Performance and Modeling of a Two-Stage Light Gas Gun Driven by Gaseous Detonation
Abstract
1. Introduction
2. Facility Description
2.1. Facility
2.2. Piston and Projectile
3. Numerical Modeling
3.1. Governing Equations
3.2. Gas-Phase: Friction and Heat Transfer Terms
3.3. Friction between Piston and Wall
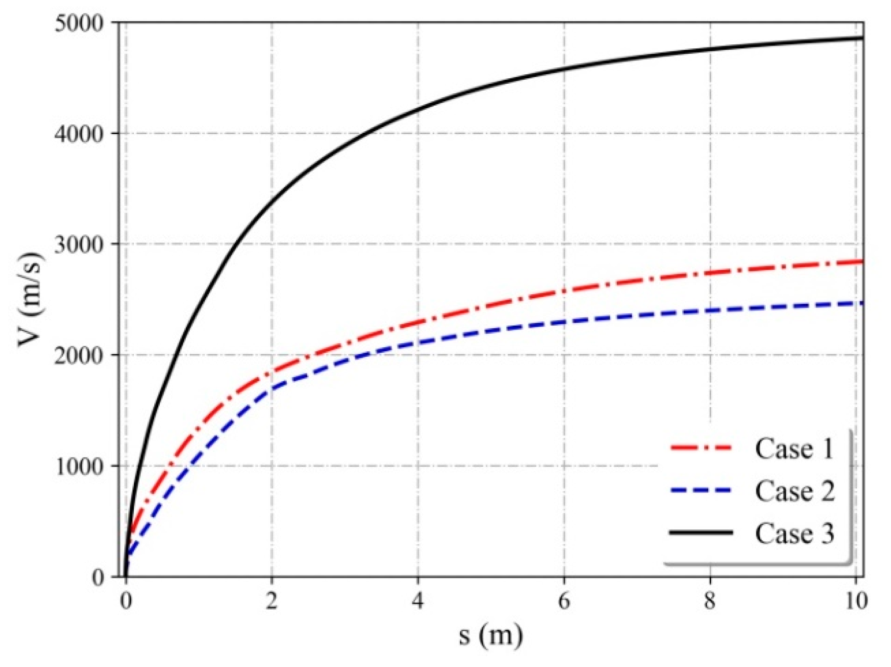
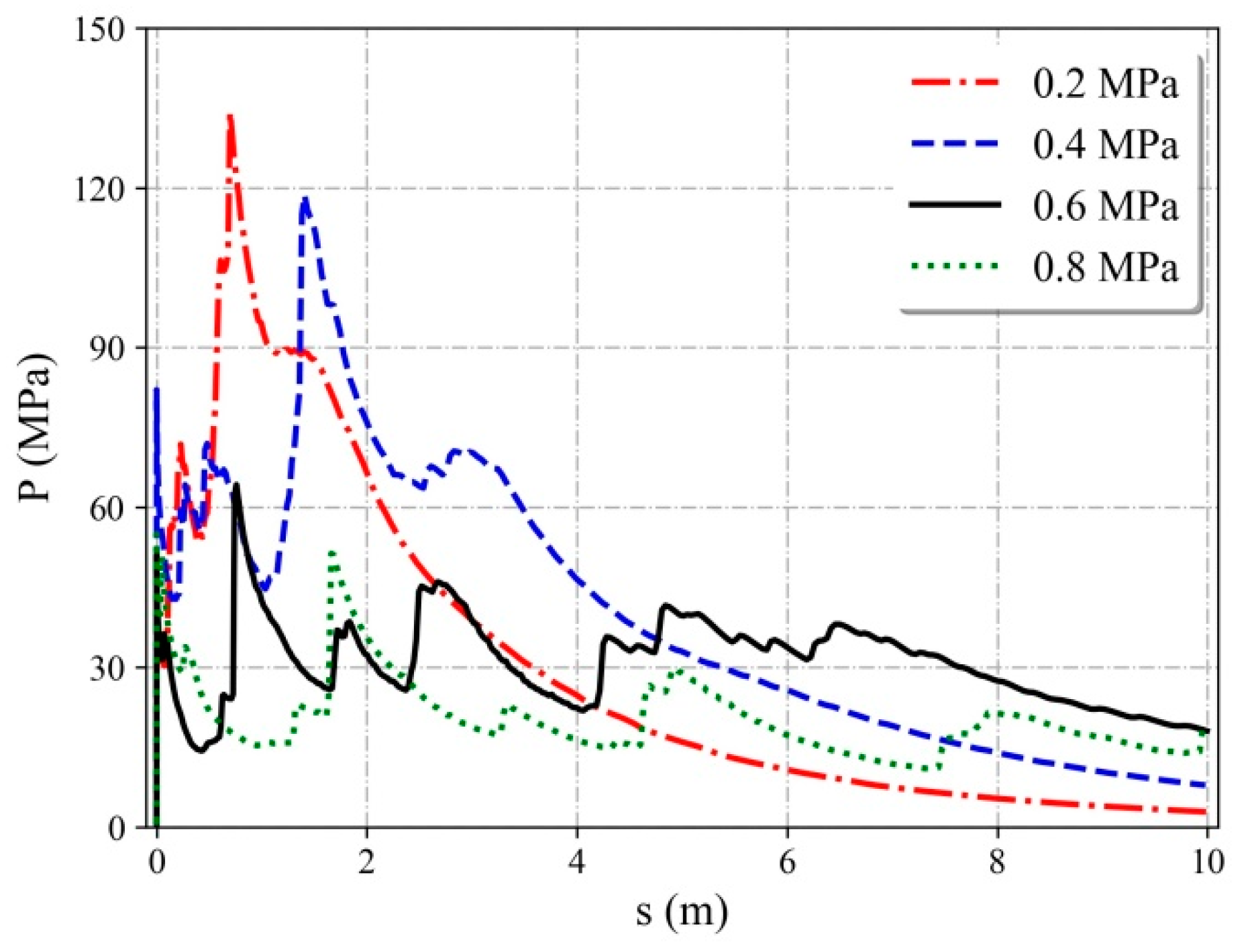
4. Results and Discussion
4.1. Grid Independence Study
4.2. Comparison of Simulation and Experimental Results
4.3. Effects of the Pump Tube Pressure
5. Conclusions
Author Contributions
Funding
Acknowledgments
Conflicts of Interest
References
- Seiler, F.; Igra, O. (Eds.) Hypervelocity Launchers; Springer: Berlin, Germany, 2016; Volume 10, pp. 23–52. [Google Scholar]
- Crozier, W.D.; Hume, W. High-Velocity, Light-Gas Gun. J. Appl. Phys. 1957, 28, 892–894. [Google Scholar] [CrossRef]
- Canning, T.N.; Seiff, A.; James, C.S. Ballistic-Range Technology; AGARD: Neuilly sur Seine, France, 1970. [Google Scholar]
- Lukasiewicz, J. Experimental Methods of Hypersonics; M. Dekker: New York, NY, USA, 1973; Volume 3. [Google Scholar]
- Reda, D.C. Correlation of nosetip boundary-layer transition data measured in ballistics-range experiments. AIAA J. 1981, 19, 329–339. [Google Scholar] [CrossRef]
- Strawa, A.W.; Chapman, G.T.; Canning, T.N.; Arnold, J.O. Ballistic range and aerothermodynamic testing. J. Aircr. 1991, 28, 443–449. [Google Scholar] [CrossRef]
- Chapman, G. The ballistic range—Its role and future in aerothermodynamic testing. In Proceedings of the 17th Aerospace Ground Testing Conference, Nashville, TN, USA, 6–8 July 1992; American Institute of Aeronautics and Astronautics: Reston, VA, USA, 1992; p. 3996. [Google Scholar]
- Marren, D.; Lu, F. Advanced Hypersonic Test Facilities; American Institute of Aeronautics and Astronautics: Reston, VA, USA, 2002; p. 138. [Google Scholar]
- Junde, L. An analysis of launching parameters for a two stage light gas gun not driven by powder. Explos. Shock Waves 1995, 3, 229–240. [Google Scholar]
- Carver, D.; Campbell, L.L.; Roebuck, B. Large-scale, hypervelocity, high-fidelity interceptor lethality development in AEDC’s range G. Int. J. Impact Eng. 2008, 35, 1459–1464. [Google Scholar] [CrossRef]
- Charters, A.C. Development of the high-velocity gas-dynamics gun. Int. J. Impact Eng. 1987, 5, 181–203. [Google Scholar] [CrossRef]
- Bogdanoff, D.W.; Miller, R.J. New Higher-Order Godunov Code for Modelling Performance of Two-Stage Light Gas Guns; NASA’s Ames Research Center: Mountain View, CA, USA, 1995. [Google Scholar]
- Liang, S.C.; Huang, J.; Li, Y.; Jian, H.X. Numerical research on interior ballistics of two-stage light-gas gun. Phys. Gases 2012, 7, 80–84. [Google Scholar]
- Kruczynski, D.; Massey, D.; Milligan, R.; Vigil, E.; Landers, B.; Meneguzzi, M. Combustion Light Gas Gun Technology Demonstration; UTRON Inc.: Manassas, VA, USA, 2007. [Google Scholar]
- Dong, S.; Meng, C.; Xiao, Y.; Mo, J.; Zhang, M.; Wang, X.; Shi, S. Preliminary Study of Two-Stage Light Gas Gun Using Reactive Gas as Driving Energy. Chin. J. High. Press. Phys. 2017, 31, 182–186. [Google Scholar]
- Deng, F.; Zhang, X.Y. Simulation of Hydrogen-Oxygen Combustion of Combustion Light Gas Gun Using Detailed Chemical Kinetics Model. Acta Armamentarii 2014, 19, 415–420. [Google Scholar]
- Deng, F.; Zhang, X.Y.; Liu, N. Influences of ignition process and initial conditions on interior ballistic characteristics of combustion light gas gun. Explos. Shock Waves 2013, 33, 551–555. [Google Scholar]
- Deng, F.; Liu, N.; Zhang, X.Y. Analysis on influence of propellant component on interior ballistics of combustion light gas gun. J. Ballist. 2012, 24, 90–93. [Google Scholar]
- Bird, G.A. A Note on Combustion Driven Tubes; Royal Aircraft Establishment: Farnborough, UK, 1957; Volume 146. [Google Scholar]
- Lu, F.K.; Wilson, D.R.; Bakos, R.J.; Erdos, J.I. Recent Advances in Detonation Techniques for High-Enthalpy Facilities. AIAA J. 2000, 38, 1676–1684. [Google Scholar] [CrossRef]
- Presles, H.N.; Bauer, P. Detonation products gun. Rev. Sci. Instrum. 1983, 54, 1511–1512. [Google Scholar] [CrossRef]
- Batchelor, P.L. Development of a gaseous detonation driven hypervelocity launcher. Master’s Thesis, University McGill, Montreal, QC, Canada, 2010. [Google Scholar]
- Li, J.P.; Chen, H.; Zhang, S.Z.; Zhang, X.Y.; Yu, H.R. A gasdynamic gun driven by gaseous detonation. Rev. Sci. Instrum. 2016, 87, 15112. [Google Scholar] [CrossRef] [PubMed]
- Sichel, M.; Tonello, N.A.; Oran, E.S.; Jones, D.A. A two–step kinetics model for numerical simulation of explosions and detonations in H2-O2 mixtures. Proc. Math. Phys. Eng. Sci. 2002, 458, 49–82. [Google Scholar] [CrossRef]
- Jiang, Z.L. Dispersion conditions for non-oscillatory shock capturing schemes and its applications. Comput. Fluid Dyn. J. 1995, 2, 137–150. [Google Scholar]
- Li, J.P.; Jiang, Z.L.; Chen, H.; Feng, H.; Yu, H.R. Numerical study on backward-forward double-detonation driver for high enthalpy shock tubes. Chin. J. Theor. Appl. Mech. 2007, 3, 343–349. [Google Scholar]
- Jacobs, P.A. Quasi-one-dimensional modeling of a free-piston shock tunnel. AIAA J. 1994, 32, 137–145. [Google Scholar] [CrossRef]
- Chue, R.S.M.; Tsai, C.Y.; Bakos, R.J. Driver gas contaminationin a detonation-driven reflected-shock tunnel. Shock Waves 2003, 13, 367–380. [Google Scholar] [CrossRef]
- Grossir, G.; Ilich, Z.; Chazot, O. Modeling of the VKI Longshot Gun Tunnel Compression Process Using a Quasi-1D Approach. In Proceedings of the 33rd AIAA Aerodynamic Measurement Technology and Ground Testing Conference, Denver, CO, USA, 5–9 June 2017; American Institute of Aeronautics and Astronautics: Reston, VA, USA, 2017; p. 3985. [Google Scholar]
- Ebnesajjad, S. Expanded PTFE Applications Handbook: Technology, Manufacturing and Applications; William Andrew: Norwich, NY, USA, 2016; pp. 163–170. [Google Scholar]















| Case | 1 | 2 | 3 | |
|---|---|---|---|---|
| Detonation tube | Mixing molar ratio, H2:O2 | 3:1 | ||
| Pressure (MPa) | 1.5 | 2.0 | 2.7 | |
| Pump tube | Gas | H2 | ||
| Pressure (MPa) | 0.8 | 0.8 | 0.45 | |
| Piston mass (kg) | 10.44 | |||
| Rupture pressure (MPa) | 45 | 45 | 75 | |
| Launch tube | Projectile mass (g) | 19 | 100 | 31 | 
| Exp. | Projectile velocity (m/s) | 2481 | 2260 | |
| CFD | 2839 | 2601 | 4854 | |
| Relative error (%) | 14.4 | 15.1 | ||
| Case | 4 | 5 | |
|---|---|---|---|
| Detonation tube | Mixing molar ratio, H2:O2 | 3:1 | |
| Pressure (MPa) | 1.5, 2.0, 3.0, 5.0 | 5.0 | |
| Pump tube | Gas | H2 | |
| Pressure (MPa) | 0.2, 0.4, 0.6, 0.8, 1, 1.2 | 0.6 | |
| Piston mass (kg) | 10 | 12.5 | |
| Rupture pressure (MPa) | 45 | 150 | |
| Launch tube | Projectile mass (g) | 19 | 10 | 
© 2020 by the authors. Licensee MDPI, Basel, Switzerland. This article is an open access article distributed under the terms and conditions of the Creative Commons Attribution (CC BY) license (http://creativecommons.org/licenses/by/4.0/).
Share and Cite
Tang, W.; Wang, Q.; Wei, B.; Li, J.; Li, J.; Shang, J.; Zhang, K.; Zhao, W. Performance and Modeling of a Two-Stage Light Gas Gun Driven by Gaseous Detonation. Appl. Sci. 2020, 10, 4383. https://doi.org/10.3390/app10124383
Tang W, Wang Q, Wei B, Li J, Li J, Shang J, Zhang K, Zhao W. Performance and Modeling of a Two-Stage Light Gas Gun Driven by Gaseous Detonation. Applied Sciences. 2020; 10(12):4383. https://doi.org/10.3390/app10124383
Chicago/Turabian StyleTang, Weiqi, Qiu Wang, Bingchen Wei, Jiwei Li, Jinping Li, Jiahao Shang, Kun Zhang, and Wei Zhao. 2020. "Performance and Modeling of a Two-Stage Light Gas Gun Driven by Gaseous Detonation" Applied Sciences 10, no. 12: 4383. https://doi.org/10.3390/app10124383
APA StyleTang, W., Wang, Q., Wei, B., Li, J., Li, J., Shang, J., Zhang, K., & Zhao, W. (2020). Performance and Modeling of a Two-Stage Light Gas Gun Driven by Gaseous Detonation. Applied Sciences, 10(12), 4383. https://doi.org/10.3390/app10124383
 
        


 
       