Energy Management and Control System Design of an Integrated Flywheel Energy Storage System for Residential Users
Abstract
1. Introduction
2. System Overview
2.1. Flywheel Energy Storage System (FESS)
2.2. FESS Operating Modes
3. Materials and Methods
3.1. Energy Management System
3.1.1. DC-Link Voltage Loop
3.1.2. FESS-Based EMS
3.1.3. Grid-Based EMS
3.2. IRLA-SPM Control System
3.3. Grid-Side Converter Control System
4. System Setup
5. Results
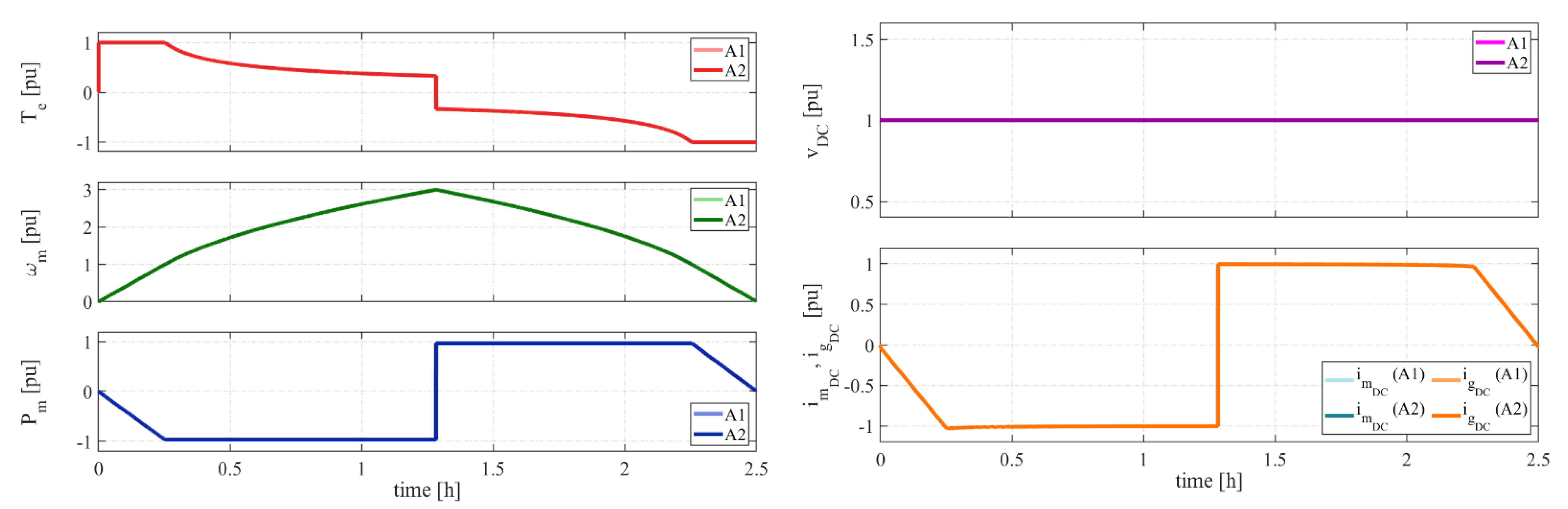
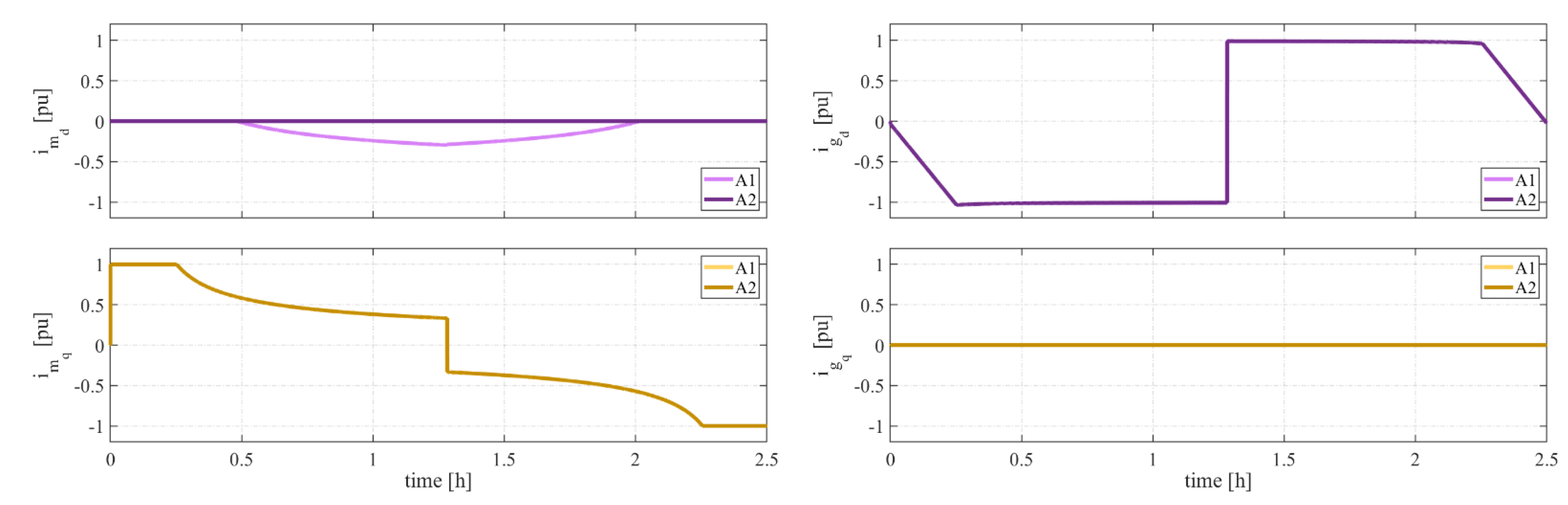
5.1. Cases A1 and A2: Round Trip Tests
5.2. Case B1: Self-Discharge Test
5.3. Cases C1 and C2: Sunny and Cloudy Days
6. Discussion
7. Conclusions
Author Contributions
Funding
Institutional Review Board Statement
Informed Consent Statement
Data Availability Statement
Conflicts of Interest
Abbreviations
| DER | Distributed Energy Resource |
| EMS | Energy Management System |
| ESS | Energy Storage System |
| FESS | Flywheel Energy Storage System |
| IRLA-SPM | Inner-Rotor Large-Airgap Surface-Mounted Permanent Magnet Synchronous Machine |
| M/G | Motor/Generator |
| OM | Operating Mode |
| PI | Proportional-Integral |
| PLL | Phase-Locked Loop |
| PM | Permanent magnet |
| PV | Photovoltaic |
| SOE | State-of-energy |
References
- Hatziargyriou, N.; Asano, H.; Iravani, R.; Marnay, C. Microgrids. IEEE Power Energy Mag. 2007, 5, 78–94. [Google Scholar] [CrossRef]
- Katiraei, F.; Iravani, R.; Hatziargyriou, N.; Dimeas, A. Microgrids Management. IEEE Power Energy Mag. 2008, 6, 54–65. [Google Scholar] [CrossRef]
- Xiao, Y.; Wang, X.; Wang, X.; Wu, Z.; Liu, W. The Coordinated Development Path of Renewable Energy and National Economy in China Considering Risks of Electricity Market and Energy Policy. IEEE Trans. Ind. Inform. 2017, 13, 2566–2575. [Google Scholar] [CrossRef]
- Aly, A.; Kassem, A.; Sayed, K.; Aboelhassan, I. Design of Microgrid with Flywheel Energy Storage System Using HOMER Software for Case Study. In Proceedings of the 2019 International Conference on Innovative Trends in Computer Engineering (ITCE), Aswan, Egypt, 2–4 February 2019; pp. 485–491. [Google Scholar]
- Walling, R.A.; Saint, R.; Dugan, R.C.; Burke, J.; Kojovic, L.A. Summary of Distributed Resources Impact on Power Delivery Systems. IEEE Trans. Power Deliv. 2008, 23, 1636–1644. [Google Scholar] [CrossRef]
- Strasser, T.; Andrén, F.; Kathan, J.; Cecati, C.; Buccella, C.; Siano, P.; Leitão, P.; Zhabelova, G.; Vyatkin, V.; Vrba, P.; et al. A Review of Architectures and Concepts for Intelligence in Future Electric Energy Systems. IEEE Trans. Ind. Electron. 2015, 62, 2424–2438. [Google Scholar] [CrossRef]
- Yekini-Suberu, M.; Wazir-Mustafa, M.; Bashir, N. Energy Storage Systems for Renewable Energy Power Sector Integration and Mitigation of Intermittency. Renew. Sustain. Energy Rev. 2014, 35, 499–514. [Google Scholar] [CrossRef]
- Du, P.; Lu, N. Energy Storage for Smart Grids: Planning and Operation for Renewable and Variable Energy Resources (VERs); Academic Press: Cambridge, MA, USA, 2014; ISBN 978-0-12-409543-4. [Google Scholar]
- Gao, D.W. Energy Storage for Sustainable Microgrid; Academic Press: Cambridge, MA, USA, 2015; ISBN 978-0-12-803375-3. [Google Scholar]
- Dragičević, T.; Lu, X.; Vasquez, J.C.; Guerrero, J.M. DC Microgrids—Part II: A Review of Power Architectures, Applications, and Standardization Issues. IEEE Trans. Power Electron. 2016, 31, 3528–3549. [Google Scholar] [CrossRef]
- Jankowiak, C.; Zacharopoulos, A.; Brandoni, C.; Keatley, P.; MacArtain, P.; Hewitt, N. The Role of Domestic Integrated Battery Energy Storage Systems for Electricity Network Performance Enhancement. Energies 2019, 12, 3954. [Google Scholar] [CrossRef]
- Hesse, H.C.; Schimpe, M.; Kucevic, D.; Jossen, A. Lithium-Ion Battery Storage for the Grid—A Review of Stationary Battery Storage System Design Tailored for Applications in Modern Power Grids. Energies 2017, 10, 2107. [Google Scholar] [CrossRef]
- Farhadi, M.; Mohammed, O. Energy Storage Technologies for High-Power Applications. IEEE Trans. Ind. Appl. 2016, 52, 1953–1961. [Google Scholar] [CrossRef]
- Mishra, P.P.; Latif, A.; Emmanuel, M.; Shi, Y.; McKenna, K.; Smith, K.; Nagarajan, A. Analysis of Degradation in Residential Battery Energy Storage Systems for Rate-Based Use-Cases. Appl. Energy 2020, 264, 114632. [Google Scholar] [CrossRef]
- Zhao, J.; Burke, A.F. Review on Supercapacitors: Technologies and Performance Evaluation. J. Energy Chem. 2021, 59, 276–291. [Google Scholar] [CrossRef]
- Zhang, L.; Hu, X.; Wang, Z.; Sun, F.; Dorrell, D.G. A Review of Supercapacitor Modeling, Estimation, and Applications: A Control/Management Perspective. Renew. Sustain. Energy Rev. 2018, 81, 1868–1878. [Google Scholar] [CrossRef]
- Awadallah, M.A.; Venkatesh, B. Energy Storage in Flywheels: An Overview. Can. J. Electr. Comput. Eng. 2015, 38, 183–193. [Google Scholar] [CrossRef]
- Mousavi G, S.M.; Faraji, F.; Majazi, A.; Al-Haddad, K. A Comprehensive Review of Flywheel Energy Storage System Technology. Renew. Sustain. Energy Rev. 2017, 67, 477–490. [Google Scholar] [CrossRef]
- Yulong, P.; Cavagnino, A.; Vaschetto, S.; Feng, C.; Tenconi, A. Flywheel Energy Storage Systems for Power Systems Application. In Proceedings of the 6th International Conference on Clean Electrical Power (ICCEP 2017), Liguria, Italy, 27–29 June 2017; pp. 492–501. [Google Scholar]
- Arani, A.A.K.; Karami, H.; Gharehpetian, G.B.; Hejazi, M.S.A. Review of Flywheel Energy Storage Systems Structures and Applications in Power Systems and Microgrids. Renew. Sustain. Energy Rev. 2017, 69, 9–18. [Google Scholar] [CrossRef]
- Amiryar, M.E.; Pullen, K.R. A Review of Flywheel Energy Storage System Technologies and Their Applications. Appl. Sci. 2017, 7, 286. [Google Scholar] [CrossRef]
- Wicki, S.; Hansen, E.G. Clean Energy Storage Technology in the Making: An Innovation Systems Perspective on Flywheel Energy Storage. J. Clean. Prod. 2017, 162, 1118–1134. [Google Scholar] [CrossRef]
- Luo, X.; Wang, J.; Dooner, M.; Clarke, J. Overview of Current Development in Electrical Energy Storage Technologies and the Application Potential in Power System Operation. Appl. Energy 2014. [Google Scholar] [CrossRef]
- Ha, S.K.; Han, H.H.; Han, Y.H. Design and Manufacture of a Composite Flywheel Press-Fit Multi-Rim Rotor. J. Reinf. Plast. Compos. 2008, 27, 953–965. [Google Scholar] [CrossRef]
- Dergachev, P.; Kosterin, A.; Kurbatova, E.; Kurbatov, P. Flywheel Energy Storage System with Magnetic Hts Suspension and Embedded in the Flywheel Motor-Generator. In Proceedings of the 2016 IEEE International Power Electronics and Motion Control Conference (PEMC), Varna, Bulgaria, 25–30 September 2016; pp. 574–579. [Google Scholar]
- Nadeem, F.; Hussain, S.M.S.; Tiwari, P.K.; Goswami, A.K.; Ustun, T.S. Comparative Review of Energy Storage Systems, Their Roles, and Impacts on Future Power Systems. IEEE Access 2019, 7, 4555–4585. [Google Scholar] [CrossRef]
- Kim, S.J.; Hayat, K.; Nasir, S.U.; Ha, S.K. Design and Fabrication of Hybrid Composite Hubs for a Multi-Rim Flywheel Energy Storage System. Compos. Struct. 2014, 107, 19–29. [Google Scholar] [CrossRef]
- Ha, S.K.; Yang, H.-I.; Kim, D.-J. Optimal Design of a Hybrid Composite Flywheel with a Permanent Magnet Rotor. J. Compos. Mater. 1999, 33, 1544–1575. [Google Scholar] [CrossRef]
- Hearn, C.S. Design Methodologies for Advanced Flywheel Energy Storage. Ph.D. Thesis, The University of Texas at Austin, Austin, TX, USA, August 2013. [Google Scholar]
- Saber, M. Analysis of Integrated Cylinder-Shaped Steel Flywheels in Flywheel Energy Storing Systems. Port-Said Eng. Res. J. 2019, 23, 62–71. [Google Scholar] [CrossRef][Green Version]
- Tsao, P.; Senesky, M.; Sanders, S.R. An Integrated Flywheel Energy Storage System with Homopolar Inductor Motor/Generator and High-Frequency Drive. IEEE Trans. Ind. Appl. 2003, 39, 1710–1725. [Google Scholar] [CrossRef]
- Floris, A.; Paderi, M.; Damiano, A.; Aymerich, F.; Serpi, A. Design Criteria and Methodology of a Multi-Rim Carbon-Fibre Flywheel to Be Integrated within a Large-Airgap PMSM. In Proceedings of the IECON 2020 The 46th Annual Conference of the IEEE Industrial Electronics Society, Gliwice, Poland, 18–21 October 2020; pp. 913–919. [Google Scholar]
- Floris, A.; Damiano, A.; Serpi, A. Design and Performance Assessment of an Integrated Flywheel Energy Storage Systems Based on an Inner-Rotor Large-Airgap SPM. In Proceedings of the 2020 International Conference on Electrical Machines (ICEM), Gothenburg (Sweden), 23–26 August 2020; Volume 1, pp. 633–639. [Google Scholar]
- Lu, D.; Kar, N.C. A Review of Flux-Weakening Control in Permanent Magnet Synchronous Machines. In Proceedings of the IEEE Vehicle Power and Propulsion Conference (VPPC 2010), Lille, France, 1–3 September 2010; pp. 1–6. [Google Scholar]
- Maric, D.S.; Hiti, S.; Stancu, C.C.; Nagashima, J.M.; Rutledge, D.B. Two Flux Weakening Schemes for Surface-Mounted Permanent-Magnet Synchronous Drives. Design and Transient Response Considerations. In Proceedings of the IEEE International Symposium on Industrial Electronics (ISIE 1999), Piscataway, NJ, USA, 12–16 July 1999; Volume 2, pp. 673–678. [Google Scholar]
- OP-4510 Overview. Available online: https://www.opal-rt.com/simulator-platform-op4510/ (accessed on 15 March 2021).
- EGauge117 Center. Available online: http://egauge117.egaug.es/ (accessed on 15 March 2021).
- Serpi, A.; Porru, M.; Damiano, A. An Optimal Power and Energy Management by Hybrid Energy Storage Systems in Microgrids. Energies 2017, 10, 1909. [Google Scholar] [CrossRef]
- Porru, M.; Serpi, A.; Salimbeni, A.; Damiano, A. An Advanced Frequency-Based Energy Management of Hybrid Energy Storage Systems for Microgrids. In Proceedings of the IECON 2017—43rd Annual Conference of the IEEE Industrial Electronics Society, Beijing, China, 29 October–1 November 2017; pp. 7617–7622. [Google Scholar]
- Salimbeni, A.; Porru, M.; Damiano, A.; Serpi, A. A Smart Energy Management System of a Highly-Integrated Battery-Ultracapacitor System. In Proceedings of the 2020 2nd IEEE International Conference on Industrial Electronics for Sustainable Energy Systems (IESES), Cagliari, Italy, 1–3 September 2020; Volume 1, pp. 27–32. [Google Scholar]

















| On/Off | ωm > ωm,nom | Operating Mode | EMS | ωm* |
|---|---|---|---|---|
| 0 | 0 | shut down | FESS-based | 0 |
| 0 | 1 | 0 | ||
| 1 | 0 | pre-charging | ωm,nom | |
| 1 | 1 | ready | grid-based | - |
| Description | Symbol | Value | Unit |
|---|---|---|---|
| rated power | Pn | 8 | kW |
| rated torque | Te,n | 12.7 | Nm |
| min operating speed | ωm,min | 6 | krpm |
| max operating speed | ωm,max | 18 | krpm |
| min operating energy | Emin | 1 | kWh |
| max operating energy | Emax | 9 | kWh |
| exchangeable energy | ΔE | 8 | kWh |
| Case | Description | PV Profile | DC-Link Voltage | Time Frame |
|---|---|---|---|---|
| A1 | round-trip test | none | 360 V | 2.5 h |
| A2 | round-trip test | none | 720 V | 2.5 h |
| B1 | self-discharge | none | none | 85 h |
| C1 | sunny day | sunny | 360, 720 V | 24 h |
| C2 | cloudy day | cloudy |
| Case | Charging | Discharging | Round-Trip | |||
|---|---|---|---|---|---|---|
| η @Te = Const. | η @Pm = Const. | η @Pm = Const. | η @Te = Const. | η | η @Pm = Const. | |
| A1 | 92.6 | 96.2 | 96.2 | 92.6 | 91.8 | 92.6 |
| A2 | 92.6 | 96.1 | 96.2 | 92.6 | 91.8 | 92.5 |
| Case | Time@ωm = 2 pu | Time@ωm = 1.5 pu | Time@ωm = 1 pu | Time@ωm = 0 pu |
|---|---|---|---|---|
| B1 | 20 [h] | 35 [h] | 47 [h] | 81 [h] |
| Case | VDC [V] | Peak Power | Average Power | Ripple Power | Energy Drawn | Energy Delivered | Daily Efficiency |
|---|---|---|---|---|---|---|---|
| [kW] | [kW] | [kW] | [kWh] | [kWh] | |||
| C1 | no FESS | 4.03 | 0.21 | 1.80 | - | - | - |
| 360 | 3.67 | 0.08 | 1.16 | 11.02 | 7.85 | 71.2 | |
| 720 | 3.65 | 0.08 | 1.15 | 11.08 | 7.83 | 70.7 | |
| C2 | no FESS | 4.26 | −0.26 | 1.05 | - | - | - |
| 360 | 1.44 | −0.35 | 0.52 | 7.27 | 5.19 | 71.4 | |
| 720 | 1.44 | −0.35 | 0.52 | 7.27 | 5.19 | 71.4 |
Publisher’s Note: MDPI stays neutral with regard to jurisdictional claims in published maps and institutional affiliations. |
© 2021 by the authors. Licensee MDPI, Basel, Switzerland. This article is an open access article distributed under the terms and conditions of the Creative Commons Attribution (CC BY) license (https://creativecommons.org/licenses/by/4.0/).
Share and Cite
Floris, A.; Porru, M.; Damiano, A.; Serpi, A. Energy Management and Control System Design of an Integrated Flywheel Energy Storage System for Residential Users. Appl. Sci. 2021, 11, 4615. https://doi.org/10.3390/app11104615
Floris A, Porru M, Damiano A, Serpi A. Energy Management and Control System Design of an Integrated Flywheel Energy Storage System for Residential Users. Applied Sciences. 2021; 11(10):4615. https://doi.org/10.3390/app11104615
Chicago/Turabian StyleFloris, Andrea, Mario Porru, Alfonso Damiano, and Alessandro Serpi. 2021. "Energy Management and Control System Design of an Integrated Flywheel Energy Storage System for Residential Users" Applied Sciences 11, no. 10: 4615. https://doi.org/10.3390/app11104615
APA StyleFloris, A., Porru, M., Damiano, A., & Serpi, A. (2021). Energy Management and Control System Design of an Integrated Flywheel Energy Storage System for Residential Users. Applied Sciences, 11(10), 4615. https://doi.org/10.3390/app11104615

