Fermi-Level Pinning Mechanism in MoS2 Field-Effect Transistors Developed by Thermionic Emission Theory
Abstract
1. Introduction
2. Experiment
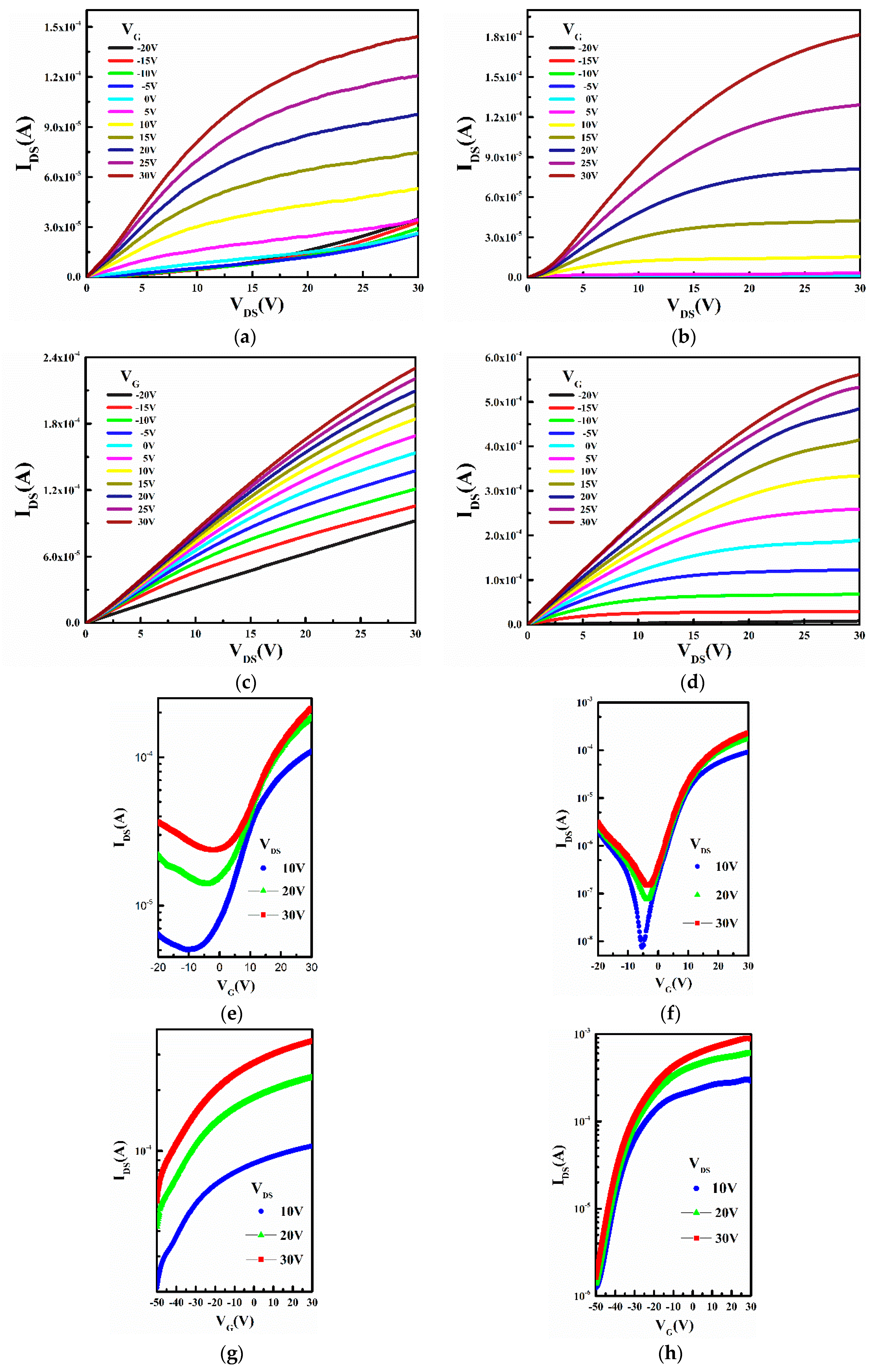
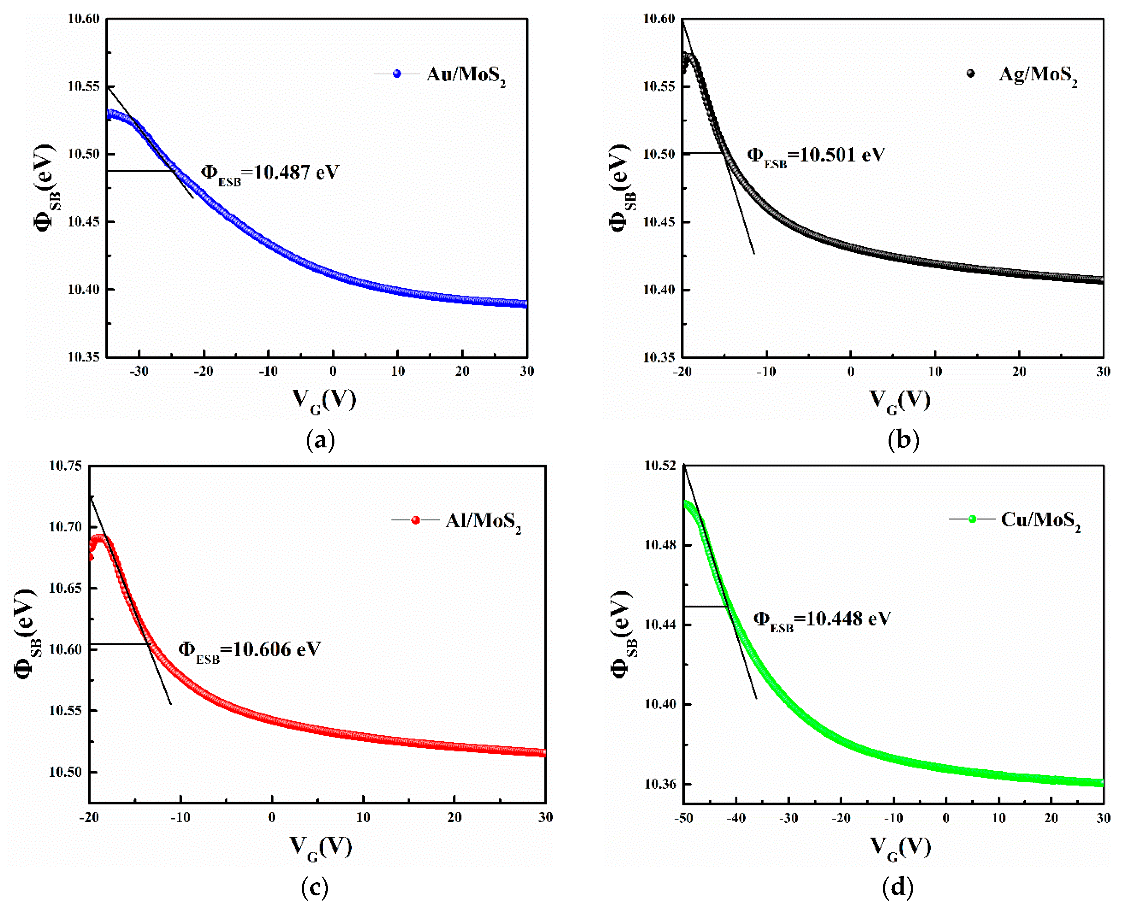
3. Results and Discussion
4. Conclusions
Author Contributions
Funding
Conflicts of Interest
References
- Novoselov, K.; Geim, A.K.; Morozov, S.; Jiang, D.; Zhang, Y.; Dubonos, S.V.; Grigorieva, I.V.; Firsov, A.A. Electric Field Effect in Atomically Thin Carbon Films. Science 2004, 306, 666–669. [Google Scholar] [CrossRef] [PubMed]
- Novoselov, K.S.; Geim, A.K.; Morozov, S.V.; Colombo, L.; Gellert, P.R.; Schwab, M.G.; Kim, K. A Roadmap for Grapheme. Nature 2012, 490, 192–200. [Google Scholar] [CrossRef] [PubMed]
- Xu, X.; Yao, W.; Xiao, D.; Heinz, T.F. Spin and pseudospins in layered transition metal dichalcogenides. Nat. Phys. 2014, 10, 343–350. [Google Scholar] [CrossRef]
- Balabai, R.; Solomenko, A. Flexible 2D layered material junctions. Appl. Nanosci. 2018, 9, 1011–1016. [Google Scholar] [CrossRef]
- Halim, U.; Zheng, C.R.; Chen, Y.; Lin, Z.; Jiang, S.; Cheng, R.; Huang, Y.; Duan, X. A Rational Design of Cosolvent Exfoliation of Layered Materials by Directly Probing Liquid-solid Interaction. Nat. Commun. 2013, 4, 2213. [Google Scholar] [CrossRef] [PubMed]
- Duan, X.; Wang, C.; Pan, A.; Yu, R. ChemInform Abstract: Two-Dimensional Transition Metal Dichalcogenides as Atomically Thin Semiconductors: Opportunities and Challenges. ChemInform 2016, 47, 81–87. [Google Scholar] [CrossRef]
- Hong, X.; Kim, J.; Shi, S.; Zhang, Y.; Jin, C.; Sun, Y.; Tongay, S.; Wu, J.; Zhang, Y.; Wang, F. Ultrafast charge transfer in atomically thin MoS2/WS2 heterostructures. Nat. Nanotechnol. 2014, 9, 682–686. [Google Scholar] [CrossRef]
- Ugeda, M.M.; Bradley, A.J.; Zhang, Y.; Onishi, S.; Chen, Y.; Ruan, W.; Ojeda-Aristizabal, C.; Ryu, H.; Edmonds, M.T.; Tsai, H.-Z.; et al. Characterization of collective ground states in single-layer NbSe2. Nat. Phys. 2015, 12, 92–97. [Google Scholar] [CrossRef]
- Hoesch, M.; Cui, X.; Shimada, K.; Battaglia, C.; Fujimori, S.; Berger, H. Splitting in the Fermi surface of ZrTe3: A surface charge density wave system. Phys. Rev. B 2009, 80, 075423. [Google Scholar] [CrossRef]
- Radisavljevic, B.; Radenovic, A.; Brivio, J.; Giacometti, V.; Kis, A. Single-layer MoS2 transistors. Nat. Nanotechnol. 2011, 6, 147–150. [Google Scholar] [CrossRef]
- Yi, M.; Shen, Z. A review on mechanical exfoliation for the scalable production of graphene. J. Mater. Chem. A 2015, 3, 11700–11715. [Google Scholar] [CrossRef]
- Liu, H.; Si, M.; Deng, Y.; Neal, A.T.; Du, Y.; Najmaei, S.; Ajayan, P.M.; Lou, J.; Ye, P.D. Switching Mechanism in Single-Layer Molybdenum Disulfide Transistors: An Insight into Current Flow across Schottky Barriers. ACS Nano 2013, 8, 1031–1038. [Google Scholar] [CrossRef] [PubMed]
- Di Bartolomeo, A.; Genovese, L.; Giubileo, F.; Iemmo, L.; Luongo, G.; Foller, T.; Schleberger, M. Hysteresis in the transfer characteristics of MoS2 transistors. 2D Mater. 2017, 5, 015014. [Google Scholar] [CrossRef]
- Zhang, Y.; Ye, J.; Matsuhashi, Y.; Iwasa, Y. Ambipolar MoS2 Thin Flake Transistors. Nano Lett. 2012, 12, 1136–1140. [Google Scholar] [CrossRef] [PubMed]
- Das, S.; Chen, H.-Y.; Penumatcha, A.V.; Appenzeller, J. High Performance Multilayer MoS2 Transistors with Scandium Contacts. Nano Lett. 2012, 13, 100–105. [Google Scholar] [CrossRef] [PubMed]
- Lee, S.; Tang, A.; Aloni, S.; Wong, H.-S.P. Statistical Study on the Schottky Barrier Reduction of Tunneling Contacts to CVD Synthesized MoS2. Nano Lett. 2015, 16, 276–281. [Google Scholar] [CrossRef]
- Das, S.; Appenzeller, J. Where Does the Current Flow in Two-Dimensional Layered Systems? Nano Lett. 2013, 13, 3396–3402. [Google Scholar] [CrossRef]
- Kaushik, N.; Nipane, A.; Basheer, F.; Dubey, S.; Grover, S.; Deshmukh, M.M.; Lodha, S. Schottky barrier heights for Au and Pd contacts to MoS2. Appl. Phys. Lett. 2014, 105, 113505. [Google Scholar] [CrossRef]
- Guo, Y.; Liu, D.; Robertson, J. 3D Behavior of Schottky Barriers of 2D Transition-Metal Dichalcogenides. ACS Appl. Mater. Interfaces 2015, 7, 25709–25715. [Google Scholar] [CrossRef]
- Liu, Y.; Guo, J.; Zhu, E.; Liao, L.; Lee, S.-J.; Ding, M.; Shakir, I.; Gambin, V.; Huang, Y.; Duan, X. Approaching the Schottky–Mott limit in van der Waals metal–semiconductor junctions. Nature 2018, 557, 696–700. [Google Scholar] [CrossRef]
- Sankey, O.F.; Allen, R.E.; Dow, J.D. Si/transition-metal Schottky barriers: Fermi-level pinning by Si dangling bonds at interfacial vacancies. Solid State Commun. 1984, 49, 1–5. [Google Scholar] [CrossRef]
- Zan, R.; Ramasse, Q.M.; Jalil, R.; Georgiou, T.; Bangert, U.; Novoselov, K.S. Control of Radiation Damage in MoS2 by Graphene Encapsulation. ACS Nano 2013, 7, 10167–10174. [Google Scholar] [CrossRef] [PubMed]
- Zhao, B.; Shang, C.; Qi, N.; Chen, Z.; Chen, Z. Stability of defects in monolayer MoS2 and their interaction with O2 molecule: A first-principles study. Appl. Surf. Sci. 2017, 412, 385–393. [Google Scholar] [CrossRef]







| Electrode | Mobility (cm2/Vs) | On/Off Ratio | Threshold Voltage(V) |
|---|---|---|---|
| Au | 21.01 | 2.18 × 101 | −3 |
| Ag | 23.15 | 1.23 × 104 | 2.21 |
| Al | 5.35 | 4.14 × 100 | −55 |
| Cu | 40.52 | 2.25 × 102 | −55 |
© 2020 by the authors. Licensee MDPI, Basel, Switzerland. This article is an open access article distributed under the terms and conditions of the Creative Commons Attribution (CC BY) license (http://creativecommons.org/licenses/by/4.0/).
Share and Cite
Zhang, Y.; Chen, X.; Zhang, H.; Wei, X.; Guan, X.; Wu, Y.; Hu, S.; Zheng, J.; Wang, G.; Qiu, J.; et al. Fermi-Level Pinning Mechanism in MoS2 Field-Effect Transistors Developed by Thermionic Emission Theory. Appl. Sci. 2020, 10, 2754. https://doi.org/10.3390/app10082754
Zhang Y, Chen X, Zhang H, Wei X, Guan X, Wu Y, Hu S, Zheng J, Wang G, Qiu J, et al. Fermi-Level Pinning Mechanism in MoS2 Field-Effect Transistors Developed by Thermionic Emission Theory. Applied Sciences. 2020; 10(8):2754. https://doi.org/10.3390/app10082754
Chicago/Turabian StyleZhang, Yu, Xiong Chen, Hao Zhang, Xicheng Wei, Xiangfeng Guan, Yonghua Wu, Shaozu Hu, Jiale Zheng, Guidong Wang, Jiawen Qiu, and et al. 2020. "Fermi-Level Pinning Mechanism in MoS2 Field-Effect Transistors Developed by Thermionic Emission Theory" Applied Sciences 10, no. 8: 2754. https://doi.org/10.3390/app10082754
APA StyleZhang, Y., Chen, X., Zhang, H., Wei, X., Guan, X., Wu, Y., Hu, S., Zheng, J., Wang, G., Qiu, J., & Wang, J. (2020). Fermi-Level Pinning Mechanism in MoS2 Field-Effect Transistors Developed by Thermionic Emission Theory. Applied Sciences, 10(8), 2754. https://doi.org/10.3390/app10082754

