Hybrid Filter Based on Fuzzy Techniques for Mixed Noise Reduction in Color Images
Abstract
1. Introduction
2. Methods
| Algorithm 1: Hybrid filter. |
| Require: Noisy image , Parameters and . |
| Ensure: Filtered image. |
Impulse noise detection: Step 1 |
| for pixel in do |
| Calculate: ; |
| if () then |
| pixel is labeled as impulse-free; |
| else |
| if () then |
| is labeled as impulsive; |
| else |
| is labeled as non-diagnosed; |
| end if |
| end if |
| end for |
| Impulse noise detection: Step 2 |
| for pixel in classified as non-diagnosed in Step 1 do |
| Calculate rejecting the pixels labeled as noisy; |
| if () then |
| pixel is labeled as impulse-free; |
| else |
| is labeled as impulsive; |
| end if |
| end for |
| Impulse noise reduction: |
| for pixel in classified as noisy do |
| is replaced by over impulse-free neighbors; |
| end for |
| Gaussian Noise Smoothing: |
| for pixel in do |
| Determine , best number of elements for |
| end for |
2.1. Impulsive Noise Detection and Reduction
- Step 1: If is greater than a first parameter , then is labeled as noise-free.
- -
- If is less than a second parameter (), is classified as noisy.
- -
- If satisfies then we conclude that it is not possible to classify at this step, and it is analyzed in a second step.
- Step 2: A third threshold parameter is used. In this step is computed on excluding the pixels already labeled as noisy, and using another parameter . If then is labeled as impulse-free. If not, is labeled as impulsive.
2.2. Gaussian Noise Reduction
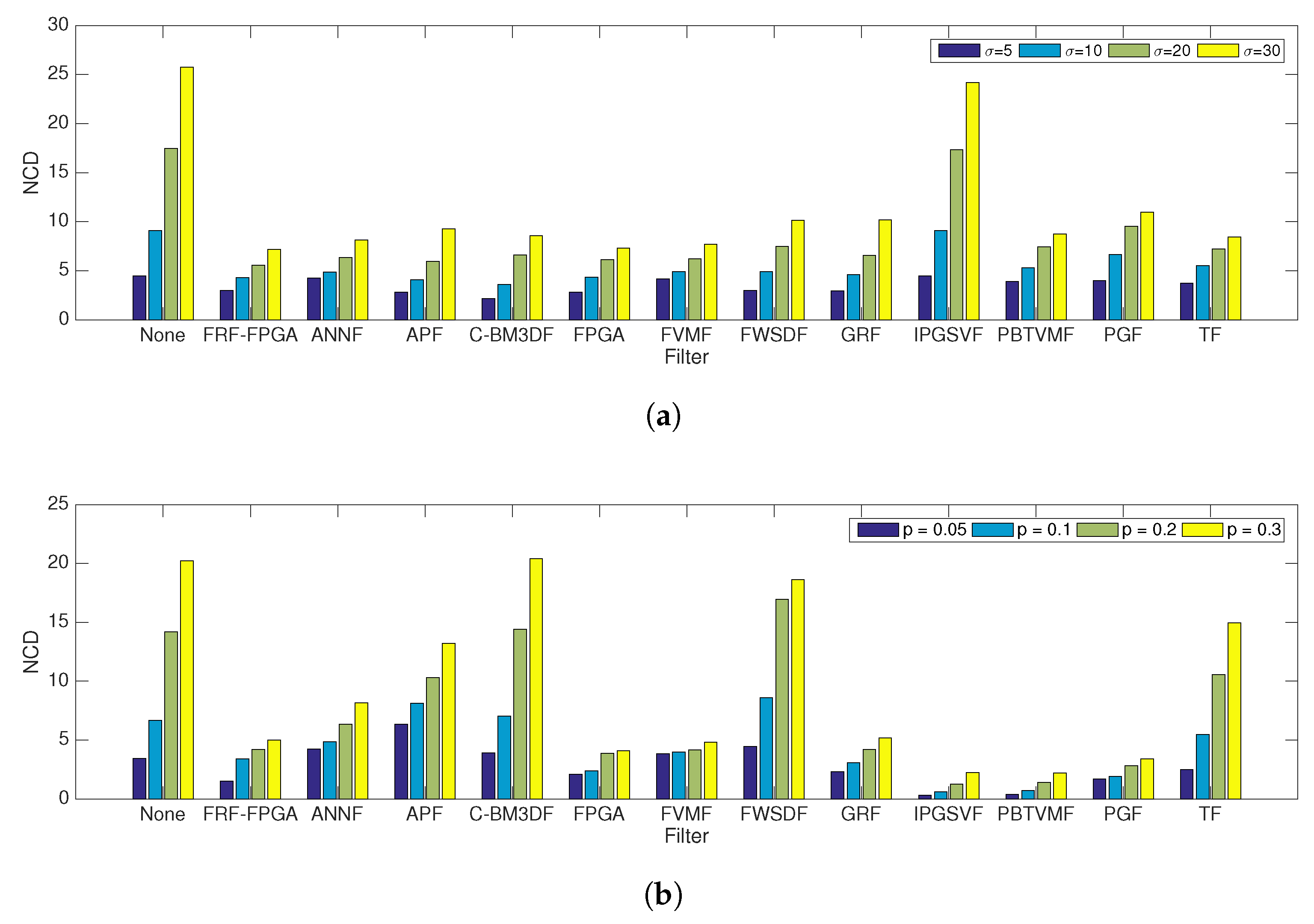
3. Results and Discussion
- Adaptive nearest neighbor filter (ANNF) [6];
- Alternating projections filter (APF) [24];
- Color block-matching 3D filter (C-BM3DF) [41];
- FPGA [10];
- Fuzzy vector median filter (FVMF) [7];
- Fuzzy wavelet shrinkage denoising filter (FWSDF) [42];
- Graph regularization filter (GRF) [23];
- Iterative peer group switching vector filter (IPGSVF) [14];
- Partition-based trimmed vector median filter (PBTVMF) [21];
- Peer group filter (PGF) [12];
- Trilateral filter (TF) [18], applied in a component-wise fashion.
4. Conclusions
Author Contributions
Funding
Acknowledgments
Conflicts of Interest
References
- Plataniotis, K.; Venetsanopoulos, A.N. Color Image Processing and Applications; Springer: Berlin, Germany, 2013; p. 355. [Google Scholar]
- Lukac, R.; Smolka, B.; Martin, K.; Plataniotis, K.N.; Venetsanopoulos, A.N. Vector filtering for color imaging. IEEE Signal Process. Mag. 2005, 22, 74–86. [Google Scholar] [CrossRef]
- Lukac, R.; Plataniotis, K.N. A Taxonomy of Color Image Filtering and Enhancement Solutions. Adv. Imaging Electron Phys. 2006, 140, 187–264. [Google Scholar]
- Morillas, S.; Gregori, V. Robustifying vector median filter. Sensors 2011, 11, 8115–8126. [Google Scholar] [CrossRef] [PubMed]
- Chanu, P.R.; Singh, K.M. A two-stage switching vector median filter based on quaternion for removing impulse noise in color images. Multimed. Tools. Appl. 2019, 78, 15375–15401. [Google Scholar] [CrossRef]
- Plataniotis, K.N.; Androutsos, D.; Venetsanopoulos, A.N. Adaptive fuzzy systems for multichannel signal processing. Proc. IEEE 1999, 87, 1601–1622. [Google Scholar] [CrossRef]
- Shen, Y.; Barner, K.E. Fuzzy vector median-based surface smoothing. IEEE Trans. Vis. Comput. Graph. 2004, 10, 252–265. [Google Scholar] [CrossRef] [PubMed]
- Smolka, B.; Malik, K.; Malik, D. Adaptive rank weighted switching filter for impulsive noise removal in color images. J. Real-Time Image Process. 2015, 10, 289–311. [Google Scholar] [CrossRef]
- Lin, C.-H.; Tsai, J.-S.; Chiu, C.-T. Switching Bilateral Filter With a Texture/Noise Detector for Universal Noise Removal. IEEE Trans. Image Process. 2010, 19, 2307–2320. [Google Scholar]
- Morillas, S.; Gregori, V.; Hervás, A. Fuzzy peer groups for reducing mixed Gaussian-impulse noise from color images. IEEE Trans. Image Process. 2009, 18, 1452–1466. [Google Scholar] [CrossRef]
- Schulte, S.; Nachtegael, M.; De Witte, V.; Van Der Weken, D.; Kerre, E.E. A fuzzy impulse noise detection and reduction method. IEEE Trans. Image Process. 2006, 15, 1153–1162. [Google Scholar] [CrossRef]
- Kenney, C.; Deng, Y.; Manjunath, B.S.; Hewer, G. Peer group image enhancement. IEEE Trans. Image Process. 2001, 10, 326–334. [Google Scholar] [CrossRef] [PubMed]
- Smolka, B. Peer group switching filter for impulse noise reduction in color images. Pattern Recognit. Lett. 2010, 31, 484–495. [Google Scholar] [CrossRef]
- Morillas, S.; Gregori, V.; Peris-Fajarnés, G. Isolating impulsive noise pixels in color images by peer group techniques. Comput. Vis. Image Underst. 2008, 110, 102–116. [Google Scholar] [CrossRef]
- Criminisi, A.; Sharp, T.; Rother, C.; Perez, P. Geodesic Image and Video Editing. Acm Trans. Graph. 2010, 29, 15. [Google Scholar] [CrossRef]
- Szczepanski, M.; Smolka, B.; Plataniotis, K.; Venetsanopoulos, A. On the geodesic paths approach to color image filtering. Signal Process. 2003, 83, 1309–1342. [Google Scholar] [CrossRef]
- Smolka, B.; Malinski, L. Impulsive noise removal in color digital images based on the concept of digital paths. In Proceedings of the 2018 13th International Conference on Computer Science & Education (ICCSE), Colombo, Sri Lanka, 9–11 August 2018; pp. 1–6. [Google Scholar]
- Garnett, R.; Huegerich, T.; Chui, C.; He, W. A universal noise removal algorithm with an impulse detector. IEEE Trans. Image Process. 2005, 14, 1747–1754. [Google Scholar] [CrossRef]
- Elad, M. On the origin of the bilateral filter and ways to improve it. IEEE Trans. Image Process. 2002, 11, 1141–1151. [Google Scholar] [CrossRef]
- López-Rubio, E. Restoration of images corrupted by Gaussian and uniform impulsive noise. Pattern Recognit. 2010, 43, 1835–1846. [Google Scholar] [CrossRef]
- Ma, Z.; Wu, H.R.; Feng, D. Partition-based vector filtering technique for suppression of noise in digital color images. IEEE Trans. Image Process. 2006, 15, 2324–2342. [Google Scholar]
- Wu, H.R.; Feng, D. Fuzzy vector partition ltering technique for color image restoration. Comput. Vis. Image Underst. 2007, 107, 26–37. [Google Scholar]
- Lezoray, O.; Elmoataz, A.; Bougleux, S. Graph regularization for color image processing. Comput. Vis. Image Underst. 2007, 107, 38–55. [Google Scholar] [CrossRef]
- Li, X. On modeling interchannel dependency for color image denoising. Int. J. Imaging Syst. Technol. 2007, 17, 163–173. [Google Scholar] [CrossRef]
- Plonka, G.; Ma, J. Nonlinear regularized reaction-diffusion filters for denoising of images with textures. IEEE Trans. Image Process. 2008, 17, 1283–1294. [Google Scholar] [CrossRef] [PubMed]
- Li, C.; Li, Y.; Zhao, Z.; Yu, L.; Luo, Z. A mixed noise removal algorithm based on multi-fidelity modeling with nonsmooth and nonconvex regularization. Multimed. Tools. Appl. 2019, 78, 23117–23140. [Google Scholar] [CrossRef]
- Lerga, J.; Grbac, E.; Sucic, V. An ICI based algorithm for fast denoising of video signals. Automatika 2014, 55, 351–358. [Google Scholar] [CrossRef]
- Mandić, I.; Peić, H.; Lerga, J.; Štajduhar, I. Denoising of X-ray images using the adaptive algorithm based on the LPA-RICI algorithm. J. Imaging 2018, 4, 34. [Google Scholar] [CrossRef]
- Hržić, F.; Štajduhar, I.; Tschauner, S.; Sorantin, E.; Lerga, J. Local-Entropy Based Approach for X-Ray Image Segmentation and Fracture Detection. Entropy 2019, 21, 338. [Google Scholar] [CrossRef]
- Camarena, J.G.; Gregori, V.; Morillas, S.; Sapena, A. A simple fuzzy method to remove mixed Gaussian-impulsive noise from color images. IEEE Trans. Fuzzy Syst. 2013, 21, 971–978. [Google Scholar] [CrossRef]
- Verma, O.P.; Hanmandlu, M.; Parihar, A.S.; Madasu, V.K. Fuzzy Filters for Noise Reduction in Color Images. Graph. Vis. Image Process. 2009, 9, 29–43. [Google Scholar]
- Dev, R.; Verma, N.K. Generalized fuzzy peer group for removal of mixed noise from color image. IEEE Signal Process. Lett. 2018, 25, 1330–1334. [Google Scholar] [CrossRef]
- Arnal, J.; Sucar, L.B.; Sanchez, M.G.; Vidal, V. Parallel filter for mixed Gaussian-impulse noise removal. In Proceedings of the 2013 Signal Processing: Algorithms, Architectures, Arrangements, and Applications (SPA), Poznan, Poland, 26–28 September 2013; pp. 236–241. [Google Scholar]
- Camarena, J.G.; Gregori, V.; Morillas, S.; Sapena, A. Two-step fuzzy logic-based method for impulse noise detection in colour images. Pattern Recognit. Lett. 2010, 31, 1842–1849. [Google Scholar] [CrossRef]
- Morillas, S.; Gregori, V.; Peris-Fajarnés, G.; Latorre, P. A fast impulsive noise color image filter using fuzzy metrics. Real-Time Imaging 2005, 11, 417–428. [Google Scholar] [CrossRef]
- Gregori, V.; Miñana, J.J.; Sapena, A. Completable fuzzy metric spaces. Topol. Appl. 2017, 225, 103–111. [Google Scholar] [CrossRef]
- Camarena, J.G.; Gregori, V.; Morillas, S.; Sapena, A. Fast detection and removal of impulsive noise using peer groups and fuzzy metrics. J. Vis. Commun. Image Represent. 2008, 19, 20–29. [Google Scholar] [CrossRef]
- Franzen, R. Kodak Lossless True Color Image Suite. Available online: http://r0k.us/graphics/kodak/ (accessed on 24 December 2019).
- Smolka, B.; Plataniotis, K.N.; Chydzinski, A.; Szczepanski, M.; Venetsanopoulos, A.N.; Wojciechowski, K. Self-adaptive algorithm of impulsive noise reduction in color images. Pattern Recognit. 2002, 35, 1771–1784. [Google Scholar] [CrossRef]
- Shin, D.H.; Park, R.H.; Yang, S.; Jung, J.H. Block-based noise estimation using adaptive Gaussian filtering. IEEE Trans. Consum. Electron. 2005, 51, 218–226. [Google Scholar] [CrossRef]
- Dabov, K.; Foi, A.; Katkovnik, V.; Egiazarian, K.O. Image Denoising by Sparse 3-D Transform-Domain Collaborative Filtering. IEEE Trans. Image Process. 2007, 16, 2080–2095. [Google Scholar] [CrossRef]
- Schulte, S.; Huysmans, B.; Pizurica, A.; Kerre, E.E.; Philips, W. A New Fuzzy-based Wavelet Shrinkage Image Denoising Technique. In Proceedings of the International Conference on Advanced Concepts for Intelligent Vision Systems, Antwerp, Belgium, 18–21 September 2006; Springer: Berlin/Heidelberg, Germany, 2006; pp. 12–23. [Google Scholar]














| Noise | Gauss | Gauss | Gauss | Gauss | ||||||||
|---|---|---|---|---|---|---|---|---|---|---|---|---|
| Impulsive | Impulsive | Impulsive | Impulsive | |||||||||
| Filter | MAE | PSNR | NCD | MAE | PSNR | NCD | MAE | PSNR | NCD | MAE | PSNR | NCD |
| None | 7.90 | 20.77 | 8.26 | 14.29 | 18.23 | 15.24 | 27.68 | 14.75 | 28.26 | 37.45 | 13.16 | 38.06 |
| FRF-FPGA | 3.53 | 33.15 | 3.57 | 4.86 | 31.12 | 4.57 | 7.32 | 28.33 | 6.83 | 10.18 | 25.46 | 9.19 |
| ANNF | 6.82 | 26.97 | 4.41 | 7.44 | 26.62 | 5.23 | 9.39 | 25.36 | 7.46 | 12.30 | 23.59 | 10.06 |
| APF | 7.88 | 25.05 | 6.65 | 10.07 | 23.44 | 8.45 | 15.35 | 21.13 | 12.05 | 19.61 | 19.68 | 14.74 |
| C-BM3DF | 6.38 | 24.06 | 5.61 | 9.34 | 25.69 | 7.62 | 16.72 | 21.69 | 13.98 | 21.52 | 19.80 | 17.83 |
| FPGA | 4.23 | 31.06 | 3.26 | 5.71 | 29.14 | 4.61 | 8.10 | 26.37 | 6.70 | 10.69 | 24.49 | 8.91 |
| FVMF | 6.54 | 27.02 | 4.35 | 7.28 | 26.62 | 5.14 | 9.38 | 25.02 | 6.81 | 11.89 | 23.74 | 9.15 |
| FWSDF | 7.63 | 21.09 | 7.51 | 12.17 | 19.44 | 12.46 | 18.11 | 18.69 | 17.51 | 22.42 | 18.16 | 20.31 |
| GRF | 5.47 | 29.34 | 3.94 | 7.89 | 26.65 | 5.86 | 11.71 | 24.04 | 9.65 | 16.62 | 21.38 | 13.93 |
| IPGSVF | 4.21 | 31.55 | 4.80 | 8.01 | 27.33 | 9.16 | 14.64 | 22.35 | 15.29 | 18.29 | 20.32 | 18.65 |
| PBTVMF | 3.88 | 32.82 | 3.91 | 6.24 | 29.14 | 6.48 | 9.53 | 25.45 | 8.35 | 13.03 | 22.90 | 11.74 |
| PGF | 5.21 | 29.80 | 4.05 | 7.27 | 27.60 | 6.09 | 10.15 | 24.94 | 8.43 | 12.92 | 23.01 | 10.75 |
| TF | 4.82 | 27.08 | 5.16 | 7.19 | 26.18 | 6.31 | 9.93 | 24.32 | 8.14 | 12.13 | 23.18 | 10.37 |
| Noise | Gauss | Gauss | Gauss | Gauss | ||||||||
|---|---|---|---|---|---|---|---|---|---|---|---|---|
| Impulsive | Impulsive | Impulsive | Impulsive | |||||||||
| Filter | MAE | PSNR | NCD | MAE | PSNR | NCD | MAE | PSNR | NCD | MAE | PSNR | NCD |
| None | 7.75 | 21.26 | 8.29 | 14.56 | 18.48 | 15.72 | 27.19 | 15.23 | 29.37 | 38.36 | 13.22 | 40.92 |
| FRF-FPGA | 3.01 | 32.96 | 3.19 | 4.61 | 30.59 | 4.19 | 7.92 | 26.87 | 7.89 | 10.76 | 24.56 | 10.54 |
| ANNF | 7.18 | 26.99 | 3.91 | 7.84 | 26.58 | 4.74 | 9.71 | 25.35 | 6.99 | 12.52 | 23.47 | 9.13 |
| APF | 7.13 | 25.07 | 5.31 | 10.51 | 22.84 | 7.19 | 14.46 | 21.28 | 9.75 | 19.14 | 19.58 | 12.60 |
| C-BM3DF | 7.07 | 21.56 | 7.28 | 9.55 | 25.41 | 6.35 | 14.74 | 22.35 | 9.32 | 19.38 | 20.37 | 11.82 |
| FPGA | 4.55 | 30.86 | 3.10 | 6.72 | 28.17 | 4.40 | 8.71 | 26.38 | 6.68 | 11.06 | 24.45 | 8.79 |
| FVMF | 6.74 | 27.23 | 3.99 | 7.83 | 26.49 | 4.88 | 9.57 | 25.41 | 6.78 | 12.07 | 23.77 | 8.75 |
| FWSDF | 7.43 | 21.58 | 7.32 | 12.15 | 19.67 | 12.36 | 16.78 | 19.47 | 15.84 | 20.66 | 18.92 | 17.02 |
| GRF | 5.28 | 29.81 | 3.30 | 6.86 | 28.13 | 4.66 | 10.43 | 24.92 | 6.97 | 14.06 | 22.64 | 9.30 |
| IPGSVF | 4.33 | 31.32 | 5.03 | 8.20 | 27.16 | 9.63 | 14.40 | 22.64 | 15.48 | 18.75 | 20.19 | 19.84 |
| PBTVMF | 4.05 | 32.29 | 3.99 | 6.49 | 28.86 | 6.95 | 10.03 | 25.36 | 8.63 | 13.27 | 22.93 | 11.84 |
| PGF | 6.01 | 28.79 | 4.10 | 7.50 | 27.47 | 6.05 | 10.59 | 24.75 | 8.76 | 13.28 | 22.90 | 10.97 |
| TF | 4.80 | 27.82 | 5.14 | 7.53 | 26.58 | 6.04 | 10.72 | 24.43 | 7.88 | 12.54 | 23.40 | 10.56 |
| Noise | Gauss | Gauss | Gauss | Gauss | ||||||||
|---|---|---|---|---|---|---|---|---|---|---|---|---|
| Impulsive | Impulsive | Impulsive | Impulsive | |||||||||
| Filter | MAE | PSNR | NCD | MAE | PSNR | NCD | MAE | PSNR | NCD | MAE | PSNR | NCD |
| None | 7.90 | 20.81 | 8.29 | 14.34 | 18.28 | 15.24 | 27.69 | 14.79 | 28.33 | 37.46 | 13.23 | 38.14 |
| FRF-FPGA | 2.51 | 33.36 | 2.26 | 3.71 | 31.31 | 3.61 | 6.17 | 28.22 | 6.21 | 8.82 | 25.77 | 8.39 |
| ANNF | 6.82 | 26.98 | 4.42 | 7.46 | 26.60 | 5.27 | 9.43 | 25.39 | 7.49 | 12.32 | 23.61 | 10.08 |
| APF | 7.90 | 25.00 | 6.67 | 10.11 | 23.39 | 8.49 | 15.38 | 21.16 | 12.08 | 19.63 | 19.73 | 14.75 |
| C-BM3DF | 6.37 | 24.03 | 5.65 | 9.33 | 25.69 | 7.61 | 16.81 | 21.74 | 13.99 | 21.55 | 19.84 | 17.87 |
| FPGA | 4.25 | 30.97 | 3.31 | 5.80 | 29.11 | 4.63 | 8.16 | 26.36 | 6.74 | 10.73 | 24.56 | 8.93 |
| FVMF | 6.56 | 27.00 | 4.39 | 7.32 | 26.61 | 5.13 | 9.43 | 25.10 | 6.83 | 11.94 | 23.80 | 9.21 |
| FWSDF | 7.64 | 21.08 | 7.54 | 12.22 | 19.40 | 12.51 | 18.14 | 18.71 | 17.57 | 22.40 | 18.24 | 20.30 |
| GRF | 5.49 | 29.31 | 3.96 | 7.94 | 26.62 | 5.89 | 11.74 | 24.08 | 9.69 | 16.64 | 21.44 | 13.92 |
| IPGSVF | 4.24 | 31.52 | 4.83 | 8.05 | 27.33 | 9.16 | 14.69 | 22.41 | 15.31 | 18.27 | 20.35 | 18.69 |
| PBTVMF | 3.93 | 32.78 | 3.93 | 6.27 | 29.14 | 6.54 | 9.58 | 25.50 | 8.36 | 13.02 | 22.94 | 11.77 |
| PGF | 5.22 | 29.76 | 4.11 | 7.29 | 27.60 | 6.16 | 10.20 | 24.97 | 8.49 | 12.97 | 23.01 | 10.76 |
| TF | 4.84 | 27.06 | 5.22 | 7.23 | 26.16 | 6.31 | 9.95 | 24.38 | 8.22 | 12.16 | 23.22 | 10.38 |
© 2019 by the authors. Licensee MDPI, Basel, Switzerland. This article is an open access article distributed under the terms and conditions of the Creative Commons Attribution (CC BY) license (http://creativecommons.org/licenses/by/4.0/).
Share and Cite
Arnal, J.; Súcar, L. Hybrid Filter Based on Fuzzy Techniques for Mixed Noise Reduction in Color Images. Appl. Sci. 2020, 10, 243. https://doi.org/10.3390/app10010243
Arnal J, Súcar L. Hybrid Filter Based on Fuzzy Techniques for Mixed Noise Reduction in Color Images. Applied Sciences. 2020; 10(1):243. https://doi.org/10.3390/app10010243
Chicago/Turabian StyleArnal, Josep, and Luis Súcar. 2020. "Hybrid Filter Based on Fuzzy Techniques for Mixed Noise Reduction in Color Images" Applied Sciences 10, no. 1: 243. https://doi.org/10.3390/app10010243
APA StyleArnal, J., & Súcar, L. (2020). Hybrid Filter Based on Fuzzy Techniques for Mixed Noise Reduction in Color Images. Applied Sciences, 10(1), 243. https://doi.org/10.3390/app10010243

