Multiple Fractional Solutions for Magnetic Bio-Nanofluid Using Oldroyd-B Model in a Porous Medium with Ramped Wall Heating and Variable Velocity
Abstract
1. Introduction
2. Mathematical Modelling
3. Derivation of Fractional Model for Blood–Gold Nanofluid
4. Solutions to the Problem
4.1. Solution Temperature Field Based on Caputo Fractional Derivative
4.2. Solution for Temperature Field Based on CF Fractional Derivative
4.3. Solution for Temperature Field Based on ABC Fractional Derivative
4.4. Solutions for Velocity Field Based on Caputo Fractional Derivative
4.5. Solutions for Velocity Field Based on CF Fractional Derivative
4.6. Solutions for Velocity Field Based on Atangana–Baleanu–Caputo Fractional Derivative
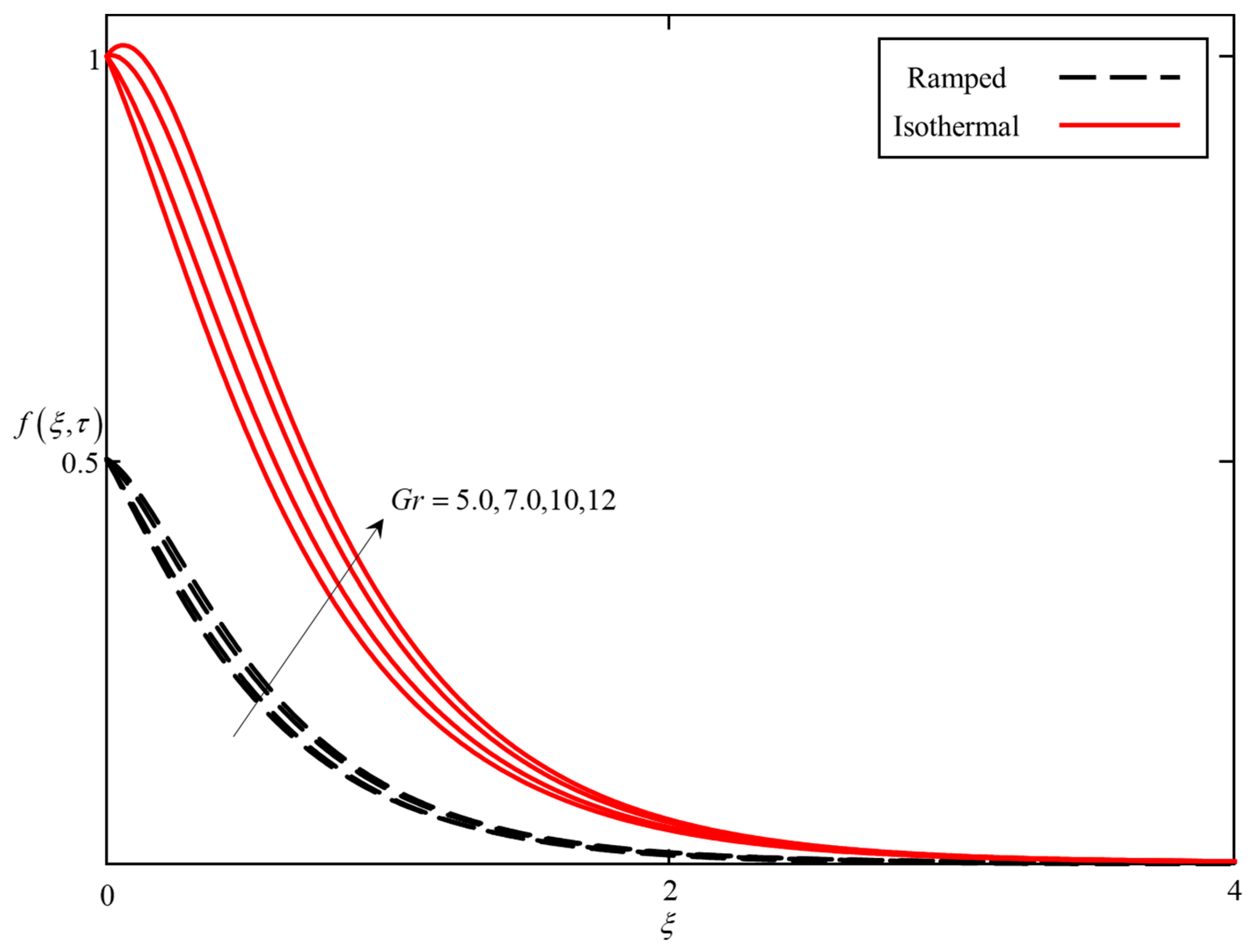
5. Results and Discussion
6. Conclusion
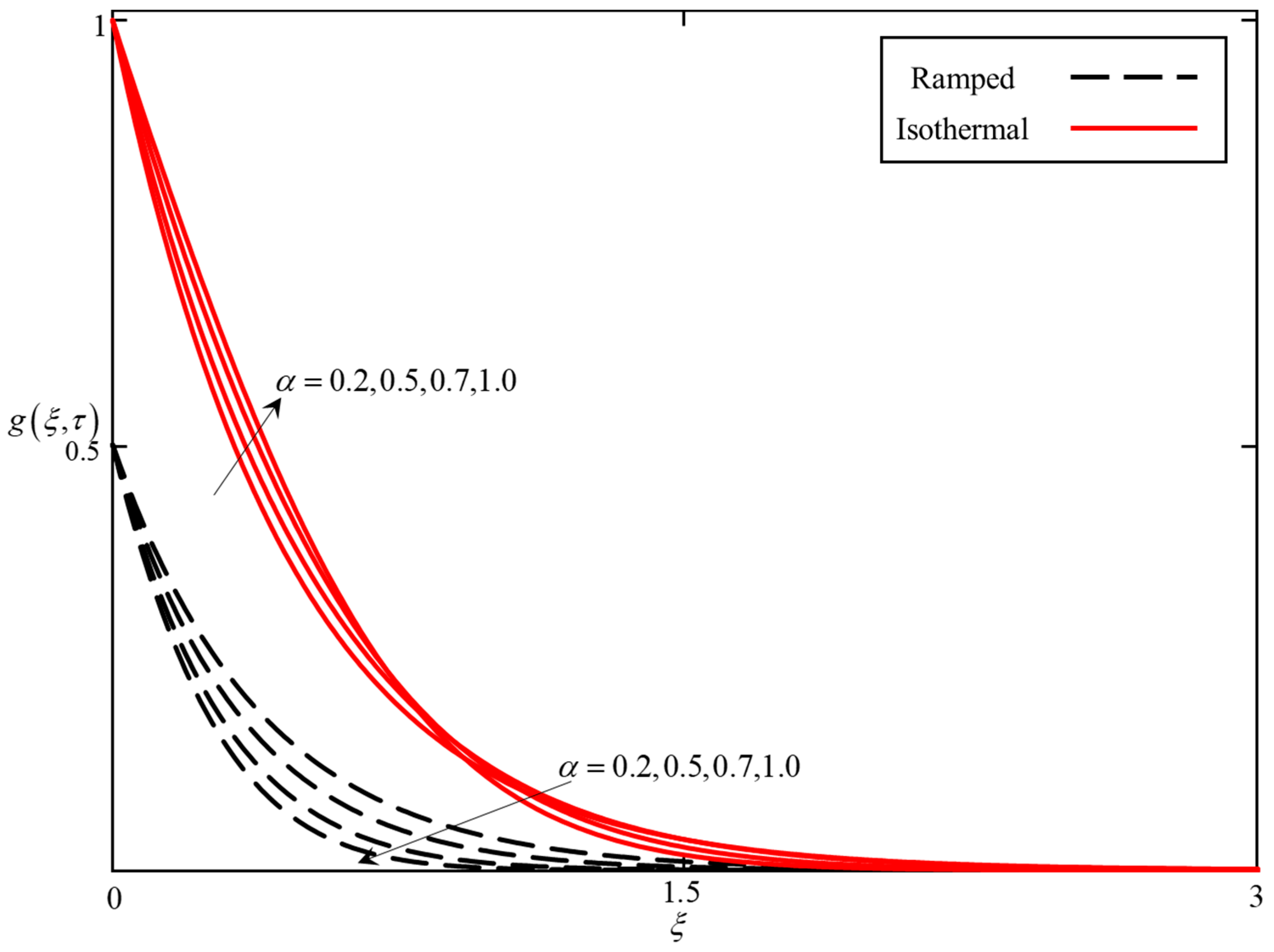
- For ramped temperature, the temperature field is higher for the ABC derivative followed by the CF and Caputo fractional derivatives, whereas, for isothermal temperature, the temperature field for the Caputo fractional derivative is higher than the CF and ABC, respectively.
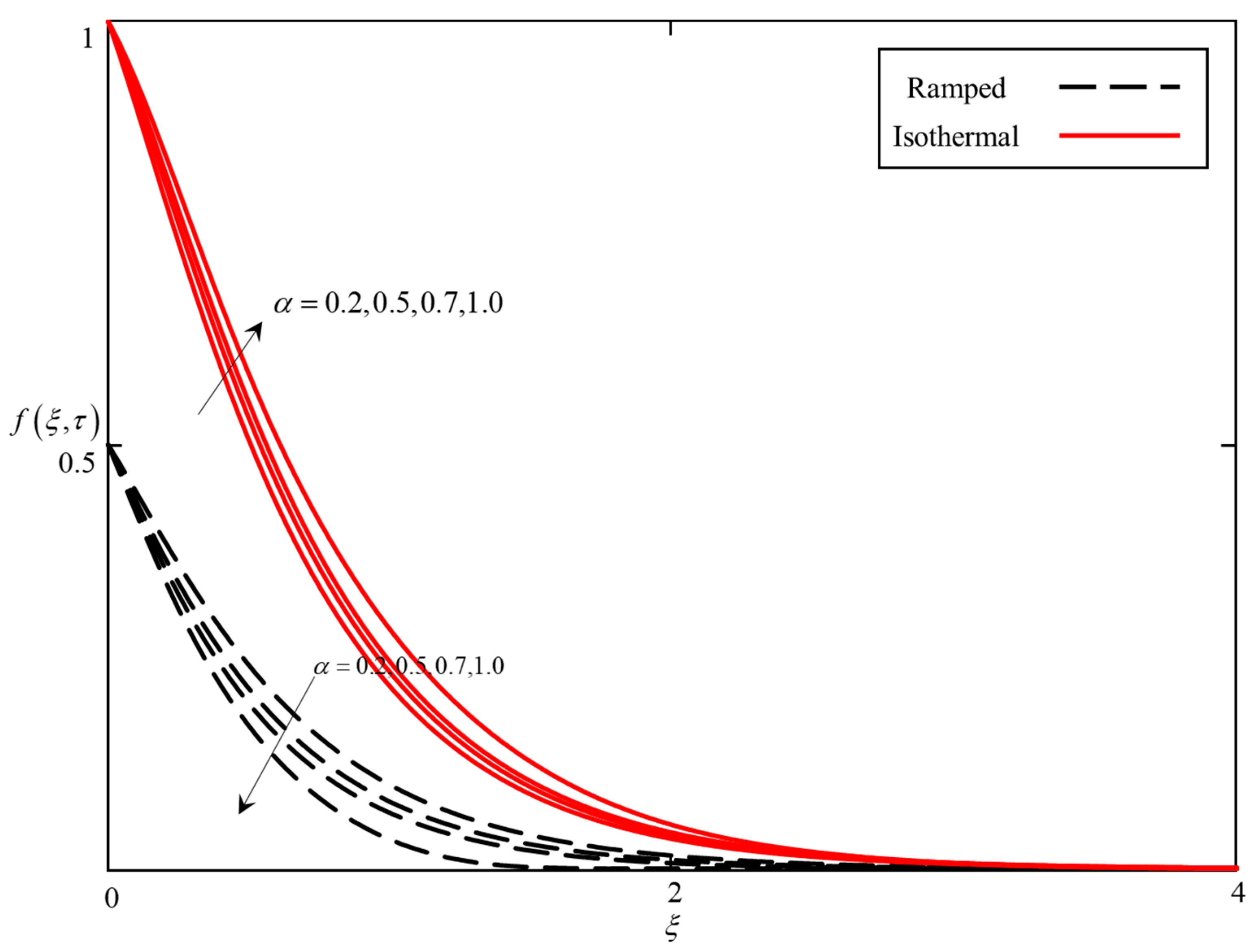
- The velocity field for the ABC derivative is higher than the CF and Caputo fractional derivatives in a ramped velocity case. However, this trend reverses in case of an isothermal velocity case.
- An increase in α results in a reduction of the thickness of the temperature and velocity boundary layer. Consequently, a decrease in the temperature and velocity fields is observed.
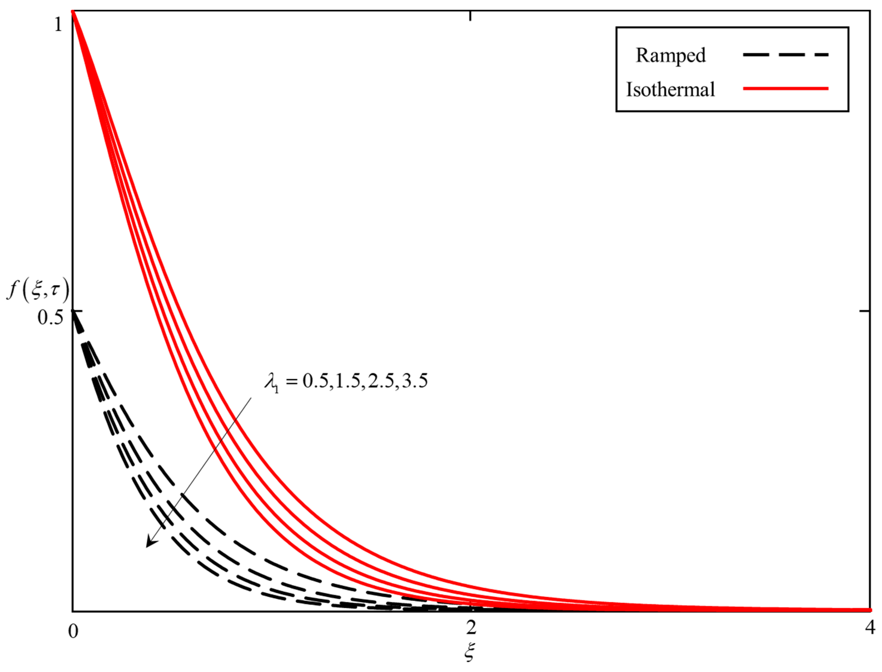
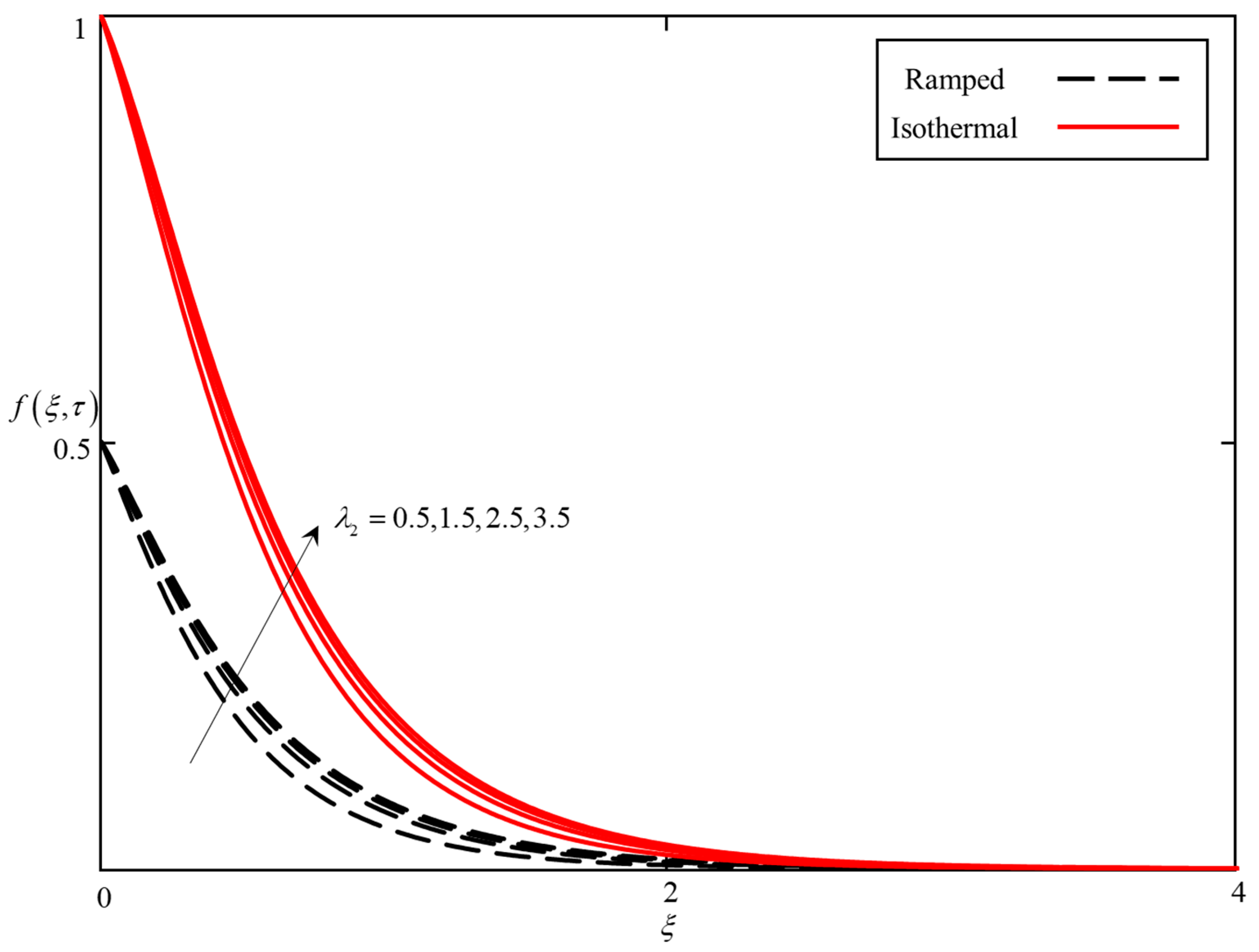
- It was found that the temperature field increases with increasing , and the velocity decreases with increasing .
- The effect of and on the velocity field is reversible.
- An enhance in M leads to an enhancement in the Lorentz forces, which retarded the velocity, whereas increasing K and Gr increases the velocity field.
Author Contributions
Funding
Acknowledgments
Conflicts of Interest
References
- Franconi, C. Hyperthermia heating technology and devices. In Physics and Technology of Hyperthermia; Springer: Berlin/Heidelberg, Germany, 1987; pp. 80–122. [Google Scholar]
- Saqib, M.; Khan, I.; Shafie, S. Generalized magnetic blood flow in a cylindrical tube with magnetite dusty particles. J. Magn. Magn. Mater. 2019, 484, 490–496. [Google Scholar] [CrossRef]
- Ebaid, A.; Aljohani, A.F.; Aly, E.H. Homotopy perturbation method for peristaltic motion of gold-blood nanofluid with heat source. Int. J. Numer. Methods Heat Fluid Flow 2019, 30, 3121–3138. [Google Scholar] [CrossRef]
- Lin, W.L.; Yen, J.Y.; Chen, Y.Y.; Jin, K.W.; Shieh, M.J. Relationship between acoustic aperture size and tumor conditions for external ultrasound hyperthermia. Med. Phys. 1999, 26, 818–824. [Google Scholar] [CrossRef] [PubMed]
- Misra, J.; Shit, G. Biomagnetic viscoelastic fluid flow over a stretching sheet. Appl. Math. Comput. 2009, 210, 350–361. [Google Scholar] [CrossRef]
- Choi, S.U.; Eastman, J.A. Enhancing Thermal Conductivity of Fluids with Nanoparticles; Argonne National Lab.: Lemont, IL, USA, 1995; pp. 99–105.
- Shah, Z.; Islam, S.; Ayaz, H.; Khan, S. Radiative heat and mass transfer analysis of micropolar nanofluid flow of Casson fluid between two rotating parallel plates with effects of Hall current. J. Heat Transf. 2019, 141, 022401. [Google Scholar] [CrossRef]
- Hsiao, K.-L. Micropolar nanofluid flow with MHD and viscous dissipation effects towards a stretching sheet with multimedia feature. Int. J. Heat Mass Transf. 2017, 112, 983–990. [Google Scholar] [CrossRef]
- Lu, D.; Ramzan, M.; Ahmad, S.; Chung, J.D.; Farooq, U. A numerical treatment of MHD radiative flow of Micropolar nanofluid with homogeneous-heterogeneous reactions past a nonlinear stretched surface. Sci. Rep. 2018, 8, 1–17. [Google Scholar] [CrossRef] [PubMed]
- Zubair, M.; Shah, Z.; Islam, S.; Khan, W.; Dawar, A. Study of Three dimensional Darcy–Forchheimer squeezing nanofluid flow with Cattaneo–Christov heat flux based on four different types of nanoparticles through entropy generation analysis. Adv. Mech. Eng. 2019, 11, 1687814019851308. [Google Scholar] [CrossRef]
- Mebarek-Oudina, F.; Bessaïh, R. Numerical simulation of natural convection heat transfer of copper-water nanofluid in a vertical cylindrical annulus with heat sources. Thermophys. Aeromech. 2019, 26, 325–334. [Google Scholar] [CrossRef]
- Hatami, M.; Hatami, J.; Ganji, D.D. Computer simulation of MHD blood conveying gold nanoparticles as a third grade non-Newtonian nanofluid in a hollow porous vessel. Comput. Methods Programs Biomed. 2014, 113, 632–641. [Google Scholar] [CrossRef]
- Tzirtzilakis, E. A mathematical model for blood flow in magnetic field. Phys. Fluids 2005, 17, 077103. [Google Scholar] [CrossRef]
- Papadopoulos, P.; Tzirtzilakis, E. Biomagnetic flow in a curved square duct under the influence of an applied magnetic field. Phys. Fluids 2004, 16, 2952–2962. [Google Scholar] [CrossRef]
- Misra, J.; Ghosh, S. A mathematical model for the study of blood flow through a channel with permeable walls. Acta Mech. 1997, 122, 137–153. [Google Scholar] [CrossRef]
- Misra, J.; Sinha, A.; Shit, G. A numerical model for the magnetohydrodynamic flow of blood in a porous channel. J. Mech. Med. Biol. 2011, 11, 547–562. [Google Scholar] [CrossRef]
- Srinivas, S.; Vijayalakshmi, A.; Reddy, A.S. Flow and heat transfer of gold-blood nanofluid in a porous channel with moving/stationary walls. J. Mech. 2017, 33, 395–404. [Google Scholar] [CrossRef]
- Caputo, M. Linear models of dissipation whose Q is almost frequency independent—II. Geophys. J. Int. 1967, 13, 529–539. [Google Scholar] [CrossRef]
- Caputo, M.; Fabrizio, M. A new definition of fractional derivative without singular kernel. Progr. Fract. Differ. Appl. 2015, 1, 1–13. [Google Scholar]
- Atangana, A.; Baleanu, D. New fractional derivatives with nonlocal and non-singular kernel: Theory and application to heat transfer model. Therm. Sci. 2016, 2016, 763–769. [Google Scholar] [CrossRef]
- Khader, M.; Saad, K. A numerical approach for solving the fractional Fisher equation using Chebyshev spectral collocation method. Chaos Solitons Fractals 2018, 110, 169–177. [Google Scholar] [CrossRef]
- Saad, K.; Khader, M.; Gómez-Aguilar, J.; Baleanu, D. Numerical solutions of the fractional Fisher’s type equations with Atangana-Baleanu fractional derivative by using spectral collocation methods. Chaos Interdiscip. J. Nonlinear Sci. 2019, 29, 023116. [Google Scholar] [CrossRef]
- Jan, R.; Khan, M.A.; Kumam, P.; Thounthong, P. Modeling the transmission of dengue infection through fractional derivatives. Chaos Solitons Fractals 2019, 127, 189–216. [Google Scholar] [CrossRef]
- Gómez-Aguilar, J.; Atangana, A. New insight in fractional differentiation: Power, exponential decay and Mittag-Leffler laws and applications. Eur. Phys. J. Plus 2017, 132, 13. [Google Scholar] [CrossRef]
- Atangana, A.; Gómez-Aguilar, J. A new derivative with normal distribution kernel: Theory, methods and applications. Phys. A Stat. Mech. Its Appl. 2017, 476, 1–14. [Google Scholar] [CrossRef]
- Ali, F.; Saqib, M.; Khan, I.; Sheikh, N.A. Application of Caputo-Fabrizio derivatives to MHD free convection flow of generalized Walters’-B fluid model. Eur. Phys. J. Plus 2016, 131, 377. [Google Scholar] [CrossRef]
- Fetecau, C.; Fetecau, C. The first problem of Stokes for an Oldroyd-B fluid. Int. J. Non-Linear Mech. 2003, 38, 1539–1544. [Google Scholar] [CrossRef]
- Saqib, M.; Khan, I.; Shafie, S.; Qushairi, A. Recent Advancement in Thermophysical Properties of Nanofluid and Hybrid Nanofluid: An Overview. City Univ. Int. J. Comput. Anal. 2019, 3, 16–25. [Google Scholar]
- Fetecau, C.; Fetecau, C.; Khan, M.; Vieru, D. Decay of a potential vortex in a generalized Oldroyd-B fluid. Appl. Math. Comput. 2008, 205, 497–506. [Google Scholar] [CrossRef]
- Tiwana, M.H.; Mann, A.B.; Rizwan, M.; Maqbool, K.; Javeed, S.; Raza, S.; Khan, M.S. Unsteady Magnetohydrodynamic Convective Fluid Flow of Oldroyd-B Model Considering Ramped Wall Temperature and Ramped Wall Velocity. Mathematics 2019, 7, 676. [Google Scholar] [CrossRef]
- Khalid, A.; Khan, I.; Khan, A.; Shafie, S.; Tlili, I. Case study of MHD blood flow in a porous medium with CNTS and thermal analysis. Case Stud. Therm. Eng. 2018, 12, 374–380. [Google Scholar] [CrossRef]
- Koriko, O.K.; Animasaun, I.; Mahanthesh, B.; Saleem, S.; Sarojamma, G.; Sivaraj, R. Heat transfer in the flow of blood-gold Carreau nanofluid induced by partial slip and buoyancy. Heat Transf.—Asian Res. 2018, 47, 806–823. [Google Scholar] [CrossRef]
- Aman, S.; Khan, I.; Ismail, Z.; Salleh, M.Z. Impacts of gold nanoparticles on MHD mixed convection Poiseuille flow of nanofluid passing through a porous medium in the presence of thermal radiation, thermal diffusion and chemical reaction. Neural Comput. Appl. 2018, 30, 789–797. [Google Scholar] [CrossRef] [PubMed]
- Podlubny, I. Fractional Differential Equations: An Introduction to Fractional Derivatives, Fractional Differential Equations, to Methods of Their Solution and Some of Their Applications; Elsevier: Amsterdam, The Netherlands, 1998. [Google Scholar]
- Khan, I.; Saqib, M.; Ali, F. Application of time-fractional derivatives with non-singular kernel to the generalized convective flow of Casson fluid in a microchannel with constant walls temperature. Eur. Phys. J. Spec. Top. 2017, 226, 3791–3802. [Google Scholar] [CrossRef]
- Khan, I.; Saqib, M.; Ali, F. Application of the modern trend of fractional differentiation to the MHD flow of a generalized Casson fluid in a microchannel: Modelling and solution⋆. Eur. Phys. J. Plus 2018, 133, 262. [Google Scholar] [CrossRef]














© 2020 by the authors. Licensee MDPI, Basel, Switzerland. This article is an open access article distributed under the terms and conditions of the Creative Commons Attribution (CC BY) license (http://creativecommons.org/licenses/by/4.0/).
Share and Cite
Saqib, M.; Khan, I.; Chu, Y.-M.; Qushairi, A.; Shafie, S.; Sooppy Nisar, K. Multiple Fractional Solutions for Magnetic Bio-Nanofluid Using Oldroyd-B Model in a Porous Medium with Ramped Wall Heating and Variable Velocity. Appl. Sci. 2020, 10, 3886. https://doi.org/10.3390/app10113886
Saqib M, Khan I, Chu Y-M, Qushairi A, Shafie S, Sooppy Nisar K. Multiple Fractional Solutions for Magnetic Bio-Nanofluid Using Oldroyd-B Model in a Porous Medium with Ramped Wall Heating and Variable Velocity. Applied Sciences. 2020; 10(11):3886. https://doi.org/10.3390/app10113886
Chicago/Turabian StyleSaqib, Muhammad, Ilyas Khan, Yu-Ming Chu, Ahmad Qushairi, Sharidan Shafie, and Kottakkaran Sooppy Nisar. 2020. "Multiple Fractional Solutions for Magnetic Bio-Nanofluid Using Oldroyd-B Model in a Porous Medium with Ramped Wall Heating and Variable Velocity" Applied Sciences 10, no. 11: 3886. https://doi.org/10.3390/app10113886
APA StyleSaqib, M., Khan, I., Chu, Y.-M., Qushairi, A., Shafie, S., & Sooppy Nisar, K. (2020). Multiple Fractional Solutions for Magnetic Bio-Nanofluid Using Oldroyd-B Model in a Porous Medium with Ramped Wall Heating and Variable Velocity. Applied Sciences, 10(11), 3886. https://doi.org/10.3390/app10113886

