Abstract
This study numerically analyzes and investigates the effects of the bearing design parameters of a tilting pad journal bearing (TPJB) on the pad-pivot friction-induced nonlinear rotordynamic phenomena and bifurcations. The bearing parameters were set to the pad preload, pivot offset, spherical pivot radius, and bearing length to diameter (L/D) ratio. The Stribeck curve model (SCM) model was applied at the contact surface between the pad and the pivot, which varied to the boundary-mixed-fluid friction state depending on the friction condition. The rotor-bearing model was set up with a symmetrical five-pad TPJB system supporting a Jeffcott type rigid rotor. The fluid repelling force generated in the oil film between each pad and the shaft was calculated using a finite element method. The simulation recurrently conducted the transient numerical integration to obtain the Poincaré maps and phase states of the journal and pad with various bearing design variables, then the nonlinear properties of each condition were analyzed by expressing the bifurcation diagrams. As a result, the original findings of this study are: (1) The pad preload and pivot offset significantly influenced the emergence of Hopf bifurcations and the associated limit cycles. In contrast, (2) the pivot radius and L/D ratio contributed relatively less to the friction-induced instability. Resultantly, (3) all the effects diminished when the rotor operated under the larger mass eccentricity of the disc.
1. Introduction
A tilting pad journal bearing (TPJB) is known as a structure in which the lower surface of the pad executes a tilt motion on the upper surface of the pivot, with respect to the rotation of the shaft. This tilt motion suppresses the cross-coupled stiffness of the bearing and improves stability [1]. As a result, TPJBs have been widely selected in many modern turbomachinery.
The typical structure of a pivot can be categorized into the rocker back (cylindrical) type and the ball-socket (spherical) type. Various researchers have analyzed the differences in the performance of the two structures. Wygant et al. [2,3] conducted a series of experiments to measure the eccentricity ratios, dynamic stiffness, and damping force coefficients of the two types of pivots in the TPJB system. They found variations in the attitude angles and cross-coupled stiffness between the two types of TPJB and concluded that the higher pad-pivot friction in the ball and socket pivot was the primary contributor to the differences. Pettinato and De Choudhury [4,5] measured the differences in the pad temperature profiles and the power loss in a five-shoe TPJB of the two types of pivots. Mehdi et al. [6] developed a numerical model to investigate the static and dynamic characteristics of TPJBs by considering the pivot stiffness of the two types of pivots. The primary reason for this difference is the difference between the line contact of the cylindrical type and point contact of the spherical type. This implies that the point contact may induce a larger friction force between the pad and pivot, thereby affecting the dynamic states.
Childs and Harris [7] introduced an equivalent spring model composed of a fluid lubricant film and a pivot connected in series to reflect the stiffness of TPJB’s ball socket type pivot. The TPJB’s stiffness and damping coefficients, which were modified using the equivalent spring model, were in good agreement with the test results, but showed a very large difference in the journal eccentricity. Suh and Palazzolo [8] developed a three-dimensional high fidelity finite element model for the spherical pivot type TPJB, which can simulate the effect of pivot stiffness. They found that the rigid pivot yields the highest temperature in the lubricant, pad, and shaft, providing the increased thermal expansion and the decreased minimum film thickness ratio. Sabnavis [9] tried to experimentally verify the influence of pivot friction on the shaft tracking motion of pad. By analyzing the frequency components of the pad and shaft, the lack of sufficient pad tracking motions was observed in the heavier loading conditions. Kim and Kim [10] introduced an analytical friction model for the spherical pivot type of TPJB and calculated the friction force and moment between the pad and pivot. They presented numerical results which indicated that the pad-pivot friction can induce differences in the pad pressure and attitude angles of the journal in the TPJB system. He [11] conducted a numerical study by considering a conformal contact condition between the pad and spherical pivot surfaces. The results showed that the sinusoidal motions of the pads changed to triangular wave motions with the friction condition.
In particular, Kim and Palazzolo [12] performed a broad range of nonlinear studies to identify the instability onsets in autonomous and nonautonomous rotor systems, including the effects of pad-pivot friction. They analyzed nonlinear behaviors such as sub-synchronous whirls, quasi-periodic responses, Hopf bifurcation, and Neimark–Sacker bifurcations, induced by pad-pivot friction. Nevertheless, the advantage of TPJB is that it has various design parameters that are available for variation and performance, the result was limited to a single bearing geometry and did not include the effects of the bearing design parameters to pad-pivot friction to nonlinear rotordynamic bifurcation. In this context, the current study aims to extensively analyze the rotordynamic bifurcation and nonlinear response characteristics with the variation in design parameters of TPJB (i.e., the pad preload, pivot offset, bearing length to diameter (L/D) ratio, and pivot radius).
In this study, the Stribeck curve model (SCM) [13] was applied to capture the friction coefficients of the pad-pivot contact area. The SCM has been well represented using the nature of friction characteristics with regard to the boundary/mixed/hydrodynamic lubrication regime. In addition, to employ the SCM, the surface condition and slide velocity of all the pads were considered to determine the friction coefficient.
2. Pad-Pivot Friction Mechanism
2.1. Friction Mechanism
The analytical friction mechanism between the upper side of the spherical pivot and lower side of the tilting pad employs the formulas that were introduced in [10]. As the shaft rotates and lifts in the oil layers, a fluid repelling force of the lubricant is generated between the shaft and the top surface of the pad. The pressure distribution acting on the pad allows the pad to generate a tilting motion about its pivot. On the other hand, as can be seen in Figure 1, the normal force and sliding motion of the tilt pad induce a counter force, Ff, according to the surface friction state so that the resultant can be expressed as the product of the normal force and friction coefficient.
where μf is the friction coefficient on the surface. The friction force creates a friction moment, Mf, on its pivot, and the direction of the moment is determined with respect to the pad tilting motion. If the pad remains stationary, the static friction induces the friction moment and that applies to the pad. This mechanism can be expressed as following formulations:
Ff = μfWpad
Figure 1.
Schematics of the pad-pivot friction mechanism in a spherical pivot-type tilting pad journal bearing.
In this study, the friction coefficient, μf, was determined using the Stribeck curve model; therefore, the surface roughness condition and sliding speed of the pad-pivot were considered.
2.2. Stribeck Curve Model (SCM)
The SCM distinguishes the friction states as the boundary, mixed and hydrodynamic regimes, and thus suggests a more realistic friction coefficient based on the relative motion between the surfaces. There are various factors to consider in the friction coefficient, such as the surface roughness, static load, and lubricant state. Nonetheless, it was assumed that the friction coefficient was determined only by the sliding speed of the pad under the specific surface and lubricant conditions, as described in Table 1 and Table 2. This is a common scheme to interpret the SCM. Lu et al. examined the relation between the mathematical derivation and experimental results of this approach in [14].
Table 1.
Surface condition parameters for the Stribeck Curve Model (SCM).
Table 2.
Lubricant condition parameters for the SCM.
The resulting friction coefficient, as shown in Figure 2, was used in every time step in the numerical integration process for nonlinear response analysis. This is according to the bearing design parameters discussed in the next section.
Figure 2.
Stribeck curve for the friction coefficient as a function of pad tilting speed on its spherical pivot.
3. Rotor-Bearing Model
3.1. Five-Pad Tilting Pad Journal Bearing (TPJB)
Figure 3 represents the schematics of the five-pad TPJB model employed in this study. The hydrodynamic pressure of the lubricant film on each pad, p, is able to be estimated using the Reynolds equation for iso-viscous, incompressible, and laminar flow conditions as follows:
where z and θ are the axial and angular positions of the bearing, respectively; μv is the dynamic viscosity of the lubricant oil; ω is the angular velocity of the journal; and h is the film thickness on the pad at the {z, θ} position:
where e is the vector that designates the current position in the reference frame {x, y, z}; θp is the pivot position in the θ axis; δ is the tilt angle of the pad; and Cb and Cp are the clearances of the bearing and pad, respectively. Superscript (j) denotes the jth pad, and subscripts x, y, z, pitch and roll represent the relevant axes and motions.
Figure 3.
Five-pad tilting pad journal bearing (TPJB) (load on pad) diagram and the respective coordinates.
The solution of the Reynolds equation was calculated by applying a finite element model, as shown in Figure 4. It consisted of a three-node simplex, triangular-type mesh created on the overall fluid film layer on the pad. The fluid repelling force between the pad and shaft was obtained by integrating the pressure throughout the mesh for each pad as follows:
where F(j) is the hydrodynamic force on the jth pad, L is the bearing length, θB(j) is the beginning angle of the jth pad, and θE(j) is the end angle of the jth pad. The boundary conditions was incorporated with an assumption of ambient pressure at the bearing ends (pamb = p|z = ± L/2) and supply pressure at the leading and trailing edges (psup = p|θ = θB(j), θE(j)). In addition, Reynolds cavitation boundary conditions were applied in the calculation. The integrated pad pressure functions as the normal force, which induces the friction moment in Equation (2).
Figure 4.
The finite element model of five-pad TPJB and typical pressure distributions on the pads.
The overall hydrodynamic force from entire pads to the journal can be calculated as:
The moment on the pad about its pivot owing to the pressure distribution can be expressed as:
where is the vector from the pivot contact point on pad j to the location of the differential force on pad j.
3.2. Rigid Jeffcott Rotor-TPJB Model
As can be seen in Figure 5, a “Jeffcott”-type symmetric rigid rotor supported on the five-pad TPJB was employed as a mechanical model to investigate the rotordynamic bifurcation analysis owing to the pad-pivot friction. The governing equations of motion for the rotor and TPJB pads in the system can be written as:
where mJ and Ip are the rotor mass and pad moment of inertia, respectively; and Ws and Wd are the static and dynamic loads on the rotor, respectively. and are second derivatives of rotor translational motion in x and y direction respectively. are second derivatives of pad pitch and roll motion respectively. Generally, the static load is the weight of the rotor or a side load, and the dynamic force can be unbalance force due to the mass eccentricity on the disc. The separate moments of inertia equations were written for each pad (j). The numerical values of the disc, bearing, pad parameters, and pressure boundary condition have been provided in Table 3. In particular, the amount of unbalance on disc, bearing diameter to length ratio, pad preload, pad offset, and pivot radius are the major design parameters in the TPJB performance [15,16]. It is noteworthy that the present rotor model is assumed to have a rigid shaft and symmetrical geometry. This implies that the two journals have the same attitude and no roll motion in the y–z plane. Hence, the second equation in Equation (7) and fourth equation in Equation (8) may be negligible in the numerical study.
Figure 5.
The TPJB-rigid Jeffcott rotor system.
Table 3.
Disc, bearing, and pad parameters of the tilting pad journal bearing (TPJB)-rigid rotor system.
4. Numerical Results
The lubricant film pressure, force, and moment of inertia were numerically calculated using the finite element TPJB model, and the MATLAB® (R2020a, MathWorks, Natick, MA, USA, 2020) routine “ode15s” was utilized for numerical integration (NI) of Equation (8) with a relative tolerance of 10−9 to secure convergence and accuracy. The initial conditions for the transient NI were basically set as a free falling from the center (i.e., x(0) = y(0) = 0, dx(0)/dt = dy(0)/dt = 0) and δpitch = 0, dδpitch/dt = 0 for all pads. For consecutive run-up operation, the final states of the current operation speed were defined as the initial value of the next operation speed.
4.1. Anlaysis
The use of the transient NI can yield a Poincaré section, which is a hypersurface in the state space that is transverse to the flow of the governing equation of a system [17]. As shown in Figure 6, the consecutive collections of Poincaré dots clearly indicate the stability of the response in terms of frequency components and bifurcation occurrences if it combines with some control parameters; in this case, the bearing parameters. To obtain the Poincaré dots on the sections, NI was performed for 400 revolution periods for each selected TPJB design parameter, and the steady states were assumed to ensure for the last 100 revolutions. The projected bifurcation diagrams in Figure 7, Figure 8, Figure 9 and Figure 10 plot the non-dimensional vertical journal motion (i.e., y/Cb versus the selected design parameter), with the revolution speed ranging from 0 rpm to 20 krpm. The simulations were recurrently conducted with various disc imbalance eccentricities from 0.0 to 0.2 Cb. The windows in the figures are placed to introduce reference plane to compare instability onsets.
Figure 6.
Poincaré sections of orbits: (a) 1τ periodic solution, (b) quasi periodic or aperiodic solution.
Figure 7.
Effect of pivot radius (Rpvt = 0.01 m, 0.015 m, 0.02 m) on the rotordynamic bifurcation induced by pad-pivot friction on the TPJB system (mp = 1/2, χp/χ = 0.5, L/D = 0.5): (a) Fully balanced; (b) eimb = 0.05 Cb; (c) eimb = 0.10 Cb; (d) eimb = 0.20 Cb.

Figure 8.
Effect of pad preload (mp = 1/2, 2/3, 3/4) on the rotordynamic bifurcation induced by pad-pivot friction on a TPJB system (Rpvt = 0.015, χp/χ = 0.5, L/D = 0.5): (a) Fully balanced; (b) eimb = 0.05 Cb; (c) eimb = 0.10 Cb; (d) eimb = 0.20 Cb.

Figure 9.
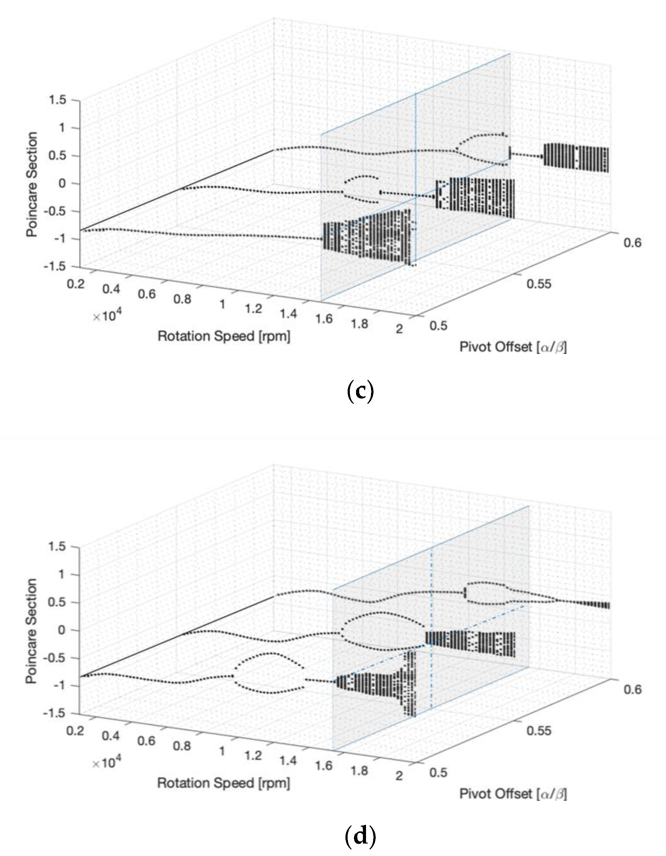
Effect of pivot offset (χp/χ = 0.5, 0.55, 0.6) on the rotordynamic bifurcation induced by pad-pivot friction on a TPJB system (Rpvt = 0.015, mp = 0.5, L/D = 0.5): (a) Fully balanced; (b) eimb = 0.05 Cb; (c) eimb = 0.10 Cb; (d) eimb = 0.20 Cb.

Figure 10.
Effect of bearing L/D ratio (0.5, 0.75, 1.0) on the rotordynamic bifurcation induced by pad-pivot friction on a TPJB system (Rpvt = 0.015, mp = 0.5, χp/χ = 0.5): (a) fully balanced; (b) eimb = 0.05 Cb; (c) eimb = 0.10 Cb; (d) eimb = 0.20 Cb.
4.1.1. Pivot Radius
The pivot radius might be intuitively designed for the pad-pivot friction moment because it is directly related to the amount of the friction moment, as shown in Equation (2). The selected pivot radius ranged from 0.01 m to 0.02 m. As can be seen in Figure 7, a larger pivot radius indicates a higher dynamic eccentricity of the friction-induced instability. On the contrary, the large size of the pivot delayed the occurrence of the Hopf bifurcation marginally; and became more pronounced in the form of a subcritical type of Hopf bifurcation. As the disc had unbalance eccentricity, the response appears to have a Neimark–Sacker (N-S) bifurcation in the high speed range. This results in the quasi-periodic motion suddenly changing to a 1/3 sub-synchronous response, and vice-versa.
4.1.2. Pad Preload
The tilt pad preload is the most tunable design parameter for the TPJB. The preload can be defined as
mp = 1 − Cb/Cp
This represents the ratio between the radii of curvature of the bearing and pad. The amount of preload is known to influence the damping aspect of the bearing [16]. The values of the preloads were set from 0.5 to 0.6, which is within the general application range.
As shown in Figure 8, the proper application of a pad preload can induce a significant change in terms of bifurcation emergence, such that the Hopf bifurcation occurrence near 14 krpm is notably set aside, while maintaining the amplitude of responses. In addition, it can be seen that this tendency remains even in a disc unbalance state. Similar to the adjustment of the pivot radius, it is possible to confirm the appearance of the N-S bifurcation, where the quasi-periodic is altered mutually in a sub-synchronous response, in the high-speed operation state.
4.1.3. Pivot Offset
Another practical parameter available to the TPJB geometry is the pivot offset, which is known to affect the load capacity of the bearing. The centrally pivoted pad, χp/χ = 0.5, has a pivot on the center back. The typical offset range in this study was set as 0.5 to 0.6 (50% to 60% offset). As seen in Figure 9, the larger pivot offset tends to display a lower response amplitude, and delays the occurrence of Hopf bifurcation near 14 krpm. In cases with lower unbalance, the offset significantly pushes back the Hopf bifurcation and stabilize the response states, whereas, the Neimark–Sacker bifurcation emerges during the high speed operation near 17–19 krpm. If the rotor system has a higher imbalance on the disc, the period doubling bifurcation and some peculiar occurrences, such as 1/2 sub-synchronous response, were observed before the Hopf bifurcation event; this trend is more prominent when the TPJB has more pivot offset.
4.1.4. Bearing Length to Diameter (L/D) Ratio
It is known that a higher bearing L/D ratio enhances the effective damping by further expanding the fluid layer. Here, the L/D ratio was selected from the range of 0.5 to 1.0, which is the practical range for turbomachineries. As shown in Figure 10, unlike the other parameters in this study, the L/D ratio does not show a consistent and notable effect on the friction-induced instability except for the fully balanced disc condition. This indicates that the amplitude maintains a similar magnitude, and the onsets of Hopf bifurcations are slightly moved to the higher operating speed. On analyzing the overall response bifurcation diagram, it is tedious to determine a clear tendency in the unbalanced cases; therefore, the L/D ratio should be selected carefully in consideration of the bearing load and operating speed.
4.2. Orbits and Pad Motions
Figure 11, Figure 12, Figure 13 and Figure 14 provide representative examples of the response of the rotor-TPJB that might demonstrate the characteristics of the design parameter to the effects of pivot friction. The results are shown in the orbit, frequency, phase portrait, and Poincare attractor formats, which correspond to the selected conditions in Figure 7, Figure 8, Figure 9 and Figure 10. Figure 11a shows that the response is 1/3 sub-synchronous motion based on the attractor and frequency spectrum. It can be seen that when the radius of the pivot was increased (Rpvt = 0.01 0.02), under the corresponding operating conditions, the response changed to quasi-periodic type with a higher amplitude, as can be seen in Figure 11b. Figure 12 effectively shows the effect of pad preload. An appropriately increased preload (mp = 1/2 3/4) can alter the limit cycle, as shown in Figure 12a, to the equilibrium state, as in Figure 12b; it contributes to the improvement in rotordynamic stability. Figure 13 shows that the quasi-periodic motion, as seen in Figure 13a, changes to a quenched 1×-synchronous response with a lower amplitude, as shown in Figure 13b, if the pivot offset is applied properly, e.g., χp/χ = 0.5 0.6, even in a large unbalanced eccentricity on the disc. Lastly, Figure 14 shows an example where the extended fluid film layer (L/D = 0.5 1.0) stabilizes the friction-induced quasi-periodic motions not substantially but partially to 1/2×-subsynchronous response.
Figure 11.
Comparisons of orbits and pad motions at 18,000 rpm with different pivot radii (other parameters: eimb = 0.05 Cb, mp = 1/2, χp/χ = 0.5, L/D = 0.5): (a) Rpvt = 0.01 m; (b) Rpvt = 0.02 m.
Figure 12.
Comparisons of orbits and pad motions at 16,000 rpm with various pad preloads (other parameters: eimb = 0.00 Cb, Rpvt = 0.015 m, χp/χ = 0.5, L/D = 0.5): (a) mp = 1/2; (b) mp = 3/4.
Figure 13.
Comparisons of orbits and pad motions at 15,000 rpm with different pivot offset (other parameters: eimb = 0.20 Cb, Rpvt = 0.015 m, mp = 0.5, L/D = 0.5): (a) χp/χ = 0.5; (b) χp/χ = 0.6.
Figure 14.
Comparisons of orbits and pad motions at 17,000 rpm with various pivot radii (other parameters: eimb = 0.20 Cb, Rpvt = 0.015 m, mp = 0.5, χp/χ = 0.5): (a) L/D = 0.5; (b) L/D = 1.0.
5. Conclusions
In this study, TPJB design parameters such as the pivot radius, pad preload, pivot offset, and L/D ratio were selected and their effects on the pad-pivot friction-induced rotordynamic instability and the associated bifurcations were studied. Numerical techniques such as Poincaré sections were employed for rotor spin speed ranges (bifurcation diagram) accumulated with regard to the TPJB design parameters. The primary observations from this numerical study are summarized as follows:
- Pivot radius:
- An increase in the pivot radius induces higher vibration amplitude;
- The Hopf bifurcation event was marginally delayed;
- The higher disc mass eccentricity condition undermined the effect of the pivot radius.
- Pad preload:
- An increase in the pad preload significantly delayed the outbreaks of Hopf bifurcation points;
- The amplitude of the response remained relatively constant;
- In the larger disc unbalance condition, the preload stabilized the instability.
- Pivot offset:
- An increase of the pivot offset delayed the outbreaks of Hopf bifurcation points;
- The amplitude of the response decreased;
- The larger disc mass unbalance undermines the effect of pivot offset.
- L/D ratio:
- A higher L/D ratio tended to stabilize the response; however, it did not display any conspicuous effect. Nevertheless, the fully balanced condition was clearly observed;
- An increase in the disc mass eccentricity undermined the effect of the L/D ratio;
- Nonetheless, a higher L/D ratio led to an enhanced damping effect, which stabilized the quasi-periodic to the 1/2 sub-synchronous responses.
The pad preload and pivot offset play significant roles in decreasing the rotordynamic instability induced by the pad-pivot friction effects. Accurate selection of pad design parameters is essential, especially for high-speed, high-unbalance operation environments in rotor-TPJB systems. These conclusions serve a general purpose. However, they do not essentially hold true for all turbomachineries.
Author Contributions
Conceptualization, S.K. and J.S.; methodology, S.K.; software, S.K.; validation, S.K., S.B. and J.S.; formal analysis, S.K.; investigation, S.K. and S.B.; resources, S.K. and J.S.; data curation, S.K. and S.B.; writing—original draft preparation, S.K.; writing—review and editing, S.K. and J.S.; visualization, S.K.; supervision, J.S.; project administration, S.K. and J.S.; funding acquisition, S.K. and J.S. All authors have read and agreed to the published version of the manuscript.
Funding
This work was supported in part by the National Research Foundation of Korea (Project no. 2017R1C1B507655014, 2020R1F1A107197611).
Conflicts of Interest
The authors declare no conflict of interest.
Nomenclature
The majority of symbols and notations used throughout the paper are defined below for quick reference. Others are clarified with their appearance in case of need.
| Cb | Bearing clearance |
| Cp | Pad clearance |
| D | Bearing diameter |
| Ff | Counter force according to surface friction state |
| h | Film thickness |
| Ip | Pad moment of inertia |
| L | Bearing length |
| mJ | Rotor mass |
| mp | Pad preload |
| Mf | Friction moment |
| Mp | Pad tilting moment |
| p | Hydrodynamic pressure of lubricant film |
| R | Bearing radius |
| Rpvt | Pivot radius |
| Wpad | Normal force on pad |
| Ws | Static load on rotor |
| Wd | Dynamic load on rotor |
| z | Axial position of bearing |
| δ | Tilt angle of pad |
| θ | Angular position of bearing |
| θB | Beginning angle of pad |
| θE | End angle of pad |
| θp | Pivot position in the θ axis |
| μf | Friction coefficient |
| μv | Dynamic viscosity of lubricant oil |
| ω | Angular velocity of journal |
| χp/χ | Pad offset |
References
- Allaire, P.E.; Parsell, J.K.; Barrett, L.E. A Pad perturbation method for the dynamic coefficients of tilting-pad journal bearings. Wear 1981, 72, 29–44. [Google Scholar] [CrossRef]
- Wygant, K.D.; Flack, R.D.; Barrett, L.E. Influence of pad pivot friction on tilting pad journal bearing measurement—Part I: Static operating conditions. Tribol. Trans. 1999, 42, 210–215. [Google Scholar] [CrossRef]
- Wygant, K.D.; Flack, R.D.; Barrett, L.E. Influence of pad pivot friction on tilting pad journal bearing measurement—Part II: Dynamic coefficients. Tribol. Trans. 1999, 42, 250–256. [Google Scholar] [CrossRef]
- Pettinato, B.C.; De Choudhury, P. Test results of key and spherical pivot five-shoe tilt pad journal bearings—Part I: Performance measurement. Tribol. Trans. 1999, 42, 541–547. [Google Scholar] [CrossRef]
- Pettinato, B.C.; De Choudhury, P. Test results of key and spherical pivot five-shoe tilt pad journal bearings—Part II: Dynamic measurements. Tribol. Trans. 1999, 42, 675–680. [Google Scholar] [CrossRef]
- Mehdi, S.M.; Jang, K.E.; Kim, T.H. Effects of pivot design on performance of tilting pad journal bearings. Tribol. Int. 2018, 119, 175–189. [Google Scholar] [CrossRef]
- Childs, D.; Harris, J. Static performance characteristics and rotordynamic coefficients for a four-pad ball-in-socket tilting pad journal bearing. J. Eng. Gas. Turb. Power. 2009, 131, 062502. [Google Scholar] [CrossRef]
- Suh, J.; Palazzolo, A.B. Three-dimensional thermohydrodynamic Morton effect analysis—part II: Parametric studies. J. Tribol. 2014, 136, 031707. [Google Scholar] [CrossRef]
- Sabnavis, G. Test Results for Shaft Tracking Behavior of Pads in a Spherical Pivot Type Tilting Pad Journal Bearing. Master’s Thesis, Virginia Polytechnic Institute and State University, Blacksburg, VA, USA, 2005. [Google Scholar]
- Kim, S.G.; Kim, K.W. Influence of pad-pivot friction on tilting pad journal bearing. Tribol. Int. 2008, 41, 694–703. [Google Scholar] [CrossRef]
- He, F. Including pivot friction in pad motion for a tilting pad journal bearing with ball-socket pivots. In Proceedings of the Turbo Expo 2017: Turbomachinery Technical Conference and Exposition, Charlotte, NC, USA, 26–30 June 2017; p. V07AT34A036. [Google Scholar]
- Kim, S.; Palazzolo, A.B. Pad-pivot friction effect on nonlinear response of a rotor supported by tilting-pad journal bearings. J. Tribol. 2019, 141, 091701. [Google Scholar] [CrossRef]
- Stribeck, R. Die wesentlichen eigenschaften der gleit-und rollenlarger. Z. Ver. Dtsch. Ing. 1902, 46, 1341–1348, 1432–1438, 1463–1470. [Google Scholar]
- Lu, X.; Khonsari, M.M.; Gelink, E.R. The Stribeck curve: Experimental results and theoretical prediction. J. Tribol. 2006, 128, 789–794. [Google Scholar] [CrossRef]
- Nicholas, J. Tilting pad bearing design. In Proceedings of the 23rd Turbomachinery Symposium, Texas A&M University, College Station, TX, USA, 13–15 September 1994; pp. 179–194. [Google Scholar]
- Nicholas, J.; Wygant, K.D. Tilting pad journal bearing pivot design for high load applications. In Proceedings of the 24th Turbomachinery Symposium, Texas A&M University, College Station, TX, USA, 26–28 September 1995; pp. 33–48. [Google Scholar]
- Nayfeh, A.H.; Balachandran, B. Applied Nonlinear Dynamics: Analytical, Computational and Experimental Methods, 1st ed.; Wiley & Sons: New York, NY, USA, 1995; pp. 172–186. [Google Scholar]
© 2020 by the authors. Licensee MDPI, Basel, Switzerland. This article is an open access article distributed under the terms and conditions of the Creative Commons Attribution (CC BY) license (http://creativecommons.org/licenses/by/4.0/).
















