Fourier Singular Values-Based False Data Injection Attack Detection in AC Smart-Grids
Abstract
1. Introduction
1.1. Background
1.2. Motivation and Main Contributions of the Paper
1.3. Paper Structure
2. Islanded Smart Microgrid and False Data Injection Attack
2.1. Islanded Smart Microgrid (ISMG)
2.2. False Data Injection
2.3. Islanded Smart Microgrid and FDI
3. FDIA Detection
3.1. Fourier Singular Values
3.1.1. Theory of FFT
3.1.2. SVD Theory
3.2. Proposed Detection Mechanism
4. Case Studies
4.1. Cyber-Physical Model
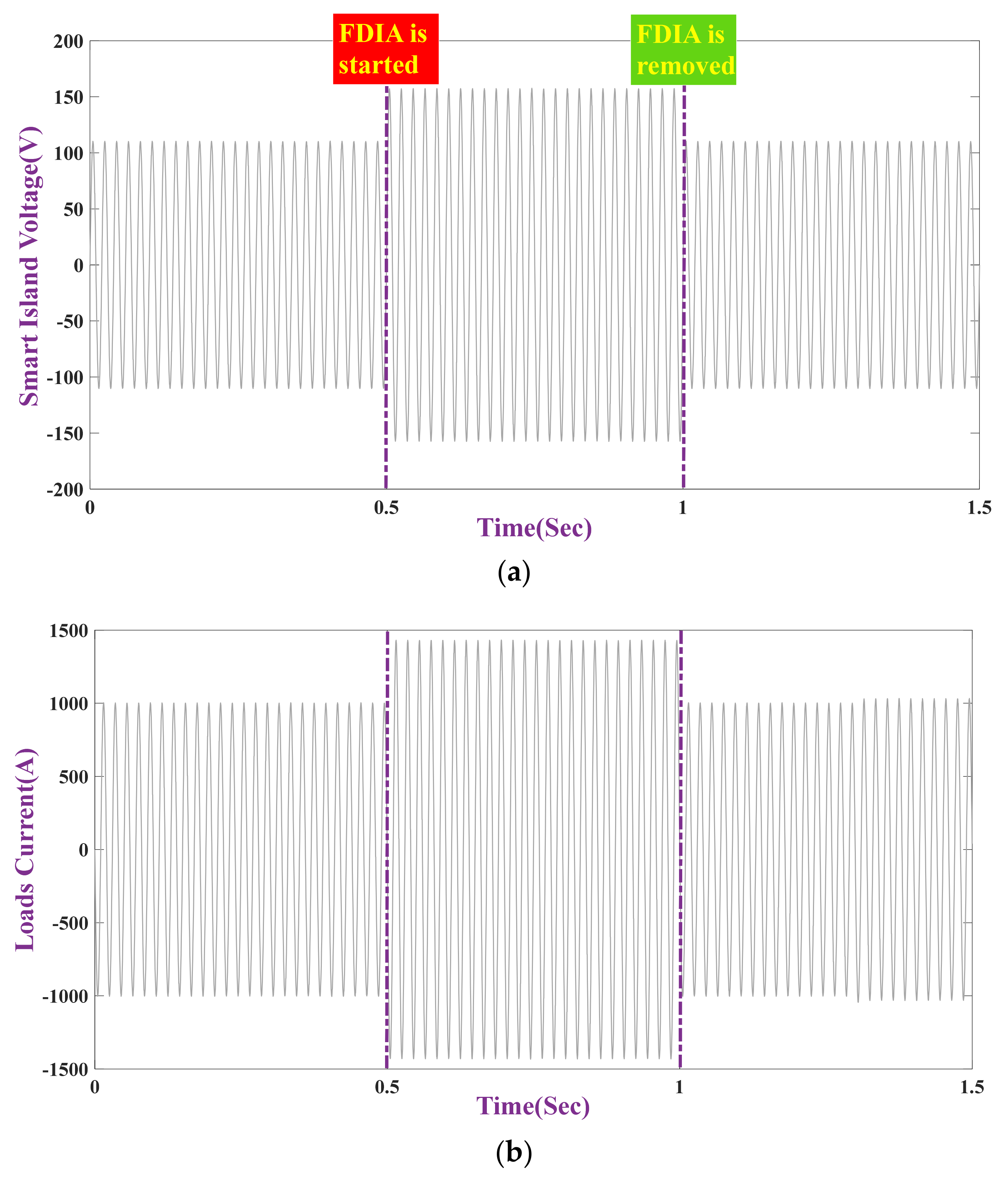
4.2. Simulation Results of Assumed Case Studies
5. Discussion
6. Conclusions
Author Contributions
Funding
Institutional Review Board Statement
Informed Consent Statement
Data Availability Statement
Conflicts of Interest
References
- Ghiasi, M.; Niknam, T.; Dehghani, M.; Siano, P.; Alhelou, H.H.; Al-Hinai, A. Optimal multi-operation energy management in smart microgrids in the presence of ress based on multi-objective improved de algorithm: Cost-emission based optimization. Appl. Sci. 2021, 11, 3661. [Google Scholar] [CrossRef]
- Yan, Y.; Qian, Y.; Sharif, H.; Tipper, D. A survey on smart grid communication infrastructures: Motivations, requirements and challenges. IEEE Commun. Surv. Tutor. 2013, 15, 5–20. [Google Scholar] [CrossRef]
- Ghiasi, M.; Dehghani, M.; Niknam, T.; Baghaee, H.R.; Padmanaban, S.; Gharehpetian, G.B.; Aliev, H. Resiliency/cost-based optimal design of distribution network to maintain power system stability against physical attacks: A practical study case. IEEE Access 2021, 9, 43862–43875. [Google Scholar] [CrossRef]
- Ten, C.-W.; Manimaran, G.; Liu, C.-C. Cybersecurity for critical infrastructures: Attack and defense modeling. IEEE Trans. Syst. Man Cybern. Part A Syst. Hum. 2010, 40, 853–865. [Google Scholar] [CrossRef]
- Wang, Q.; Tai, W.; Tang, Y.; Ni, M. Review of the false data injection attack against the cyber-physical power system. IET Cyber-Phys. Syst. Theory Appl. 2019, 4, 101–107. [Google Scholar] [CrossRef]
- Dehghani, M.; Ghiasi, M.; Niknam, T.; Kavousi-Fard, A.; Padmanaban, S. False data injection attack detection based on Hilbert-Huang Transform in AC Smart Islands. IEEE Access 2020, 8, 179002–179017. [Google Scholar] [CrossRef]
- Liang, G.; Zhao, J.H.; Luo, F.; Weller, S.R.; Dong, Z.Y. A review of false data injection attacks against modern power Systems. IEEE Trans. Smart Grid 2017, 8, 1630–1638. [Google Scholar] [CrossRef]
- Liang, J.; Sankar, L.; Kosut, O. Vulnerability analysis and consequences of false data injection attack on power system state estimation. IEEE Trans. Power Syst. 2016, 31, 3864–3872. [Google Scholar] [CrossRef]
- Chang, Q.; Ma, X.; Chen, M.; Gao, X.; Dehghani, M. A deep learning based secured energy management framework within a smart island. Sustain. Cities Soc. 2021, 70, 102938. [Google Scholar] [CrossRef]
- Liu, S.; You, S.; Yin, H.; Lin, Z.; Liu, Y.; Yao, W.; Sundaresh, L. Model-free data authentication for cyber security in power systems. IEEE Trans. Smart Grid 2020, 11, 4565–4568. [Google Scholar] [CrossRef]
- Giechaskiel, I.; Rasmussen, K. Taxonomy and challenges of out-of-band signal injection attacks and defenses. IEEE Commun. Surv. Tutor. 2020, 22, 645–670. [Google Scholar] [CrossRef]
- Deng, R.; Xiao, G.; Lu, R. Defending against false data injection attacks on power system state estimation. IEEE Trans. Ind. Inform. 2017, 13, 198–207. [Google Scholar] [CrossRef]
- Yu, Z.-H.; Chin, W.-L. Blind false data injection attack using PCA approximation method in smart grid. IEEE Trans. Smart Grid 2015, 6, 1219–1226. [Google Scholar] [CrossRef]
- Zhu, H.; Giannakis, G.B. Robust power system state estimation for the nonlinear AC flow model. In Proceedings of the 2012 North American Power Symposium (NAPS), Champaign, IL, USA, 9–11 September 2012; pp. 1–6. [Google Scholar]
- Liang, J.; Kosut, O.; Sankar, L. Cyber attacks on AC state estimation: Unobservability and physical consequences. In Proceedings of the 2014 IEEE PES General Meeting|Conference & Exposition, Washington, DC, USA, 27–31 July 2014; pp. 1–5. [Google Scholar]
- Dehghani, M.; Ghiasi, M.; Niknam, T.; Kavousi-Fard, A.; Shasadeghi, M.; Ghadimi, N.; Taghizadeh-Hesary, F. Blockchain-based securing of data exchange in a power transmission system considering congestion management and social welfare. Sustainability 2021, 13, 90. [Google Scholar] [CrossRef]
- Ghiasi, M.; Dehghani, M.; Niknam, T.; Kavousi-Fard, A.; Siano, P.; Alhelou, H.H. Cyber-attack detection and cyber-security enhancement in smart dc-microgrid based on blockchain technology and hilbert huang transform. IEEE Access 2021, 9, 29429–29440. [Google Scholar] [CrossRef]
- Sandberg, H.; Teixeira, A.; Johansson, K.H. On security indices for state estimators in power networks. In Proceedings of the 13th International Conference on Hybrid Systems: Computation and Control (HSCC)., Stockholm, Sweden, 12–16 April 2010. [Google Scholar]
- Wang, J.; Hui, L.C.; Yiu, S.; Wang, E.K.; Fang, J. A survey on cyber attacks against nonlinear state estimation in power systems of ubiquitous cities. Pervasive Mob. Comput. 2017, 39, 52–64. [Google Scholar] [CrossRef]
- Foroutan, S.A.; Salmasi, F.R. Detection of false data injection attacks against state estimation in smart grids based on a mixture Gaussian distribution learning method. IET Cyber-Phys. Syst. Theory Appl. 2017, 2, 161–171. [Google Scholar] [CrossRef]
- Liu, L.; Esmalifalak, M.; Ding, Q.; Emesih, V.A.; Han, Z. Detecting false data injection attacks on power grid by sparse optimization. IEEE Trans. Smart Grid 2014, 5, 612–621. [Google Scholar] [CrossRef]
- Xu, R.; Wang, R.; Guan, Z.; Wu, L.; Wu, J.; Du, X. Achieving efficient detection against false data injection attacks in smart grid. IEEE Access 2017, 5, 13787–13798. [Google Scholar] [CrossRef]
- Guan, Y.; Ge, X. Distributed attack detection and secure estimation of networked cyber-physical systems against false data injection attacks and jamming attacks. IEEE Trans. Signal Inf. Process. Over Netw. 2018, 4, 48–59. [Google Scholar] [CrossRef]
- Esmalifalak, M.; Liu, L.; Nguyen, N.; Zheng, R.; Han, Z. Detecting stealthy false data injection using machine learning in smart grid. IEEE Syst. J. 2017, 11, 1644–1652. [Google Scholar] [CrossRef]
- Ozay, M.; Esnaola, I.; Vural, F.T.Y.; Kulkarni, S.R.; Poor, H.V. Machine Learning Methods for Attack Detection in the Smart Grid. IEEE Trans. Neural Netw. Learn. Syst. 2016, 27, 1773–1786. [Google Scholar] [CrossRef]
- Rahman, M.A.; Mohsenian-Rad, H. False data injection attacks against nonlinear state estimation in smart power grids. In Proceedings of the 2013 IEEE Power & Energy Society General Meeting, Vancouver, BC, Canada, 21–25 July 2013. [Google Scholar]
- Soltan, S.; Yannakakis, M.; Zussman, G. Power grid state estimation following a joint cyber and physical attack. IEEE Trans. Control Netw. Syst. 2018, 5, 499–512. [Google Scholar] [CrossRef]
- Soltan, S.; Zussman, G. EXPOSE the line failures following a cyber-physical attack on the power grid. IEEE Trans. Control Netw. Syst. 2018, 6, 451–461. [Google Scholar] [CrossRef]
- Soltan, S.; Yannakakis, M.; Zussman, G. REACT to cyber attacks on power grids. IEEE Trans. Netw. Sci. Eng. 2019, 6, 459–473. [Google Scholar] [CrossRef]
- Mili, L.; Cheniae, M.; Rousseeuw, P. Robust state estimation of electric power systems. IEEE Trans. Circuits Syst. I Regul. Pap. 1994, 41, 349–358. [Google Scholar] [CrossRef]
- Li, Y.; Li, Z.; Chen, L. Dynamic state estimation of generators under cyber attacks. IEEE Access 2019, 7, 125253–125267. [Google Scholar] [CrossRef]
- Yu, J.J.Q.; Hou, Y.; Li, V.O.K. Online false data injection attack detection with wavelet transform and deep neural networks. IEEE Trans. Ind. Inform. 2018, 14, 3271–3280. [Google Scholar] [CrossRef]
- Manandhar, K.; Cao, X.; Hu, F.; Liu, Y. Detection of faults and attacks including false data injection attack in smart grid using kalman filter. IEEE Trans. Control Netw. Syst. 2014, 1, 370–379. [Google Scholar] [CrossRef]
- Sahoo, S.; Mishra, S.; Peng, J.C.-H.; Dragicevic, T. A stealth cyber-attack detection strategy for DC Microgrids. IEEE Trans. Power Electron. 2019, 34, 8162–8174. [Google Scholar] [CrossRef]
- Chaojun, G.; Jirutitijaroen, P.; Motani, M. Detecting false data injection attacks in AC state estimation. IEEE Trans. Smart Grid 2015, 6, 2476–2483. [Google Scholar] [CrossRef]
- Sahoo, S.; Peng, J.C.-H.; Devakumar, A.; Mishra, S.; Dragicevic, T. On detection of false data in cooperative dc microgrids—A discordant element approach. IEEE Trans. Ind. Electron. 2020, 67, 6562–6571. [Google Scholar] [CrossRef]
- Awan, U. Steering for sustainable development goals: A typology of sustainable innovation. In Industry, Innovation and Infrastructure; Filho, W.L., Azul, A.M., Brandli, L., Salvia, A.L., Wall, T., Eds.; Springer International Publishing: Cham, Switzerland, 2020; pp. 1–12. [Google Scholar]
- Medici, M.; Canavari, M.; Toselli, M. Interpreting Environmental Impacts Resulting from Fruit Cultivation in a Business Innovation Perspective. Sustainability 2020, 12, 9793. [Google Scholar] [CrossRef]
- Ashok, A.; Hahn, A.; Govindarasu, M. Cyber-physical security of Wide-Area Monitoring, Protection and Control in a smart grid environment. J. Adv. Res. 2014, 5, 481–489. [Google Scholar] [CrossRef]
- Lee, E.A. Cyber-physical systems-are computing foundations adequate. In Position Paper for NSF Workshop on Cyber-Physical Systems: Research Motivation, Techniques and Roadmap; Citeseer: Princeton, NJ, USA, 2006. [Google Scholar]
- Duan, P.; Soleimani, H.; Ghazanfari, A.; Dehghani, M. Distributed energy management in smart grids based on cloud-fog layer architecture considering PHEVs. IEEE Trans. Ind. Appl. 2020. [Google Scholar] [CrossRef]
- Mo, Y.; Kim, T.H.-J.; Brancik, K.; Dickinson, D.; Lee, H.; Perrig, A.; Sinopoli, B. Cyber–Physical Security of a Smart Grid Infrastructure. Proc. IEEE 2012, 100, 195–209. [Google Scholar]
- Chandola, V.; Banerjee, A.; Kumar, V. Anomaly detection: A survey. ACM Comput. Surv. 2009, 41, 1–58. [Google Scholar] [CrossRef]
- Kitti, A.; Monthon, L.; Somchat, J. An artificial neural networks application for harmonics measurement in power systems. J. KMUTNB 2008, 18, 2–3. [Google Scholar]
- Donnelly, D. The fast fourier and Hilbert-Huang Transforms: A comparison. Int. J. Comput. Commun. Control. 2006, 1, 45–52. [Google Scholar] [CrossRef]
- Zhan, J.; Zhou, Y. Research on fault detection method for AC servo system using FFT algorithm. In Proceedings of the 2017 International Conference on Advanced Mechatronic Systems (ICAMechS), Xiamen, China, 6–9 December 2017; pp. 303–308. [Google Scholar]
- Zhao, X.; Ye, B. Selection of effective singular values using difference spectrum and its application to fault diagnosis of headstock. Mech. Syst. Signal Process. 2011, 25, 1617–1631. [Google Scholar] [CrossRef]
- Jiang, H.; Chen, J.; Dong, G.; Liu, T.; Chen, G. Study on Hankel matrix-based SVD and its application in rolling element bearing fault diagnosis. Mech. Syst. Signal Process. 2015, 52–53, 338–359. [Google Scholar] [CrossRef]
- Gao, J.; Sun, Z.; Li, D.; Zhou, W.; Chen, C. A novel robust adaptive control of parallel energy resources in smart island. Int. J. Electr. Power Energy Syst. 2021, 128, 106703. [Google Scholar] [CrossRef]






















| Reference | Methodology | Detection Procedure | Advantages of Our Suggested Method | 
|---|---|---|---|
| [25] | Deep learning | Using DL methods to distinguish the features of behavior of FDI attack via the historical measurement data and utilizing the obtained features for detecting the FDI attack | Utilizing FFT and SVD to obtain properties to compute FSVs | 
| [22] | Chi-square detector and cosine similarity matching are used | The outcomes described that the detection method on the basis of Chi-square is not able to diagnose the tested FDIAs | This study is able to detect several FDIAs in ISMG | 
| [33] | Kalman filter | Utilizing the mathematical technique in smart grids for detecting the FDI attacks | This paper does not depend on the mathematical model of the system | 
| [34] | Cooperative vulnerability factor | Investigating attacks on voltage measurements | Current and voltage measurements have been considered in this work | 
| [35] | Kullback–Leibler | Able to detect various attacks; it faces difficulty to detect FDI attacks on certain state variables | Proposed paper does not depend on the state variable to detect FDI attacks and is on the basis of signals properties | 
| [36] | A Discordant Element Approach | Investigating attacks on current measurements | Current and voltage measurements have been considered in this work | 
| Symbol | Quantity | Amount | 
|---|---|---|
| DC link input | ||
| The frequency of the voltage | ||
| Inductive filter | ||
| Capacitor filter | ||
| Switching frequency | 
| Label | Genuine Value | ||
|---|---|---|---|
| Detection Pattern Response | Positives | Negatives | |
| Positives | Hit Rate TP | False Alarm Rate FP | |
| Negatives | Miss Rate FN | Correct Rejection Rate TN | |
| Label | Number of Testing Data | Known to Be Compromised | Known to Be Common | Detection Precision (%) | 
|---|---|---|---|---|
| Compromised | 1573 | 1517 | 56 | 96.44 | 
| Common | 1394 | 29 | 1365 | 97.93 | 
| Technique | Genuine Value | |||
|---|---|---|---|---|
| Positives (%) | Negatives (%) | |||
| Detection Pattern Response | FSVs | Positives | 96.44 | 2.07 | 
| Negatives | 3.56 | 97.93 | ||
| DNN with WT [32] | Positives | 96.38 | 4.58 | |
| Negatives | 3.62 | 95.42 | ||
| HHT [6] | Positives | 93.17 | 5.38 | |
| Negatives | 6.83 | 94.62 | ||
| Shallow Model [6] | Positives | 89.47 | 9.93 | |
| Negatives | 10.53 | 90.07 | ||
| Technique | Average Detection Time | DNN Training Time | ||
| Response Time | FSVs | 10 ms | - | |
| DNN with WT [32] | 3.51 ms | 2713.2 s | ||
| HHT [6] | 50 ms | - | ||
| Publisher’s Note: MDPI stays neutral with regard to jurisdictional claims in published maps and institutional affiliations. | 
© 2021 by the authors. Licensee MDPI, Basel, Switzerland. This article is an open access article distributed under the terms and conditions of the Creative Commons Attribution (CC BY) license (https://creativecommons.org/licenses/by/4.0/).
Share and Cite
Dehghani, M.; Niknam, T.; Ghiasi, M.; Siano, P.; Haes Alhelou, H.; Al-Hinai, A. Fourier Singular Values-Based False Data Injection Attack Detection in AC Smart-Grids. Appl. Sci. 2021, 11, 5706. https://doi.org/10.3390/app11125706
Dehghani M, Niknam T, Ghiasi M, Siano P, Haes Alhelou H, Al-Hinai A. Fourier Singular Values-Based False Data Injection Attack Detection in AC Smart-Grids. Applied Sciences. 2021; 11(12):5706. https://doi.org/10.3390/app11125706
Chicago/Turabian StyleDehghani, Moslem, Taher Niknam, Mohammad Ghiasi, Pierluigi Siano, Hassan Haes Alhelou, and Amer Al-Hinai. 2021. "Fourier Singular Values-Based False Data Injection Attack Detection in AC Smart-Grids" Applied Sciences 11, no. 12: 5706. https://doi.org/10.3390/app11125706
APA StyleDehghani, M., Niknam, T., Ghiasi, M., Siano, P., Haes Alhelou, H., & Al-Hinai, A. (2021). Fourier Singular Values-Based False Data Injection Attack Detection in AC Smart-Grids. Applied Sciences, 11(12), 5706. https://doi.org/10.3390/app11125706
 
         
                                                




 
       