymer PFASs are broadly classified into polymeric and non-polymeric groups. These include mers, perfluoroethers, and side-chain fluorinated polymers, which differ in their chemical structures, backbone composition, and fluorination patterns. Non-polymeric substances are divided into per- and polyfluoroalkyl substances. Perfluoroalkyl substances are further classified by carbon chain length (short- or long-chain) and by attached functional head groups (perfluoroalkyl sulfonic acids and carboxylic acids), as shown in Figure 1. In this section, we review the classification of PFASs based on carbon chain length and attached functional groups. This classification enables a more detailed discussion of PFASs. Figure 2 presents a flow diagram summarizing the classification of PFASs discussed in this section.
Figure 1.
General structures of legacy PFAS molecules, along with their sources and impacts on humans and the environment.
Figure 2.
Classification of PFASs. Red font is used to indicate the focus of this manuscript on carboxylic, sulphonic acid, short and long chain PFAS molecules, and dotted arrow is used to represent the subdivision of both perfluoroalkyl acids to short and long chain.
2.1. Polymeric and Non-Polymeric
Polymeric PFASs are large molecules composed of small repeating units with high molecular weights, such as polytetrafluoroethylene (PTFE), which has 10,000–180,000 carbons linked together to form a high molecular weight structure. Due to their large molecular weights, these polymeric PFASs exhibit low mobility in the environment, resulting in reduced ubiquity. In contrast, non-polymeric substances consist of 4 to 12 carbon atoms with attached fluorine atoms [41]. They possess smaller molecular sizes and lower molecular weights, which makes them highly mobile in water systems, thus increasing their potential for bioavailability and entry into the food chain. Due to the significant differences in their properties, polymeric fluorocarbons are evaluated separately from non-polymeric fluorocarbons. Non-polymeric PFASs are commonly used in both industrial and consumer products, leading to greater environmental and human exposure. As a result, they have been studied more extensively than their polymeric counterparts, especially regarding their mobility, persistence, and toxicity.
Molecular weight is crucial in evaluating PFAS toxicity. High molecular weight compounds, especially polymeric PFASs (generally > 1000–10,000 Da), usually cannot cross cell membranes, which limits their interaction with internal organs and decreases their potential for bioaccumulation. Conversely, non-polymeric PFASs, with much lower molecular weights, can more easily penetrate biological barriers and are more likely to build up in tissues, leading to toxic effects. Therefore, as the degree of polymerization (Mn) increases in PFASs, the associated health risks tend to decrease [43].
2.2. Per- and Polyfluoroalkyl Substances
Per- and polyfluoroalkyl substances are non-polymeric fluorocarbons. Perfluoroalkyl substances are characterized by having each carbon atom in the backbone fully substituted with fluorine atoms, creating highly stable carbon–fluorine bonds [44]. These perfluoroalkyl substances are further classified into two main categories: perfluoroalkyl acids and perfluoroalkane sulfonamides. Polyfluoroalkyl substances have carbon chains in which some—but not all—carbon atoms are bonded to fluorine atoms [45]. Although the name “polyfluoroalkyl” suggests a structure of repeating carbon units like true polymers, these compounds do not actually have such structures. Instead, the prefix “poly” indicates the presence of multiple fluorine atoms attached to the molecule. Fluorotelomers are a well-known class of polyfluoroalkyl substances that are commonly used for their water- and oil-repellent properties in consumer products such as non-stick cookware, carpets, stain-resistant clothing, and food packaging [46].
Perfluoroalkyl substances are subdivided into short-chain and long-chain types based on the length of the carbon chain. The carbon chain is directly connected to functional groups (alkyl acid groups) [47]. This functional group, often called the “head,” determines many of the chemical, environmental, and biological properties of each PFAS compound. Perfluoroalkyl acids are the most environmentally relevant and well-studied class of PFAS, as Perfluoroalkyl carboxylic acids (PFCAs) and Perfluoroalkyl sulphonic acids (PFSAs) are very dominant in the environment [31]. They exist in an anionic form in the environment, impacting their mobility, toxicity, adsorption, and bioaccumulation.
2.2.1. Long-Chain
The term “long-chain PFAS” refers to perfluoroalkyl acids with n ≥ 7. These long-chain PFASs are widely produced, highly toxic chemicals that have been well studied. The legacy PFAS molecules, perfluorooctanoic acid (PFOA) and perfluorosulfonic acid (PFOS), belong to this subclass of PFAS [48]. They are highly toxic even at low doses because they are more persistent and less mobile than short-chain compounds. Therefore, they can bioaccumulate easily [49] and can cause severe health problems like kidney and liver cancer, and disrupt the reproductive system in humans [50,51].
2.2.2. Short-Chain
With the phase-out of long-chain PFASs, short-chain PFASs were developed as an alternative. The term “short-chain PFAS” generally refers to perfluoroalkyl substances with n < 7 [49], where n is the number of carbon atoms present in the chain. The increasingly used short-chain PFASs were assumed to have lower toxicity and bioaccumulation potential compared to longer chains; however, they are more mobile and have less adsorption potential [51]. Because of this property, degrading and removing short-chain PFASs from the environment is challenging [52].
2.2.3. Sulphonic Acids
Perfluoroalkyl substances in which a carbon chain is linked to a sulphonic acid group (-SO3H) are classified as perfluoroalkyl sulphonic acids (PFSAs). They are strong acids with very low dissociation constant (pKa) values and are highly stable because resonance stabilizes the structure through three oxygen-bonded atoms sharing the negative charge. Perfluorooctane sulfonic acid (PFOS) is a well-studied compound in this group, known for its excellent water- and oil-repellent properties.
2.2.4. Carboxylic Acids
Perfluoroalkyl carboxylic acids (PFCAs) consist of a perfluorinated alkyl chain attached to a carboxylic acid (-COOH) functional group at the other end. They have lower pKa values than sulfonic acids, making them less acidic. The negative charge on the carboxylate is localized on two oxygen atoms attached to a carbon atom, which gives them unique structural and physical properties. Perfluorooctanoic acid (PFOA) is the representative compound of the PFCA class. They are named by replacing the “S” suffix in PFOS with “A”.
As shown in Figure 3, Liang et al. analyzed 107 PFAS compounds in wastewater and classified them based on their structural features. The identified PFASs were divided into five groups, covering fifteen classes: 9-PFCA (C2-C10), 32-H-PFAA (C2-C16), 52-Ether-PFAA (C3-C16), 9-Cl-PFAA (C2-C9), and 5-I-PFAA (C2-C8). The total reported concentration of all PFASs was 36 mg/L [53].
Figure 3.
(a,b) Classification, concentration, and number of PFASs determined in fluorochemical wastewater from an industrial park in China; (c) total percentages of long-chain, short-chain, and PFSA and PFCA identified by Orbitrap LC/MS analysis [53].
3. Methods for PFAS Removal
Different methods for PFAS removal are discussed in the literature. Primarily, two types of methods are used: non-destructive and destructive. Since many reviews have already been published specifically on treatment methods [54,55,56,57,58,59], this section review will briefly examine the treatment approaches available so far, their effectiveness, cost-efficiency, and what remains to be performed to remove PFASs from our environment effectively.
3.1. Non-Destructive Methods
Non-destructive techniques for PFAS removal include traditional coagulation, flocculation, adsorption, ion exchange resins (IX), and membrane filtration [57,60,61]. Coagulation and flocculation are traditional methods that do not effectively remove PFASs [60,62,63]. Membrane filtration, adsorption, and anion exchange resins have become more effective and extensively researched approaches in recent years [64,65]. Figure 4 illustrates the fundamental mechanisms of PFAS removal through these non-destructive techniques.
Figure 4.
Destructive and non-destructive techniques for PFAS removal.
For filtration, high-pressure membranes such as reverse osmosis (RO) and nanofiltration (NF) are very effective at removing PFASs from water [66]. The effectiveness of these membranes in removing PFASs depends on several factors, such as the molecular weight of PFASs, chain length, functionalities on the membrane surface, pore size, pore distribution, pH, and filtrate concentration [66,67]. Membranes with negatively charged and hydrophilic surfaces can potentially reject PFAS molecules. PFAS removal by RO and NF membranes improves with longer chain length due to increased size exclusion and hydrophobic interactions [68]. In a study by Fujioka et al., the effect of functional groups on PFAS removal by NF is discussed. They note that PFASs with carboxylate groups show higher rejection rates than sulfonate because PFOA (−0.83 electron units) has a greater partial negative charge compared to PFOS (−0.66 electron units) [69].
Adsorption is a sustainable, cost-effective, and eco-friendly method commonly used to remove contaminants from water [70], including PFASs [57]. Destructive approaches, such as advanced oxidation [71] or thermal treatment [72], often require high energy input and may generate harmful secondary byproducts that complicate remediation [73]. In contrast, adsorption is a non-destructive, simple, and scalable process that can be applied under mild conditions without producing secondary pollutants [74]. But disposal of spent adsorbent can produce secondary pollution [75]. Moreover, adsorption is particularly well-suited for PFASs due to their amphiphilic nature, which allows for tailored interactions such as hydrophobic, electrostatic, and hydrogen bonding with functionalized polymeric adsorbents [76]. These features make adsorption both a scientifically relevant and practically viable technology for PFAS removal. Different adsorbent materials have been developed based on the type of contaminant, each with its advantages and disadvantages [77]. For PFASs, positively charged adsorbent materials have demonstrated higher efficiency because PFASs exist in an anionic form under environmentally relevant conditions [78]. When synthesizing adsorbents, parameters such as surface area, pore size distribution, pore volume, surface charge, and surface morphology are carefully controlled. Various adsorbent materials, including activated carbon [79], biochar, metal–organic frameworks (MOFs), aerogel, hydrogel, and carbon nanotubes have been used to mitigate PFASs [70,80].
Activated carbon (AC) is a well-studied class of adsorbents that has been employed for PFAS removal, specifically for long-chain PFASs [81]. AC sorbents are efficient, simple, and cost-effective for PFAS removal [82]. In full-scale wastewater treatment plants, granular activated carbon (GAC) and powdered activated carbon (PAC) have been in use for effective removal of PFASs [83,84]. Numerous researchers have studied PFAS removal using GAC [81,85,86,87,88,89] and PAC [90,91]. They concluded that long-chain PFASs are removed more effectively by AC than short-chain analogues, and that sulfonic acids show higher removal than carboxylic acids. Comprehensive reviews already exist on AC-driven PFAS removal [92], and on regeneration of spent AC [93]; therefore, we focus here on the key research gap that AC shows less adsorption for short chains that remains to be addressed. One potential strategy to overcome this limitation is the development of narrow pore structures that can restrict access to long-chain PFASs or larger co-contaminants, thereby enhancing the overall efficiency for short-chain PFAS removal [93].
Natural and synthetic polymers are widely used for removing PFASs from water. Studies indicate that porous organic polymers, which are structurally adjustable and chemically stable, can achieve high PFAS removal efficiency under environmentally relevant conditions [94]. Natural polymers, especially those modified with fluorinated or amine groups, have shown excellent ability in PFAS adsorption because of hydrophobic, electrostatic, and fluorous interactions [44]. Studies also show that adding both fluorinated and cationic groups to polymeric sorbents increases removal efficiency for PFASs, mainly through rapid fluorine–fluorine and electrostatic interactions that bind both long- and short-chain PFASs. Long-chain PFASs can interact via hydrophobic tails through hydrophobic interactions, and the chain length and orientation of PFAS molecules significantly influence the adsorption process. Since short-chain PFASs have fewer fluorine moieties, they exhibit less hydrophobic interaction, but electrostatic interaction becomes the dominant mechanism in this type of adsorption.
Ion exchange resins, particularly anion exchange resins (gel type and microporous), have demonstrated effectiveness in removing PFASs [95]. In a study by Appleman et al., anion exchange resins showed minimal to no removal of short-chain PFASs but achieved removal rates of 92% and 75% for long-chain PFOS and PFOA, respectively [96]. A clear distinction exists in how chain length and alkyl acid type influence PFASs in this study. Another research examined polystyrene and polyacrylic resins for PFAS removal, with polystyrene showing superior performance over the latter. In the presence of sulphonate, the removal of PFCA decreases because the more extensive charge distribution of sulphonate, compared to carboxylate, outcompetes carboxylate in interactions [97].
3.2. Destructive Method
Destructive methods involve breaking part or all of the C-F bonds in PFAS molecules, resulting in mineralization, which is often gauged by the amount of fluoride released [98]. Several destructive methods have been reported, including electrochemical oxidation, thermal degradation, advanced oxidation/reduction processes (AOPs and ARPs), and plasma treatment. In destructive methods, the C-F bond breaks down either by applying heat or through radical attack. The detailed cyclic mechanism for PFAS degradation by different species is shown in the destructive section of Figure 4. Electrochemical oxidation of PFASs begins when current passes through the contaminant solution between the cathode and anode. Indirect and direct oxidation reactions start the conversion of the precursor PFAS molecule through a series of reactions into an intermediate. But this treatment method has a drawback: it can increase the concentration of short-chain intermediates by breaking the long PFAS chain [99]. Thermal degradation of PFASs is an energy-intensive process because it involves burning spent media, such as adsorbents and filters, at very high temperatures (600–1000 °C). During this intense heat, PFAS molecules can be transformed into greenhouse fluoromethane gas (CF4) [73].
ARPs and AOPs generally utilize ozone, persulfates, peroxides, and UV radiation to initiate oxidation and reduction reactions. Persulfates and metal oxides are used to generate reactive species, such as sulfite radicals, hydroxyl radicals, and hydride electrons, which initiate the reaction mechanism. Several researchers have published a comprehensive review of the procedures and mechanisms for PFOS and PFOA degradation using ARPs and AOPs, including Cardoso et al. [100], Alalm and Boffito [101], and Umar [102]. Two types of catalytic systems are used for the degradation of PFASs, namely homogeneous and heterogeneous [103]. In heterogeneous catalytic systems, catalysts containing functional groups can interact with the carboxylate or sulfonate head of PFOA, thereby weakening the bond at the head group and promoting its breakdown. In contrast, homogeneous systems depend on reactive species like radicals, holes, or electrons to break C-C and C-F bonds [101].
Recent studies have demonstrated that plasma treatment can significantly degrade PFASs, with reductions of up to 63.75% for PFOA in laboratory experiments using atmospheric non-thermal plasma (NTP) with air as the working gas [104]. The degradation efficiency depends on operational parameters (such as exposure time, gas composition, and cooling systems) and the water matrix, with greater removal observed for long-chain PFASs compared to short-chain analogs [105]. For example, in deionized water, long-chain PFASs such as PFOS and PFHxA achieved over 90% removal, while short-chain PFASs had lower removal rates. In real water matrices, removal efficiencies ranged from 8% to 50%, depending on the compound and conditions [104]. The degradation mechanism for PFSAs and PFCAs involves electron transfer and bond breaking, while ether-containing PFASs, such as hexafluoropropylene oxide dimer acid (GenX) and 4,8-Dioxa-3H-perfluornonanoic acid (ADONA), are degraded through initial ether-group cleavage followed by additional transformation steps [106].
Destructive technologies used for PFAS remediation often create secondary pollutants. Incomplete mineralization of long-chain PFASs can produce short-chain precursors, which are more mobile and widespread in the environment. Burning PFASs at high temperatures generates ash containing inorganic fluorine and releases a corrosive HF gas. [17,99]. In cases of incomplete incineration, perfluoroisobutylene, fluorocarbons, and fluorinated alkanes can form, which have long half-lives in the atmosphere [107,108]. Complete mineralization of PFAS molecules generally requires very high temperatures, typically around 1000 °C [109]. Electrochemical oxidation generates byproducts, such as Cl2, HF, ClO3−, and ClO4−, during the unzipping mechanism of CF2 units and degradation of the working electrode [110]. ARPs also generate short-chain PFAAs as byproducts because of incomplete mineralization [108]. However, plasma causes full dissociation of PFAS molecules into thermodynamically stable species, (HF, CO, CO2, SOx), which are then removed by scrubbing [99,108]. Given these risks, careful monitoring of intermediates and byproducts throughout the treatment process is essential to verify complete defluorination.
4. PFAS Removal by Adsorption
Adsorption is a simple yet complex process because designing the adsorbents for effective removal of a diverse range of PFAS molecules is challenging. A good adsorbent should have the following properties: (a) cost-effective, (b) environmentally friendly, and (c) effective for short- and long-chain PFAS removal [79]. Adsorption in complex environments with other co-contaminants has not been thoroughly explored. Most of the adsorbents reported to date mainly focus on long-chain PFASs, such as PFOS and PFOA. Due to strict environmental regulations on these legacy PFAS molecules, short-chain alternatives have been developed. However, they are more toxic and mobile in the environment. This review examines how short- and long-chain PFAS molecules, based on their functional head groups, are adsorbed by natural, synthetic, and composite adsorbents.
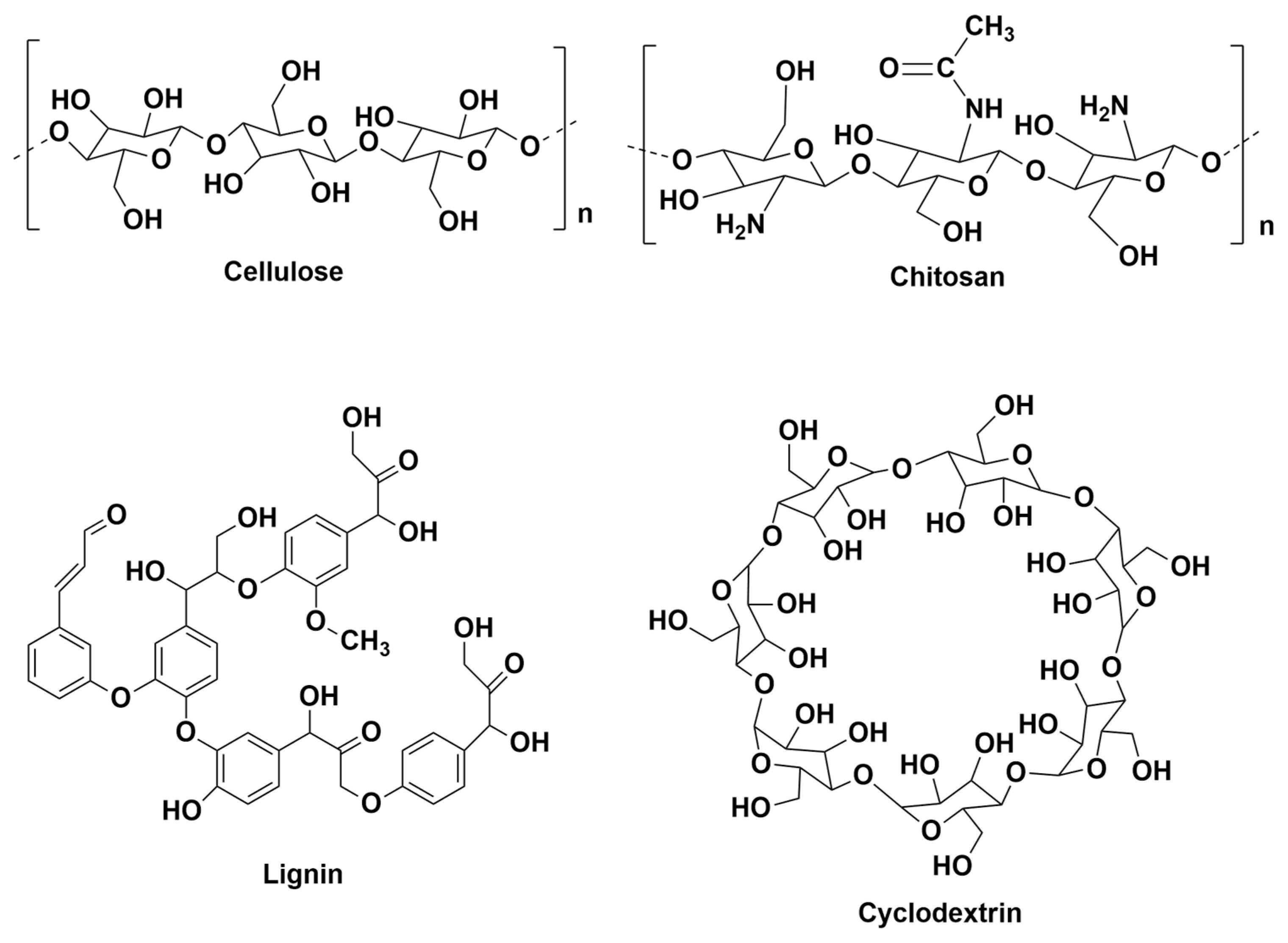
4.1. Sustainable Natural Polymers
Biopolymers, such as cellulose, chitosan, lignin, and cyclodextrins, are affordable, sustainable materials with the potential to serve as adsorbents. The chemical structure of biopolymers is illustrated in Figure 5. They possess tunable surface properties. Cellulose and chitosan are the two most abundant natural polymers on Earth. Cellulose is a key structural component of plants and contains a high number of hydroxyl groups (Figure 5). These hydroxyl groups make it highly suitable for chemical modifications such as oxidation, etherification, esterification, and grafting [106,111]. In most studies, cellulose is functionalized with amine groups using compounds such as polyethyleneimine (PEI), triethylamine (TEA), and trimethylammonium chloride to create cationic cellulose. Cellulose can be crosslinked with other polymers, such as chitosan, because they have similar chemical structures, with chitosan containing an amine group at the C2 position. Crosslinking enhances the surface area of the adsorbent and provides more functional sites, which improves the adsorption of PFASs [112]. Recently, Li et al. synthesized amine-functionalized dialdehyde cellulose through an oxidation and amine reduction reaction using 4-, 8-, and 12-carbon alkylamines. These adsorbents were used to remove short- and long-chain PFASs, achieving maximum adsorption capacities of 676, 385, and 230 mg/g for PFOS, PFOA, and PFBA (perfluorobutanoic acid), respectively. The long-chain PFOS and PFOA were removed through hydrophobic interactions between their hydrophobic tails and the alkyl chains attached to amines. Short-chain PFBA showed electrostatic interactions. Sulphonic acid head groups adsorb almost twice as much as carboxylic groups. However, this study did not explain why the acid head groups of PFASs influence the overall adsorption [113]. Cellulose fibers were functionalized with quaternary amines to introduce positive charges in a study by Harris et al. Quaternized cellulose removed 80% of PFOS and PFOA, while less than 30% of short-chain PFAS molecules were removed within a few seconds. Long-chain PFASs have higher octanol/water partition coefficients (Kow), making them more hydrophobic, which leads to increased hydrophobic interactions with the cellulosic materials backbone. They also demonstrated that sulfates have a greater affinity for amines compared to carboxylates [114]. Another study noted that PFAS functional groups are more critical for their adsorption than chain length when using quaternized cellulose functionalized polymer resins, which demonstrated high removal efficiency for both short and long-chain PFASs [115].
Figure 5.
Chemical structures of natural polymers.
Chitin is a plentiful natural polymer often derived from the shells of crustaceans and the cell walls of fungi. It can be partially or fully deacetylated to remove the acetyl group attached to the amine group at the C2 position, transforming it into a cationic biopolymer (chitosan) [116]. The high amount of amine and hydroxyl groups in their structure, as shown in Figure 5, makes them suitable for PFAS removal through electrostatic interactions [117]. Chitosan has been functionalized with nanoparticles or crosslinked with other natural and synthetic polymers to increase its surface area and functional groups, creating more interaction sites for PFAS molecules. Shahrokhi and Park reported the creation of polyethyleneimine-functionalized chitosan beads for PFAS removal. The beads successfully adsorbed PFAS through electrostatic and hydrophobic interactions; however, their adsorption efficiency decreased in the presence of co-contaminants [116]. Wittwer et al. crosslinked chitosan with different concentrations of epichlorohydrin (ECH) and used molecular imprinting with PFAS templates to improve PFOS adsorption [118].
Lignin is an essential chemical component of wood, acting as a binder between cellulose and hemicellulose. Lignin has many environmental applications, and it can be carbonized to serve as an adsorbent for removing emerging contaminants [119]. Mel et al. investigate the partitioning behavior and interaction mechanisms of per- and polyfluoroalkyl substances (PFASs) within pulp and paper (P&P) wastewater systems, focusing on lignin-containing substrates. Their experimental study confirms that electrostatic and hydrophobic interactions primarily drive PFAS sorption to lignin, especially for sulfonate-functional PFASs like PFOS and PFBS, which display higher solid–water distribution coefficients (Kd). Conversely, carboxylate-functional PFASs show lower affinity for lignin and tend to remain more mobile in the water phase [120].
Cyclodextrins are cyclic oligosaccharides derived from starch, composed of a macrocyclic ring of glucose monomers connected by α-1,4 glycosidic bonds (Figure 5). Depending on the number of glucopyranose units—six, seven, or eight—they are classified as α, β, and γ-cyclodextrins, respectively [79]. Wang et al. synthesized an adjustable β-cyclodextrin polymer platform by polymerizing it with anionic and cationic comonomers. They synthesized three adsorbents—two with negative surface charges and one with positive surface charges. The cationic adsorbent worked very well for removing both short- and long-chain PFASs in ultrapure water, but its performance declined especially for short-chain PFASs like PFBA, indicating that these removals heavily rely on electrostatic interactions. In contrast, anionic adsorbents performed better when Na2SO4 was added, especially for long-chain PFASs, likely due to stronger hydrophobic interactions and decreased repulsion between the adsorbent and PFAS. PFSAs were removed more effectively than PFCAs, possibly because they are more hydrophobic [121]. Similarly, in another study, β-CD was functionalized with epichlorohydrin (EPI), hexamethylene diisocyanate (HDI), and benzyl chloride (Cl) by Abaie et al. to introduce positive and negative charges on CD. The first two, functionalized with EPI and HDI, showed moderate adsorption of PFASs and PFCAs, while the Cl-functionalized β-CD exhibited significant adsorption. A positive correlation between Kd and Kow values for the two adsorbents (EPI and HDI functionalized) confirmed the hydrophobic relationship between the adsorbent and anionic PFAS. The third adsorbent (Cl-β-CD) displayed comparable adsorption for PFASs [122]. The detailed comparison of the adsorption capacities of functionalized natural polymers, along with the mechanisms involved, is listed in Table 1.
Table 1.
Comparison of efficacy of biopolymers for PFAS removal, along with their mechanism.
4.2. Synthetic Polymers
Synthetic polymers are commonly used for PFAS adsorption and often serve as the base materials for polymer resins. Coordinated polymers such as metal–organic frameworks (MOFs), covalent organic frameworks (COFs), and molecularly imprinted polymers (MIPs) have recently gained attention due to their tunable structures and selective adsorption capabilities. Their adsorption behavior, studied in recent studies, has been summarized in Table 2. The effectiveness of these polymers depends on how PFAS molecules interact with them, which is influenced by the PFAS chain length and functional groups. The surface charges, pore sizes, and hydrophobicity of the polymers guide the design of materials to enhance PFAS removal from water. Polystyrene and polyacrylic are used as matrices for anion exchange resins, often functionalized with positively charged tertiary and quaternary amines to reduce anionic PFAS contaminants [128]. Ateia et al. reported using a synthetic cationic hydrogel, N-[3-(dimethylamino)propyl]acrylamide methyl chloride quaternary (DMAPAA-Q), for PFAS removal. Their results showed that sulfonated PFASs (PFSAs) were adsorbed more effectively than carboxylated PFASs (PFCAs), regardless of chain length [129]. The study concluded that hydrophobic interactions mainly drive PFSA adsorption, while electrostatic interactions play a more significant role in PFCA binding. DFT calculations revealed that PFSAs exhibited more exergonic binding energies compared to PFCAs, supporting their higher adsorption affinity [130].
Table 2.
Studies reported for PFAS adsorption by synthetic adsorbents.
Covalent organic frameworks are made up of organic building blocks that are covalently bonded to form porous crystalline structures. COFs are surface functionalized with quaternary amines and fluorine to enhance PFAS adsorption through electrostatic and fluorophilic interactions [128]. The pore size of COFs determines their adsorption ability. A study by Wang et al. mentioned that COFs with a pore size 2.5 to 4 times larger than PFAS molecules can adsorb PFASs. Therefore, the COF structure shown in Figure 6, with a pore size of 28Å, is well suited for adsorbing PFAS molecules containing 7 to 10 carbon atoms. To analyze the influence of COF pore size on PFAS removal, they synthesized five different COFs with varying pore sizes and tested the adsorption of six short- and long-chain PFAS molecules. The adsorption mechanism revealed that excessively large pores reduce the adsorption rate. Long-chain PFASs were more strongly adsorbed by COFs, facilitated by hydrogen bonding and hydrophobic interactions. However, they did not study the impact of acid head groups on the adsorption process [131].
Figure 6.
Estimated pore size of the COFs structure compared with the fluorine moieties of variable carbon chains of PFASs [128].
Quaternary amine-functionalized COFs with comparable porosities (including mesoporous and microporous structures) were synthesized by Wang et al. In their study, they found that the oxygen-containing moieties of PFAS molecules formed strong electrostatic interactions with the quaternary amine groups, leading to high adsorption energies. However, they also observed that short-chain GenX molecules were displaced by long-chain PFASs because of differences in exchange energies, indicating a preference for long-chain PFASs to adsorb at the quaternary amine sites [132].
Metal–organic frameworks (MOFs) are regarded as coordination polymers that have a metal atom at the center, along with organic ligands bonded through coordinate covalent bonds [128]. MOFs, such as MIL (Materials Institute Lavoisier), UiO (University of Oslo), and ZIF (Zeolitic Imidazolate Frameworks), and their variants have been extensively explored for PFAS removal. The crystal and unit cell structures of ZIF-8, MIL-53, and UiO-66 MOFs are shown in Figure 7.
Figure 7.
Structure of MOFs with tunable structures and variable pore sizes commonly used for PFAS removal.
Recently, Ilango et al. synthesized nitrogen-doped ZIF-8, which showed efficient removal of both short- and long-chain PFSAs and PFCAs. The material’s mesoporous and hydrophobic structure facilitated the adsorption of long-chain PFASs, while the nitrogen dopants at the ZIF-8 nodes improved electrostatic interactions with short-chain PFASs [134]. Hua et al. studied the dual functionality of UiO-66 through defect engineering. They used UiO-66 to detect PFASs at trace levels, and they mentioned that the accuracy was comparable to LC/MS. UiO-67 removed up to 99% of all PFAS molecules in the water matrix within 30 min [135]. Zhao et al. synthesized a series of MIL-53 metal–organic frameworks with different metal centers (Al, Fe, and Cr) and organic ligands of various lengths to evaluate their performance in PFOS adsorption. The study demonstrated that both the type of metal and the length of the organic linker significantly affected the adsorption capacity. Specifically, longer organic ligands increased pore spacing, which improved the diffusion of PFOS molecules and enhanced adsorption. Additionally, the presence of unsaturated metal sites further increased PFOS removal, likely due to stronger electrostatic and coordination interactions with the PFOS anions [137,138].
Molecularly imprinted polymers (MIPs) are synthetic polymers designed to have specific selectivity for target molecules. They have been utilized as adsorbents for PFAS removal and as sensors for detecting PFASs [139]. Different synthetic methods have been used to create imprints targeting PFAS molecules, with bulk polymerization being the simplest. However, it requires intensive grinding and involves using various molar ratios of the target PFAS molecule as templates, along with crosslinkers and functional monomers, as shown in Figure 8 [139].
Figure 8.
Synthesis and adsorption process of PFAS-imprinted polymers (PFAS-MIP).
Some of the MIP adsorbents used for PFAS removal, including their adsorption capacities and mechanisms for both short- and long-chain PFASs, are listed in Table 3. PFOS and PFOA share a similar linear C8 chain structure. MIP adsorbents, which are templated with PFOS, showed high selectivity only for PFOS due to its sulfonic acid group, which forms strong electrostatic interactions with amino groups in chitosan during imprinting. In contrast, PFOA’s carboxylic group lacked the same interaction strength due to memory selectivity, resulting in significantly lower adsorption and demonstrating the critical role of functional group specificity in selective PFAS recognition [126].
Table 3.
Adsorption capacities of molecular imprinted polymers (MIP).
5. Key Parameters Affecting PFAS Adsorption
The amphiphilic nature of PFASs, featuring a hydrophobic fluorinated tail and a polar functional head group [144], makes the adsorption process particularly complex, especially in real water matrices where coexisting contaminants can interfere. The chain length and the nature of the acid head group (e.g., carboxylate vs. sulfonate) play critical roles in the adsorption process [145].
5.1. Effect of PFAS Chain Length
As discussed earlier, PFASs are classified as short- or long-chain based on the number of carbon atoms. This chain length is essential for their adsorption by an adsorbent. Long-chain PFAS molecules have higher molecular weights, making them less mobile and more hydrophobic in water matrices compared to short-chain PFASs [146]. Adsorption of PFOS usually exceeds that of PFOA on different adsorbents [147]. Despite having the same number of carbons, PFOS exhibits greater hydrophobicity due to two main structural differences: first, it has one extra CF2 unit, and second, there is a sulfonate group in PFOS [147]. Adding a CF2 unit results in an increase of about 0.55 log units in the Kd (distribution coefficient) value [148], which indicates the tendency of an adsorbate to adhere to the surface of the adsorbent. It is reported that the adsorption of longer-chain PFAAs increases with the length of the carbon chain [149], suggesting that hydrophobicity is the main driving force for sorption [150].
where m is the number of CF2 units in the chain and ΔGCF2 is the Gibbs free energy contribution by each CF2 unit. This equation shows a linear relationship: the longer the chain (more CF2 units), the more negative the hydrophobic free energy becomes, making adsorption thermodynamically more favorable [151]. The incorporation of additional CF2 units in the chain increases the overall molecular polarity, making long-chain PFASs more polar [152].
Zhang & Yazadin conducted computational studies to determine the effect of PFAS chain length on adsorption [19]. As the number of fluorinated carbons increases, regardless of the attached functional group, the Gibbs free energy (ΔG) decreases, indicating that longer chain lengths thermodynamically favor the adsorption of PFASs [19]. Short-chain PFASs exhibit high mobility and low adsorption potential [153]. They are more hydrophilic and smaller in size, which makes them harder to adsorb [153]. Their adsorption mechanism primarily depends on electrostatic interactions between their anionic functional groups and the cationic charges of the adsorbent [154]. Moreover, long-chain PFASs are more likely to form bilayers and aggregate in environmental matrices because of their lower critical micelle concentrations (CMCs) compared to short-chain analogs [44,155]. Kang et al. synthesized a PEI-PVC nanofiber adsorbent to improve short-chain PFAS removal, which usually has low adsorption capacity because of high hydrophilicity and dependence on electrostatic interactions. By adding polyethyleneimine, they increased the positive surface charge, resulting in high adsorption capacities for PFBA (84.26 mg/g) and PFBS (214.37 mg/g) [156]. This approach agrees with Zhang and Yazadin’s findings that short-chain PFASs are more difficult to adsorb, unlike long-chain PFASs, which are thermodynamically favored.
5.2. Effect of Functional Head Groups
Perfluoroalkyl acids (PFAAs) are typically classified into two groups based on their functional head groups: perfluoroalkyl sulfonic acids (PFSAs) and perfluoroalkyl carboxylic acids (PFCAs). PFSAs, like PFOS, contain a sulfonate (-SO3-) group, while PFCAs, such as PFOA, have a carboxylate (-COO-) group [157]. These functional groups play a crucial role in their adsorption behavior.
According to Pearson’s Hard and Soft Acids and Bases (HSAB) principle, hard bases like the carboxylate group in PFCAs have a high charge-to-radius ratio and are less polarizable. In contrast, the sulfonate group in PFSAs is considered a soft base, meaning it is more polarizable. Based on HSAB theory, soft bases tend to interact more with soft acids (or soft cationic adsorbent sites), while hard bases prefer hard acids. Therefore, PFOS (a soft base) tends to interact more strongly with soft cationic adsorbents, whereas PFOA (a hard base) shows stronger binding with hard cationic sites [47,158].
However, adsorption is not only influenced by acid–base interactions. The polarity of the functional group and the hydrophobic nature of the fluorocarbon tail also impact adsorption. Carboxylate groups in PFCAs are less polar than sulfonate groups, making hydrophobic interactions more significant in PFCA adsorption. In contrast, PFSA adsorption is mainly driven by polar interactions due to the higher polarity and charge delocalization of the sulfonate group [19]. As a result, PFSA molecules (such as PFOS) tend to form stronger electrostatic interactions with polar adsorbents, even when they have long fluorocarbon tails. Meanwhile, PFCAs (such as PFOA) are more effectively adsorbed by hydrophobic interactions due to the greater contribution of van der Waals forces along their less polar chain.
5.3. Combined Effect of Chain Length and Functional Groups
Most of the adsorbents worked efficiently at acidic to neutral pH levels because all the PFASs exist in their anionic form, regardless of the attached acid functional group. The pKa values for short- and long-chain PFAS molecules are provided in Table 4. Since all the PFAS molecules have very low pKa values, they exist in their anionic form under environmentally relevant conditions [159].
Table 4.
Structural features, acidity profiles, and thermodynamic properties of PFAS compounds.
As listed in Table 4, we compared the pKa, log Kow (octanol–water partition coefficient), and ΔGhydrophobic values to understand the adsorption behavior of PFAS molecules. The very low pKa values for long-chain molecules confirm their more polar behavior, which is especially noticeable among long-chain PFSAs. Higher log Kow values indicate greater hydrophobicity. Long-chain PFASs have significantly higher values, supporting the idea of increased hydrophobicity compared to short-chain PFASs; however, PFSA and PFCA show similar patterns. Although PFSAs are more polar, their Kow values are still higher than those of PFCAs. This suggests a complex interplay of hydrophobic and electrostatic forces when comparing the adsorption of both classes based on chain length. The more negative ΔG value supports the hypothesis that longer chains, being more hydrophobic, adsorb more favorably. However, we lack sufficient data to compare the hydrophobicity of PFSAs and PFCAs directly.
6. Adsorption Mechanism
The PFAS adsorption mechanism is complex and depends on both the adsorbent properties and the PFAS chemical structures. Hydrophobic and electrostatic interactions are widely recognized as the primary driving forces. Most reported studies attribute PFAS removal from water to these two types of interactions. Non-covalent interactions are the main factors in how PFAS tails interact [163], as the Sp3 hybridization of C-F bonds [164]. Having three lone pairs on the fluorine atom increases steric and electrostatic hindrance for a nucleophilic attack on the carbon–fluorine tail, thereby promoting hydrophobic character, especially in long-chain PFASs. The non-polar and hydrophobic C-F bonds do not interact with water molecules and tend to adopt energetically unfavorable orientations [163,165,166]. To achieve energetic stability, they interact with hydrophobic moieties from adsorbents that exhibit the same behavior in water, resulting in hydrophobic interactions [167]. Currently, adsorbents made from natural organic materials such as cellulose, lignin, chitosan, and cyclodextrins—including biochars, activated carbons, and aerogels—provide a large surface area with favorable hydrophobic interactions. As the number of -CF2 units increases, the hydrophobic nature of a PFAS increases, as shown in Equation (1), thereby improving adsorption through hydrophobic interactions [47,168].
Electrostatic interactions typically occur between the functional acid head groups of PFAS molecules (anionic) and charged functional sites (cationic) of adsorbents [169]. Although the F atom attached to the carbon chain has three lone pairs, the electrostatic interaction it induces is weak [47,170]. The pH of water greatly affects their adsorption because, at acidic pH, PFAS molecules deprotonate and exist as anionic species. Above pH 7, they are neutral, so electrostatic interactions are unlikely to occur. Hafnium oxide ceramics were used to examine how pH influences the adsorption of POFA by Bronsted acid–base sites. The material’s adsorption capacity decreased from 20.9 mg/g at pH 2.3 to 9.2 mg/g at pH 6.3 due to increased coulomb repulsions [171].
Another method for PFAS adsorption is fluorophilic interaction achieved by introducing fluorine atoms to the adsorbent through chemical modifications [172]. Fluorine atoms are highly electronegative, enabling them to polarize nearby atoms. However, fluorine itself exhibits low polarizability, resulting in weaker interactions with other molecules [173]. Therefore, they tend to cluster together to minimize interactions with non-fluorous compounds and enhance interactions with fluorous compounds. This type of interaction is specific to fluorous adsorbents because of their special design. Fluorophilic interactions are stronger than hydrophobic and electrostatic interactions and are unaffected by the presence of organic matter or co-contaminants [163,174]. Long-chain PFASs with higher fluorophilic characteristics are more fluorophilic, especially PFSA, due to one more CF2 unit compared to PFCA. Ionic flurogels containing abundant quaternary amines and fluorine groups were synthesized through radical copolymerization. One such material, Ionic Fluorogel (IF-20+), showed a 95% removal efficiency for both long- and short-chain PFASs from water collected at the Sweeney Water Treatment Plant in Wilmington, North Carolina. The study emphasized the synergistic effect of fluorophilic and electrostatic interactions as key mechanisms driving the adsorption process [175].
The hydrogen bond between the fluorine atom of PFAS molecules and the hydrogen atom of the adsorbent also contributes to PFAS removal [176]. The strength of these hydrogen bonds usually increases as the PFAS carbon chain lengthens [177]. But the hydrogen bond formed between the PFAS–adsorbent is weaker than the hydrogen bonding in water molecules. So, the role of hydrogen bonding is insignificant in the PFAS adsorption process [176,178]. Zarei et al. reported the combined role of electrostatic interaction and hydrogen bonding using a viologen-based COF for the efficient removal of PFOS and PFOA at very low concentrations (3.8 ng/L) [179].
In conclusion, we can say that PFAS removal from water is governed by a complex interplay of interactions, mainly electrostatic, hydrophobic, fluorophilic interactions, and hydrogen bonding, as shown in Figure 9. The strong hydrophobic interactions arise from the hydrophobic parts of adsorbents and the tails of PFAS molecules. Electrostatic interactions mainly occur between PFAS heads and positively charged functional groups on the adsorbent. Fluorophilic interactions are specific to the adsorbent, while the role of hydrogen bonding remains minimal, although some studies have reported it.
Figure 9.
Illustration of the adsorption mechanism for PFAS removal.
7. Comparative Study of PFAS Removal Technologies
Many PFAS removal technologies have been investigated; however, non-destructive techniques, such as membranes, ion exchange resins (IERs), and activated carbons (ACs), have been commercialized and tested at wastewater treatment plants. Still, no single technology is sufficient for the complete removal of PFASs. In this section, we provide a detailed comparison of PFAS removal technologies, as shown in Table 5 and Figure 10, regarding cost, scalability, and limitations, to give readers a clear understanding of each process. Sustainable polymers, such as cellulose and chitin, have attracted significant attention as affordable and readily available materials for use as sustainable adsorbents. However, these natural materials need to be scaled up into ready-to-use technologies, as many adsorbents are currently tested only in lab-scale batch reactors. Additionally, more research is needed to determine the costs of adsorbent production, regeneration, and disposal of spent materials. Nonetheless, these sustainable polymer adsorbents have the potential to be functionalized to enhance the adsorption of both short- and long-chain PFASs. Extensive research has been conducted on the cost analysis of GAC, IER, and electrochemical oxidation, which we briefly summarized in this section. Liang et al. conducted a pilot study coupling IER with electrochemical oxidation on-site. IER was able to remove PFOA and PFOS to below detectable levels, requiring regeneration after 6–12 months of operation. The concentrated stream was further treated with a Ti4O7 electrode, consuming a total of 0.131–0.161 kWh/m3 for PFOA and 0.071–0.094 kWh/m3 for PFOS [180]. A report by the Minnesota Pollution Control Agency (MPCA) states that the total cost for treating one cubic meter of water with regenerable IER is USD 0.40/m3. GAC costs up to USD 0.44 per cubic meter, while nanofiltration membranes have been cost-effective, with costs ranging from about USD 0.016 to USD 0.16 per cubic meter. IER offers a significantly longer service life, approximately 16 times that of GAC, and is at least 20% less expensive across the evaluated price points. GAC can be more cost-effective only if its performance improves by 25% or if its cost drops below USD 2.75/kg, whereas IX performance declines or its cost rises above roughly USD 20.35/kg [181]. Ellis et al. reported that the cost of PFAS removal by single-use and regenerable GAC systems ranges from USD 0.05 to USD 1.00 per cubic meter [182]. In another study, Jiang et al. mention the operating costs for PFAS removal by GAC and AER: USD 0.64/m3 and USD 0.24/m3, respectively [64,183].
Table 5.
Comparative cost analysis and scalability of PFAS removal technologies.
Figure 10.
Comparative study of cost and scalability of PFAS removal technologies.
When using electrochemical oxidation, pretreatment systems such as IER, RO, and NF can reduce total energy consumption by 50% [186]. However, it still comprises 85% of the total cost of the combined system [187,188]. These are the operating costs of the system after installation. Installation costs are not included. The hybrid system of electrochemical oxidation and ARP removed 90% of PFOS and PFOA from the water by using less than 20 kWh/m3 of energy [189].
8. Conclusions and Future Perspective
This review offers a detailed analysis of how PFAS chain length and functional groups impact their adsorption behavior. Although no single technique has proven to be universally effective for PFAS removal, adsorption remains the most cost-efficient and sustainable method for reducing these “forever chemicals.” Its effectiveness, however, depends on a complex interplay of factors including adsorbent structure, surface charge, pore size, and performance in challenging environments with co-contaminants. Both chain length and functional groups significantly influence PFAS toxicity and their removal efficiency across various adsorbents. Despite notable progress, many of these challenges still need to be fully addressed. This review not only highlights the core difficulties of PFAS adsorption but also offers a new perspective to guide future research toward more effective and sustainable solutions.
8.1. Sustainable Approach
It has been observed that some spent adsorbents are even more difficult to dispose of than PFAS molecules because recycling these adsorbents creates secondary pollutants that are even more toxic. Sustainable solvents and materials should be used to synthesize cost-effective adsorbents. Natural materials such as cellulose, chitin, and lignin have great potential as precursors for PFAS removal. Additionally, adsorbents are often overused to remove more PFASs, which increases costs and leaves some material unused. Regenerating adsorbents over multiple cycles can also reduce their ability to hold PFAS molecules, so these factors should be considered when designing and synthesizing adsorbents.
8.2. Principles for PFAS-Adsorbent Interactions
PFAS adsorption occurs through different primary forces, such as (1) electrostatic interactions between PFAS functional head groups (anionic) and the adsorbent surface charge (cationic), (2) hydrophobic interactions (weak interactions) between the C-F tail of PFASs and hydrophobic regions of the adsorbent, and (3) fluorophilic interactions (F-adsorbent specific) between fluorine moieties of PFASs and the adsorbent. The physicochemical properties of adsorbents determine which type of interaction will be predominant in the adsorption process. Short-chain molecules mainly interact through charge–charge interactions, while hydrophobic van der Waals forces dominate among long chains. Therefore, adsorbents should be designed to effectively remove both short- and long-chain PFASs, regardless of the functional groups of the PFAS molecules.
8.3. Current Research Gaps in PFAS Adsorption Studies
While reporting PFAS concentrations, researchers have used various units, which makes direct comparisons between studies difficult. Most research to date has focused on legacy PFAS compounds like PFOS and PFOA, with little attention paid to mixed matrices containing both long- and short-chain PFASs. Additionally, limited work has been conducted to assess adsorbent performance under realistic environmental conditions; many studies test at unrealistically high concentrations that do not reflect actual contamination levels. Although many laboratory-scale experiments have been conducted, there is a notable lack of pilot- or industrial-scale studies. It is also concerning that there is no comprehensive cost analysis covering the entire process, from adsorbent synthesis and PFAS removal testing to regeneration cycles. Filling these gaps is crucial for turning laboratory success into practical, scalable, and sustainable PFAS remediation solutions.
Author Contributions
Conceptualization, M.H. and R.T.A.; methodology, M.H.; writing—original draft preparation, M.H. and R.T.A.; writing—review and editing, E.B.H. and I.E.; visualization, M.H. and R.T.A.; supervision, E.B.H. All authors have read and agreed to the published version of the manuscript.
Funding
This publication is based on work supported by the McIntire Stennis project under accession number 7001735. The authors thank the USDA Forest Products Laboratory (FPL) in Madison, Wisconsin, for their support of this research.
Data Availability Statement
No data was used for the research described in this article.
Acknowledgments
This manuscript is publication #SB1172 of the Sustainable Bioproducts, Mississippi State University. This publication is a contribution of the Forest and Wildlife Research Center, Mississippi State University.
Conflicts of Interest
The authors declare no conflicts of interest.
Abbreviations
The following abbreviations are used in this manuscript:
| PFASs | Per- and polyfluoroalkyl substances |
| CAS | Chemical Abstract Service |
| OECD | Organization of Co-operation and Development |
| AFFs | Aqueous film-forming foams |
| PFAAs | Perfluoroalkyl acids |
| PFOS | Perfluorooctanesulphonic acid |
| PFOA | Perfluorooctanoic acid |
| GenX | Hexafluoropropylene oxide dimer acid |
| PFHxS | Perfluorohexane sulphonic acid |
| PFNA | Perfluoronanoic acid |
| EPA | Environmental Protection Agency |
| NPDWR | National Primary Drinking Water Regulation |
| MCLs | Maximum contaminant levels |
| ppt | Parts per trillion |
| ppm | Parts per million |
| ppb | Parts per billion |
| PFBS | Perfluorobutane sulfonic acid |
| GAC | Granular activated carbon |
| SCWO | Super critical water oxidation |
| PTFE | Polytetrafluoroethylene |
| PFSAs | Perfluorosulfonic acids |
| PFCAs | Perfluoroalkyl carboxylic acids |
| LC/MS | Liquid chromatography/mass spectrometry |
| IX | Ion exchange resins |
| RO | Reverse osmosis |
| NF | Nanofiltration |
| MOFs | Metal–organic frameworks |
| AOPs | Advanced oxidation processes |
| ARPs | Advanced reduction processes |
| UV | Ultraviolet |
| C-F | Carbon–fluorine |
| F-F | Fluorine–fluorine |
| NTP | Non-thermal plasma |
| PFHxA | Perflourohexanoic acid |
| ADONA | 4,8-Dioxa-3H-perflourononanoic acid |
| PEI | Polyethyleneimine |
| TEA | Triethylamine |
| PFBA | Perfluorobutanoic acid |
| Kow | Octanol/water partition coefficient |
| ECH/EPI | Epichlorohydrin |
| P&P | Pulp and paper |
| Kd | Solid–water distribution coefficient |
| β-CDs | Beta cyclodextrins |
| HDI | Hexamethylene diisocyanate |
| Cl | Benzyl chloride |
| PEI-f-CMC | Polyethyleneimine functionalized cellulose microcrystals |
| N-Me-FOSAA | 2-(N-Methylperflourooctanesulfonamido) acetic acid |
| N-Et-FOSAA | 2-(N-Ethylperflourooctanesulfonamido) acetic acid |
| DAC | Alkylamine modified dialdehyde cellulose |
| QNC | Quaternized nanocellulose |
| QWP | Quaternized wood pulp |
| GCBs | Polyethyleneimine grafted chitosan beads |
| CBs | Crushed chitosan beads |
| CDPs | Cyclodextrin polymers |
| COFs | Covalent organic frameworks |
| MIPs | Molecularly imprinted polymers |
| DMAPAA-Q | N-[3-(dimethylamino)propyl]acrylamide methyl chloride quaternary |
| DFT | Density functional theory |
| QA-COFs | Quaternary amine functionalized covalent organic frameworks |
| ZIF | Zeolitic imidazolate framework |
| UiO | University of Oslo |
| MIL | Materials Institute Lavoisier |
| ΔG | Gibbs free energy |
| CMC | Critical micelle concentration |
| PEI-PVC | Polyethyleneimine-polyvinyl chloride |
| HSAB | Hard and soft acid–base |
| PFPeS | Perfluoropentane sulphonic acid |
| PFPeA | Perflouropentanoic acid |
| PFHpA | Perflouroheptanoic acid |
| PFHpS | Perflouroheptane sulphonic acid |
| PFDA | Perflourodecanoic acid |
| MPCA | Minnesota Pollution Control Agency |
| SC | Short-chain |
| LC | Long-chain |
| TRL | Technology Readiness Level |
References
- Longendyke, G.K.; Katel, S.; Wang, Y. PFAS fate and destruction mechanisms during thermal treatment: A comprehensive review. Environ. Sci. Process. Impacts 2022, 24, 196–208. [Google Scholar] [CrossRef]
- Ambaye, T.G.; Vaccari, M.; Prasad, S.; Rtimi, S. Recent progress and challenges on the removal of per- and poly-fluoroalkyl substances (PFAS) from contaminated soil and water. Environ. Sci. Pollut. Res. 2022, 29, 58405–58428. [Google Scholar] [CrossRef]
- Koelmel, J.P.; Stelben, P.; McDonough, C.A.; Dukes, D.A.; Aristizabal-Henao, J.J.; Nason, S.L.; Li, Y.; Sternberg, S.; Lin, E.; Beckmann, M. FluoroMatch 2.0—Making automated and comprehensive non-targeted PFAS annotation a reality. Anal. Bioanal. Chem. 2022, 414, 1201–1215. [Google Scholar] [CrossRef]
- Schymanski, E.L.; Zhang, J.; Thiessen, P.A.; Chirsir, P.; Kondic, T.; Bolton, E.E. Per-and polyfluoroalkyl substances (PFAS) in PubChem: 7 million and growing. Environ. Sci. Technol. 2023, 57, 16918–16928. [Google Scholar] [CrossRef] [PubMed]
- Gaines, L.G. Historical and current usage of per-and polyfluoroalkyl substances (PFAS): A literature review. Am. J. Ind. Med. 2023, 66, 353–378. [Google Scholar] [CrossRef] [PubMed]
- Glüge, J.; Scheringer, M.; Cousins, I.T.; DeWitt, J.C.; Goldenman, G.; Herzke, D.; Lohmann, R.; Ng, C.A.; Trier, X.; Wang, Z. An overview of the uses of per-and polyfluoroalkyl substances (PFAS). Environ. Sci. Process. Impacts 2020, 22, 2345–2373. [Google Scholar] [CrossRef] [PubMed]
- Høisæter, Å.; Pfaff, A.; Breedveld, G.D. Leaching and transport of PFAS from aqueous film-forming foam (AFFF) in the unsaturated soil at a firefighting training facility under cold climatic conditions. J. Contam. Hydrol. 2019, 222, 112–122. [Google Scholar] [CrossRef]
- Jerič, P.; Likozar, B.; Novak, U. Biobased Hydrophobic Solutions for Natural Textiles—Moving Beyond PFAS. J. Compos. Sci. 2025, 9, 81. [Google Scholar] [CrossRef]
- Curtzwiler, G.W.; Silva, P.; Hall, A.; Ivey, A.; Vorst, K. Significance of perfluoroalkyl substances (PFAS) in food packaging. Integr. Environ. Assess. Manag. 2020, 17, 7–12. [Google Scholar] [CrossRef]
- Ramírez Carnero, A.; Lestido-Cardama, A.; Vazquez Loureiro, P.; Barbosa-Pereira, L.; Rodríguez Bernaldo de Quirós, A.; Sendón, R. Presence of perfluoroalkyl and polyfluoroalkyl substances (PFAS) in food contact materials (FCM) and its migration to food. Foods 2021, 10, 1443. [Google Scholar] [CrossRef]
- Guerrero-Vacas, G.; Comino, F.; Rodríguez-Alabanda, O. Evaluation of the effectiveness and durability of commercial non-stick coatings. J. Food Eng. 2024, 370, 111959. [Google Scholar] [CrossRef]
- Dignes, C.; Nicolas, N.J.; Schroeder, T.B.; Aizenberg, J. Robust PFAS-Free Superhydrophobicity Exhibited in Hierarchically Nanostructured Coatings on Textiles. Adv. Eng. Mater. 2024, 27, 2401736. [Google Scholar] [CrossRef]
- Green, E.G. PFAS, Planes, and Problems: PFAS Regulation in the Aerospace and Aviation Industries. Okla. L. Rev. 2023, 76, 441. [Google Scholar]
- Tansel, B. PFAS use in electronic products and exposure risks during handling and processing of e-waste: A review. J. Environ. Manag. 2022, 316, 115291. [Google Scholar] [CrossRef] [PubMed]
- Borthakur, A.; Wang, M.; He, M.; Ascencio, K.; Blotevogel, J.; Adamson, D.T.; Mahendra, S.; Mohanty, S.K. Perfluoroalkyl acids on suspended particles: Significant transport pathways in surface runoff, surface waters, and subsurface soils. J. Hazard. Mater. 2021, 417, 126159. [Google Scholar] [CrossRef] [PubMed]
- Sammut, G.; Sinagra, E.; Sapiano, M.; Helmus, R.; De Voogt, P. Perfluoroalkyl substances in the Maltese environment–(II) sediments, soils and groundwater. Sci. Total Environ. 2019, 682, 180–189. [Google Scholar] [CrossRef]
- Wang, J.; Lin, Z.; He, X.; Song, M.; Westerhoff, P.; Doudrick, K.; Hanigan, D. Critical review of thermal decomposition of per-and polyfluoroalkyl substances: Mechanisms and implications for thermal treatment processes. Environ. Sci. Technol. 2022, 56, 5355–5370. [Google Scholar] [CrossRef]
- Drew, R.; Hagen, T.G.; Champness, D.; Sellier, A. Half-lives of several polyfluoroalkyl substances (PFAS) in cattle serum and tissues. Food Addit. Contam. Part A 2022, 39, 320–340. [Google Scholar] [CrossRef]
- Zhang, M.; Yazaydin, A.O. The effect of perfluoroalkyl chain length and the type of acid group on PFAS adsorption from water. Chem. Eng. J. 2024, 499, 155851. [Google Scholar] [CrossRef]
- Chowdhury, N.; Prabakar, S.; Choi, H. Dependency of the photocatalytic and photochemical decomposition of per-and polyfluoroalkyl substances (PFAS) on their chain lengths, functional groups, and structural properties. Water Sci. Technol. 2021, 84, 3738–3754. [Google Scholar] [CrossRef]
- de Paula Nunes, E.; Abou Dehn Pestana, B.; Pereira, B.B. Human biomonitoring and environmental health: A critical review of global exposure patterns, methodological challenges and research gaps. J. Toxicol. Environ. Health Part B 2025, 1–19. [Google Scholar] [CrossRef]
- Shen, C.; Zhang, J. Exposure Pathways and Human Health Risks of PFAS. In Ecological and Human Health Impacts of Contaminated Food and Environments; CRC Press: Boca Raton, FL, USA, 2025; pp. 119–134. [Google Scholar]
- Sunderland, E.M.; Hu, X.C.; Dassuncao, C.; Tokranov, A.K.; Wagner, C.C.; Allen, J.G. A review of the pathways of human exposure to poly-and perfluoroalkyl substances (PFASs) and present understanding of health effects. J. Expo. Sci. Environ. Epidemiol. 2019, 29, 131–147. [Google Scholar] [CrossRef]
- Jha, G.; Kankarla, V.; McLennon, E.; Pal, S.; Sihi, D.; Dari, B.; Diaz, D.; Nocco, M. Per-and polyfluoroalkyl substances (PFAS) in integrated crop–livestock systems: Environmental exposure and human health risks. Int. J. Environ. Res. Public Health 2021, 18, 12550. [Google Scholar] [CrossRef] [PubMed]
- Pye, E.S.; Wallace, S.E.; Marangoni, D.G.; Foo, A.C. Albumin proteins as delivery vehicles for PFAS contaminants into respiratory membranes. ACS Omega 2023, 8, 44036–44043. [Google Scholar] [CrossRef]
- Perng, W.; Nakiwala, D.; Goodrich, J.M. What happens in utero does not stay in utero: A review of evidence for prenatal epigenetic programming by per-and polyfluoroalkyl substances (PFAS) in infants, children, and adolescents. Curr. Environ. Health Rep. 2023, 10, 35–44. [Google Scholar] [CrossRef]
- Papadopoulou, E.; Sabaredzovic, A.; Namork, E.; Nygaard, U.C.; Granum, B.; Haug, L.S. Exposure of Norwegian toddlers to perfluoroalkyl substances (PFAS): The association with breastfeeding and maternal PFAS concentrations. Environ. Int. 2016, 94, 687–694. [Google Scholar] [CrossRef]
- India-Aldana, S.; Yao, M.; Midya, V.; Colicino, E.; Chatzi, L.; Chu, J.; Gennings, C.; Jones, D.P.; Loos, R.J.; Setiawan, V.W. PFAS exposures and the human metabolome: A systematic review of epidemiological studies. Curr. Pollut. Rep. 2023, 9, 510–568. [Google Scholar] [CrossRef] [PubMed]
- Stevenson, E.D.; Kleinman, M.T.; Bai, X.; Barlaz, M.; Abraczinskas, M.; Guidry, V.; Watson, J.; Chow, J. Critical review on PFOA, kidney cancer, and testicular cancer. J. Air Waste Manag. Assoc. 2021, 71, 1265–1276. [Google Scholar] [CrossRef] [PubMed]
- Boyd, R.I.; Ahmad, S.; Singh, R.; Fazal, Z.; Prins, G.S.; Madak Erdogan, Z.; Irudayaraj, J.; Spinella, M.J. Toward a mechanistic understanding of poly-and perfluoroalkylated substances and cancer. Cancers 2022, 14, 2919. [Google Scholar] [CrossRef]
- Kwiatkowski, C.F.; Andrews, D.Q.; Birnbaum, L.S.; Bruton, T.A.; DeWitt, J.C.; Knappe, D.R.; Maffini, M.V.; Miller, M.F.; Pelch, K.E.; Reade, A. Scientific basis for managing PFAS as a chemical class. Environ. Sci. Technol. Lett. 2020, 7, 532–543. [Google Scholar] [CrossRef]
- Cousins, I.T.; Johansson, J.H.; Salter, M.E.; Sha, B.; Scheringer, M. Outside the safe operating space of a new planetary boundary for per-and polyfluoroalkyl substances (PFAS). Environ. Sci. Technol. 2022, 56, 11172–11179. [Google Scholar] [CrossRef]
- Figuière, R.; Miaz, L.T.; Savvidou, E.; Cousins, I.T. An overview of potential alternatives for the multiple uses of per-and polyfluoroalkyl substances. Environ. Sci. Technol. 2025, 59, 2031–2042. [Google Scholar] [CrossRef] [PubMed]
- Uszkiewicz, K.L. Unveiling a Hidden Hazard: A Deep Dive into Forever Chemicals and the Urgent Need for Solutions. Vill. Env’t LJ 2025, 36, 161. [Google Scholar]
- Knutson, J.R. Informing Wisconsin’s Response to PFAS: Environmental Justice and Strategies for Identifying and Managing Sources of PFAS in Drinking Water and Wastewater; The University of Wisconsin-Madison: Madison, WI, USA, 2024. [Google Scholar]
- Gerrard, M.B.; McTiernan, E. Regulation of polyfluoroalkyl chemicals in New York. NYLJ 2022. Available online: https://scholarship.law.columbia.edu/faculty_scholarship/3216/ (accessed on 15 September 2025).
- Pollack, J.B.; Carey, I.Q.; Xu, V.Y. Regulation of Products with PFAS. Env’t L. Rep. 2024, 54, 10148. [Google Scholar]
- Longpré, D.; Lorusso, L.; Levicki, C.; Carrier, R.; Cureton, P. PFOS, PFOA, LC-PFCAS, and certain other PFAS: A focus on Canadian guidelines and guidance for contaminated sites management. Environ. Technol. Innov. 2020, 18, 100752. [Google Scholar] [CrossRef]
- Goldenman, G.; Fernandes, M.; Holland, M.; Tugran, T.; Nordin, A.; Schoumacher, C.; McNeill, A. The Cost of Inaction: A Socioeconomic Analysis of Environmental and Health Impacts Linked to Exposure to PFAS; Nordic Council of Ministers: Copenhagen, Denmark, 2019. [Google Scholar]
- Nzeribe, B.N.; Thagard, S.M.; Holsen, T.M.; Stratton, G.; Crimi, M. Oxidation and reduction approaches for treatment of perfluoroalkyl substances. In Perfluoroalkyl Substances in the Environment; CRC Press: Boca Raton, FL, USA, 2018; pp. 255–302. [Google Scholar]
- Buck, R.C.; Korzeniowski, S.H.; Laganis, E.; Adamsky, F. Identification and classification of commercially relevant per-and poly-fluoroalkyl substances (PFAS). Integr. Environ. Assess. Manag. 2021, 17, 1045–1055. [Google Scholar] [CrossRef] [PubMed]
- Patlewicz, G.; Richard, A.M.; Williams, A.J.; Judson, R.S.; Thomas, R.S. Towards reproducible structure-based chemical categories for PFAS to inform and evaluate toxicity and toxicokinetic testing. Comput. Toxicol. 2022, 24, 100250. [Google Scholar] [CrossRef]
- Korzeniowski, S.H.; Buck, R.C.; Newkold, R.M.; kassmi, A.E.; Laganis, E.; Matsuoka, Y.; Dinelli, B.; Beauchet, S.; Adamsky, F.; Weilandt, K.; et al. A critical review of the application of polymer of low concern regulatory criteria to fluoropolymers II: Fluoroplastics and fluoroelastomers. Integr. Environ. Assess. Manag. 2023, 19, 326–354. [Google Scholar] [CrossRef]
- Malouchi, N.; Chatzimichailidou, S.; Tolkou, A.K.; Kyzas, G.Z.; Calgaro, L.; Marcomini, A.; Katsoyiannis, I.A. The Removal of Per-and Poly-Fluoroalkyl Substances from Water: A Review on Destructive and Non-Destructive Methods. Separations 2024, 11, 122. [Google Scholar] [CrossRef]
- Ding, N.; Harlow, S.D.; Randolph, J.F., Jr.; Loch-Caruso, R.; Park, S.K. Perfluoroalkyl and polyfluoroalkyl substances (PFAS) and their effects on the ovary. Hum. Reprod. Update 2020, 26, 724–752. [Google Scholar] [CrossRef]
- Herzke, D.; Olsson, E.; Posner, S. Perfluoroalkyl and polyfluoroalkyl substances (PFASs) in consumer products in Norway—A pilot study. Chemosphere 2012, 88, 980–987. [Google Scholar] [CrossRef]
- Leung, S.C.E.; Wanninayake, D.; Chen, D.; Nguyen, N.-T.; Li, Q. Physicochemical properties and interactions of perfluoroalkyl substances (PFAS)-Challenges and opportunities in sensing and remediation. Sci. Total Environ. 2023, 905, 166764. [Google Scholar] [CrossRef]
- Gomis, M.I.; Vestergren, R.; Borg, D.; Cousins, I.T. Comparing the toxic potency in vivo of long-chain perfluoroalkyl acids and fluorinated alternatives. Environ. Int. 2018, 113, 1–9. [Google Scholar] [CrossRef]
- Chambers, W.S.; Hopkins, J.G.; Richards, S.M. A review of per-and polyfluorinated alkyl substance impairment of reproduction. Front. Toxicol. 2021, 3, 732436. [Google Scholar] [CrossRef]
- Bellia, G.R.; Bilott, R.A.; Sun, N.; Thompson, D.; Vasiliou, V. Use of clinical chemistry health outcomes and PFAS chain length to predict 28-day rodent oral toxicity. Toxicol. Mech. Methods 2023, 33, 378–387. [Google Scholar] [CrossRef] [PubMed]
- Li, R.; MacDonald Gibson, J. Predicting the occurrence of short-chain PFAS in groundwater using machine-learned Bayesian networks. Front. Environ. Sci. 2022, 10, 958784. [Google Scholar] [CrossRef]
- Liang, Y.; Yang, L.; Tang, C.; Yang, Y.; Liang, S.; Wang, A.; Xu, J.; Huang, Q.; Lin, H. Broad-spectrum capture of hundreds of per-and polyfluoroalkyl substances from fluorochemical wastewater. Nat. Commun. 2025, 16, 1972. [Google Scholar] [CrossRef] [PubMed]
- Habib, Z.; Song, M.; Ikram, S.; Zahra, Z. Overview of per-and polyfluoroalkyl substances (PFAS), their applications, sources, and potential impacts on human health. Pollutants 2024, 4, 136–152. [Google Scholar] [CrossRef]
- Amen, R.; Ibrahim, A.; Shafqat, W.; Hassan, E.B. A critical review on PFAS removal from water: Removal mechanism and future challenges. Sustainability 2023, 15, 16173. [Google Scholar] [CrossRef]
- Ross, I.; McDonough, J.; Miles, J.; Storch, P.; Kochunarayanan, P.; Kalve, E.; Hurst, J.; Dasgupta, S.; Burdick, J. A review of emerging technologies for remediation of PFASs. Remediat. J. 2018, 28, 101–126. [Google Scholar] [CrossRef]
- Wanninayake, D.M. Comparison of currently available PFAS remediation technologies in water: A review. J. Environ. Manag. 2021, 283, 111977. [Google Scholar] [CrossRef]
- Hussain, H.N.; Jilani, M.I.; Imtiaz, F.; Ahmed, T.; Arshad, M.B.; Mudassar, M.; Sharif, M.N. Advances in the removal of Polyfluoroalkyl Substances (PFAS) from water using destructive and non-destructive methods. Green Anal. Chem. 2025, 12, 100225. [Google Scholar] [CrossRef]
- Loganathan, P.; Kandasamy, J.; Ratnaweera, H.; Vigneswaran, S. Treatment Trends and Hybrid Methods for the Removal of Poly-and Perfluoroalkyl Substances from Water—A Review. Appl. Sci. 2024, 14, 2574. [Google Scholar] [CrossRef]
- Tushar, M.M.R.; Pushan, Z.A.; Aich, N.; Rowles, L.S. Balancing sustainability goals and treatment efficacy for PFAS removal from water. npj Clean Water 2024, 7, 130. [Google Scholar] [CrossRef]
- Jafarinejad, S. A mini-review of full-scale drinking water treatment plants for per-and polyfluoroalkyl substances (PFAS) removal: Possible solutions and future directions. Sustainability 2025, 17, 451. [Google Scholar] [CrossRef]
- Ayach, J.; El Malti, W.; Duma, L.; Lalevée, J.; Al Ajami, M.; Hamad, H.; Hijazi, A. Comparing conventional and advanced approaches for heavy metal removal in wastewater treatment: An in-depth review emphasizing filter-based strategies. Polymers 2024, 16, 1959. [Google Scholar] [CrossRef]
- Hopkins, Z.R.; Knappe, D.R. Predicting per-and polyfluoroalkyl substances removal in pilot-scale granular activated carbon adsorbers from rapid small-scale column tests. AWWA Water Sci. 2024, 6, e1369. [Google Scholar] [CrossRef]
- Maroli, A.S.; Zhang, Y.; Lubiantoro, J.; Venkatesan, A.K. Surfactant-enhanced coagulation and flocculation improves the removal of perfluoroalkyl substances from surface water. Environ. Sci. Adv. 2024, 3, 1714–1721. [Google Scholar] [CrossRef]
- Sanzana, S.; Fenti, A.; Iovino, P.; Panico, A. A review of PFAS remediation: Separation and degradation technologies for water and wastewater treatment. J. Water Process Eng. 2025, 74, 107793. [Google Scholar] [CrossRef]
- Johnson, J.K.; Hoffman, C.M., Jr.; Smith, D.A.; Xia, Z. Advanced filtration membranes for the removal of perfluoroalkyl species from water. Acs Omega 2019, 4, 8001–8006. [Google Scholar] [CrossRef]
- Liu, C.; Zhao, X.; Faria, A.F.; Quiñones, K.Y.D.; Zhang, C.; He, Q.; Ma, J.; Shen, Y.; Zhi, Y. Evaluating the efficiency of nanofiltration and reverse osmosis membrane processes for the removal of per-and polyfluoroalkyl substances from water: A critical review. Sep. Purif. Technol. 2022, 302, 122161. [Google Scholar] [CrossRef]
- Das, S.; Ronen, A. A review on removal and destruction of per-and polyfluoroalkyl substances (PFAS) by novel membranes. Membranes 2022, 12, 662. [Google Scholar] [CrossRef] [PubMed]
- Ma, Q.; Lei, Q.; Liu, F.; Song, Z.; Khusid, B.; Zhang, W. Evaluation of commercial nanofiltration and reverse osmosis membrane filtration to remove per-and polyfluoroalkyl substances (PFAS): Effects of transmembrane pressures and water matrices. Water Environ. Res. 2024, 96, e10983. [Google Scholar] [CrossRef]
- Fujioka, T.; Takeuchi, H.; Tahara, H.; Murakami, H.; Boivin, S. Effects of functional groups of polyfluoroalkyl substances on their removal by nanofiltration. Water Res. X 2024, 24, 100233. [Google Scholar] [CrossRef]
- Satyam, S.; Patra, S. Innovations and challenges in adsorption-based wastewater remediation: A comprehensive review. Heliyon 2024, 10, e29573. [Google Scholar] [CrossRef] [PubMed]
- Hübner, U.; Spahr, S.; Lutze, H.; Wieland, A.; Rüting, S.; Gernjak, W.; Wenk, J. Advanced oxidation processes for water and wastewater treatment–Guidance for systematic future research. Heliyon 2024, 10, e30402. [Google Scholar] [CrossRef]
- Kumar, R.; Dada, T.K.; Whelan, A.; Cannon, P.; Sheehan, M.; Reeves, L.; Antunes, E. Microbial and thermal treatment techniques for degradation of PFAS in biosolids: A focus on degradation mechanisms and pathways. J. Hazard. Mater. 2023, 452, 131212. [Google Scholar] [CrossRef]
- Verma, S.; Lee, T.; Sahle-Demessie, E.; Ateia, M.; Nadagouda, M.N. Recent advances on PFAS degradation via thermal and nonthermal methods. Chem. Eng. J. Adv. 2023, 13, 100421. [Google Scholar] [CrossRef]
- Zaman, D.; Tiwari, M.K.; Mishra, S. Low-cost adsorptive removal techniques for pharmaceuticals and personal care products. In Measurement, Analysis and Remediation of Environmental Pollutants; Springer: Berlin/Heidelberg, Germany, 2019; pp. 397–421. [Google Scholar]
- Fouda-Mbanga, B.G.; Onotu, O.; Tywabi-Ngeva, Z. Advantages of the reuse of spent adsorbents and potential applications in environmental remediation: A review. Green Anal. Chem. 2024, 11, 100156. [Google Scholar] [CrossRef]
- Calore, F.; Badetti, E.; Bonetto, A.; Pozzobon, A.; Marcomini, A. Non-conventional sorption materials for the removal of legacy and emerging PFAS from water: A review. Emerg. Contam. 2024, 10, 100303. [Google Scholar] [CrossRef]
- Sheraz, N.; Shah, A.; Haleem, A.; Iftikhar, F.J. Comprehensive assessment of carbon-, biomaterial-and inorganic-based adsorbents for the removal of the most hazardous heavy metal ions from wastewater. RSC Adv. 2024, 14, 11284–11310. [Google Scholar] [CrossRef]
- Lei, X.; Lian, Q.; Zhang, X.; Karsili, T.K.; Holmes, W.; Chen, Y.; Zappi, M.E.; Gang, D.D. A review of PFAS adsorption from aqueous solutions: Current approaches, engineering applications, challenges, and opportunities. Environ. Pollut. 2023, 321, 121138. [Google Scholar] [CrossRef]
- Li, D.; Londhe, K.; Chi, K.; Lee, C.S.; Venkatesan, A.K.; Hsiao, B.S. Functionalized bio-adsorbents for removal of perfluoroalkyl substances: A perspective. AWWA Water Sci. 2021, 3, e1258. [Google Scholar] [CrossRef]
- Abeysinghe, H.; Ma, X.; Tsige, M. PFAS removal via adsorption: A synergistic review on advances of experimental and computational approaches. Chemosphere 2025, 377, 144323. [Google Scholar] [CrossRef]
- Cantoni, B.; Turolla, A.; Wellmitz, J.; Ruhl, A.S.; Antonelli, M. Perfluoroalkyl substances (PFAS) adsorption in drinking water by granular activated carbon: Influence of activated carbon and PFAS characteristics. Sci. Total Environ. 2021, 795, 148821. [Google Scholar] [CrossRef] [PubMed]
- Alameddine, M.; Liu, Z.; Sauvé, S.; Barbeau, B. Comparative assessment of powdered versus granular activated carbon for PFAS removal in drinking water treatment plants. ACS EST Water 2025, 5, 851–861. [Google Scholar] [CrossRef]
- Kim, K.Y.; Ekpe, O.D.; Lee, H.-J.; Oh, J.-E. Perfluoroalkyl substances and pharmaceuticals removal in full-scale drinking water treatment plants. J. Hazard. Mater. 2020, 400, 123235. [Google Scholar] [CrossRef]
- Nakazawa, Y.; Kosaka, K.; Yoshida, N.; Asami, M.; Matsui, Y. Long-term removal of perfluoroalkyl substances via activated carbon process for general advanced treatment purposes. Water Res. 2023, 245, 120559. [Google Scholar] [CrossRef]
- Belkouteb, N.; Franke, V.; McCleaf, P.; Köhler, S.; Ahrens, L. Removal of per-and polyfluoroalkyl substances (PFASs) in a full-scale drinking water treatment plant: Long-term performance of granular activated carbon (GAC) and influence of flow-rate. Water Res. 2020, 182, 115913. [Google Scholar] [CrossRef]
- Gonzalez, D.; Thompson, K.; Quiñones, O.; Dickenson, E.; Bott, C. Granular activated carbon-based treatment and mobility of per-and polyfluoroalkyl substances in potable reuse for aquifer recharge. AWWA Water Sci. 2021, 3, e1247. [Google Scholar] [CrossRef]
- Kempisty, D.M.; Arevalo, E.; Spinelli, A.M.; Edeback, V.; Dickenson, E.R.; Husted, C.; Higgins, C.P.; Summers, R.S.; Knappe, D.R. Granular activated carbon adsorption of perfluoroalkyl acids from ground and surface water. AWWA Water Sci. 2022, 4, e1269. [Google Scholar] [CrossRef]
- Najm, I.; Gallagher, B.; Vishwanath, N.; Blute, N.; Gorzalski, A.; Feffer, A.; Richardson, S. Per-and polyfluoroalkyl substances removal with granular activated carbon and a specialty adsorbent: A case study. AWWA Water Sci. 2021, 3, e1245. [Google Scholar] [CrossRef]
- Park, M.; Wu, S.; Lopez, I.J.; Chang, J.Y.; Karanfil, T.; Snyder, S.A. Adsorption of perfluoroalkyl substances (PFAS) in groundwater by granular activated carbons: Roles of hydrophobicity of PFAS and carbon characteristics. Water Res. 2020, 170, 115364. [Google Scholar] [CrossRef]
- Murray, C.C.; Vatankhah, H.; McDonough, C.A.; Nickerson, A.; Hedtke, T.T.; Cath, T.Y.; Higgins, C.P.; Bellona, C.L. Removal of per-and polyfluoroalkyl substances using super-fine powder activated carbon and ceramic membrane filtration. J. Hazard. Mater. 2019, 366, 160–168. [Google Scholar] [CrossRef] [PubMed]
- Hansen, M.C.; Børresen, M.H.; Schlabach, M.; Cornelissen, G. Sorption of perfluorinated compounds from contaminated water to activated carbon. J. Soils Sediments 2010, 10, 179–185. [Google Scholar] [CrossRef]
- Jais, F.M.; Ibrahim, M.S.I.; El-Shafie, A.; Choong, C.E.; Kim, M.; Yoon, Y.; Jang, M. Updated review on current approaches and challenges for poly-and perfluoroalkyl substances removal using activated carbon-based adsorbents. J. Water Process Eng. 2024, 64, 105625. [Google Scholar] [CrossRef]
- Mian, M.M.; Zhu, J.; Jiang, X.; Deng, S. Recent advances in activated carbon driven PFAS removal: Structure-adsorption relationship and new adsorption mechanisms. Front. Environ. Sci. Eng. 2025, 19, 78. [Google Scholar] [CrossRef]
- Zhang, Y.; Wang, B.; Ma, S.; Zhang, Q. Adsorption of per-and polyfluoroalkyl substances (PFAS) from water with porous organic polymers. Chemosphere 2024, 346, 140600. [Google Scholar] [CrossRef]
- Boyer, T.H.; Fang, Y.; Ellis, A.; Dietz, R.; Choi, Y.J.; Schaefer, C.E.; Higgins, C.P.; Strathmann, T.J. Anion exchange resin removal of per-and polyfluoroalkyl substances (PFAS) from impacted water: A critical review. Water Res. 2021, 200, 117244. [Google Scholar] [CrossRef]
- Appleman, T.D.; Higgins, C.P.; Quiñones, O.; Vanderford, B.J.; Kolstad, C.; Zeigler-Holady, J.C.; Dickenson, E.R. Treatment of poly-and perfluoroalkyl substances in US full-scale water treatment systems. Water Res. 2014, 51, 246–255. [Google Scholar] [CrossRef]
- Rahman, M.F.; Anderson, W.B.; Peldszus, S.; Huck, P.M. Ion-exchange treatment of perfluorinated carboxylic acids in water: Comparison of polystyrenic and polyacrylic resin structures and impact of sulfate on their performance. ACS EsT Water 2022, 2, 1195–1205. [Google Scholar] [CrossRef]
- Tshangana, C.; Nhlengethwa, S.; Glass, S.; Denison, S.; Kuvarega, A.; Nkambule, T.; Mamba, B.; Alvarez, P.J.; Muleja, A. Technology status to treat PFAS-contaminated water and limiting factors for their effective full-scale application. npj Clean Water 2025, 8, 41. [Google Scholar] [CrossRef]
- Meegoda, J.N.; Bezerra de Souza, B.; Casarini, M.M.; Kewalramani, J.A. A review of PFAS destruction technologies. Int. J. Environ. Res. Public Health 2022, 19, 16397. [Google Scholar] [CrossRef]
- Cardoso, I.M.; Pinto da Silva, L.; Esteves da Silva, J.C. Nanomaterial-based advanced oxidation/reduction processes for the degradation of PFAS. Nanomaterials 2023, 13, 1668. [Google Scholar] [CrossRef]
- Alalm, M.G.; Boffito, D.C. Mechanisms and pathways of PFAS degradation by advanced oxidation and reduction processes: A critical review. Chem. Eng. J. 2022, 450, 138352. [Google Scholar] [CrossRef]
- Umar, M. Reductive and oxidative UV degradation of PFAS—Status, needs and future perspectives. Water 2021, 13, 3185. [Google Scholar] [CrossRef]
- Chen, X.; Yuan, T.; Yang, X.; Ding, S.; Ma, M. Insights into photo/electrocatalysts for the degradation of per-and polyfluoroalkyl substances (PFAS) by advanced oxidation processes. Catalysts 2023, 13, 1308. [Google Scholar] [CrossRef]
- Gyaljen Tamang, S.; Umlauf, G.; Barz, J.; Ghomi, M.R. Degradation of PFOA solutions and PFAS-contaminated groundwater using atmospheric non-thermal plasma treatment. Water Pract. Technol. 2024, 19, 2645–2654. [Google Scholar] [CrossRef]
- Topolovec, B.; Jovanovic, O.; Puac, N.; Skoro, N.; Lumbaque, E.C.; Petrovic, M. Plasma water treatment for PFAS: Study of degradation of perfluorinated substances and their byproducts by using cold atmospheric pressure plasma jet. J. Environ. Chem. Eng. 2024, 12, 112979. [Google Scholar] [CrossRef]
- Hokkanen, S.; Bhatnagar, A.; Sillanpää, M. A review on modification methods to cellulose-based adsorbents to improve adsorption capacity. Water Res. 2016, 91, 156–173. [Google Scholar] [CrossRef] [PubMed]
- Watanabe, N.; Takemine, S.; Yamamoto, K.; Haga, Y.; Takata, M. Residual organic fluorinated compounds from thermal treatment of PFOA, PFHxA and PFOS adsorbed onto granular activated carbon (GAC). J. Mater. Cycles Waste Manag. 2016, 18, 625–630. [Google Scholar] [CrossRef]
- Capodaglio, A.G. Prospects of Novel Technologies for PFAS Destruction in Water and Wastewater. Appl. Sci. 2025, 15, 9311. [Google Scholar] [CrossRef]
- Zhang, J.; Gao, L.; Bergmann, D.; Bulatovic, T.; Surapaneni, A.; Gray, S. Review of influence of critical operation conditions on by-product/intermediate formation during thermal destruction of PFAS in solid/biosolids. Sci. Total Environ. 2023, 854, 158796. [Google Scholar] [CrossRef] [PubMed]
- Mirabediny, M.; Sun, J.; Yu, T.T.; Åkermark, B.; Das, B.; Kumar, N. Effective PFAS degradation by electrochemical oxidation methods-recent progress and requirement. Chemosphere 2023, 321, 138109. [Google Scholar] [CrossRef] [PubMed]
- Bekchanov, D.; Mukhamediev, M.; Yarmanov, S.; Lieberzeit, P.; Mujahid, A. Functionalizing natural polymers to develop green adsorbents for wastewater treatment applications. Carbohydr. Polym. 2024, 323, 121397. [Google Scholar] [CrossRef]
- Strnad, S.; Zemljič, L.F. Cellulose–chitosan functional biocomposites. Polymers 2023, 15, 425. [Google Scholar] [CrossRef]
- Li, D.; Das, R.; Zhang, Y.; Zheng, S.; Oltulu, M.; Venkatesan, A.K.; Hsiao, B.S. Alkylamine-Modified Dialdehyde Cellulose Nanofibers for PFAS Adsorption. ACS EST Water 2025, 5, 1582–1594. [Google Scholar] [CrossRef]
- Harris, J.T.; de la Garza, G.D.; Devlin, A.M.; McNeil, A.J. Rapid removal of poly-and perfluoroalkyl substances with quaternized wood pulp. ACS EST Water 2022, 2, 349–356. [Google Scholar] [CrossRef]
- Huang, J.; Fu, K.; Fang, Z.; Luo, J. Enhanced selective removal of PFAS at trace level using quaternized cellulose-functionalized polymer resin: Performance and mechanism. Water Res. 2025, 272, 122937. [Google Scholar] [CrossRef]
- Shahrokhi, R.; Park, J. Enhanced removal of short-and long-chain per-and poly-fluoroalkyl substances from aqueous phase using crushed grafted chitosan beads: Performance and mechanisms. Environ. Pollut. 2024, 340, 122836. [Google Scholar] [CrossRef]
- García-Castrillo, M.; Barandika, G.; Lizundia, E. Low Environmental Impact Magnetic Chitosan and Chitin Cryogels for PFAS Remediation. Adv. Funct. Mater. 2024, 34, 2405298. [Google Scholar] [CrossRef]
- Wittwer, P.; Roesch, P.; Vogel, C.; Simon, F.; Gehrenkemper, L.; Feldmann, I.; Simon, F.-G. Less Is More: Influence of Cross-Linking Agent Concentration on PFOS Adsorption in Chitosan. Appl. Sci. 2024, 14, 11145. [Google Scholar] [CrossRef]
- Khan, P.; Ali, S.; Jan, R.; Kim, K.-M. Lignin Nanoparticles: Transforming Environmental Remediation. Nanomaterials 2024, 14, 1541. [Google Scholar] [CrossRef]
- Mel, M.; Lau, B.; Hockaday, W.C. Sorption of per-and polyfluoroalkyl substances by lignin in pulp and paper wastewater. J. Hazard. Mater. 2024, 480, 136016. [Google Scholar] [CrossRef] [PubMed]
- Wang, R.; Lin, Z.-W.; Klemes, M.J.; Ateia, M.; Trang, B.; Wang, J.; Ching, C.; Helbling, D.E.; Dichtel, W.R. A tunable porous β-cyclodextrin polymer platform to understand and improve anionic PFAS removal. ACS Cent. Sci. 2022, 8, 663–669. [Google Scholar] [CrossRef] [PubMed]
- Abaie, E.; Kumar, M.; Kumar, N.; Sun, Y.; Guelfo, J.; Shen, Y.; Reible, D. Application of β-cyclodextrin adsorbents in the removal of mixed per-and polyfluoroalkyl substances. Toxics 2024, 12, 264. [Google Scholar] [CrossRef] [PubMed]
- Ateia, M.; Attia, M.F.; Maroli, A.; Tharayil, N.; Alexis, F.; Whitehead, D.C.; Karanfil, T. Rapid removal of poly-and perfluorinated alkyl substances by poly (ethylenimine)-functionalized cellulose microcrystals at environmentally relevant conditions. Environ. Sci. Technol. Lett. 2018, 5, 764–769. [Google Scholar] [CrossRef]
- Li, D.; Lee, C.-S.; Zhang, Y.; Das, R.; Akter, F.; Venkatesan, A.K.; Hsiao, B.S. Efficient removal of short-chain and long-chain PFAS by cationic nanocellulose. J. Mater. Chem. A 2023, 11, 9868–9883. [Google Scholar] [CrossRef]
- Deng, S.; Zheng, Y.; Xu, F.; Wang, B.; Huang, J.; Yu, G. Highly efficient sorption of perfluorooctane sulfonate and perfluorooctanoate on a quaternized cotton prepared by atom transfer radical polymerization. Chem. Eng. J. 2012, 193, 154–160. [Google Scholar] [CrossRef]
- Yu, Q.; Deng, S.; Yu, G. Selective removal of perfluorooctane sulfonate from aqueous solution using chitosan-based molecularly imprinted polymer adsorbents. Water Res. 2008, 42, 3089–3097. [Google Scholar] [CrossRef]
- Ching, C.; Lin, Z.-W.; Dichtel, W.R.; Helbling, D.E. Evaluating the performance of novel cyclodextrin polymer granules to remove perfluoroalkyl acids (PFAAs) from water. ACS EST Eng. 2023, 3, 661–670. [Google Scholar] [CrossRef]
- Gomri, C.; Benkhaled, B.T.; Cretin, M.; Semsarilar, M. Adsorbent Material Used for the Treatment of Per-and Poly-Fluoroalkyl Substances (PFAS): A Short Review. Macromol. Chem. Phys. 2024, 225, 2400012. [Google Scholar] [CrossRef]
- Riegel, M.; Haist-Gulde, B.; Sacher, F. Sorptive removal of short-chain perfluoroalkyl substances (PFAS) during drinking water treatment using activated carbon and anion exchanger. Environ. Sci. Eur. 2023, 35, 12. [Google Scholar] [CrossRef]
- Ateia, M.; Arifuzzaman, M.; Pellizzeri, S.; Attia, M.F.; Tharayil, N.; Anker, J.N.; Karanfil, T. Cationic polymer for selective removal of GenX and short-chain PFAS from surface waters and wastewaters at ng/L levels. Water Res. 2019, 163, 114874. [Google Scholar] [CrossRef] [PubMed]
- Wang, W.; Jia, Y.; Zhou, S.; Deng, S. Removal of typical PFAS from water by covalent organic frameworks with different pore sizes. J. Hazard. Mater. 2023, 460, 132522. [Google Scholar] [CrossRef] [PubMed]
- Wang, W.; Zhou, Z.; Shao, H.; Zhou, S.; Yu, G.; Deng, S. Cationic covalent organic framework for efficient removal of PFOA substitutes from aqueous solution. Chem. Eng. J. 2021, 412, 127509. [Google Scholar] [CrossRef]
- Ji, W.; Xiao, L.; Ling, Y.; Ching, C.; Matsumoto, M.; Bisbey, R.P.; Helbling, D.E.; Dichtel, W.R. Removal of GenX and perfluorinated alkyl substances from water by amine-functionalized covalent organic frameworks. J. Am. Chem. Soc. 2018, 140, 12677–12681. [Google Scholar] [CrossRef]
- Ilango, A.K.; Mekkat, R.; Jeyalakshmi, V.; Pervez, M.N.; Jiang, T.; Chand, P.; Kumaran, Y.; Efstathiadis, H.; Sukalingum, D.; Soos, M. Enhanced removal of PFAS in water using activated ZIF-8 carbons: High adsorption efficiency, repeatable regenerability and reusability. Chem. Eng. J. 2025, 507, 160192. [Google Scholar] [CrossRef]
- Hua, L.; Solomon, M.B.; Deanna, M.A.; Donald, W.A. Dual-Functional Metal Organic Frameworks for Adsorptive Removal and Ultra-Trace Quantitation of 50 Per-and Polyfluoroalkyl Substances in Water. J. Hazard. Mater. 2025, 494, 138679. [Google Scholar] [CrossRef]
- Hedbom, D.; Gaiser, P.; Günther, T.; Cheung, O.; Strømme, M.; Åhlén, M.; Sjödin, M. A fluorinated zirconium-based metal–organic framework as a platform for the capture and removal of perfluorinated pollutants from air and water. J. Mater. Chem. A 2025, 13, 1731–1737. [Google Scholar] [CrossRef]
- Zhao, C.; Xu, Y.; Xiao, F.; Ma, J.; Zou, Y.; Tang, W. Perfluorooctane sulfonate removal by metal-organic frameworks (MOFs): Insights into the effect and mechanism of metal nodes and organic ligands. Chem. Eng. J. 2021, 406, 126852. [Google Scholar] [CrossRef]
- Karbassiyazdi, E.; Kasula, M.; Modak, S.; Pala, J.; Kalantari, M.; Altaee, A.; Esfahani, M.R.; Razmjou, A. A juxtaposed review on adsorptive removal of PFAS by metal-organic frameworks (MOFs) with carbon-based materials, ion exchange resins, and polymer adsorbents. Chemosphere 2023, 311, 136933. [Google Scholar] [CrossRef] [PubMed]
- Tasfaout, A.; Ibrahim, F.; Morrin, A.; Brisset, H.; Sorrentino, I.; Nanteuil, C.; Laffite, G.; Nicholls, I.A.; Regan, F.; Branger, C. Molecularly imprinted polymers for per-and polyfluoroalkyl substances enrichment and detection. Talanta 2023, 258, 124434. [Google Scholar] [CrossRef] [PubMed]
- Cao, F.; Wang, L.; Ren, X.; Sun, H. Synthesis of a perfluorooctanoic acid molecularly imprinted polymer for the selective removal of perfluorooctanoic acid in an aqueous environment. J. Appl. Polym. Sci. 2016, 133. [Google Scholar] [CrossRef]
- Karoyo, A.H.; Wilson, L.D. Tunable macromolecular-based materials for the adsorption of perfluorooctanoic and octanoic acid anions. J. Colloid Interface Sci. 2013, 402, 196–203. [Google Scholar] [CrossRef]
- Cao, F.; Wang, L.; Tian, Y.; Wu, F.; Deng, C.; Guo, Q.; Sun, H.; Lu, S. Synthesis and evaluation of molecularly imprinted polymers with binary functional monomers for the selective removal of perfluorooctanesulfonic acid and perfluorooctanoic acid. J. Chromatogr. A 2017, 1516, 42–53. [Google Scholar] [CrossRef]
- Du, L.; Wu, Y.; Zhang, X.; Zhang, F.; Chen, X.; Cheng, Z.; Wu, F.; Tan, K. Preparation of magnetic molecularly imprinted polymers for the rapid and selective separation and enrichment of perfluorooctane sulfonate. J. Sep. Sci. 2017, 40, 2819–2826. [Google Scholar] [CrossRef]
- Pulster, E.L.; Bowman, S.R.; Keele, L.; Steevens, J. Guide to Per-and Polyfluoroalkyl Substances (PFAS) Sampling Within Natural Resource Damage Assessment and Restoration; US Geological Survey: Reston, VA, USA, 2024.
- Sleep, J.A.; Miklavcic, S.J.; Juhasz, A.L. Modelling of PFAS-surface interactions: Effect of surface charge and solution ions. Chemosphere 2023, 319, 137910. [Google Scholar] [CrossRef]
- Behnami, A.; Pourakbar, M.; Ayyar, A.S.-R.; Lee, J.-W.; Gagnon, G.; Benis, K.Z. Treatment of aqueous per-and poly-fluoroalkyl substances: A review of biochar adsorbent preparation methods. Chemosphere 2024, 357, 142088. [Google Scholar] [CrossRef]
- Fatima, M.; Kelso, C.; Hai, F. Perfluorooctanoic Acid (PFOA) and Perfluorooctanesulfonic Acid (PFOS) Adsorption onto Different Adsorbents: A Critical Review of the Impact of Their Chemical Structure and Retention Mechanisms in Soil and Groundwater. Water 2025, 17, 1401. [Google Scholar] [CrossRef]
- Guelfo, J.L.; Higgins, C.P. Subsurface transport potential of perfluoroalkyl acids at aqueous film-forming foam (AFFF)-impacted sites. Environ. Sci. Technol. 2013, 47, 4164–4171. [Google Scholar] [CrossRef] [PubMed]
- Sukeesan, S.; Boontanon, N.; Fujii, S.; Boontanon, S.K. Evaluation of the adsorption behavior of mixed perfluoroalkyl and polyfluoroalkyl substances onto granular activated carbon and styrene-divinylbenzene resins. Remediat. J. 2023, 33, 297–308. [Google Scholar] [CrossRef]
- Lyu, X.; Xiao, F.; Shen, C.; Chen, J.; Park, C.M.; Sun, Y.; Flury, M.; Wang, D. Per-and polyfluoroalkyl substances (PFAS) in subsurface environments: Occurrence, fate, transport, and research prospect. Rev. Geophys. 2022, 60, e2021RG000765. [Google Scholar] [CrossRef]
- Alves, A.V.; Tsianou, M.; Alexandridis, P. Fluorinated surfactant adsorption on mineral surfaces: Implications for PFAS fate and transport in the environment. Surfaces 2020, 3, 516–566. [Google Scholar] [CrossRef]
- Manayil Parambil, A.; Priyadarshini, E.; Paul, S.; Bakandritsos, A.; Sharma, V.K.; Zboril, R. Emerging nanomaterials for the detection of per-and poly-fluorinated substances. J. Mater. Chem. A 2025, 13, 8246–8281. [Google Scholar] [CrossRef]
- Brendel, S.; Fetter, É.; Staude, C.; Vierke, L.; Biegel-Engler, A. Short-chain perfluoroalkyl acids: Environmental concerns and a regulatory strategy under REACH. Environ. Sci. Eur. 2018, 30, 9. [Google Scholar] [CrossRef]
- Li, H.; Dong, Q.; Zhang, M.; Gong, T.; Zan, R.; Wang, W. Transport behavior difference and transport model of long-and short-chain per-and polyfluoroalkyl substances in underground environmental media: A review. Environ. Pollut. 2023, 327, 121579. [Google Scholar] [CrossRef]
- Zhang, D.; Zhang, W.; Liang, Y. Adsorption of perfluoroalkyl and polyfluoroalkyl substances (PFASs) from aqueous solution-A review. Sci. Total Environ. 2019, 694, 133606. [Google Scholar] [CrossRef]
- Kang, S.B.; Wang, Z.; Zhang, W.; Kim, K.-Y.; Won, S.W. Removal of short-and long-chain PFAS from aquatic systems using electrostatic attraction of polyethylenimine-polyvinyl chloride electrospun nanofiber adsorbent. Sep. Purif. Technol. 2023, 326, 124853. [Google Scholar] [CrossRef]
- Han, D.; Ma, Y.; Huang, C.; Zhang, X.; Xu, H.; Zhou, Y.; Liang, S.; Chen, X.; Huang, X.; Liao, H. Occurrence and source apportionment of perfluoroalkyl acids (PFAAs) in the atmosphere in China. Atmos. Chem. Phys. 2019, 19, 14107–14117. [Google Scholar] [CrossRef]
- Ho, T.-L. Hard soft acids bases (HSAB) principle and organic chemistry. Chem. Rev. 1975, 75, 1–20. [Google Scholar] [CrossRef]
- Li, R.; Adarsh, N.N.; Lu, H.; Wriedt, M. Metal-organic frameworks as platforms for the removal of per-and polyfluoroalkyl substances from contaminated waters. Matter 2022, 5, 3161–3193. [Google Scholar] [CrossRef]
- Xiang, Q.; Shan, G.; Wu, W.; Jin, H.; Zhu, L. Measuring log Kow coefficients of neutral species of perfluoroalkyl carboxylic acids using reversed-phase high-performance liquid chromatography. Environ. Pollut. 2018, 242, 1283–1290. [Google Scholar] [CrossRef] [PubMed]
- Eichler, C.M.; Little, J.C. A framework to model exposure to per-and polyfluoroalkyl substances in indoor environments. Environ. Sci. Process. Impacts 2020, 22, 500–511. [Google Scholar] [CrossRef]
- Rayne, S.; Forest, K. A comparative assessment of octanol-water partitioning and distribution constant estimation methods for perfluoroalkyl carboxylates and sulfonates. Nat. Preced. 2009, 4, 1–27. [Google Scholar] [CrossRef]
- He, Y.; Cheng, X.; Gunjal, S.J.; Zhang, C. Advancing PFAS sorbent design: Mechanisms, challenges, and perspectives. ACS Mater. Au 2023, 4, 108–114. [Google Scholar] [CrossRef]
- Wackett, L.P. Evolutionary obstacles and not C–F bond strength make PFAS persistent. Microb. Biotechnol. 2024, 17, e14463. [Google Scholar] [CrossRef]
- Meyer, E.E.; Rosenberg, K.J.; Israelachvili, J. Recent progress in understanding hydrophobic interactions. Proc. Natl. Acad. Sci. USA 2006, 103, 15739–15746. [Google Scholar] [CrossRef]
- Hermann, R.B. Theory of hydrophobic bonding. II. Correlation of hydrocarbon solubility in water with solvent cavity surface area. J. Phys. Chem. 1972, 76, 2754–2759. [Google Scholar] [CrossRef]
- Blokzijl, W.; Engberts, J.B. Hydrophobic effects. Opinions and facts. Angew. Chem. Int. Ed. Engl. 1993, 32, 1545–1579. [Google Scholar] [CrossRef]
- Kancharla, S.; Alexandridis, P.; Tsianou, M. Sequestration of per-and polyfluoroalkyl substances (PFAS) by adsorption: Surfactant and surface aspects. Curr. Opin. Colloid Interface Sci. 2022, 58, 101571. [Google Scholar] [CrossRef]
- Zhang, Y.; Thomas, A.; Apul, O.; Venkatesan, A.K. Coexisting ions and long-chain per-and polyfluoroalkyl substances (PFAS) inhibit the adsorption of short-chain PFAS by granular activated carbon. J. Hazard. Mater. 2023, 460, 132378. [Google Scholar] [CrossRef] [PubMed]
- Xiao, F.; Zhang, X.; Penn, L.; Gulliver, J.S.; Simcik, M.F. Effects of monovalent cations on the competitive adsorption of perfluoroalkyl acids by kaolinite: Experimental studies and modeling. Environ. Sci. Technol. 2011, 45, 10028–10035. [Google Scholar] [CrossRef] [PubMed]
- Hussain, F.A.; Janisse, S.E.; Heffern, M.C.; Kinyua, M.; Velázquez, J.M. Adsorption of perfluorooctanoic acid from water by pH-modulated Brönsted acid and base sites in mesoporous hafnium oxide ceramics. Iscience 2022, 25, 104138. [Google Scholar] [CrossRef]
- Lobitz, A.; Steuber, A.; Jia, S.; Guo, L. Harnessing Fluorine Chemistry: Strategies for Per-and Polyfluoroalkyl Substances Removal and Enrichment. ChemPlusChem 2025, 90, 2400784. [Google Scholar] [CrossRef]
- Pollice, R.; Chen, P. Origin of the Immiscibility of Alkanes and Perfluoroalkanes. J. Am. Chem. Soc. 2019, 141, 3489–3506. [Google Scholar] [CrossRef]
- Tan, X.; Zhong, J.; Fu, C.; Dang, H.; Han, Y.; Král, P.; Guo, J.; Yuan, Z.; Peng, H.; Zhang, C. Amphiphilic perfluoropolyether copolymers for the effective removal of polyfluoroalkyl substances from aqueous environments. Macromolecules 2021, 54, 3447–3457. [Google Scholar] [CrossRef]
- Kumarasamy, E.; Manning, I.M.; Collins, L.B.; Coronell, O.; Leibfarth, F.A. Ionic fluorogels for remediation of per-and polyfluorinated alkyl substances from water. ACS Cent. Sci. 2020, 6, 487–492. [Google Scholar] [CrossRef]
- Smaili, H.; Ng, C. Adsorption as a remediation technology for short-chain per-and polyfluoroalkyl substances (PFAS) from water—A critical review. Environ. Sci. Water Res. Technol. 2023, 9, 344–362. [Google Scholar] [CrossRef]
- Li, F.; Fang, X.; Zhou, Z.; Liao, X.; Zou, J.; Yuan, B.; Sun, W. Adsorption of perfluorinated acids onto soils: Kinetics, isotherms, and influences of soil properties. Sci. Total Environ. 2019, 649, 504–514. [Google Scholar] [CrossRef]
- Du, Z.; Deng, S.; Bei, Y.; Huang, Q.; Wang, B.; Huang, J.; Yu, G. Adsorption behavior and mechanism of perfluorinated compounds on various adsorbents—A review. J. Hazard. Mater. 2014, 274, 443–454. [Google Scholar] [CrossRef]
- Zarei, A.; Khazdooz, L.; Zadehnazari, A.; Amirjalayer, S.; Addicoat, M.A.; Khosropour, A.; Abbaspourrad, A. Mechanistic study of PFAS adsorption using a QPPTA linked viologen-modified covalent organic framework. J. Mater. Chem. A 2025, 13, 8180–8192. [Google Scholar] [CrossRef]
- Liang, S.; Mora, R.; Huang, Q.; Casson, R.; Wang, Y.; Woodard, S.; Anderson, H. Field demonstration of coupling ion-exchange resin with electrochemical oxidation for enhanced treatment of per-and polyfluoroalkyl substances (PFAS) in groundwater. Chem. Eng. J. Adv. 2022, 9, 100216. [Google Scholar] [CrossRef]
- Murray, C.C.; Marshall, R.E.; Liu, C.J.; Vatankhah, H.; Bellona, C.L. PFAS treatment with granular activated carbon and ion exchange resin: Comparing chain length, empty bed contact time, and cost. J. Water Process Eng. 2021, 44, 102342. [Google Scholar] [CrossRef]
- Ellis, A.C.; Boyer, T.H.; Fang, Y.; Liu, C.J.; Strathmann, T.J. Life cycle assessment and life cycle cost analysis of anion exchange and granular activated carbon systems for remediation of groundwater contaminated by per-and polyfluoroalkyl substances (PFASs). Water Res. 2023, 243, 120324. [Google Scholar] [CrossRef] [PubMed]
- Jiang, X.; Zhou, Z.; Wang, D.; Liu, G.; Wang, W.; Mu, S.; Yu, G.; Deng, S. Pilot-scale removal of PFAS from chromium-plating wastewater by anion exchange resin and activated carbon: Adsorption difference between PFOS and 6: 2 fluorotelomer sulfonate. Chem. Eng. J. 2024, 481, 148569. [Google Scholar] [CrossRef]
- Barr Engineering Co.; Hazen; Sawyer. Evaluation of Current Alternatives and Estimated Cost Curves for PFAS Removal and Destruction from Municipal Wastewater, Bio-Solids, Landfill Leachate, and Compost Contact Water; Minnesota Pollution Control Agency (MPCA): St Paul, MN, USA, 2023.
- Singh, R.K.; Multari, N.; Nau-Hix, C.; Woodard, S.; Nickelsen, M.; Mededovic Thagard, S.; Holsen, T.M. Removal of poly-and per-fluorinated compounds from ion exchange regenerant still bottom samples in a plasma reactor. Environ. Sci. Technol. 2020, 54, 13973–13980. [Google Scholar] [CrossRef]
- Soriano, A.; Gorri, D.; Urtiaga, A. Membrane preconcentration as an efficient tool to reduce the energy consumption of perfluorohexanoic acid electrochemical treatment. Sep. Purif. Technol. 2019, 208, 160–168. [Google Scholar] [CrossRef]
- Soriano, A.; Schaefer, C.; Urtiaga, A. Enhanced treatment of perfluoroalkyl acids in groundwater by membrane separation and electrochemical oxidation. Chem. Eng. J. Adv. 2020, 4, 100042. [Google Scholar] [CrossRef]
- Veciana, M.; Bräunig, J.; Farhat, A.; Pype, M.-L.; Freguia, S.; Carvalho, G.; Keller, J.; Ledezma, P. Electrochemical oxidation processes for PFAS removal from contaminated water and wastewater: Fundamentals, gaps and opportunities towards practical implementation. J. Hazard. Mater. 2022, 434, 128886. [Google Scholar] [CrossRef]
- Mukherjee, P.; Sathiyan, K.; Zidki, T.; Nadagouda, M.N.; Sharma, V.K. Electrochemical degradation of per-and poly-fluoroalkyl substances in the presence of natural organic matter. Sep. Purif. Technol. 2023, 325, 124639. [Google Scholar] [CrossRef]
Disclaimer/Publisher’s Note: The statements, opinions and data contained in all publications are solely those of the individual author(s) and contributor(s) and not of MDPI and/or the editor(s). MDPI and/or the editor(s) disclaim responsibility for any injury to people or property resulting from any ideas, methods, instructions or products referred to in the content. |
© 2025 by the authors. Licensee MDPI, Basel, Switzerland. This article is an open access article distributed under the terms and conditions of the Creative Commons Attribution (CC BY) license (https://creativecommons.org/licenses/by/4.0/).





















