Abstract
This article looks at the trends and success of the sustainable construction industries in the EU member states, the UK and Norway. The research, covering the past three decades, revealed that different quality of life, macroeconomic, human development, construction and well-being factors define the sustainable construction industries in the EU member states, the UK and Norway. A multiple criteria decision matrix was created and analysed to look at the EU member countries, the UK and Norway from the perspective of their macro level environment and construction industries. Assessments of the sustainable construction industries were completed by using the COmplex PRoportional Assessment (COPRAS) and Degree of Project Utility and Investment Value Assessments (INVAR), two analysis methods. A look was taken at the dependencies linking the indicators related to the construction industries and macro level in the EU member countries, the UK and Norway. Then, the multiple criteria analysis of the construction industry’s utility degree and performances were completed, and recommendations were generated. A country’s perceived image and success can influence the economic behaviour of consumers. By and large, advanced and successful countries rarely become associated with a negative national image and their products and services rarely suffer negative consequences due to such association. This research, then, offers findings that can assist potential buyers in more rational decision-making when choosing of products and services based on a country of origin.
1. Introduction
World scientists have studied the construction industry [1,2,3,4,5,6,7], energy and buildings [8,9,10,11], building information modelling [12,13,14] and building and projects lifecycle [15,16,17,18,19,20]. Each stage of construction has certain environmental impacts associated with it and life-cycle assessment (analysis) can be applied to analyse construction throughout its lifecycle comprising all these stages [21]. Studies suggest that working fewer hours could improve sustainability as the scale of economic output would drop along with the severity of environmental pressures related to consumption patterns [22].
The necessity of having consumption and production systems in synchronisation with society and the environment first called for identification. The word sustainability was a response; thereby, it has presently been broadly inserted in policy and research aligned with such concepts as “circular economy” and “inclusive growth” [23,24]. The amount of construction waste produced annually by the construction industry in the UK alone is 100 million tonnes, which contain around 13 million tonnes of unused materials. However, the capacity for recycling such waste materials is merely 20% of the volume. Most of it gets dumped in landfills, which further adds to polluting the biosphere. There are numerous reasons for such negative impacts, according to the literature in the field. Among others, the reasons probably consist of poor management, embedded cultural values, obsolete technologies and inappropriate logistics [25]. Previously, environmental quality would be substituted for economic growth and vice versa in discussions regarding development. Now, amendments have been included to such discourses. Currently, talks on growth, environmental sustainability and societal development more and more frequently regard identifying simultaneous targets [26]. The concern of the construction industry now more than ever before points to defining needed improvements to sustainability in the spheres of society, the economy and the environment. The foundation of sustainability and building and construction improvements consists of applying lifecycle assessment (LCA). These must be understood by SMEs for their industrial activities. It is a necessity for increasing green construction market productivity and competitiveness as well as for satisfying consumers who now call for environmentally friendly products [27].
Therefore, only consumption habits require change for sustainability, without reductions in the present-day life quality, to foresee continuous development. Being sustainable in this development also relates to universal solidarity and democratic and fair allocations. In other words, via a sustainable development model, the suggestion is that a full understanding of development aims to reach environmental management as well as cover social responsibility and economic solutions by abandoning the existence of a consumer society. Thus, it can be stated that sustainable construction has three main dimensions/components called environmental, economic and societal. Interactions between ecological protection, economic progression and social fairness are significant parameters of sustainability [28]. Sustainability in the construction industry involves various interest groups with different demands, awareness, knowledge, communication skills, implementation skills and commitments. However, all such interest groups orient to the same tasks: climate adaptation, procurement, carbon and energy, environmental management, waste, water, materials, biodiversity, the community and the economy for developing a sustainable construction industry.
LCA enjoys widespread international acceptance as one way to improve environmental processes and services, and this is the reason Ortiz et al. [27] decided to examine it. Additionally, they wanted ways to evade negative environmental impacts, thus they needed to develop appropriate aims. The result was bound to generate a healthy environment for people’s lives and an overall enhancement in the quality of life. The building sector must turn to governmental administrations along with environmental agencies to improve sustainability in the industry by generating appropriate construction codes and other environmental policies. Meanwhile the construction industry itself must pay attention to its involved individual players encouraging them to be proactive in developing the sorts of environmental, social and economic guideposts that would achieve sustainability within the industry [27]. Roads leading to sustainable development must insure an efficient metrics system for measuring an adequate transition to a greener accomplishment. Such an effort will require inclusion of performances, which distinguish not only recent achievements but also the matters that need improvement. Thereby, the performance is bound to result in a policy that is better informed [29]. The metrics gap is a focal point in the investigation by Doyle et al. [29]. They measured the “global competitiveness” of environmental and social sustainability by estimating the cross-country influences on economic achievements. The purpose of the research presented here was to develop an effective system consisting of environmental, social and economic criteria as well and to include an instrument for analysis, which would support an evolving lifecycle of a sustainable construction industry.
Knight et al. [22] performed a panel analysis of 29 high-income the Organisation for Economic Co-operation and Development (OECD) countries looking at carbon dioxide emissions, carbon footprint and ecological footprint, three environmental indicators, to see the effects of working hours. Their research, based on data for 1970–2007, suggests a significant link between working hours and increased environmental strains; policies intended to boost environmental sustainability, thus, could target this aspect. Hayden and Shandra [30] used the STochastic Impacts by Regression on Population, Affluence and Technology (STIRPAT) design to validate the hypothesis that shows a positive link between hours of work and ecological footprint (EF). Developed countries (Sweden, Australia and others) have recently started to reduce the number of working hours per week after reaching high levels of labour productivity per person. Several researchers have analysed the relationship between Gross Domestic Product (GDP) and EF [31,32,33,34], EPI [35,36] and environmental quality [37,38]. These and other studies [39] confirm that construction, macroeconomic, quality of life, human development and well-being factors impact the environment. The United Nations [40] emphasised the need to ensure the green economy development, when human development, social equity and economic growth go alongside environmental security. In today’s world increasingly concerned about resource draining, both developed and developing countries can improve their construction industries’ sustainability and address environmental issues by basing their decisions on lifecycle assessment.
Sustainable development has been an internationally recognised aim since the UN Conference on Environment and Development in Rio de Janeiro in 1992. Its central challenges are the maintenance of social security and justice, sustainable economic development and the preservation and creation of an intact environment [41]. In the 21st century, sustainability has become the most important issue concerning the construction industry lifecycle [42]. Looking at industrial sectors, the construction sector is of particular importance. On the one hand, it makes a vital contribution to the social and economic development of every country by providing housing and infrastructure; on the other hand, this sector is an important consumer of non-renewable resources, a substantial source of waste, a polluter of air and water and an important contributor to land dereliction [41].
The construction industry is a large and critical sector within the world economy, having a significant impact on the environment [43]. It is considered one of the main contributors to global warming. To mitigate global warming effects, the construction industry has been exploring various approaches to mitigate the impacts of carbon dioxide emissions over the entire lifecycle of buildings [1]. The need to minimise the negative impacts of construction lifecycle activities is increasing pressure on construction organisations to adopt proactive, environmentally sustainable strategies and actions in the design and construction process [43].
Construction firms are increasingly faced with sustainable development-based requirements that are influencing many facets of their activities, ranging from proactive environmentally conscious design and construction through to sustainable procurement, project efficiency and effectiveness and investment management. A lot of literature suggests that the implementation of sustainable construction lifecycle practices is influenced by environmentally sustainable development-based requirements in the form of government regulations, as well as stakeholders pressures—from clients, environmental groups, financial institutions and top management commitment [43]. The construction of buildings brings about a substantial ecological load: about 40% of energy consumption and about 25% of material moved by our economy is due to the construction of buildings. New construction lifecycle technologies and new building components would allow us to reduce the ecological load of buildings to a fraction of its present value [44].
Europeans spend over 90% of their time indoors (homes, workplaces, cars and public transport means, etc.) and are exposed to a complex mixture of pollutants at concentration levels that are often several times higher than outdoors [45]. Resource-efficient Europe is an effort to make economic growth less dependent on the use of resources, promote the transition to a low carbon economy, increase the share of renewable sources in the energy sector and promote energy efficiency. By 2020, energy efficiency must go up by 20% [46]. The flagship initiative “Innovation union” aims to change the focus of R&D and innovation policy by shifting it to the challenges facing our society, including climate change, energy efficiency and lower resource use.
Kotler and Gertner [47] analysed the influence of established country images on attitudes towards the services and products a country offers and the country’s ability to attract tourists, businesses and investment. Kotler and Gertner [47] also investigated strategic marketing management and its role in improving a national image, making a country more attractive and its products more popular. A country’s economy highly depends on its brand image and identity. The literature review revealed the key factors that influence a country’s brand image and its impact on the economy through the intentions of consumers to buy the country’s brands and products [48].
Studies suggest that stereotypes associated with a country can influence the way consumers see a brand irrespective of their intention [49]. Herz and Diamantopoulos [49] carried out three experiments that complement each other. They aimed to examine how country cues can lead to various country stereotypes (emotional vs. functional), which, in turn, make an automatic impact on brand-related behaviour, as well as affective and cognitive brand evaluations by consumers [49].
Saridakis and Baltas [50] examined the impact the country of origin has on new car prices. They applied hedonic price analysis to an extensive dataset. Their models demonstrate that, in addition to implicit prices related to technological characteristics and performance, prices of new cars offered by a certain brand reflect price distortions stemming from the heterogeneity related to the country of origin. Universally seen as a source of high-quality products, Japan may have lower demand in some other Eastern Asian countries due to their historical animosity [51]. Less economically developed countries are usually associated with a negative country image and the products they supply suffer the related negative effect [52].
Companies apply many different strategies to present their country of origin and make their customers more aware of what that country represents [53]. They use flags and symbols of the country of origin; label their products with the phrase “Made in...”; incorporate imagery of famous buildings or typical landscapes of their country, as well as famous or stereotypical people; attach origin and quality labels; make the country of origin part of the company name; and use the language of the country of origin.
Pappu et al. [54] applied canonical correlation analysis to examine the relationships that link the perception consumers have of a country at the macro-level (the country itself) and micro-level (the products associated with the country), and the equity a brand from that country has in the eyes of consumers. They interviewed residents of an Australian state capital city in mall-intercept surveys. The results show a significant impact of both the micro and macro images of the brand’s country of origin on the equity of a brand perceived by consumers. The two sets of constructs were linked by a positive relationship that depended on the product category. The product category also influenced the type of contribution each dimension of the brand equity perceived by consumers made to the relationship. The contribution of both macro and micro country image dimensions depended on the product category as well. An interesting finding is that, among product categories, the country image has a bigger impact on cars than on TV sets. The results of this research can give international marketers important direct insights [54].
Roth et al. [55] measure the added value the name of a country can give to a brand or a product in the eyes of an individual consumer. They applied the construct of brand equity in a country context and their results suggest that product preferences are influenced by country brand equity in a positive way [55].
Elliot and Papadopoulos [56] explored the multifaceted nature of the image of a place and how it impacts buyer behaviour. Their interdisciplinary approach combines tourism, country and product variables. The authors selected two countries for empirical tests of their integrated model with four target countries analysed in each case. The eight model tests showed the relationships linking the subcomponents of the image of a place. Affective country image made the biggest impact on destination evaluations, cognitive country image made the biggest impact on product evaluations and beliefs associated with a product made an impact on tourism, receptivity [56].
The subject of the current study is the EU sustainable construction industry lifecycle and the construction, macroeconomic, quality of life, human development and well-being factors context as a whole.
To achieve the purpose of the research, following objectives were identified:
- Develop integrated numerical and qualitative indicators that define the sustainable construction industry and the macro context affecting it.
- Calculate and analyse the correlations linking the sustainable construction industry indicators;
- Calculate and analyse the correlations across states.
- Create and analyse a decision matrix for the multiple criteria analysis of the macro-level and the sustainable construction industry in EU countries.
- Analyse the dependencies linking the indicators describing the macro level and the sustainable construction industry.
- Make a multiple criteria analysis of the sustainable construction industry in EU countries and offer recommendations.
An all-encompassing analysis of the EU sustainable construction industry required the application of techniques of multiple criteria assessment that allow the user to take a comprehensive look at many aspects, including the construction, macroeconomic, quality of life, human development and well-being. The variety of investigated factors matches the different forms of data required in multiple criteria decision making. The analysis makes use of statistical, decision-making and biometric techniques, as well as big data analytics.
The structure of the rest of this paper is as follows. Section 2 presents a multiple criteria assessment of the sustainable construction industry in the European Union Member States. Section 3 shows a comparison of the sustainable construction industry indicators in the EU countries, the UK and Norway over the past 29 years. Section 4 presents an analysis of the interdependencies between the macro-level indicators and the indicators describing the construction industry in the EU member countries, the UK and Norway. Section 5 presents recommendations for EU macro-level and construction sectors. Section 6 concludes the paper and lays the groundwork for future research.
2. Multiple Criteria Assessment of the Sustainable Construction Industry in European Union Member States
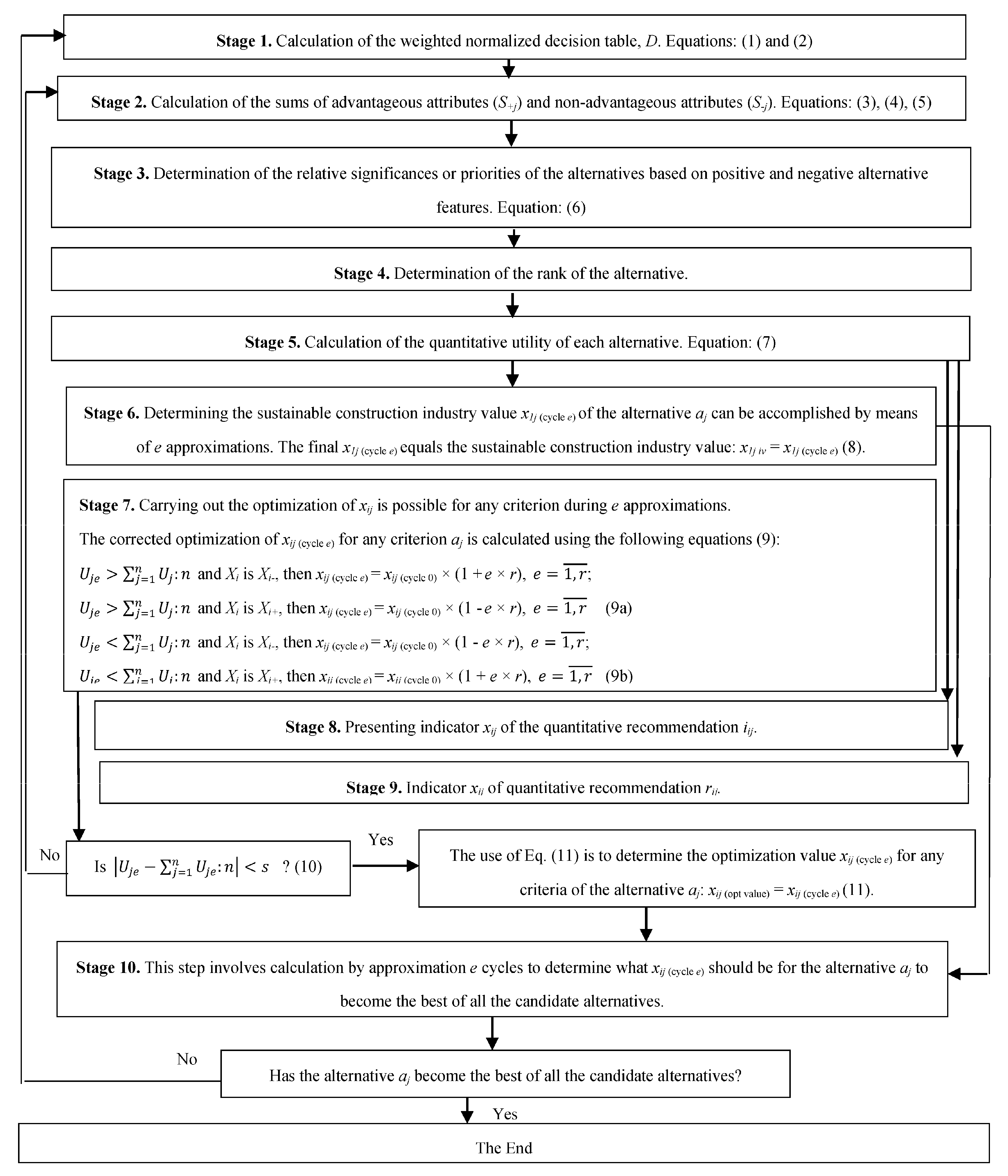
Degree of Project Utility and Investment Value Assessments (INVAR), a new multiple criteria decision analysis method (Degree of Project Utility and Investment Value Assessment with recommendations by Kaklauskas [57]) (see Figure 1), applied in this research to analyse countries, shares the first five stages with the COmplex PRoportional Assessment (COPRAS) method [58]. The rankings and weights of the countries depend, directly and proportionally, on an appropriate system of specific decision criteria, as well as the weights and values of the criteria. At the start, experts develop the system of decision criteria and then determine their weights and values.
Figure 1.
Degree of Project Utility and Investment Value Assessments (INVAR) method.
The basis for the exhaustive subsystem of criteria describing the sustainable construction industry of the countries considered, which is characterised herein, consists of studies from around the world [59,60,61,62,63,64,65,66,67,68,69,70].
The values for the indicators were obtained from the human development index [71], GDP growth data (annual %) [72,73,74,75], GDP per capita in PPP terms [75,76,77], inflation growth data, consumer prices (annual %) [78], unemployment rates (annual %) [79,80], the ease of doing business ranking [81], the labour productivity per person employed in 1991 USD (converted at Geary Khamis PPPs) [82], public debt (% of GDP) [83,84,85], the education index [71], the happiness index [86], the social progress index [87,88,89,90,91,92], the construction cost index (residential buildings, except for community housing) in national currency (index, 2015 = 100) [93], the building permits index (the amount of new residential construction, except for community housing) (index, 2015 = 100) [94], the production in construction (production volume index) (index, 2015 = 100) [95] and the labour input in construction (number of persons employed) (index, 2015 = 100) [96] (see Table 1).
Table 1.
Data from different databases.
For some countries (Spain and Malta), certain data (the production in construction, 2018 (production volume index) and the ease of doing business ranking, 2020) were not available; hence, the sustainable construction industry multiple criteria evaluation decision matrix (see Table 2) includes only 27 countries (25 EU member states, the UK and Norway) out of the 29 (27 EU member states, the UK, Norway) considered.
Table 2.
Outcomes of the multiple criteria evaluation of the construction industries of 25 EU countries, the UK and Norway.
All criteria were grouped into two categories. The first category covers the average value spanning the entire analysis period and the second category covers the value for the latest available year (see Table 1 and Table A1). Fifteen experts in the area of well-being, macroeconomics, construction, human development and quality of life assigned the same significance (equal to 1) to all 30 well-being, macroeconomic, construction, human development and values-based decision factors, which means the significances of the 30 criteria add up to a total of 30. The units of the criteria were determined, and their values and significances were calculated.
When the criteria values and significances are available, and multiple criteria decision methods applied, the success and utility degree of the construction industry is rather easy to determine and the industry’s priority (efficiency) easy to establish.
Stages 1–5 of the INVAR technique [57] were applied to perform multiple criteria assessment of the sustainable construction industries in the EU member states (see Figure 1).
Stage 1. Calculate the weighted normalised decision table, D. Applied equations:
Calculations:
d11 = 1 ∗ 4.53/(4.53 + 2.19 + 1.96 + 3.03 + 8.4 + 1.64 + 5.83 + 4.22 + 4.14 + 2.92 + 4.2 + 3.88 + 2.57 + 4.15 + 3.67 + 4.16 + 4.31 + 3.76 + 3.15 + 4.38 + 2.02 + 1.71 + 4.98 + 2.82 + 4.62 + 3.27 + 4.4) = 1 ∗ 4.53/100.91 = 0.0449;
d61 = 1 ∗ 1.5/(1.5 + 1.2 + 1.8 + 1.3 + 2.3 + 1.7 + 1.2 + 2.3 + 2.5 + 3 + 1.5 + 2.5 + 0.6 + 1.5 + 2.4 + 0.9 + 4.2 + 1.8 + 2.6 + 0.7 + 2.6 + 1.2 + 3.4 + 1 + 1.7 + 0.7 + 2.5) = 1 ∗ 1.5/50.6 = 0.0296
Stage 2. Calculate the sums of advantageous attributes (S+j) and non-advantageous attributes (S−j). Applied equations:
Calculations:
S−1 = 0.0301 + 0.0073 + 0.0103 + 0.0202 + 0.0083 + 0.0344 + 0.0296 + 0.0447 + 0.0171 = 0.202
S+1 = 0.0449 + 0.0432 + 0.0392 + 0.047 + 0.0444 + 0.0402 + 0.0391 + 0.0453 + 0.0376 + 0.0375 + 0.0312 + 0.0286 + 0.0338 + 0.0355 + 0.039 + 0.0409 + 0.0404 + 0.0398 + 0.0357 + 0.0389 + 0.0404 = 0.8226
Stage 3. Determine the relative significances or priorities of the alternatives based on positive and negative alternative features. Applied equation:
Calculations:
Stage 4. Determine the rank of the alternative. The greater is the significance Qj, the higher is the rank of the alternative: . The success Qj of a country aj shows to what degree the country has fulfilled the requirements and achieved its needs in the sustainable construction industry. Each country is assigned a success with the most efficient country always taking the top spot with the success Qmax. Other countries that are below the best country in terms of their achievements related to the sustainable construction industry are, accordingly, assigned lower success.
Stage 5. Calculate the quantitative utility of each alternative. A higher success of a country also means that the country’s utility degree is higher and a lower success then means lower utility degree. National utility degrees are determined by comparing countries with their most efficient counterpart in terms of the performance related to the sustainable construction industry. The countries considered will, therefore, have their utility degrees between 0% (worst case) and 100% (best case). Such ranking offers easier visual assessment of the efficiency of the countries. The utility degree Uj of a country aj shows the country’s performance in terms of the requirements. Higher utility degree shows that a bigger number of more important requirements were achieved. Applied equation:
Calculations:
U1 = (1.3039/1.5) ∗ 100% = 86.93%
U2 = (1.0668/1.5) ∗ 100% = 71.12%
The multiple criteria evaluation outcomes for the countries considered (see Table 2) show that Norway (a5) scored best (significance Qmax = Q5 = 1.5 and utility degree Umax = U5 = 100%) in terms of the criteria considered here.
Lithuania (a8) ranked eleventh with its significance Q8 = 1.0863, well below the top performer. The country’s utility degree was U8 = 72.42% (see Table 2).
Lithuania and Portugal in Table A1 can be examples for discussion. The evaluation of the 1990–2019 period shows that, at 4.22%, Lithuania recorded a similar average annual GDP growth to Portugal with 4.16%. The 2019 data show that the GDP per capita in PPP terms was lower in Portugal (30,487.7 USD) than in Lithuania (32,378.6 USD). At 8.81, the average 1999–2019 unemployment rate in Portugal was about 21% lower than that in Lithuania (10.89), and the 2019 unemployment rate in Portugal (6.10) was equal to that in Lithuania (6.10). Between 1995 and 2019, the average inflation growth in Lithuania (3.65%) was 1.825 times as high as in Portugal (2.00%). During 1990–2018, the average labour productivity per person employed was greater in Portugal (58,505.00 USD) than it was in Lithuania (45,530.00 USD) in 1990 USD terms (converted at Geary Khamis PPPs). However, the average public debt levels between 2000 and 2019 show that Portugal’s debt burden, at 92.42%, was higher than that of Lithuania (29.12%). The conditions of the business environment better in Lithuania than in Portugal. Lithuania ranked 11th and Portugal 39th in the 2020 ease of doing business index; the average for 2006–2020, meanwhile, shows that Lithuania (21st) offered better conditions in terms of the ease of doing business than Portugal (34th) had. The human development index in 2018 is similar in both countries, in Portugal 0.85 and Lithuania 0.87. The education index in 2018 in Portugal (0.76) is less than in Lithuania (0.89). Conversely, appreciate the social progress index 2019 index is bigger in Portugal (87.12) than in Lithuania (81.30). It is clear from the summary of all 16 indicators under evaluation that, in four instances, Lithuania performed better than Portugal. The remaining 13 indicators, however, show Portugal performing better than Lithuania. The combination of these comparative data reflects the results of the multiple criteria assessment (see Table 2), showing that, in terms of the criteria considered here, Lithuania (a8) scored better (priority P8 = 13 and utility degree N8 = 72.42%) [52]. Portugal (a16) ranked 18th with its utility degree N16 = 67.41% (see Table 2).
3. Comparison of the Sustainable Construction Industry Indicators in the EU Countries, the UK and Norway over the Past 29 Years
Over the past 29 years, many EU member countries under evaluation purposed considerable economic gains compared with the global level. Next, indicators such as GDP per capita (USD), the ease of doing business ranking and a few others are considered as examples (see Table A1 and Figure 2).
Figure 2.
GDP per capita in USD, 2018, and ease of doing business ranking, 2020, values in analysed countries.
The leading countries among EU members, Norway and the UK in terms of GDP per capita (USD) in 2018 were Luxembourg, followed by Norway, Ireland, Denmark, Sweden, Netherlands, Austria, Finland, Germany, Belgium, the UK amd France. Italy is not far behind, followed by Cyprus, Slovenia, Portugal, Czech Republic, Estonia, Greece, Slovakia and Lithuania. The following are countries with GDP per capita (USD) 1.9 times or more below Italy’s: Latvia, Hungary, Poland and Croatia. The weakest economies are in Romania and Bulgaria (see Figure 2). Spain (30,523.86 USD) and Malta (30,074.74 USD), which are not included in Table A1, have similar economies to Italy.
A look at the 2006–2020 ease of doing business ranking shows Romania moving up from 78 in 2006 to 55 in 2020, Slovenia improving from 63 in 2006 to 37 in 2020, Poland from 54 in 2006 to 40 in 2020 and Croatia, from 118 in 2006 to 51 in 2020, as the top improvers of their business environments among the EU member countries (see Figure 2).
The human development index (HDI) measures a country’s performance in terms of its social living standards. The index looks at literacy, educational achievement, average life expectancy and the standard of living in every country around the world. All 25 EU member countries, the UK and Norway under evaluation fall into two HDI groups. Lithuania, Latvia, Estonia, Bulgaria, Slovakia, Hungary and Croatia have the smallest human development average range and fall in the high human development range (HDI = 0.71–0.80). All the other countries under evaluation (Germany, France, the UK, Denmark, Norway, Sweden, Finland, Belgium, Greece, Austria, Poland, Portugal, Romania, Slovenia, Cyprus, Czech Republic, Ireland, Luxembourg, Italy and Netherlands) fall in the very high human development range (HDI = 0.81–0.99) based on the 1990–2018 average. Spain (0.893) and Malta (0.885), which are not included in Table A1, fall in the very high human development range too. The same situation is shown for the average human development index, 1990–2018 (see Figure 3). Countries that are not under evaluation include Spain (0.84) and Malta (0.81).
Figure 3.
Social progress index, 2019, and HDI, 2018, and average HDI, 1990–2018, values in analysed countries.
A look at the change in social creation under the HDI shows that the EU countries, the UK and Norway considered in the study made remarkable progress over 28 years. A comparison of the 1990 and 2018 data shows that the highest positive HDI change recorded among the 25 EU member countries, Norway, the UK under evaluation occurred in Ireland (0.18); Croatia (0.17); Czech Republic, Latvia and Poland (0.16); Estonia and the UK (0.15); Germany, Finland, Lithuania, Portugal, Hungary and Cyprus (0.14); Denmark (0.13); Sweden, Luxembourg, Bulgaria, Greece, Austria, Romania and Slovakia (0.12); France, Belgium and Italy (0.11); and Norway and Netherlands (0.10). The smallest recorded, positive HDI change among the 25 EU member countries, the UK and Norway under evaluation occurred in Slovenia (0.07) (see Figure 3). Countries that are not under evaluation include Spain (0.14) and Malta (0.14).
For the social progress index in 2019, the leading countries are Norway (90.95) and Denmark (90.09), followed by Finland (89.56), Sweden (89.45), Germany (88.84), Netherlands (88.31), the UK (87.98), Ireland (87.97), France (87.79), Luxembourg (87.66), Portugal (87.12), Belgium (86.77), Austria (86.4), Slovenia (85.8), Italy (85.69), Czech Republic (84.36), Estonia (83.98), Cyprus (83.14), Greece (82.48), Lithuania (81.3), Poland (81.25), Slovakia (80.43) and Latvia (80.42). The following are countries with social progress index 12.90% or more below that of Norway: Croatia (79.21), Hungary (78.77), Bulgaria (76.17) and Romania (74.81) (see Figure 3). Countries that are not under evaluation include Spain (87.47) and Malta (82.63), which have similar social progress index values as the UK and Greece.
For the average GDP growth during 1990–2019 (annual %), the leading country is Norway (8.40), followed by Finland (5.83), Hungary (4.98), Luxemburg (4.62), Germany (4.53), Netherlands (4.40), Cyprus (4.38), Romania (4.31) and Lithuania (4.22). The following are countries have average growth during 1990–2019 (annual %) two times or more below that of Norway: Belgium (4.20), Portugal (4.16), Austria (4.15), Estonia (4.14), Bulgaria (3.88), Slovenia (3.76), Poland (3.67), Italy (3.27), Slovakia (3.15), Denmark (3.03), Latvia (2.92), Croatia (2.82), Greece (2.57), France (2.19) and Czech Republic (2.02). The lowest average GDP growth in 1990–2019 (annual %) is in the UK (1.96), Ireland (1.71) and Sweden (1.64) (see Figure 4). Countries that are not under evaluation include Spain (2.29) and Malta (4.80), which have similar average GDP growth during 1990–2019 (annual %) as France and Hungary.
Figure 4.
Average GDP growth, 1990–2019, unemployment rate, 2019, inflation growth, 2019, and public debt, 2019, values in analysed countries.
For inflation growth, consumer prices (annual %) in 2019, the leading EU member country is Greece (0.60%), followed by Cyprus (0.70%), Italy (0.70%), Portugal (0.90%) and Croatia (1.00%). The following countries have twice or more inflation growth than Greece: France (1.20%), Finland (1.20%) and Ireland (1.20%), followed by Denmark (1.30%), Germany (1.50%), Belgium (1.50%), Austria (1.50%), Sweden (1.70%), Luxemburg (1.70%), the UK (1.80%), Slovenia (1.80%), Norway (2.30%), Lithuania (2.30%), Poland (2.40%), Estonia (2.50%), Bulgaria (2.50%), Netherlands (2.50%), Slovakia (2.60%) and Czech Republic (2.60%). The highest inflation growth is in Latvia (3.00%), Hungary (3.40%) and Romania (4.20%) (see Figure 4). Countries that are not under evaluation include Spain—(0.70%), which has the lowest indicator from all comparing countries, and Malta (1.70%), which has the same inflation growth as in Sweden or Luxemburg.
For unemployment rate (annual %) in 2019, the leading EU member country is the Czech Republic (2.2%), followed by Germany (3.2%), Netherlands (3.3%), Hungary (3.5%), Norway (3.6%), the UK (3.8%), Poland (3.8%) and Romania (4.3%). The following countries have at least twice the unemployment rate of Czech Republic: Slovenia (4.5%), Estonia (4.7%), Bulgaria (4.9%), Denmark (5.00%), Austria (5.1%), Luxembourg (5.2%), Belgium (5.5%), Ireland (5.5%), Slovakia (6.00%), Portugal (6.1%), Lithuania (6.1%), Sweden (6.5%), Finland (6.5%), Latvia (6.5%) and Cyprus (7.00%). The following countries have high or very high inflation rates: France (8.6%), Croatia (9.00%), Italy (10.3%) and Greece (17.8%) (see Figure 4). Countries that are not under evaluation include Spain (13.9%), which has a very high unemployment rate, and Malta (3.8%), which has an unemployment rate similar to the UK or Poland.
For public debt (% of GDP) in 2019, the leading EU member country is Estonia (8.2%), followed by Bulgaria (19.2%), Luxembourg (21.3%), Czech Republic (31.6%), Lithuania (31.8%), Denmark (33.0%), Latvia (36.3%), Sweden (36.9%), Romania (37.4%), Norway (40.0%), Poland (47.8%), Slovakia (48.4%), Netherlands (49.2%), Germany (58.6%), Finland (58.9%), Ireland (60.9%), Slovenia (67.1%), Hungary (67.5%), Austria (70.7%), Croatia (71.1%), the UK (85.6%), Cyprus (96.1%) and France (99.3%). Four EU member states have more than 100% public debt: Belgium (101%), Portugal (117.6%), Italy (133.2%) and Greece (176.6%) (see Figure 4). Countries that are not under evaluation include Spain (96.4%) and Malta (42.3%), which have similar public debt as Cyprus and Poland, respectively.
Comparison of indicators in EU member states show that countries that have a high economy, fall in the high human development range, have a high social progress index, have a low unemployment rate and take a higher position on ease of doing business ranking. However, they have a relatively high inflation rate and public debt. The comparison also showed that lower economy performance countries during 29 years boosted their economic, social and environmental performance. In conclusion, it seems that economic and social gains encourage boosting the sustainable construction industry performance of various EU member countries.
4. Analysis of the Interdependencies between the Indicators of the Macro Level and the Indicators Describing the Construction Industry in the EU Countries, the UK and Norway
This study identified correlational relationships among the 25 EU countries, the UK and the Norwegian construction industry (construction cost index, year-over-year change; production in construction in terms of the production volume index, year-over-year change; building permits index in terms of the number of dwellings, year-over-year change; and labour input in construction in terms of the number of persons employed, year-over-year change) and the macro-level indicators of the countries (GDP annual growth rate, GDP per capita current USD, unemployment rate, public debt, human development index, education index, gender inequality index and life expectancy at birth (total years)).
The outcomes of the correlation analysis are discussed with France taken as an example. The following indicators show strong correlations:
- GDP per capita current USD and construction cost index 2000–2018 (r = 0.86, linear dependence) (Figure 5) and production in construction 2000–2018 (r = 0.81, linear dependence) (Figure 5).
Figure 5. GDP per capita current USD, 2000–2018; construction cost index, 2000–2018; production in construction, 2000–2018; and labour input in construction, 2000–2018, data and their variation in France. - Construction cost index and public debt 2000–2018 (r = 0.92, linear dependence), human development index 2000–2018 (r = 0.97, linear dependence), education index 2000–2018 (r = 0.95, linear dependence) and gender inequality index 2000–2018 (r = −0.94, inverse dependence).
- Production in construction and unemployment rate 2000–2018 (r = −0.84, inverse dependence) and public debt 2000–2018 (r = −0.74, inverse dependence).
- Unemployment rate and public debt 2000–2018 (r = 0.76, linear dependence).
- Public debt and human development index 2000–2018 (r = 0.94, linear dependence), education index 2000–2018 (r = 0.94, linear dependence) and gender inequality index 2000–2018 (r = −0.96, inverse dependence).
- Human development index and education index 2000–2018 (r = 0.99, linear dependence) and gender inequality index 2000–2018 (r = −0.96, inverse dependence).
- Education index and gender inequality index 2000–2018 (r = −0.96, inverse dependence).
- Life expectancy at birth (total years) and construction cost index 2000–2017 (r = 0.98, linear dependence), public debt 2000–2017 (r = 0.92, linear dependence), human development index 2000–2017 (r = 0.98, linear dependence), education index 2000–2017 (r = 0.97, linear dependence) and gender inequality index 2000–2017 (r = −0.94, inverse dependence).
Average correlations were identified between the following indicators:
- GDP annual growth rate and labour input in construction 2000–2018 (r = −0.42, inverse dependence).
- Construction cost index and production in construction 2000–2018 (r = −0.45, inverse dependence), labour input in construction 2000–2018 (r = 0.50, linear dependence) (Figure 5) and unemployment rate 2000–2018 (r = 0.53, linear dependence).
- Production in construction and labour input in construction 2000–2018 (r = 0.48, linear dependence) (Figure 5), building permits index 2000–2018 (r = 0.51, linear dependence), human development index 2000–2018 (r = −0.54, inverse dependence), education index 2000–2018 (r = −0.58, inverse dependence) and gender inequality index 2000–2018 (r = 0.64, linear dependence).
- Unemployment rate and human development index 2000–2018 (r = 0.62, linear dependence), Education index 2000–2018 (r = 0.67, linear dependence) and gender inequality index 2000–2018 (r = −0.63, inverse dependence).
- Life expectancy at birth (total years) and production in construction 2000–2017 (r = −0.45, inverse dependence), labour input in construction 2000–2017 (r = 0.48, linear dependence) and unemployment rate 2000–2017 (r = 0.63, linear dependence).
Figure 5 shows GDP per capita current USD, 2000–2018; construction cost index, 2000–2018; production in construction, 2000–2018; and labour input in construction, 2000–2018 data, and their variation in France.
The data of the indicators for 25 EU countries, the UK and Norway appear in Figure 6, Figure 7 and Figure 8. Strong linear correlations were identified between the 2017 life expectancy at birth (total years) [97] and the 2019 social progress index [92], the 2018 labour productivity (USD) [82] and the 2018 human development index [71]. Strong inverse correlations were identified between the 2017 life expectancy at birth (total years) and the 2018 gender inequality index [71], the 2018 distribution of population by tenure status and type of household and income group [98]. Average linear correlations was identified between the 2017 life expectancy at birth (total years) [97] and the 2018 corruption perception index [99], the 2020 quality of life [100] and the 2019 happiness index [86].
Figure 6.
Correlation between the life expectancy at birth, 2017, and corruption perception index, 2018, and social progress index, 2019, of the 25 EU countries, the UK and Norway under evaluation.
Figure 7.
Correlation between the population distribution by the income group, type of household and tenure status, and the gender inequality index of the 25 EU countries, the UK and Norway under evaluation (data for 2018).
Figure 8.
Correlation between the population distribution by the income group, type of household and tenure status, 2018, the quality of life, 2019, the happiness index, 2019, and the corruption perception index, 2018, of the 25 EU countries, the UK and Norway under evaluation.
Research shows the existence of a strong dependency between the 2018 population distribution by the income group, type of household and tenure status, the 2019 social progress index (r = −0.7633, inverse dependence) and the 2018 human development index (r = −0.7125, inverse dependence). There are average dependences between the 2018 population distribution by the income group, type of household and tenure status and the 2018 gender inequality index (r = 0.6743, linear dependence) (Figure 7), the 2018 corruption perception index (r = −0.6794, inverse dependence) (Figure 7), the 2018 labour productivity (r = −0,5096, inverse dependence), the 2020 quality of life (except Luxembourg) (r = −0,6008, inverse dependence) (Figure 7) and the 2018 happiness index (r = −0,5804, inverse dependence) (Figure 7 and Figure 8).
The basis for the assessment of 25 EU members, the UK and Norway is the input data matrix presented in Table A1. The multiple criteria evaluation ranked 25 EU members, the UK and Norway by priority and determined their utility degrees.
The same assessments can be used in other cases where a best practice needs to be created and implemented.
The end of World War II brought communism to the countries in Eastern Europe, and the state typically promised to provide housing for the people. This meant that the majority of housing stock in such countries were public rental housing, and the rents, unlike in public housing offered in advanced capitalist societies, were very low. Everything changed after 1989 when democracy returned to Communist Europe. The major part of public housing was sold off. The elimination of rent control and privatisation of public housing encouraged the creation of a significant private renting sector in a few places [101].
A correlation analysis comparing the sustainable construction industry and housing price indicators of the EU member states, the UK and Norway was performed (see Table 3). The correlations among the 2018 real house price index (index, 2015 = 100), the 2018 nominal house price indices (index, 2015 = 100), the 2020 price-to-rent ratio (index, 2010 = 100), the 2018 house price indices with the 2018 production in construction (production volume index) (index, 2015 = 100), the 2018 construction cost index in national currencies (index, 2015 = 100) and the 2018 building permits indices (the amount of new residential construction, except for community housing) (index 2015 = 100) were analysed (Table 3).
Table 3.
The correlation between the construction and housing price indices of the 25 EU countries, the UK and Norway.
The outcomes of the correlation analysis are discussed below. Strong correlations were identified between the following indicators (Table 3):
- Real house price indices in 2018 (index, 2015 = 100) and nominal house price indices in 2018 (index, 2015 = 100) (r = 0.9788, linear dependence).
- House price indices in 2018, and real house price indices in 2018 (index, 2015 = 100) (r = 0.9713, linear dependence), and nominal house price indices in 2018 (index, 2015 = 100) (r = 0.9975, linear dependence).
Average and below average correlations were identified between the following indicators:
- Real house price indices in 2018 (index, 2015 = 100), and production in construction (production volume index) in 2018 (index, 2015 = 100) (r = 0.4049, linear dependence), construction cost index in 2018 (index, 2015 = 100) (r = 0.4264, linear dependence) (Figure 6), and building permits index (the amount of new residential construction, except for community housing) (index, 2015=100) in 2018 (r = 0.6196, linear dependence).
- Nominal house price indices in 2018 (index, 2015 = 100), and production in construction (production volume index) (index, 2015 = 100) in 2018 (r = 0.4286, linear dependence), construction cost index (index, 2015 = 100) in 2018 (r = 0.5350, linear dependence) (Figure 9), and building permits index (the amount of new residential construction, except for community housing) (index, 2015 = 100) in 2018 (r = 0.5611, linear dependence).
Figure 9. The correlations between the construction cost indices and real house price (nominal house price) indicators of the 25 EU countries, the UK and Norway (data for 2018). - Price to rent ratio in 2020 (index, 2010 = 100), and building permits index (the amount of new residential construction, except for community housing) (index, 2015 = 100) in 2018 (r = −0.4196, inverse dependence).
- House price indices in 2018, and production in construction (production volume index) in 2018 (index, 2015 = 100) (r = 0.4309, linear dependence), construction cost index (index, 2015 = 100) in 2018 (r = 0.5430, linear dependence), and building permits index (the amount of new residential construction, except for community housing) (index, 2015 = 100) in 2018 (r = 0.5522, linear dependence).
5. Recommendations for EU Construction Sectors
The next step, where INVAR [57] can be applied, is the investment value of a specific building lifecycle (Stage 6). INVAR can also optimise any selected criterion to make a specific project as competitive in the market as the other projects being compared (Stage 7) and determine the value that would propel the specific project to the top position among all the projects being analysed (Stage 10) (see Figure 1). Stages 6, 7 and 10 were not applied in this paper. For that reason, Equations (8)–(11) were not applied too.
Stage 6. Determining the sustainable construction industry value x1j (cycle e) of the alternative aj can be accomplished by means of e approximations. The final x1j (cycle e) equals the sustainable construction industry value:
x1j iv = x1j (cycle e)
Stage 7. Carrying out the optimization of xij is possible for any criterion during e approximations.
The corrected optimization of xij (cycle e) for any criterion aj is calculated using the following Equations (9):
The use of Equation (11) is to determine the optimization value xij (cycle e) for any criteria of the alternative aj:
xij(opt value) = xij (cycle e)
When the value has been determined, digital recommendations (Stages 8 and 9) can then be provided on ways to improve projects [57]. For example, in Stages 8 and 9 of the INVAR technique [57], countries are offered digital recommendations on ways to achieve better scores. They also learn the effect of the new scores on their cumulative sustainable construction industry ranking. All recommendations are delivered as a matrix (see Table 4).
Table 4.
A sample of digital recommendations on ways to improve certain scores for specific countries and the impact of the new scores on their cumulative position on the sustainable construction industry ranking.
Stage 8. Present indicator xij of the quantitative recommendation iij. Applied equation:
iij = |xij − xi max|: xij × 100%
Calculations:
i16 8 = |0.87 − 0.9|: 0.87 × 100% = 9.2%
Stage 9. Present indicator xij of quantitative recommendation rij. rij shows the percentage of possible enhancement in Uj of aj, supposing the value of xij can be enhanced up to the best value xi max of the indicator of criterion Xi. Applied equation:
rij = (qi × xi max): (S−j + S+j) × 100%
Application:
Table 4 shows that Norway (a5), for instance, performed best in key dimensions of human development, i.e., has the highest human development index (x16 5 = 0.95) among the countries under evaluation. Meanwhile, Lithuania (a8) has a human development index of 0.87 (x16 8 = 0.87). Indicator x16 8 = 0.87 of quantitative recommendation r16 8 shows the percentage of possible improvement of utility degree U8 = 72.42 of Lithuania (a8) upon presentation of x16 8 = x16 5 (0.87 = 0.95). In other words, r16 8 shows the percentage of possible improvement in the utility degree U8 of Lithuania (a8), assuming the value of indicator x16 8 can be improved up to the best value x16 5 of the indicator of the human development index criterion X16.
If Lithuania (a8) aims to achieve the level of the human development index (X16) achieved by Norway (a5), the country must boost its performance by 9.2% (i16 8 = 9.2%, calculated in Stage 8 of the INVAR technique (see Table 4 [57]). Lithuania’s (a8) position in the overall country ranking would then improve by 0.3065% (r16 8 = 0.3065% (see Table 4)).
Stage 10. This step involves calculation by approximation e cycles to determine what xij (cycle e) should be for the alternative aj to become the best of all the candidate alternatives.
Other countries can similarly examine ways to improve their scores on the sustainable construction industry ranking.
6. Conclusions
Among the latest available studies on sustainable construction, this research offers three innovative elements. The first is the use of the INVAR method [57]. This method can be used as the basis for creating efficient construction, macroeconomic, quality of life, human development and well-being factors to ensure improved macro-environments for the lifecycle of sustainable construction. Macro environments are important in attempts to make the lifecycle of the sustainable construction industry efficient. The multiple criteria decision matrix makes an integrated assessment of aspects that characterise the sustainable construction industries in the EU member countries, the UK and Norway. The variety of aspects considered is matched by that of the forms of data required in decision making. The COPRAS and INVAR techniques were applied for the evaluation of the sustainable construction industries.
The second innovation is that this research applied INVAR and its capabilities to expand the analysis of various indicators with extra features. Among them are digital tips for specific construction industries analysed against these criteria, deriving rationalised indicators and determining which values of these criteria would push the rating of a specific construction industry up to the expected level. When the INVAR method is applied, a broader look at the contexts such as well-being, macroeconomic factors, quality of life, construction and human development becomes possible, as well as a more thorough interpretation of the changes and shifts observed in construction industries over recent years. The multiple criteria analysis of the macro environment and construction industries in the EU member countries, the UK and Norway was performed and recommendations offered.
The third innovation is that we eliminated the need to stick to only construction and other traditional measures when the indicators for the 27 construction industries analysed in our research have to be improved. Corruption, happiness, education and social progress are other, less explored areas where improvements are possible. The dependencies that link the indicators describing the macro level and construction industry in the EU member countries, the UK and Norway were analysed.
The perceived image and success of a country can influence economic behaviour. Companies operate in a macro environment comprising a wide range of technological, ecological, legal, economic, success, image, political, health-related and social aspects, visible on a national level, and this environment is relevant to corporate marketing efforts. Due to its intuitive and cost-conscious nature, the emoticon measure can be a handy marketing tool to discover the sentiments elicited by one nation. Marketing managers then can apply these insights to different export markets [105]. A high developed country national image makes a country more attractive and its products more popular, and the impact such image makes on the economy through the intentions of consumers to buy the country’s brands and products [48]. The findings of this research, then, can help potential buyers make decisions regarding the best choice in terms of the country of origin.
The future plans include research on the sustainable construction industries developments in American, African and Asian countries and the supply of recommendations. An innovative integrated evaluation of the sustainable construction industries would allow us in the future to investigate the lifecycle of buildings and its phases, the parties involved in the project and the context as a whole. The current models and intelligent systems available worldwide do not offer these functions.
Author Contributions
Conceptualisation, A.K. (Arturas Kaklauskas) and E.K.Z.; methodology, A.K. (Arturas Kaklauskas), E.K.Z., A.B.-V., A.K. (Agne Kuzminske), J.C., A.C. and R.V.; software, A.K. (Arturas Kaklauskas), A.B.-V., A.K. (Agne Kuzminske), J.C., A.C. and R.V.; validation, A.K. (Arturas Kaklauskas), A.B.-V., A.K. (Agne Kuzminske), J.C., A.C. and R.V.; formal analysis, A.K. (Arturas Kaklauskas), A.B.-V., A.K. (Agne Kuzminske), J.C., A.C. and R.V.; investigation, A.K. (Arturas Kaklauskas), A.B.-V., A.K. (Agne Kuzminske), J.C., A.C. and R.V.; resources, A.K. (Arturas Kaklauskas), A.B.-V., A.K. (Agne Kuzminske), J.C., A.C. and R.V.; data curation, A.K. (Arturas Kaklauskas), A.B.-V., A.K. (Agne Kuzminske), J.C., A.C. and R.V.; writing—original draft preparation, A.K. (Arturas Kaklauskas), A.B.-V., A.K. (Agne Kuzminske), J.C., A.C. and R.V.; writing—review and editing, A.K. (Arturas Kaklauskas), A.B.-V., A.K. (Agne Kuzminske), J.C., A.C. and R.V.; visualisation, A.K. (Arturas Kaklauskas), A.B.-V., A.K. (Agne Kuzminske), J.C., A.C. and R.V.; supervision, A.K. (Arturas Kaklauskas) and E.K.Z.; project administration, A.K. (Arturas Kaklauskas) and E.K.Z.; and funding acquisition, A.K. (Arturas Kaklauskas) and E.K.Z. All authors have read and agreed to the published version of the manuscript.
Funding
This project received funding from European Regional Development Fund (project No 01.2.2-LMT-K-718-01-0073) under grant agreement with the Research Council of Lithuania (LMTLT). The sponsor had no involvement in the study design, the collection, analysis and interpretation of data, or the preparation of the article.
Conflicts of Interest
The authors declare no conflict of interest.
Appendix A
Table A1.
The sustainable construction industry multiple criteria evaluation for 25 EU member states, the UK and Norway.
Table A1.
The sustainable construction industry multiple criteria evaluation for 25 EU member states, the UK and Norway.
| Defining Criteria | 1 | 2 | 3 | 4 | 5 | 6 | 7 | 8 | 9 |
| Germany | France | United Kingdom | Denmark | Norway | Sweden | Finland | Lithuania | Estonia | |
| X1 | 4.53 | 2.19 | 1.96 | 3.03 | 8.4 | 1.64 | 5.83 | 4.22 | 4.14 |
| X2 | 48,195.58 | 41,463.64 | 42,491.36 | 60,726.47 | 81,807.20 | 54,111.97 | 49,648.15 | 19,089.71 | 22,927.74 |
| X3 | 36,883.78 | 33,758.78 | 32,814.96 | 37,373.91 | 55,564.39 | 36,991.77 | 33,989.35 | 17,836.78 | 19,598.09 |
| X4 | 50,803.60 | 44,080.70 | 44,292.20 | 50,071.50 | 72,057.60 | 51,185.00 | 44,492.20 | 32,378.60 | 31,648.80 |
| X5 | 1.45 | 1.5 | 2 | 1.63 | 2.12 | 1.46 | 1.59 | 3.65 | 4.61 |
| X6 | 1.5 | 1.2 | 1.8 | 1.3 | 2.3 | 1.7 | 1.2 | 2.3 | 2.5 |
| X7 | 6.92 | 9.17 | 5.76 | 5.5 | 3.73 | 7.1 | 8.39 | 10.89 | 9.19 |
| X8 | 3.2 | 8.6 | 3.8 | 5 | 3.6 | 6.5 | 6.5 | 6.1 | 4.7 |
| X9 | 85,500.00 | 91,826.00 | 80,570.00 | 87,298.00 | 124,259.00 | 86,944.00 | 84,874.00 | 45,530.00 | 46,716.00 |
| X10 | 94,634.36 | 102,188.24 | 90,454.28 | 97,713.58 | 136,315.45 | 104,569.24 | 96,093.9 | 69,218.06 | 66,790.43 |
| X11 | 68.28 | 79.89 | 63.16 | 40.59 | 37.66 | 43.1 | 48.37 | 29.12 | 6.95 |
| X12 | 58.6 | 99.3 | 85.6 | 33 | 40 | 36.9 | 58.9 | 31.8 | 8.2 |
| X13 | 7 | 32 | 7 | 5 | 8 | 13 | 13 | 21 | 18 |
| X14 | 8 | 32 | 8 | 4 | 9 | 10 | 20 | 11 | 18 |
| X15 | 0.88 | 0.85 | 0.87 | 0.88 | 0.92 | 0.89 | 0.87 | 0.79 | 0.8 |
| X16 | 0.94 | 0.89 | 0.92 | 0.93 | 0.95 | 0.94 | 0.93 | 0.87 | 0.88 |
| X17 | 88.37 | 87.48 | 87.78 | 89.31 | 89.64 | 88.75 | 89.08 | 80.79 | 82.8 |
| X18 | 88.84 | 87.79 | 87.98 | 90.09 | 90.95 | 89.45 | 89.56 | 81.3 | 83.98 |
| X19 | 0.85 | 0.75 | 0.84 | 0.84 | 0.88 | 0.85 | 0.83 | 0.79 | 0.81 |
| X20 | 0.95 | 0.81 | 0.92 | 0.92 | 0.92 | 0.91 | 0.92 | 0.89 | 0.88 |
| X21 | 6.89 | 6.56 | 6.84 | 7.57 | 7.56 | 7.35 | 7.51 | 5.85 | 5.6 |
| X22 | 6.99 | 6.59 | 7.05 | 7.6 | 7.55 | 7.34 | 7.77 | 6.15 | 5.89 |
| X23 | 90.3 | 89.8 | 86.4 | 87.7 | 82.7 | 85.7 | 89.5 | 86.4 | 86.5 |
| X24 | 107.9 | 105 | 108.3 | 104.2 | 108.7 | 109 | 103.1 | 110.2 | 102.7 |
| X25 | 90.2 | 115.9 | 100.6 | 94.9 | 100.6 | 67.5 | 106.3 | 81.3 | 93.2 |
| X26 | 115.4 | 114.2 | 110.3 | 147.2 | 110.3 | 111.2 | 134.7 | 122.5 | 125.1 |
| X27 | 98.2 | 109.8 | 93.7 | 97.5 | 84.7 | 85.1 | 87.6 | 91.2 | 93.3 |
| X28 | 108.6 | 102.2 | 110.2 | 112.7 | 111.6 | 108 | 113 | 112.4 | 149.2 |
| X29 | 99.8 | 103.5 | 101.9 | 102 | 85.7 | 85.7 | 100.2 | 94.7 | 95.5 |
| X30 | 105.8 | 101.5 | 108.5 | 111.4 | 111.2 | 114.9 | 116 | 101.1 | 110.4 |
| Defining criteria | 10 | 11 | 12 | 13 | 14 | 15 | 16 | 17 | 18 |
| Latvia | Belgium | Bulgaria | Greece | Austria | Poland | Portugal | Romania | Slovenia | |
| X1 | 2.92 | 4.2 | 3.88 | 2.57 | 4.15 | 3.67 | 4.16 | 4.31 | 3.76 |
| X2 | 18,088.93 | 46,556.10 | 9,272.63 | 20,324.25 | 51,512.91 | 15,424.05 | 23,145.73 | 12,301.19 | 26,234.02 |
| X3 | 15,965.26 | 35,637.57 | 12,755.57 | 24,637.00 | 37.,995.57 | 17,413.65 | 23,647.78 | 14,003.70 | 24,062.48 |
| X4 | 27,701.60 | 46,621.30 | 21,767.60 | 27,795.90 | 50,031.00 | 29,642.20 | 30,487.30 | 24,605.30 | 34,480.00 |
| X5 | 4.39 | 1.87 | 53.52 | 2.5 | 1.76 | 4.37 | 2 | 20.44 | 3.91 |
| X6 | 3 | 1.5 | 2.5 | 0.6 | 1.5 | 2.4 | 0.9 | 4.2 | 1.8 |
| X7 | 11.51 | 7.63 | 10.64 | 15.52 | 5.57 | 11.29 | 8.81 | 6.65 | 6.89 |
| X8 | 6.5 | 5.5 | 4.9 | 17.8 | 5.1 | 3.8 | 6.1 | 4.3 | 4.5 |
| X9 | 41,298.00 | 101,755.00 | 32,833.00 | 70,713.00 | 90,814.00 | 47,982.00 | 58,505.00 | 33,497.00 | 57,058.00 |
| X10 | 62,101.79 | 111,234.55 | 44,353.13 | 71,095.93 | 99,888.18 | 71,218.16 | 65,232.77 | 57,001.93 | 72,911.29 |
| X11 | 28.02 | 101.09 | 29.12 | 140.79 | 73.91 | 47.97 | 92.42 | 29.04 | 46.65 |
| X12 | 36.3 | 101 | 19.2 | 176.6 | 70.7 | 47.8 | 117.6 | 37.4 | 67.1 |
| X13 | 23 | 33 | 51 | 84 | 27 | 51 | 34 | 55 | 44 |
| X14 | 19 | 46 | 61 | 79 | 27 | 40 | 39 | 55 | 37 |
| X15 | 0.77 | 0.88 | 0.75 | 0.82 | 0.86 | 0.8 | 0.8 | 0.75 | 0.84 |
| X16 | 0.85 | 0.92 | 0.82 | 0.87 | 0.91 | 0.87 | 0.85 | 0.82 | 0.9 |
| X17 | 79.41 | 86.48 | 74.69 | 81.59 | 86.43 | 81.1 | 85.33 | 74.33 | 84.76 |
| X18 | 80.42 | 86.77 | 76.17 | 82.48 | 86.4 | 81.25 | 87.12 | 74.81 | 85.8 |
| X19 | 0.76 | 0.84 | 0.71 | 0.73 | 0.77 | 0.79 | 0.68 | 0.7 | 0.82 |
| X20 | 0.87 | 0.89 | 0.81 | 0.83 | 0.87 | 0.87 | 0.76 | 0.76 | 0.89 |
| X21 | 5.57 | 6.93 | 4.51 | 5.2 | 7.18 | 5.95 | 5.27 | 5.59 | 5.92 |
| X22 | 5.94 | 6.92 | 5.01 | 5.29 | 7.25 | 6.18 | 5.69 | 6.07 | 6.12 |
| X23 | 81.1 | 90.7 | 90.4 | 96.6 | 87.3 | 94.9 | 91.4 | 78.7 | 88.5 |
| X24 | 113.2 | 105.5 | 106.3 | 99.1 | 107.1 | 103.7 | 105.4 | 121.4 | 106.3 |
| X25 | 138.8 | 109.2 | 131.3 | 1041.9 | 89.9 | 90.4 | 553.6 | 104.5 | 191.4 |
| X26 | 167.6 | 136.2 | 205.8 | 175.9 | 107 | 138.2 | 245.8 | 109.2 | 136.2 |
| X27 | 94.9 | 101.7 | 83.4 | 286.5 | 97 | 85.5 | 200.5 | 84.7 | 133 |
| X28 | 120.6 | 103 | 88.5 | 74.7 | 115.9 | 116.3 | 100.4 | 86.7 | 116 |
| X29 | 96.9 | 95.3 | 106.4 | 134.5 | 99.7 | 107 | 182.3 | 102.8 | 120.4 |
| X30 | 104.1 | 104.9 | 92.1 | 131.2 | 107.7 | 105.7 | 99.9 | 110.6 | 107.5 |
| Defining criteria | 19 | 20 | 21 | 22 | 23 | 24 | 25 | 26 | 27 |
| Slovakia | Cyprus | Czech Republic | Ireland | Hungary | Croatia | Luxembourg | Italy | Netherlands | |
| X1 | 3.15 | 4.38 | 2.02 | 1.71 | 4.98 | 2.82 | 4.62 | 3.27 | 4.4 |
| X2 | 19,546.90 | 28,159.30 | 23,078.57 | 78,806.43 | 15,938.84 | 14,869.09 | 114,340.50 | 34,318.35 | 53,024.06 |
| X3 | 19,979.43 | 29,844.96 | 23,655.00 | 41,426.35 | 19,634.74 | 17,136.39 | 79,529.57 | 32,216.30 | 39,980.96 |
| X4 | 33,069.90 | 37,172.10 | 35,537.00 | 73,214.70 | 29,558.70 | 24,748.60 | 105,147.60 | 38,233.50 | 53,933.00 |
| X5 | 4.05 | 1.87 | 3.12 | 1.74 | 6.35 | 2.53 | 2.08 | 1.88 | 1.87 |
| X6 | 2.6 | 0.7 | 2.6 | 1.2 | 3.4 | 1 | 1.7 | 0.7 | 2.5 |
| X7 | 13.52 | 7.6 | 6.22 | 8.1 | 7.2 | 16.73 | 4.72 | 9.44 | 4.94 |
| X8 | 6 | 7 | 2.2 | 5.5 | 3.5 | 9 | 5.2 | 10.3 | 3.3 |
| X9 | 53,695.00 | 72,390.00 | 54,439.00 | 103,942.00 | 53,355.00 | 51,526.00 | 140,215.00 | 92,307.00 | 90,424.00 |
| X10 | 76,662.91 | 81,134.22 | 71,002.58 | 149,707.06 | 65,736.31 | 62,514.81 | 142,966.76 | 91,588.91 | 101,949.93 |
| X11 | 44.03 | 74.67 | 32.6 | 61.02 | 68.65 | 56.51 | 15.15 | 115.37 | 54.85 |
| X12 | 48.4 | 96.1 | 31.6 | 60.9 | 67.5 | 71.1 | 21.3 | 133.2 | 49.2 |
| X13 | 39 | 47 | 52 | 14 | 50 | 80 | 57 | 64 | 29 |
| X14 | 45 | 54 | 41 | 24 | 52 | 51 | 72 | 58 | 42 |
| X15 | 0.79 | 0.82 | 0.82 | 0.86 | 0.79 | 0.77 | 0.86 | 0.84 | 0.89 |
| X16 | 0.86 | 0.87 | 0.89 | 0.94 | 0.85 | 0.84 | 0.91 | 0.88 | 0.93 |
| X17 | 79.59 | 81.09 | 83.46 | 87.21 | 79.08 | 78.76 | 86.02 | 85.19 | 88.32 |
| X18 | 80.43 | 83.14 | 84.36 | 87.97 | 78.77 | 79.21 | 87.66 | 85.69 | 88.31 |
| X19 | 0.75 | 0.71 | 0.78 | 0.82 | 0.76 | 0.68 | 0.72 | 0.72 | 0.84 |
| X20 | 0.82 | 0.81 | 0.89 | 0.92 | 0.82 | 0.8 | 0.8 | 0.79 | 0.91 |
| X21 | 6.09 | 5.86 | 6.59 | 6.98 | 5.24 | 5.49 | 6.96 | 6.02 | 7.42 |
| X22 | 6.2 | 6.05 | 6.85 | 7.02 | 5.76 | 5.43 | 7.09 | 6.22 | 7.49 |
| X23 | 89.4 | 91 | 91.9 | 97.7 | 82.1 | 95.5 | 88.6 | 89.8 | 91.2 |
| X24 | 107.8 | 100.6 | 107.2 | 105.4 | 114.4 | 100.3 | 104.8 | 102.2 | 106.5 |
| X25 | 92.7 | 325.6 | 125.7 | 371 | 268.3 | 226.8 | 103.1 | 344.9 | 122.5 |
| X26 | 116.6 | 194 | 127.2 | 223.1 | 302.4 | 168.9 | 137.3 | 127.4 | 129.3 |
| X27 | 94.1 | 188.2 | 99.1 | 183 | 102.2 | 131.3 | 102 | 134.8 | 108.3 |
| X28 | 99.8 | 180.7 | 106.5 | 147.2 | 127.5 | 110.3 | 108.7 | 101.1 | 125.8 |
| X29 | 99.6 | 138.5 | 103.7 | 127.8 | 109 | 113.7 | 104.1 | 116.5 | 123.2 |
| X30 | 107.2 | 138 | 99 | 138.6 | 117.1 | 107.6 | 107.1 | 98 | 106.4 |
References
- Paik, I.; Na, S. Evaluation of Carbon Dioxide Emissions amongst Alternative Slab Systems during the Construction Phase in a Building Project. Appl. Sci. (Basel) 2019, 9, 4333. [Google Scholar] [CrossRef]
- Morkunaite, Z.; Kalibatas, D.; Kalibatiene, D. A bibliometric data analysis of multi-criteria decision making methods in heritage buildings. J. Civ. Eng. Manag. 2019, 25, 76–99. [Google Scholar] [CrossRef]
- Wu, P.; Song, Y.; Zhu, J.; Chang, R. Analyzing the influence factors of the carbon emissions from China’s building and construction industry from 2000 to 2015. J. Clean. Prod. 2019, 221, 552–566. [Google Scholar] [CrossRef]
- Tetik, M.; Peltokorpi, A.; Seppänen, O.; Holmström, J. Direct digital construction: Technology-based operations management practice for continuous improvement of construction industry performance. Autom. Constr. 2019, 107, 102910. [Google Scholar] [CrossRef]
- Chowdhury, T.; Adafin, J.; Wilkinson, S. Review of digital technologies to improve productivity of New Zealand construction industry. J. Inf. Technol. Constr. (ITcon) 2019, 24, 569–587. [Google Scholar]
- Xu, X.; Wang, Y.; Tao, L. Comprehensive evaluation of sustainable development of regional construction industry in China. J. Clean. Prod. 2019, 211, 1078–1087. [Google Scholar] [CrossRef]
- Fang, Q.; Chen, L.; Zeng, D.; Zhang, L. Drivers of Professional Service Model Innovation in the Chinese Construction industry. Sustainability 2019, 11, 941. [Google Scholar] [CrossRef]
- Bahramian, M.; Yetilmezsoy, K. Life cycle assessment of the building industry: An overview of two decades of research (1995–2018). Energy Build. 2020, 219, 109917. [Google Scholar] [CrossRef]
- Hong, T.; Wang, Z.; Luo, X.; Zhang, W. State-of-the-art on research and applications of machine learning in the building life cycle. Energy Build. 2020, 212, 109831. [Google Scholar] [CrossRef]
- Mourão, J.; Gomes, R.; Matias, L.; Niza, S. Combining embodied and operational energy in buildings refurbishment assessment. Energy Build. 2019, 197, 34–46. [Google Scholar] [CrossRef]
- Gluch, P.; Gustafsson, M.; Baumann, H.; Lindahl, G. From tool-making to tool-using and back: Rationales for adoption and use of LCC. Int. J. Strateg. Prop. Manag. 2018, 22, 179–190. [Google Scholar] [CrossRef]
- Succar, B.; Poirier, E. Lifecycle information transformation and exchange for delivering and managing digital and physical assets. Autom. Constr. 2020, 112, 103090. [Google Scholar] [CrossRef]
- Ozturk, G.B. Interoperability in building information modeling for AECO/FM industry. Autom. Constr. 2020, 113, 103122. [Google Scholar] [CrossRef]
- Muller, M.F.; Esmanioto, F.; Huber, N.; Loures, E.R.; Junior, O.C. A systematic literature review of interoperability in the green building information modeling lifecycle. J. Clean. Prod. 2019, 223, 397–412. [Google Scholar] [CrossRef]
- Santos, R.; Costa, A.A.; Silvestre, J.D.; Vandenbergh, T.; Pyl, L. BIM-based life cycle assessment and life cycle costing of an office building in Western Europe. Build. Environ. 2020, 169, 106568. [Google Scholar] [CrossRef]
- Orgut, R.E.; Batouli, M.; Zhu, J.; Mostafavi, A.; Jaselskis, E.J. Critical Factors for Improving Reliability of Project Control Metrics throughout Project Life Cycle. J. Manag. Eng. 2020, 36, 04019033. [Google Scholar] [CrossRef]
- Kotb, M.H.; Aly, A.S.; Muhammad, E.K.M.A. Risk Assessment of Time and Cost Overrun Factors throughout Construction Project Lifecycle. Life Sci. J. 2019, 16, 78–91. [Google Scholar] [CrossRef]
- Janjua, S.; Sarker, P.; Biswas, W. Sustainability Assessment of a Residential Building using a Life Cycle Assessment Approach. Chem. Eng. Trans. 2019, 72, 19–24. [Google Scholar]
- Noktehdan, M.; Shahbazpour, M.; Zare, M.R.; Wilkinson, S. Innovation Management and Construction Phases in Infrastructure Projects. J. Constr. Eng. Manag. 2019, 145, 04018135. [Google Scholar] [CrossRef]
- Tupenaite, L.; Kaklauskas, A.; Voitov, I.; Trinkunas, V.; Siniak, N.; Gudauskas, R.; Naimaviciene, J.; Kanapeckiene, L. Multiple criteria assessment of apartment building performance for refurbishment purposes. Int. J. Strateg. Prop. Manag. 2018, 22, 236–251. [Google Scholar] [CrossRef]
- Kaklauskas, A. Analysis of the Life Cycle of a Built Environment: Monograph; Nova Science Publishers, Incorporated: Hauppauge, NY, USA, 2016; Available online: http://iti.vgtu.lt/ceneast/Media/Default/Documents/books/Textbook_Analysis_of_the_life_cycle_of_the_built_environment.pdf (accessed on 15 March 2020).
- Knight, K.W.; Rosa, E.A.; Schor, J.B. Could working less reduce pressures on the environment? A cross-national panel analysis of OECD countries, 1970–2007. Glob. Environ. Chang. 2013, 23, 691–700. [Google Scholar] [CrossRef]
- Corrigan, G.; Crotti, R.; Hanouz, M.D.; Serin, C.; Drzeniek Hanouz, M.; Serin, C. Assessing progress toward sustainable competitiveness. In The Global Competitiveness Report 2014–2015; World Economic Forum: Cologny, Switzerland, 2014; Chapter 1.2; pp. 53–83. [Google Scholar]
- Piketty, T.; Goldhammer, A. Capital in the Twenty-First Century; The Belknap Press of Harvard University Press: Cambridge MA, USA, 2014. [Google Scholar]
- Alwan, Z.; Jones, P.; Holgate, P. Strategic sustainable development in the UK construction industry, through the framework for strategic sustainable development, using Building Information Modelling. J. Clean. Prod. 2017, 140, 349–358. [Google Scholar] [CrossRef]
- Ambec, S.; Cohen, M.A.; Elgie, S.; Lanoie, P.; Canada, B.; Chabot, R.; Thornton, G. The porter hypothesis at 20: Can environmental regulation enhance innovation and competitiveness? Rev. Environ. Econ. Policy 2013, 7, 2–22. [Google Scholar] [CrossRef]
- Ortiz, O.; Castells, F.; Sonnemann, G. Sustainability in the construction industry: A review of recent developments based on LCA. Constr. Build. Mater. 2009, 23, 28–39. [Google Scholar] [CrossRef]
- Yılmaz, M.; Bakış, A. Sustainability in Construction Sector. Procedia Soc. Behav. Sci. 2015, 195, 2253–2262. [Google Scholar] [CrossRef]
- Doyle, E.; Alaniz, M.P. Dichotomous impacts on social and environmental sustainability: Competitiveness and development levels matter. Compet. Rev. Int. Bus. J. 2020, in press. [Google Scholar] [CrossRef]
- Hayden, A.; Shandra, J.M. Hours of work and the ecological footprint of nations: An exploratory analysis. Local Environ. 2009, 14, 575–600. [Google Scholar] [CrossRef]
- Liu, L.; Lei, Y. Dynamic changes of the ecological footprint in the Beijing-Tianjin-Hebei region from 1996 to 2020. Ecol. Indic. 2020, 112, 106142. [Google Scholar] [CrossRef]
- Shujah-ur-Rahman; Chen, S.S.; Saud, S.; Saleem, N.; Bari, M.W. Nexus between financial development, energy consumption, income level, and ecological footprint in CEE countries: Do human capital and biocapacity matter? Environ. Sci. Pollut. Res. 2019, 26, 31856–31872. [Google Scholar] [CrossRef]
- Toth, G.; Szigeti, C. The historical ecological footprint: From over-population to over-consumption. Ecol. Indic. 2016, 60, 283–291. [Google Scholar] [CrossRef]
- Al-Mulali, U.; Weng-Wai, C.; Sheau-Ting, L.; Mohammed, A.H. Investigating the environmental Kuznets curve (EKC) hypothesis by utilizing the ecological footprint as an indicator of environmental degradation. Ecol. Indic. 2015, 48, 315–323. [Google Scholar] [CrossRef]
- Tektüfekçi, F.; Kutay, N. The Relationship between EPI and GDP Growth: An Examination on Developed and Emerging Countries. J. Mod. Account. Audit. 2016, 12, 268–276. [Google Scholar] [CrossRef]
- Hsu, A.; Lloyd, A.; Emerson, J.W. What progress have we made since Rio? Results from the 2012 Environmental Performance Index (EPI) and Pilot Trend EPI. Environ. Sci. Policy 2013, 33, 171–185. [Google Scholar] [CrossRef]
- Sineviciene, L.; Kubatko, O.; Derykolenko, O.; Kubatko, O. The impact of economic performance on environmental quality in developing countries. Int. J. Environ. Technol. Manag. 2018, 21, 222–237. [Google Scholar] [CrossRef]
- Bernard, J.; Mandal, S.K. The impact of trade openness on environmental quality: An empirical analysis of emerging and developing economies. WIT Trans. Ecol. Environ. 2016, 203, 195–208. [Google Scholar]
- Kaklauskas, A.; Herrera-Viedma, E.; Echenique, V.; Zavadskas, E.K.; Ubarte, I.; Mostert, A.; Podvezko, V.; Binkyte, A.; Podviezko, A. Multiple criteria analysis of environmental sustainability and quality of life in post-Soviet states. Ecol. Indic. 2018, 89, 781–807. [Google Scholar] [CrossRef]
- United Nations. Industry and environment. In Sustainable Building and Construction Initiative: Information Note; UNEP, Division of Technology, Industry and Economics: Paris, France, 2003; Volume 26, Available online: http://www.uneptie.org/pc/pc/SBCI/SBCI_2006_InformationNote.pdf (accessed on 1 April 2020).
- Wallbaum, H.; Buerkin, C. Concepts and instruments for a sustainable construction sector. Ind. Environ. 2003, 26, 53–57. [Google Scholar]
- Dobson, D.W.; Sourani, A.; Sertyesilisik, B.; Tunstall, A. Sustainable construction: Analysis of its costs and benefits. Am. J. Civ. Eng. Archit. 2013, 1, 32–38. [Google Scholar]
- Akadiri, P.O.; Fadiya, O.O. Empirical analysis of the determinants of environmentally sustainable practices in the UK construction industry. Constr. Innov. 2013, 13, 352–373. [Google Scholar] [CrossRef]
- Rohracher, H. Managing the technological transition to sustainable construction of buildings: A socio-technical perspective. Technol. Anal. Strateg. Manag. 2001, 13, 137–150. [Google Scholar] [CrossRef]
- de Bruin, Y.B.; Koistinen, K.; Kephalopoulos, S.; Geiss, O.; Tirendi, S.; Kotzias, D. Characterisation of urban inhalation exposures to benzene, formaldehyde and acetaldehyde in the European Union. Environ. Sci. Pollut. Res. 2008, 15, 417–430. [Google Scholar] [CrossRef] [PubMed]
- EU 2020 Target for Energy Efficiency. 2014. Available online: https://ec.europa.eu/energy/en/topics/energy-efficiency/targets-directive-and-rules/eu-targets-energy-efficiency (accessed on 5 January 2020).
- Kotler, P.; Gertner, D. Country as brand, product, and beyond: A place marketing and brand management perspective. J. Brand Manag. 2002, 9, 249–261. [Google Scholar] [CrossRef]
- Saeed, S.A. Creating a country brand identity: A Review of Literature. Pak. Bus. Rev. 2018, 20, 91–98. [Google Scholar]
- Herz, M.F.; Diamantopoulos, A. Activation of country stereotypes: Automaticity, consonance, and impact. J. Acad. Mark. Sci. 2013, 41, 400–417. [Google Scholar] [CrossRef]
- Saridakis, C.; Baltas, G. Modeling price-related consequences of the brand origin cue: An empirical examination of the automobile market. Mark. Lett. 2016, 27, 77–87. [Google Scholar] [CrossRef]
- Maheswaran, D.; Chen, C.Y. Nation equity: Country-of-origin effects and globalization. Handb. Int. Mark. 2009, 91–113. [Google Scholar] [CrossRef]
- Lumb, R.; Lall, V. Perception of the Quality of Products Made in India by Consumers from the United States: A Longitudinal Analysis. Indian J. Econ. Bus. 2006, 47. [Google Scholar]
- Aichner, T. Country-of-origin marketing: A list of typical strategies with examples. J. Brand Manag. 2014, 21, 81–93. [Google Scholar] [CrossRef]
- Pappu, R.; Quester, P.G.; Cooksey, R.W. Country image and consumer-based brand equity: Relationships and implications for international marketing. J. Int. Bus. Stud. 2007, 38, 726–745. [Google Scholar] [CrossRef]
- Roth, K.P.Z.; Diamantopoulos, A.; Montesinos, M.Á. Home country image, country brand equity and consumers’ product preferences: An empirical study. Manag. Int. Rev. 2008, 48, 577–602. [Google Scholar] [CrossRef]
- Elliot, S.; Papadopoulos, N. Of products and tourism destinations: An integrative, cross-national study of place image. J. Bus. Res. 2016, 69, 1157–1165. [Google Scholar] [CrossRef]
- Kaklauskas, A. Degree of Project Utility and Investment Value Assessments. Int. J. Comput. Commun. Control 2016, 11, 666–683. [Google Scholar] [CrossRef]
- Zavadskas, E.K.; Kaklauskas, A.; Sarka, V. The new method of multicriteria complex proportional assessment of projects. Technol. Econ. Dev. Econ. 1994, 1, 131–139. [Google Scholar]
- Marx, H.J. Outcomes of the 2014 Survey of the CIDB Construction Industry Indicators. 2014. Available online: http://www.cidb.org.za/papers/Documents/Construction%20Industry%20Indicators%20-%202014%20Survey%20Outcomes%20-%20Full%20Report.pdf (accessed on 1 April 2020).
- Zhang, P.; London, K. A Comparative Evaluation of Construction Industry International Performance between China and United States Using the International Advanced Index. In Management of Construction: Analysis to Practice, Proceedings of the Joint CIB International Symposium of W055, W065, W089, W118, TG76, TG78, TG81 and TG84 (CIB 2012), Montreal, QC, Canada, 26–29 June 2012; In-House Publishing: Brisbane, Australia, 2012; pp. 25–36. [Google Scholar]
- Zhou, Q. Advances in Applied Economics, Business and Creation: International Symposium, Proceedings of the ISAEBD 2011, Dalian, China, 6–7 August 2011; Part 2; Springer Science & Business Media: Berlin, Germany, 2011. [Google Scholar]
- Meikle, J.L.; Grilli, M.T. Measuring European Construction Output: Problems and Possible Solutions. 1999. Available online: http://citeseerx.ist.psu.edu/viewdoc/download?doi=10.1.1.201.-4682&rep=rep1&type=pdf (accessed on 1 April 2020).
- Šaparauskas, J. The key aspects of sustainability evaluation in construction. In Proceedings of the 9th International Conference on Modern Building Materials, Structures and Techniques, Vilnius, Lithuania, 16–18 May 2007. [Google Scholar]
- Sultan, B.; Kajewski, S. The behaviour of construction costs and affordability in developing countries: A yemen case study. In Proceedings of the Joint International Symposium on Knowledge Construction of CIB Working Commissions W55, W65 and W107, Singapore, 22–24 October 2003. [Google Scholar]
- Deloitte Real Estate. European Construction Monitor, 2015–2016: PE Firms Aim for European Construction Market. 2016. Available online: https://www2.deloitte.com/content/dam/Deloitte/glo-bal/Documents/About-Deloitte/gx-real-est-construction-monitor.pdf (accessed on 11 March 2020).
- Building Radar. Construction Industry in Europe. 2016. Available online: https://buildingradar.com/construction-blog/construction-industry-europe/ (accessed on 11 March 2020).
- European Foundation for the Improvement of Living and Working Conditions. Trends and Drivers of Change in the European Construction Sector: Mapping Report. 2005. Available online: http://www.certificazione.unimore.it/site/home/documento124000637.html (accessed on 1 April 2020).
- European Commission. European Construction Sector Observatory, Country Profile France; European Commision: Brussels, Belgium, 2018. [Google Scholar]
- Olanrewaju, A.L.; Abdul-Aziz, A.R. Building Maintenance Processes, Principles, Procedures, Practices and Strategies. In Building Maintenance Processes and Practices; Springer: Singapore, 2015; pp. 79–129. [Google Scholar]
- Nazarko, J.; Chodakowskaa, E. Measuring productivity of construction industry in Europe with Data Envelopment Evaluation. Procedia Eng. 2015, 122, 204–212. [Google Scholar] [CrossRef]
- United Nations Development Programme. Human Development Reports, Education Index, Gender Inequeality. 2019. Available online: http://hdr.undp.org/en/data (accessed on 5 January 2020).
- The World Bank Group. GDP Growth (Annual %). 2019. Available online: https://data.worldbank.org/indicator/ny.gdp.mktp.kd.zg (accessed on 10 February 2020).
- The World Bank Group. GDP Per Capita (Current US$). 2019. Available online: https://data.worldbank.org/indicator/NY.GDP.PCAP.CD (accessed on 10 February 2020).
- CountryEconomy.com. Gross Domestic Product. 2020. Available online: https://countryeconomy.com/gdp (accessed on 5 January 2017).
- Trading Economics. GDP Growth Rate, GDP Per Capita, GDP per Capita PPP. 2020. Available online: https://tradingeconomics.com/ (accessed on 5 January 2020).
- The World Bank Group. GDP per Capita, PPP (Current International $). 2019. Available online: https://data.worldbank.org/indicator/NY.GDP.PCAP.PP.CD (accessed on 10 February 2020).
- StatisticsTimes.com. List of Countries by GDP (PPP) per Capita. 2020. Available online: http://statisticstimes.com/economy/countries-by-gdp-capita-ppp.php (accessed on 10 February 2020).
- The World Bank Group. Inflation, Consumer Prices (Annual %). 2019. Available online: https://data.worldbank.org/indicator/FP.CPI.TOTL.ZG?locations=AT (accessed on 5 March 2020).
- The World Bank Group. Unemployment, Total. 2019. Available online: https://data.worldbank.org/indicator/sl.uem.totl.zs (accessed on 10 February 2020).
- Global Economy. Unemployment Rate—Country Rankings. 2020. Available online: http://www.theglobaleconomy.com/rankings/Unemployment_rate/ (accessed on 5 January 2020).
- The World Bank Group. Doing Business Reports. 2019. Available online: https://www.doingbusiness.org/en/reports/global-reports/doing-business-2020 (accessed on 5 April 2020).
- Conference Board. The Conference Board Total Economy Database™. November 2018. Available online: https://www.conference-board.org/data/economydatabase/index.cfm?id=30565 (accessed on 5 January 2020).
- CountryEconomy.com. General Government Gross Debt. 2020. Available online: http://countryeconomy.com/national-debt (accessed on 10 February 2020).
- IMF. Debt % of GDP. 2019. Available online: https://www.imf.org/external/datamapper/DEBT1@DEBT/OEMDC/ADVEC/WEOWORLD (accessed on 10 February 2020).
- Central Intelligent Agency. Public Debt. 2020. Available online: https://www.cia.gov/library/publications/the-world-factbook/rankorder/2186rank.html (accessed on 10 February 2020).
- World Happiness Report. 2020. Available online: https://worldhappiness.report/ (accessed on 5 January 2020).
- Social Progress Index. 2014. Available online: https://www2.deloitte.com/content/dam/Deloitte/cr/Documents/public-sector/2014-Social-Progress-IndexRepIMP.pdf (accessed on 10 February 2020).
- Social Progress Index. 2015. Available online: https://progresosocial.org.gt/wp-content/uploads/2015/04/2015-Methodology-Report.pdf (accessed on 10 February 2020).
- Social Progress Index. 2016. Available online: https://www2.deloitte.com/content/dam/Deloitte/mx/Documents/about-deloitte/Social-Progress-Index-2016-Report.pdf (accessed on 10 February 2020).
- Social Progress Index. 2017. Available online: https://www2.deloitte.com/content/dam/Deloitte/de/Documents/public-sector/Social-Progress-Index-Findings-Report-SPI-2017.pdf (accessed on 10 February 2020).
- Social Progress Index. 2018. Available online: https://www.socialprogress.org/assets/downloads/resources/2018/2018-Social-Progress-Index-Exec-Summary.pdf (accessed on 10 February 2020).
- Social Progress Index. 2019. Available online: https://www.socialprogress.org/assets/downloads/resources/2019/2019-Social-Progress-Index-executive-summary-v2.0.pdf (accessed on 10 February 2020).
- Eurostat.eu. Construction Cost (or Producer Prices), New Residential Buildings—Annual Data. 2020. Available online: http://appsso.eurostat.ec.europa.eu/nui/show.do?dataset=sts_copi_a&lang=en (accessed on 5 January 2020).
- Eurostat.eu. Building Permits—Annual Data. 2020. Available online: http://appsso.eurostat.ec.europa.eu/nui/show.do?dataset=sts_cobp_a&lang=en (accessed on 5 January 2020).
- Eurostat.eu. Production in Construction—Annual Data. 2020. Available online: https://appsso.eurostat.ec.europa.eu/nui/show.do?dataset=sts_copr_a&lang=en (accessed on 5 January 2020).
- Eurostat.eu. Labour Input in Construction—Annual Data. 2020. Available online: https://appsso.eurostat.ec.europa.eu/nui/show.do?dataset=sts_colb_a&lang=en (accessed on 5 January 2020).
- The World Bank Group. Life Expectancy at Birth. 2017. Available online: https://data.worldbank.org/indicator/SP.DYN.LE00.IN?end=2017&start=1990 (accessed on 5 January 2020).
- Eurostat.eu. Distribution of Population by Tenure Status, Type of Household and Income Group—EU-SILC Survey. 2018. Available online: https://appsso.eurostat.ec.europa.eu/nui/submitViewTableAction.do (accessed on 5 January 2020).
- Transparency.org. Corruption Perceptions Index. 2020. Available online: https://www.transparency.org/cpi2019?/news/feature/cpi-2019 (accessed on 5 January 2020).
- Numbeo.com. Quality of Life. 2019. Available online: https://www.numbeo.com/quality-of-life/rankings_by_country.jsp?title=2019 (accessed on 5 January 2020).
- Gilbert, A. Rental housing: The international experience. Habitat Int. 2016, 54, 173–181. [Google Scholar] [CrossRef]
- Oecd.org. Real House Prices, Nominal House Prices. 2019. Available online: https://data.oecd.org/price/housing-prices.htm (accessed on 5 January 2020).
- Numbeo.com. Price to Rent Ratio. 2020. Available online: https://www.numbeo.com/property-investment/rankings.jsp (accessed on 5 January 2020).
- Eurostat.eu. House Price Index—Annual Data. 2020. Available online: https://ec.europa.eu/eurostat/databrowser/view/tipsho20/default/table?lang=en (accessed on 5 January 2020).
- Kock, F.; Josiassen, A.; Assaf, A.G. Toward a Universal Account of Country-Induced Predispositions: Integrative Framework and Measurement of Country-of-Origin Images and Country Emotions. J. Int. Mark. 2019, 27, 43–59. [Google Scholar] [CrossRef]
© 2020 by the authors. Licensee MDPI, Basel, Switzerland. This article is an open access article distributed under the terms and conditions of the Creative Commons Attribution (CC BY) license (http://creativecommons.org/licenses/by/4.0/).








