Featured Application
A mental and emotional state priming BCI to assist Neurofeedback self-regulation serious games.
Abstract
Neurofeedback training (NFT) is a technique often proposed to train brain activity SR with promising results. However, some criticism has been raised due to the lack of evaluation, reliability, and validation of its learning effects. The current work evaluates the hypothesis that SR learning may be improved by priming the subject before NFT with guided mindfulness meditation (MM). The proposed framework was tested in a two-way parallel-group randomized controlled intervention with a single session alpha NFT, in a simplistic serious game design. Sixty-two healthy naïve subjects, aged between 18 and 43 years, were divided into MM priming and no-priming groups. Although both the EG and CG successfully attained the up-regulation of alpha rhythms (F(1,59) = 20.67, p < 0.001, ηp2 = 0.26), the EG showed a significantly enhanced ability (t(29) = 4.38, p < 0.001) to control brain activity, compared to the CG (t(29) = 1.18, p > 0.1). Furthermore, EG superior performance on NFT seems to be explained by the subject’s lack of awareness at pre-intervention, less vigour at post-intervention, increased task engagement, and a relaxed non-judgemental attitude towards the NFT tasks. This study is a preliminary validation of the proposed assisted priming framework, advancing some implicit and explicit metrics about its efficacy on NFT performance, and a promising tool for improving naïve “users” self-regulation ability.
1. Introduction
Techniques for self-regulation (SR) of mental states are widely used in clinical, professional, athletic, and the game industry, whether for therapeutic, performance, or entertainment reasons. They include imagery training, music regulation, breathing, meditation, amongst others [1,2,3,4,5,6]. Many therapeutic implementations of SR have been using serious games to increase user engagement and motivation for anxiety disorders [7], epilepsy [8], attention-deficit/hyperactivity disorder [9], and cognitive training in elders [10]. However, the combined use of SR and serious games is not a mature methodology. Some criticism has been raised, pointing to the need for gradual stimulation, extra personalization of the methodology, and more rigorous validation of its efficacy [7,9].
With the advancement of SR technologies, mechanistic approaches are increasing, such as brain-computer interfaces (BCI) that utilize our ability to learn how to self-regulate brain states when provided with corrective feedback training (in this field SR is also known as self-control) [11,12,13,14]. This type of training is defined as neurofeedback training (NFT). Put simply, a neurofeedback (NF) interface works as a virtual “mirror” for neuronal oscillations occurring within the brain, empowering a person to modify them [6,7,8] explicitly. In this way, NFT acts as a technique to train brain activity SR (in EEG, train brainwave SR). In generic terms, SR is a vital adaptation process to environmental and social challenges. Moreover, SR deficits are linked with diverse behavioural problems and mental disorders such as depression, rumination, distraction, anxiety, stress, and attention control [1,3]. In neurophysiological terms, the adaptation process depends critically on the brain’s ability to carefully control the time within—and transitions among—different states [15]. Moreover, NFT promising results attracted the attention and scrutiny of the scientific and medical community, and the technique of NF received criticism concerning the insufficient evaluation, reliability, and validation of its training effects [16]. With the current protocols, the benefits from NFT significantly differ between subjects, with a high percentage of inefficacy (this percentage varies up to ≈50% of non-responders/non-learners, and depending on the protocol, it can be higher). Leading to the frustration of potential users, economic costs, and discredit in NFT and its professionals [5,12,13,17,18,19,20,21,22].
Multiple mechanisms drive NF SR learning and experimental outcome [14,16]. Nonetheless, it has been hypothesized that an “optimal” self-regulation state is necessary to achieve significant performance in voluntary modulating brainwaves. In this state, the learner should be more engaged, focused (mental focus), undistracted, and mindful of the experiment without judgement of present tasks. Conversely, the learner should avoid self-related thinking (self-monitoring), ruminating, distracting and task-unrelated thoughts, irrelevant associations between internal states and external reward (doubts, questioning, evaluation of progress), and mind-wandering [23,24,25,26], suggesting a correlation to focused attention forms of mindfulness meditation (MM). Indeed, during MM, an individual is trained to more efficiently sustain his/her attention toward an intended object (in the current experiment, bodily breathing sensations, BM, and internal imagery of a calm place, IM) and away from external (e.g., external stimulus like sounds, visual cues) or internal sources of distraction (e.g., mind-wandering thoughts) [26,27,28]. From a dynamical system perspective, the subject needs to “walk” (transition between states) in a trying-sensing continuum until it reaches the “optimal” sensing state [11,15,26]. Therefore, brainwaves SR practice seems closely related to MM, and they both seem to depend upon three core mechanisms: attention control, self-awareness, and emotional regulation [4,25,29,30]. In addition, current “big data” fMRI research investigates the influence of pre-training/priming mechanisms associated with brain structures and NF success [31] and activation levels on NF success [32] to find possible predictors of NFT performance. Moreover, the same group investigated a wide range of different subject- and study-specific factors on real-time fMRI NF success [33], linking the significant positive effect of pre-training to the familiarization of the participants with the NF setup and mental imagery task before NFT runs. Other EEG studies focused on finding predictors from the resting state baseline [22,34,35,36], psychological factors [23,24,34,37,38,39,40,41,42,43,44,45,46], and neurophysiological factors [35,36,47,48,49,50,51,52,53,54,55].
Additionally, current EEG literature relates these states with up-regulation (synchronization) of alpha rhythm or/and sensory-motor rhythm (SMR), but also with desynchronization (downregulation) of surrounding bands [5,17,18,30,56,57,58,59,60,61]. The most replicated electro-neurophysiological correlates of MM include phasic increases in the amplitude of EEG alpha oscillations during MM practice and increased resting EEG alpha amplitude. MM and EEG alpha NF have been shown to improve attentional performance and increase full 8–12-Hz EEG alpha amplitude, as shown in the past two decades [4,27,28,30,60,62,63,64,65,66,67]. As such, EEG alpha rhythm was selected as the feedback signal of interest in the current study.
Based on these previous studies, we hypothesized that it would be possible to develop a “Neurofeedback assisted self-regulation machine” combining the technical, behavioural, psychological, emotional, and electrophysiological components of EEG BCIs, NFT, MM, and SR in a single framework. The current work intends to shed light on the specific question of “how” priming intervention right before NFT (pre-NFT) affects NFT performance (of alpha brainwave) and the emotional state—acquired using qualitative emotional state self-reports and the quantitative emotional state biomarkers of galvanic skin response (GSR) and heart rate variability (HRV). This framework could potentially improve the efficacy of SR serious games targeting therapeutic, performance, or entertainment applications. The current work belongs to a broader three-part study, in which the contributions were: (1) the definition of the foundations of the framework and its design for priming subjects to self-regulate their NF; (2) the development of NeuroPrime [68], an open-source version of the framework in Python for utility, expandability, and reusability; (3) the testing and validation of the framework in different experiments, one previously published [69], that enabled the grasping of the requirements for validation, and the one described in this paper. These preliminary steps aimed to answer what can be gained by developing this framework. Specifically, the fundamental question is, does priming with external stimulation affect the SR of NF? Questioning the targets, which target states (from EEG, GSR, HRV, and self-reports) can be “optimal” for learning SR of brain activity (up-regulation of alpha)? Regarding the stimulus, are mindfulness stimuli a good starting primer baseline to arrive at the “optimal” target, compared to, for example, the standard rest baseline tasks? Measurement-wise, how can we measure each individual’s target performance (learning and behavioural outcomes)? Regarding the experimental temporal design, what is the best temporal design to implement the framework? Regarding the software, is it possible to develop software to implement this framework?
This paper focuses on the significance of the current experiment on answering the fundamental question, precisely, which physiological (implicit) and declarative measurements can provide information about the MM priming effects on NFT performance and the emotional state of experimental participants. Hence, following the current NFT experimental checklist [16], we present a randomized controlled intervention with multidimensional signals processing and multivariate statistical analysis.
2. Materials and Methods
2.1. Participants
Criteria. The participants eligible for this study were Portuguese-speaking healthy subjects aged 18–43 years, with normal or corrected-to-normal vision. At study entry, they needed to be naïve or did not perform, at least, in the last year any NFT session. Exclusion criteria were a history of psychiatric or neurological disorders and the taking of psychotropic medications or addictive drugs. In addition, they were requested to give voluntary written informed consent.
Groups sample. Initially, 121 participants were eligible for inclusion. Only 83 were assessed for eligibility, and 62 participants were eventually randomized over two interventions: the experimental priming group (EG, n = 31) and the control no-priming group (CG, n = 31). Moreover, the priming stimuli (PRIME) and the eyes sequence (ES) of open (EO) and closed (EC) eyes were randomized. The randomization criteria were to balance the groups in sample and gender. Sixty-two participants completed the study; there were no participant dropouts, and no adverse events were recorded. EEG power spectra during the different task conditions were available for 60 participants (n = 30 EG, n = 30 CG). EEG missing data were due to technical reasons (n = 1) and outliers at baseline tasks (n = 1). Auxiliary measures like the battery of self-reports and GSR measures were available for the 62 participants, while the HRV was missing data due to technical reasons (n = 3). As such, we selected the 60 participants from EEG for the study of this paper. The consort flow diagram of this single session randomized controlled experiment is presented in Figure 1.
Figure 1.
Consort flow diagram of the randomized controlled intervention. Of the 121 participants eligible for inclusion, 38 declined to participate, and 21 did not meet the inclusion criteria. Sixty-two participants were randomized and allocated to the priming and no-priming group. There were no dropouts, and all the subjects completed the tasks. During analysis, missing data from subjects in EEG and HRV were detected, and one CG subject with outlier EEG data was removed.
Procedure. All the protocols were in accordance with the Declaration of Helsinki, and the reported study was approved by an Internal Review Board (IRB), the local Research Ethics Committee of the University of Minho (Subcommission of Life and Health Sciences, SECVS, created under the University of Minho Ethics Commission, CEUM). Written informed consent was obtained before participation. Participants were recruited from the University of Minho student and working community. Intervention measures included questionnaires (psychological traits and states), neuropsychological tasks, EEG, GSR, and HRV.
2.2. Randomizations and Study Blinding
A two-way parallel-group study with balanced randomization in sample and gender was conducted (EG|CG). Randomization was performed using Python “random” package. First, a list of subjects was created with balanced groups (EG|CG, EO|EC, BM|IM) in sample and gender, and then, the list was shuffled using “random.shuffle()” function. From the schedule time slots for experimental acquisition—slot 1 (9:00 a.m. to 11:00 a.m.), slot 2 (11:00 a.m. to 1:00 p.m.), slot 3 (1:00 p.m. to 3:00 p.m.), and slot 4 (3:00 p.m. to 5:00 p.m.)—the participants would choose the slot to be allocated, and they were allocated following the rule first come/first served.
PRIME stimulus (BM|IM) and the ES protocol (EO|EC) were double-blinded, i.e., neither the subject nor the researcher knew the group. The main groups (EG|CG) were single-blinded to the subject.
Power analysis. From a priori analysis, for two dependent groups, a total sample size of 54 (i.e., 27 per group) was calculated (by G*power version 3.1.9 [70]) to be sufficient to detect a medium effect size (f = 0.25) in a between moments repeated measure (RM) analysis of variance (ANOVA) with an alpha of 0.05 and a power of 95% (i.e., testing same group intervention on different tasks). While for two independent groups within-moments, a total sample size of 60 (i.e., 30 per group) was only sufficient to detect a large effect size in a one-way ANOVA (f = 0.47) and a t-test (f = 0.86) with an alpha of 0.05 and a power of 95% (i.e., testing different group interventions on the same task).
2.3. Interventions and Control Condition
Our framework adopts a closed-loop brain state-dependent stimulation (BSDS) design [13] and a simple NFT protocol to test whether mindfulness (focused attention on stimuli) has a role in NF SR. The methodology of a BSDS is to substitute the NFT learner (explicit NF), who is actively engaged and adapting strategies to alter the brain activity in the intended direction, with a stimulator device (implicit NF), which is adapted online to present an experimental stimulus [13]. Hence, our framework for studying brain states and stimuli that complement the NFT for a better self-regulation performance uses the two methodologies for a loop of implicit and explicit training, testing if the implicit priming of the target brain state at pre-NFT (pre-training) can facilitate/scaffold the explicit control of the brain activity towards the target brain state during NFT. Nonetheless, considering that the current experiment represents the first steps within this framework, instead of adapting online the stimulus, we randomized two mindfulness stimuli (BM|IM) to assess the viability of a closed-loop machine learning BSDS framework.
To simplify the analysis of stimulus-response oscillations, PRIME with MM is the target condition, while the resting-state task (REST) is the no-priming control condition.
Priming. The external PRIME stimuli are pure instructional audio manipulations to lead the person from a subjective trying state to a more sensing state before the NFT (pre-training). These transitions can be referred belonging to the trying-sensing continuum discussed by Davelaar and colleagues [26]. During the EO condition, the subject is instructed to “focus on the cross in the centre of the screen and follow the audio-guided instructions”, while during the EC condition, the subject is instructed to “close the eyes and follow the audio-guided instructions”. The stimuli were adapted from previously published procedures [71], reviewed/transcribed to Portuguese by a specialized mindfulness psychologist, and recorded by a hospital Nurse on macOS using Garageband® software. These meditation instructions are consistent with recent psychological conceptualizations of MM that emphasize the development of attentional abilities combined with a specific, non-judgmental attitude toward the different mental experiences that may arise during MM [4,27,28,29].
No-priming. The REST task, based on resting-state baseline tasks, is the no-priming control condition. In this type of task, the participant is instructed to “try to relax” for the duration of the task. Moreover, if the task is with EO, the participant is instructed to “focus on the cross in the centre of the screen”, while with EC, the participant is instructed to “close the eyes”. This choice of control condition was due to the hypothesis that the attentional focus would wander around during the REST control condition when the subject is only instructed to “try to relax”.
Additionally, we hypothesize that the MM priming task will promote attentional focus, awareness, and less self-related thinking. Concerning these hypotheses, Davelaar et al. found surprising evidence that the typical instruction, “try to relax and focus on the task”, used in NFT and REST tasks, can be detrimental to the learning success [26]. As such, it is expected that the PRIME stimuli, pure implicit instructions guiding the person toward the target subjective experience, can stimulate SR learning performance in short NFT sessions compared to typical REST tasks.
Eyes protocol. To test EO and EC conditions, each subject received a randomized ES intervention. In this study, our distinguishing feature was to use both EO and EC conditions for possible comparisons. Previous single-session studies [42,59,72,73,74] have tended to use EO conditions for comparisons with the majority of NFT literature in multi-session designs [17,54,60,75,76]. Moreover, the alpha amplitude is generally seen as a function of reduced sensory input from the thalamic nuclei to the cortex [77], and keeping the EO will naturally suppress alpha amplitude relative to an EC condition, providing a lower baseline from which to attempt to increase the alpha amplitude, thereby presumably more amenable to intervention effects via NFT [22,27,78]. Nevertheless, MM is most often practiced with EC in the majority of studies [27,66]. As such, we implemented both conditions, and their resting-state baselines can be used to predict NFT performance [22,35,36,54].
2.4. Experimental Design
The design of the experimental study is represented in the following Figure 2 This study tested 60 participants grouped in 2 interventions: no-priming CG (n = 30) and priming EG (n = 30). Before the intervention, each participant was instructed about the tasks and did the battery of trait self-reports. During the interventions, each participant of CG did a single session of no-priming, while the EG did a single session of priming. The session was divided into six blocks (B), with a total of 14 tasks (T). The first and the last block are equal for the two groups, named block in (Bin) and Block out (Bout). Bin is used to extract the initial baseline threshold from REST EC and EO tasks (T1 and T2 respectably), the first EO NFT, and the first emotional states (using the TMS and POMS). Bout has the same tasks as Bin and serves as the outcome block for comparison. The four blocks between Bin and Bout, B1 to B4, are different for EG and CG. The ES was randomized between two sequences, ES1: EO, EC, EC, EO and ES2: EC, EO, EO, EC. The PRIME stimuli were also randomized between two PRIME sequences (PS), the PS1, BM, IM, BM, IM and PS2: IM, BM, IM, BM. While the CG had a stimuli sequence (SS) of only REST tasks, RS: REST, REST, REST, REST. All participants were randomized between ES1 and ES2 (2 blocks for each condition EO|EC). The CG participants repeated 4 blocks of the REST task (no-priming) followed by the NFT task, while the EG were further randomized between PS1 and PS2 (with two blocks for each condition BM|IM), with each block having the PRIME task followed by the NFT task. After the intervention, participants were tasked to describe the perceived outcome of the experiment and the mental strategy they have used to gain control over the moving bars. The reports were recorded electronically.
Figure 2.
Experiment Block Mockup. Time flows from left to right, top to bottom. In a single session, first, the subject fills the traits self-reports. Then, the training starts. There are 6 blocks and 14 tasks in total. Block in and Block out each begins with rest state with eyes closed then eyes open, followed by alpha NFT. From block 1 to 4, in the EG first is the PRIME, then NFT. In the control group PRIME is substituted by REST. PRIME stimuli are randomized between IM and BM with two PS, PS1 and PS2. Moreover, from blocks 1 to 4, eyes closed and eyes open are randomized between blocks with two ES, ES1, and ES2. In the diagram, the “or” signal is represented by “|”. It is used to separate the task for each group or the randomizations of ES (EO|EC) between blocks and the randomizations of PS (BM|IM).
NFT Paradigm. The NF system provided audiovisual feedback modality (guided by [13,16]) for increasing alpha power (8–12 Hz). EEG signal was recorded over electrode position Pz. One vertically moving bar, depicting the power of the feedback frequency, was presented on a screen, as shown in Figure 2. The bar in the centre of the screen presented feedback of the alpha power from the Pz channel. Participants were rewarded by getting points, displayed on the feedback screen below the vertical bar and an audible sound cue. Positive feedback was delivered when alpha power increased above an individually calculated threshold. As referred before, at Bin, a 90 s baseline/resting measurement, REST task, was used to define the individual threshold (alpha: mean of alpha power during rest). The thresholds are adapted after each NFT task to prevent the extreme cases of the trained EEG frequency in a single session design due to artefacts [58]: if 90% of epochs are above the threshold, then its value is updated to threshold + 0.1 × threshold and if only 10% of epochs above the threshold then threshold − 0.1 × threshold. The NFT session contained six feedback tasks with four EO NFT runs and two EC NFT runs. Before starting NFT, participants did not receive any specific instruction on how to control the moving bars. They only got the minimal instruction of being physically relaxed, mentally focused, avoiding producing artefacts, and reading the instructions on the screen at the beginning of each block.
This experimental design enables the study of linear feature changes, within-subjects (i.e., between tasks same group) and between-groups (i.e., same task or combination of tasks in different groups), on the REST, PRIME, and NFT tasks. These feature changes enable to test the main objective: whether the PRIME task before the NFT can facilitate or scaffold the transition to the target brain activity, alpha (see Figure 3).
Figure 3.
Objective diagram. The external mindfulness stimuli prime the subject to facilitate/scaffold the transition to the target brain activity alpha (α) in the Pz channel during NFT. The EEG spectrum physiological change is also represented.
2.5. Questionnaires
Psychological traits. To investigate different personality traits related to the NF self-regulation performance and for descriptive baseline purposes, participants first completed a sociodemographic questionnaire (SOC), then standard, well-validated Portuguese versions of scales to assess mindfulness, emotional regulation, anxiety, depression, and stress. For mindfulness-related traits, the Five Facet Mindfulness Questionnaire, FFMQ, addressing the traits of “describe”, “observe”, “nonjudge”, “actaware”, and “nonreact” [79,80], was considered. For symptoms of depression, anxiety, and stress, the Depression Anxiety Stress Scale, DASS [81,82], was used. For emotional regulation, the Emotional Regulation Questionnaire, ERQ, measuring “cognitive reappraisal” and “expressive suppression” [83,84], was applied.
Emotional states. In order to assess the immediate outcomes of the interventions on mood and mindfulness state, participants also completed the Profile of Mood States-Short Form, POMS [85] and the Toronto Mindfulness Scale, TMS [86], which assesses the degree to which participants experience mindful curiosity (e.g., “I was curious to see what my mind was up to from moment to moment”) and mindful decentering (e.g., “I experienced myself as separate from my changing thoughts and feelings”). Neurofeedback and emotional states results are complementary and offer a way to relate the phenomenological structure of subjective experience with a real-time characterization of large-scale neural operations continuously over the course of the experiment.
For more detail in the trait and states features, go to Appendix A.4.
2.6. Physiological Measures
The EEG, GSR, and HRV signals were continuously acquired to monitor the subjects online during the tasks. The EEG power spectrum, GSR tonic and phasic components of skin conductance level, and HRV photoplethysmography (PPG) signals were collected. The features extracted and analysed from each signal are described in more detail in Appendix A.1, Appendix A.2 and Appendix A.3, respectively.
2.7. Recordings
EEG signals were acquired with a 32 channels amplifier ActiCHamp® from Brain Products GmbH. The cap from EASYCAP GmbH has a unified, optimized layout based on an international 10–20 localization system. The ground is located at Fpz position and is a reference-free montage. Any referencing is done post hoc in the software. Before electrode placement, the skin was prepared with a mild skin cleanser, ethanol 70% V/V, to help improve the impedance and conductance of electrodes. Then, electrodes were affixed with a conductive viscose gel, SuperVisc®, high viscosity electrolyte gel for active electrodes, EASYCAP GmbH. Impedances were checked before starting the experiment to be below 30 kOhm and critical channels below 10 KOhm, and the signal was visually inspected to find possible channels with noise. The computer screen was placed 60 cm from the edge of the table. The mouse was only used by the researcher while the keyboard was placed at the edge, close to the participant, so he could use it to interact with the task interface. A cup of water was always present for the subject to drink if needed. Moreover, Bluetooth wireless headphones were used for a lesser impact over the electrodes, consequently less prone to artefacts. A new biosignals device, James One from MindProber Portugal, with a built-in GSR sensor and a PPG sensor that allows HRV measurements [87,88]. The biodevices were placed in the left hand of all the participants, even if they were lefties. GSR sensor was placed in the palm, and the PPG sensor was placed in the index finger. Additionally, a tablet was used to acquire the self-reports answers digitally using Google Forms®.
2.8. Multidimensional Signals Processing
Software. The online experimental paradigm was built from the ground up on Python open-source language, synthesizing and using the best-tested parts of specific BCI and EEG modules. For more detail on NeuroPrime, check [68]. The offline data analysis pipelines were run first in Brain Vision Analyzer (Brain Products GmbH) for visual inspection of noisy channels, noisy epochs, and the processing pipeline’s automation planning. Then, NeuroPrime (with Python modules like MNE) was used for advanced signal processing/classification and automation of the pipeline [68].
NFT. During the EEG NFT online loop, the data were updated at an average rate of 200 ms in each iteration. It was concatenated in an epoch buffer of 1 s, meaning that the epoch is made from 800 ms of historical data and 200 ms of new data. There is no real-time loop in the offline analysis, the entire length of each task is analysed instead, and during pre-processing, these data were segmented into epochs of 1 s. Continuous EEG measurements were band-pass filtered with a low cut-off of 1 Hz and a high cut-off value of 40 Hz using a finite impulse response filter (FIR). The original sampling of 1 kHz was not subsampled to maintain a higher resolution on the fast Fourier transform (FFT). Although a common-reference was used for online data analysis, the data are re-referenced to an average-reference previously to offline data processing. Four EEG channels were selected for further processing: Fp1, Fp2, Fz, and Pz. In both online and offline processing pipelines, we excluded epochs with abnormally large amplitudes with a maximum peak-to-peak of over ±100 μV for online and ±150 μV for offline and also based on the flatness of the signal with a minimum peak-to-peak acceptance of ±0.5 μV. Additionally, in offline analysis, epochs contaminated by spurious gross-movement and other non-stereotyped artefacts were also identified by visual inspection and additionally rejected. Afterwards, during processing, the band power values were extracted from the power spectrum of the Pz channel (for theta 4–8 Hz, alpha 8–12 Hz, SMR 12–15 Hz, beta 15–35 Hz). For a list of descriptions of all the EEG features, please go to Appendix A.1.
GSR and HRV. They were continuously monitored for all the participants during the session. Each signal was acquired at a 1 s interval. GSR tonic (skin conductance level—SCL) and phasic components (skin conductance responses—SCR) were extracted offline from each 1 s interval, with an exosomatic direct current sensor [87]. HRV time domain, frequency domain, and non-linear domain features were extracted from the 1 s PPG RR-intervals [88]. For a list of descriptions of all the features, please go to Appendix A.3.
2.9. Data Analysis
Theoretically, an NFT framework implies that any observable measure of brain activity can be extracted and tested for volitional control. Nonetheless, what constitutes successful control, and how to quantify it? In the engineering sense, successful control can be viewed as enhancing the signal-to-noise ratio of a parameter relative to a control condition, a reference condition (e.g., resting-state, sham, or sensory stimulation without control), which could be administered sequentially or interspersed randomly in the experiment [11].
EEG measure. In the current work, the EEG band measure assessing NFT successful control is based on the suggested measures from Dempster and Vernon [89] that can be used to assess feature changes of brain activity during NF. We choose to study changes in absolute values of the alpha amplitude of the Pz channel, reflecting brief and temporally unstable increases over time from the learner. Then, this power spectra measure was log10-transformed to obtain normally distributed data.
Group domains. Apart from the intervention groups (EG, CG) and EEG measures, the additional multivariate data are grouped in four domains, two belonging to qualitative data while the other two are quantitative. Qualitative data are the subject traits groups domain (TG = FFMQ, DASS, ERQ) and emotional states group domain (SG = TMS, POMS). Quantitative emotional states are divided into the skin response (GSR) and heart rate variability (HRV) domains. Each one of these domains and its respective features is detailed in Appendix A.
Statistical Analysis. Statistical analysis was performed using the R language. Significance was assumed if p < 0.05 (two-tailed). Demographic data at pre-intervention (T0, referring to the moment right before starting the training session) were compared between groups with one-way ANOVA or χ2 test with Fisher exact correction. Significant group effects at Bin EC and EO baseline tasks were further explored to locate group differences in band profile using one-way ANOVA. RM ANOVAs were calculated for each condition (REST EC, REST EO, and NFT EO) and frequency band (theta, alpha, SMR, beta) with time (Bin versus Bout) as within-subject factors, and the intervention group (EG vs. CG) as between-subject factor. Only time effects, group main effects, and interactions with a group are reported. For the main outcomes, mean difference and 95% confidence interval [95% CI] are reported. Effect sizes are reported as partial eta-squared (ηp2), with effects interpreted as small (0.01), medium (0.06), or large (0.14). Afterwards, to perform single session analysis, individual NFT performance was quantified by regression slopes of the trained alpha feedback frequency across the intervention blocks B1 to B4 (regression slopes have a mathematical component of within and between tasks). For that, B1 to B4 were further break down in EO only tasks and EC only tasks, culminating in 3 tasks per subject: “restBin”, the baseline REST task to get the initial threshold at Bin; “nft1”, the first NFT task preceded by priming (in the EG) or no-priming (in the CG) and “nft2”, the second block of NFT preceded by priming or no-priming. Regression slopes were estimated individually (predictor variable = feedback task number; dependent variable = z-transformed power of alpha) and subsequently averaged per group domain (based on [30]). Additionally, to verify group domain effects on NF learning apart from priming (EG) and no-priming (CG), the same alpha regression analysis was performed on two subgroups of participants according to the features in each domain. Each feature (qualitative or quantitative variable) was converted into a dichotomous variable: high value (HV) and low value (LV), representing the groups above and below the best central measure, respectively. We found that the best central measure was mean = (maximum + minimum)/2 for the quantitative regression slopes and the qualitative data of the 60 participants. As such, the statistical hypothesis testing was centred on comparing the regression slopes from each group of HV with LV, HV with zero, and LV with zero. When considering the grouped frequency distribution of HV in the different domains (represent how frequent each HV value occurred within each domain), we selected features with similar HV frequencies in both EG and CG and with nine or more subjects (at least ≈ 1/3 of the EG and CG sample) for balanced comparisons because we are not only comparing with zero slopes but also HV versus LV. One-sample t-tests were calculated for each group to test whether the regression slope is different from zero and between groups to test whether the two regression slopes are different. Only features with significant time effects, group main effects, and interactions with groups are reported.
3. Results
3.1. Group Characteristics
At pre-intervention before the training session starts, T0, there were no differences between the intervention groups (EG, CG) in age, gender, and education, see Table 1. There were no baseline differences between groups at Bin in alpha and SMR power during EO and EC tasks in the Pz electrode (using the log10 transformation). However, there were some baseline differences between groups in theta EC (p < 0.05) and beta EC (p < 0.01) and EO (p < 0.05). The number of artefact-free segments was always above 40% of the total task segments.
Table 1.
Group characteristics at preintervention (T0) (for n = 60).
3.2. EEG Power Spectrum at Pre and Post Priming Intervention
RM ANOVA results for each condition and frequency band are shown in Table 2. Log10-transformed EEG power spectra of theta, alpha, SMR, and beta frequency bands at pre- (Bin) and post- (Bout) priming intervention are shown in Figure 4.
Table 2.
RM ANOVA of pre-(Bin) and postintervention (Bout) power spectra for three conditions.
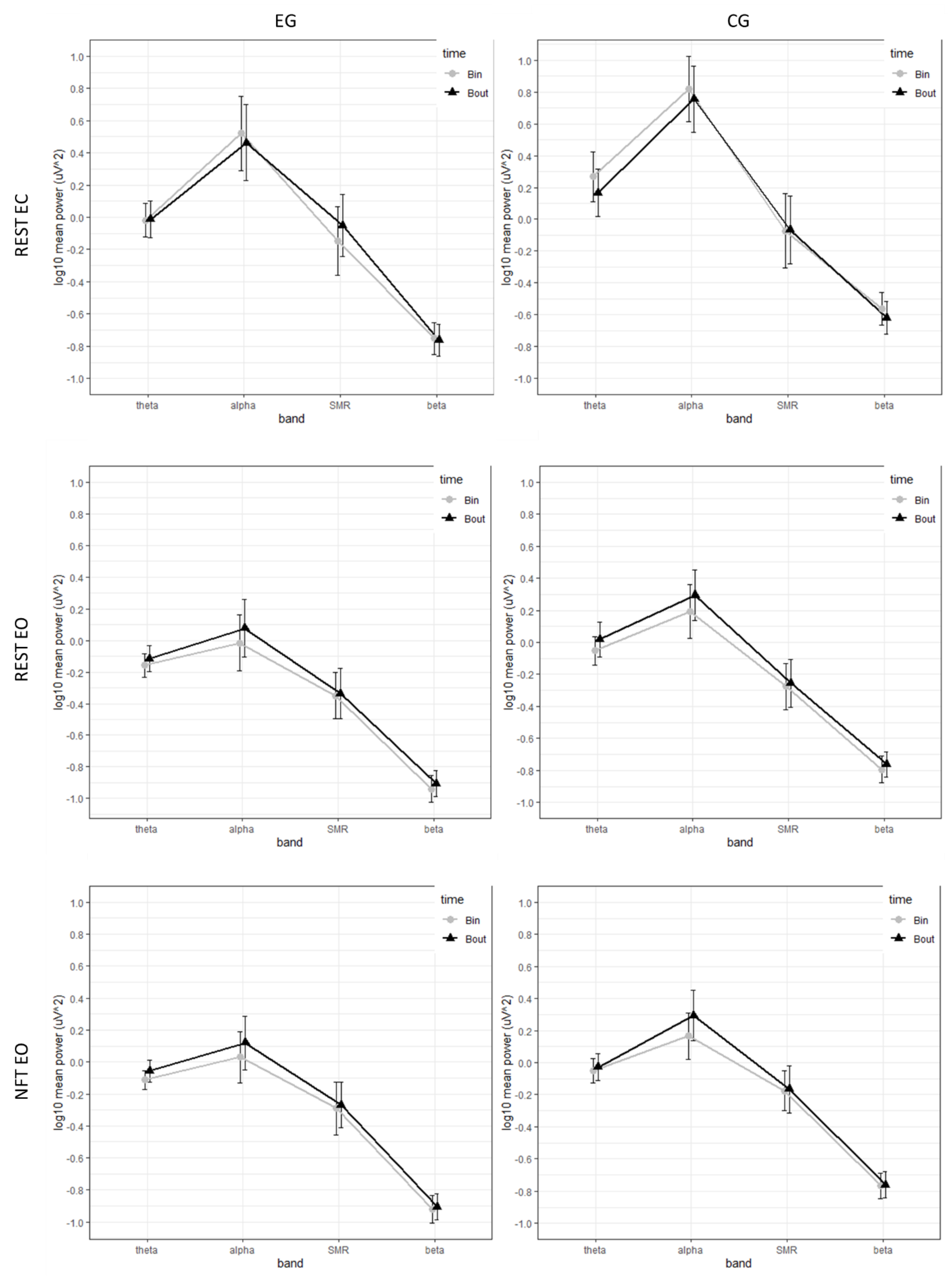
Figure 4.
EEG power spectra at Bin and Bout. Estimated marginal means are log-transformed absolute power (µV2) with 95% confidence intervals. During REST EC, both groups show reductions in alpha, CG also has reductions in theta, while EG increases SMR. While for the REST EO, both groups show up-regulation of alpha, similarly to the NFT EO task.
Looking at Table 2, the main findings in all the population were a significant decrease between Bin and Bout for the REST EC condition in alpha and beta and an increase in SMR, while for the REST EO a significant increase in theta, alpha, SMR, and beta. As for the NFT EO, a significant increase in theta and alpha was observed. A significant interaction T × G (time × group) was found for theta value on the REST EC task, while the value of theta in CG group decreases from Bin to Bout. In the EG group, this value is slightly increased. This last result can be confirmed in Figure 4, as well as the similar behaviour of the EG and CG between Bin and Bout.
3.3. NFT Performance in Different Group Domains at Intervention Blocks
As demonstrated in the previous section, results from EO tasks require a different analysis from EC tasks. Therefore, the tasks were analysed separately, as described in Section 2.9.
Regarding the analysis of no-priming (CG) and the priming (EG) results, both groups increased their alpha during EO (voluntarily) and decreased during EC after one session of NFT (Figure 5). These changes were reflected by linear increase and decrease of the power, respectively, matching the results discussed in the previous section at pre- and post-intervention (Figure 4)
Figure 5.
Z-transformed EEG power at intervention blocks. Alpha z-transformed power over the baseline (restBin) and NFT tasks for EO condition and EC at intervention blocks (nft1 and nft2). Three regression slopes are presented separately for CG and EG. Additionally, the regression equations are depicted as well as the regression lines for each group are indicated by thinner lines. The regression slopes at intervention blocks show a significant alpha increase for the EG in the EO condition. In contrast, the EC condition shows a similar downregulation of alpha in both groups.
When individual alpha was regressed on EO NFT tasks, 24 out of 30 EG (80%) participants and 17 out of 30 CG (57%) participants were able to linearly increase their alpha, as suggested by positive individual regression slopes. Checking further, considering half of the maximal slope as the threshold (0.80 = 45.83°) instead of a zero slope, 12 out of 24 (50%) EG participants and 6 out of 17 CG (35%) were able to increase above this slope. One sample t-tests revealed that regression slopes in the EG (t(29) = 4.38, p < 0.001) were significantly larger than zero, while the CG were not (t(29) = 1.18, p > 0.1). We also directly compared the slopes between groups. A t-test revealed a significant difference between the slopes of the EG and CG (t(58) = −2.10, p < 0.05). We have similar results for the EC NFT tasks, as 24 out of 30 EG participants and 24 out of 30 CG participants had negative regression slopes. From these, 17 out of 24 EG and 16 out of 24 CG (~70%) participants had greater negative slopes than half the minimal slope (−0.72 = −41.14°). One sample t-tests revealed that regression slopes in the EG (t(29) = −5.53, p < 0.000001) and CG (t(29) = −4.50, p < 0.001) were significantly smaller than zero. A t-test revealed no difference between the negative slopes of the EG and CG (t(58) = 0.62, p > 0.05). As such, we decided to only verify in EO condition the existence of group domain effects on NF learning apart from the EG and CG.
To verify the group domain effects, the first column of Table 3 depicts the HV frequency distribution of each significant domain feature (according to the methodology described in Section 2.9). The subsequent columns represent the average alpha power slope for the HV and LV groups and their t-test’s. Considering the alpha regression slope, in the TG domain, the EG with LV of “actware” (those acting with less awareness) at T0 (pre-intervention) were the most effective on increasing alpha power in the EO condition. For the SG domain, LV of reported “vigour” at Bout in the EG led to the most significant EO NFT performance in this domain, followed by HV of “decentering” at Bin and HV of “tension” changes (as the difference Bout-Bin). While for the CG, LV of “fatigue” changes (as the difference Bout-Bin) led to the most significant EO NFT performance, followed by LV “confusion” changes. Considering the GSR regression slopes at intervention blocks, the EG participants with LV of “scl std” (standard deviation of the tonic baseline skin conductance level), as well as those with LV of “scr sumResp” slope (sum of the amplitudes of phasic event skin conductance responses) had better efficacy on increasing alpha power during EO NFT performance. While for the CG participants, those with HV of “scl mean” (mean of the tonic baseline skin conductance level) led to significant alpha slopes during EO NFT. Considering the HRV domain, the alpha power slopes (55 subjects because of missing HRV values) during the EO NFT performance were most significant for the EG participants with LV of “rmssd” (it reflects high-frequency influences on HRV—fast or parasympathetic, those influencing larger changes from one beat to the next). In contrast, the CG participants with HV of “sdnn” significantly decreased alpha during EO NFT performance.
Table 3.
Table by domain at intervention blocks. Alpha z-transformed power over the baseline (restBin) and NFT tasks for EO condition at intervention blocks (nft1 and nft2).
4. Discussion
We investigated the ability to gain control over one’s brain with the assistance of priming MM techniques right before NFT runs, compared to the no-priming REST tasks.
In this single session design, as initially predicted, the behaviours at pre- and post-priming intervention are similar between the EG and CG. Nonetheless, the EG during the EO intervention blocks showed an improved ability to control their brain activity compared to the CG. While for the EC blocks, a downregulation on both groups was evident. As such, in EC condition, we need further analysis to separate intervention feature changes from the possible downregulation reflex occurring in the Pz channel after closing the eyes, as physiologically expected. Alpha activity in the EEG is dominant during an eyes-closed resting condition and is suppressed during visual stimulation [22,78]. Additionally, the profile of theta power is always lower than alpha (see Figure 4). This result is generally the case in adults during normal wakefulness and, in this case, focus on tasks [90].
Furthermore, within the EG, the most significant subjects on increasing alpha power during NFT had low values of the awareness trait (at pre-intervention) and reported more signs of built-up tension and less “vigour” at the end of the experiment protocol (Bout). As such, subjects with a low capacity to act with awareness benefited more from priming, and the demand for focused attention on internal sensations through guiding audio increased the subject’s emotional state of tension and lack of vigour. In contrast, the CG participants didn’t express these emotional states, as they were not guided and were only required to stare at the screen. Another distinctive EG feature is the higher decentering at Bin, which is connected to the learner’s “optimal” state. It reflects higher situational self-awareness (self-regulated awareness of thoughts and feelings), i.e., a capacity of non-judgement by avoiding distractive task-unrelated thoughts—“awareness of one’s experience with some distance and disidentification rather than being carried away by one’s thoughts and feelings” [86].
Concerning the GSR biomarkers, the EG participants with low changes of SCL standard deviation from the baseline (an almost zero slope between “baseline”, “nft1” and “nft2”) and low changes of SCR sum seem to perform the best. This finding seems to be in line with the literature, since lower values of SCL standard deviation and SCR sum during task performance usually reflect less arousal (diminished stimulation of the sympathetic nervous system) and perhaps, explaining a less stressful, relaxed, and non-judgement attitude (towards stimuli, thoughts or feelings) during task performance [91,92]. Concerning the HRV metrics, the EG participants with low changes of HRV “rmssd” values from the baseline (low high-frequency variations of vagal parasympathetic components) performed better, and it might show a more effective task engagement of the subject during the NFT task [93,94]. In contrast, the CG performers had an increase of SCL mean and an increase of HRV “sdnn”. In the case of HRV, the literature suggests that a higher baseline HRV is related to concomitants of better self-control and higher vagal withdrawal scores to better attention control and emotional regulation [94,95,96]. As such, the biomarker results seem to suggest that mindfulness priming stimulates engagement and a relaxed and non-judgement attitude in alpha NFT performers. Nonetheless, these claims must be interpreted with caution, as there is still observable publication bias.
General Discussion and Future Proposals
This work demonstrates a significant effect in priming versus no-priming on NFT performance. In future priming designs, the priming stimuli sequence can be adjusted to the subject’s performance in real-time instead of the current protocol’s random mindfulness priming sequence. While priming protocols lack some consistency and are not yet ready to be implemented on final products like SR serious games, they potentially provide an essential layer of personalization and mutual game-player adaptation. Actually, a review of attention-deficit hyperactivity disorder (ADHD) randomized control trials indicated that the long-term effects of personalized NF interventions were superior to non-personalized NF [97]. To optimize self-regulation learning, future work will also address the use of neural networks to learn the sequence of stimuli that leads the subject towards their personalized “optimal” state (e.g., using reinforcement learning, deep learning for time series forecasting with long short-term memory networks, multilayer perceptron’s, convolutional neural networks, between others). The framework should adapt to the user pace (even slow down user pace if needed) and regulate/control the user’s brain state according to the target.
Mindfulness priming seems to facilitate learning in the current single session context, while REST tasks do not. Thus, REST tasks do not seem to be the best primer for this type of protocol. We find it imperative for baseline primer tasks to be discussed and improved since the instruction “try to relax” and even “focus on the cross” does not seem sufficient to diminish self-related mental processes and target a relaxed or/and attentive state (also discussed by Davelaar et al. [26])—leading to uncertain brain states. Although the baseline REST task is often used as a predictor of NFT performance [22,35], the difficulty in monitoring its effects on the brain and emotional states is still meaningful. Therefore, the assumption that a guided instructional approach based on mindfulness techniques can better target a relaxed and focused attention state seems valid. Thus, it is a step further for a more consistent NF operant protocol.
In summary, we addressed the proposed questions in the present work. Regarding the fundamental question, “Does priming with external stimulation affect the self-regulation of NF?”, we were able to find significance in priming with MM external neurostimulation. Priming increases the number of subjects with better NFT performance during intervention blocks. As such, some implicit factors in priming were affecting the explicit control of NFT, especially in subjects with a low self-awareness trait. Concerning the mental target state, the hypothesized “optimal” target state seems to correspond to the actual state needed for the learner to self-regulate brain activity, i.e., situational self-awareness (“decentering”, a non-judgement attitude towards stimuli, thoughts, or feelings) and task engagement. Following this answer and regarding the stimuli, it seems that MM stimuli are a significant primer to arrive at the “optimal” target. Indeed, the best performers from the EG showed distinct emotional state from the best performers of the CG, as qualitatively analysed by the self-reports’ dimensions (“decentering”,” vigour”, “tension”) and quantitively by the GSR (SCL SD, SCR sum) and HRV (“rmsdd”) domains. Measurement-wise, the EEG log10 transformed amplitudes, and z-transformed regression slopes seem suitable to track session changes. Nevertheless, future publications will consider other measurements, e.g., the percent time spent in the desired brain state by Vernon and Dempster [77], because it reflects different aspects of brain activity. The percent of time reflects slight differences within the training that are temporally stable, while amplitude reflects brief and unstable increases over time. In the trait self-reports, the “actware” of FFMQ predicts that low self-awareness users will significantly benefit from priming. Regarding the subjective experience, it seems essential to target the “decentering” dimension of the TMS scale, and the POMS scores seem to quantify the moods relative to the intervention correctly. Moreover, HRV and GSR features seem to correctly separate some emotional states between the EG best performers and the CG best performers. As such, MM priming seems to target mechanisms that scaffold the subject into a superior NF operant. In the future, such mechanisms still need to be discriminated from NF-specific (related to training a target neurophysiological variable), NF non-specific (dependent on the NF context, but independent from the act of controlling a particular brain signal), or general-non-specific mechanisms (including the common benefits of cognitive training as well as psychosocial influences) [16].
We should also not forget that this framework will not substitute other self-regulation mind-body techniques, such as physical exercise, musical training, and meditation, among others. We consider this framework a mechanistic approach to SR techniques, a researching tool for priming the capacity to self-regulate on SR serious games for therapy, performance, and entertainment.
5. Conclusions
This study developed a human-computer framework to assist the SR of NF, aiming to decrease the number of unsuccessful practitioners (non-responders/non-learners) of SR tasks. The assistance was done by priming the subject with mindfulness guided instructions right before the explicit NFT. This intervention was the first step to demonstrate that priming with external stimulation assists NF SR in serious games design and potentially turns NFT non-responders into responders. The main results showed that priming with mindfulness stimuli enables higher significance of EEG target self-regulation during the EO priming intervention blocks in a single session design. Additionally, from the self-reports and biomarkers, the most significant priming performers had low values of the awareness trait at pre-intervention, showed a higher “decentering” (situational awareness) at the end of the first block (Bin), and reported signs of built-up tension and less “vigour” at the end of the experiment protocol (Bout). As such, especially on subjects with a low capacity to act with awareness, the demand for focused attention on internal sensations through guiding audio seems likely to implicitly support the subject’s emotional regulation capacity. In turn, it should increase NFT task engagement and target situational awareness.
Nonetheless, there are remaining questions to be solved that should be addressed in further experiments. In the future, we should be able to: experiment the priming effects in a multi-session design and check if they are only crucial for the first session of the NFT or if they support the subject throughout the multi-session; test different temporal designs to find the best design for this type of framework; find the “optimal” mechanisms that should be primed and validate stimuli able to prime them; test if MM audio-guided is the “optimal” stimuli at priming NF SR mechanisms or if other categories of stimuli or stimuli personalization have better efficacy in leading the subject into the “optimal” learning state; evaluate the hypothesis that non-responders/non-learners depend on the priming protocol personalization, i.e., that non-responders/non-learners can be turned into a responders/learners. In this way, we are trying to answer that brain activity self-regulation can be scaffolded by implicitly priming the “optimal” state at pre-NFT, limiting the number of non-optimal mechanisms, and potentiating optimal mechanisms that affect NF SR performance.
Scaling up this priming assistance research, we envision a machine controller that uses neural networks to classify and select the required neurostimulation to arrive at the desired target—this way, outsourcing the difficulty of sensing the correct mental strategies. Moreover, the machine controller should assist the participant to gravitate/walk towards the desired mental state by implicit neurostimulation, which can affect explicit self-neuromodulation.
In conclusion, we took the first steps towards a better NF operant. Showing that priming with mindfulness stimuli enables higher significance of EEG target self-regulation in a single session. In this way, we find appropriate further research of priming right before NFT for a more precise methodology in this field.
Author Contributions
Conceptualization, N.M.C.d.C. and N.S.D.; Data curation, N.M.C.d.C., F.F. and E.V.; Formal analysis, F.F. and E.V.; Funding acquisition, N.S.D.; Investigation, N.M.C.d.C.; Methodology, N.M.C.d.C., E.B. and N.S.D.; Project administration, E.B. and N.S.D.; Resources, N.S.D.; Software, N.M.C.d.C.; Supervision, E.B. and N.S.D.; Writing—original draft, N.M.C.d.C.; Writing—review & editing, E.B., F.F., E.V. and N.S.D. All authors have read and agreed to the published version of the manuscript.
Funding
This work is co-financed by the ERDF—European Regional Development Fund through the Operational Program for Competitiveness and Internationalisation—COMPETE 2020 (ref.: POCI-01-0145-FEDER-007043; ref: POCI-01-0145-FEDER-007038), the North Portugal Regional Operational Program—NORTE 2020 (ref.: NORTE-01-0145-FEDER-000045) and by the Portuguese Foundation for Science and Technology – FCT under MIT Portugal (author Ph.D. grant ref.: PD/BD/114033/2015) and within the R&D Units Project Scope (ref.: UIDB/00319/2020).
Institutional Review Board Statement
The study was conducted according to the guidelines of the Declaration of Helsinki and approved by the Institutional Review Board (or Ethics Committee) of Subcommission of Life and Health Sciences, SECVS, created under the University of Minho Ethics Commission, CEUM (protocol code: SECVS 011/2018, date: 8 of May 2018, Braga).
Informed Consent Statement
Informed consent was obtained from all subjects involved in the study. Participants were recruited from the University of Minho student and working community. Intervention measures included questionnaires (psychological traits and states), neuropsychological tasks, EEG, GSR, and HRV.
Acknowledgments
Materials and conditions for experimental development were provided by ICVS, University of Minho, Portugal, by ALGORITMI, University do Minho, Portugal, by 2Ai, Polytechnic Institute of Cávado and Ave, Portugal and by MindProber Labs, Porto, Portugal.
Conflicts of Interest
The authors declare no conflict of interest.
Appendix A
Appendix A.1. EEG Features
Sample rate: 1000 Hz.
Feature region of interest (ROI): Pz.
Features extracted per subject:
- [theta, alpha, SMR, beta]: list of bands extracted.
- epoch_a: epochs array of each task = [[band mean, standard deviation]…, [n-epoch]]. Bands power spectrum density (PSD) is calculated from 1000 samples per second.
The measure used to detect brain activity changes due to neurofeedback [89]:
- Mean: changes in absolute values of frequency band mean amplitude (power spectra measures were log10-transformed to obtain normally distributed data), reflecting brief and temporally unstable increases over time from the learner.
Appendix A.2. GSR Features
Sample rate: 100 Hz.
Features extracted per subject:
- epoch_a: epochs array of each task = [[TIMESTAMP, SAMPLE_COUNTER, GSR_VALUE,], …, [n-epoch]]. Each epoch is 1 sample of GSR value, calculated from the 100 samples per second.
Tonic GSR Features, skin conductance level (SCL) [91,92]:
- scl_mean: GSR mean per task.
- scl_std: GSR standard deviation per task.
Phasic GSR Feature, skin conductance responses (SCR) [91,92]:
- scr_sumResp: sum of response amplitude per task.
Appendix A.3. HRV Features
Sample rate: 100 Hz.
Features extracted per subject:
- epoch_a: epochs array of each task = [[TIMESTAMP, SAMPLE_COUNTER, BPM_VALUE, RR_VALUE], …, [n-epoch]]. Each epoch is 1 sample of RR value, calculated from the 100 samples per second.
Time Domain Features [93,98]:
Mainly used on long-term recordings (24 h), but some studies use some of these statistical features on short term recordings such as in our case, from 1 to 5 min window.
- sdnn: The standard deviation of the time interval between successive normal heart beats (i.e., the RR-intervals).
- rmssd: The square root of the mean of the sum of the squares of differences between adjacent NN-intervals. Reflects high frequency (fast or parasympathetic) influences on HRV (i.e., those influencing larger changes from one beat to the next).
Appendix A.4. Self-Reports Features
The reader can check out the digital forms at the following links:
- First questionnaire at T0 (pre-intervention): https://forms.gle/2uT7f7oH3pd4c9FD9 (accessed on 21 August 2021).
- Second questionnaire at Bin: https://forms.gle/nQNRQkBWEVtbKySo8 (accessed on 21 August 2021).
- Third questionnaire at Bout: https://forms.gle/k1zVwzwVacu7hBYRA (accessed on 21 August 2021).
Appendix A.4.1. Traits (TG)
See the form online (1st questionnaire).
FFMQ
Five dimensions were obtained by summing the items: [describe, observe, nonjudge, actaware, nonreact].
(R) = reverse item.
- Observe. “I notice the smells and aromas of things.”
- Describe. “I am good at finding words to describe my feelings.”
- Actaware (acting with awareness). “I find myself doing things without paying awareness attention” (R).
- Nonjudge (nonjudging of inner emotions). “I think some of my emotions are bad or experience inappropriate and I should not feel them”(R).
- Nonreact (nonreactivity to inner emotions). “I perceive my feelings and emotions experience without having to react to them.”
ERQ
Two dimensions were obtained by summing the items: [cognitive reappraisal, expressive suppression].
- Cognitive reappraisal. Where a person attempts to change how he or she thinks about a situation in order to change its emotional impact.
- Expressive suppression. “I keep my emotions to myself”—where a person attempts to inhibit the behavioural expression of his or her emotions.
DASS
Three dimensions were obtained by summing the items: [stress, anxiety, depression].
Appendix A.4.2. Sates (SG)
TMS
Two dimensions obtained by summing the items: [curiosity, decentering].
Decentering: awareness of one’s experience with some distance and disidentification rather than being carried away by one’s thoughts and feelings.
Curiosity: reflect awareness of present moment experience with a quality of curiosity.
POMS
Four dimensions obtained by summing the items: [tension, fatigue, vigour, confusion].
- Tension: state of preoccupation and muscle tension.
- Fatigue: state of tiredness, inertia, boredom.
- Confusion: state of confusion.
- Vigour: state of energy and physical and psychological vigour.
References
- Damasio, A.R. Self Comes to Mind: Constructing the Conscious Brain; Pantheon Books: New York, NY, USA, 2010; ISBN 9780307378750. [Google Scholar]
- Gruzelier, J. Differential effects on mood of 12–15 (SMR) and 15–18 (beta1) Hz neurofeedback. Int. J. Psychophysiol. 2014, 93, 112–115. [Google Scholar] [CrossRef]
- Heatherton, T.F. Neuroscience of Self and Self-Regulation. Annu. Rev. Psychol 2011, 62, 363–390. [Google Scholar] [CrossRef]
- Tang, Y.-Y.; Hölzel, B.K.; Posner, M.I. The neuroscience of mindfulness meditation. Nat. Rev. Neurosci. 2015, 16, 213–225. [Google Scholar] [CrossRef]
- Gruzelier, J. EEG-neurofeedback for optimising performance. II: Creativity, the performing arts and ecological validity. Neurosci. Biobehav. Rev. 2013, 44, 142–158. [Google Scholar] [CrossRef]
- Jin, J.; Xiao, R.; Daly, I.; Miao, Y.; Wang, X.; Cichocki, A. Internal Feature Selection Method of CSP Based on L1-Norm and Dempster-Shafer Theory. IEEE Trans. Neural Netw. Learn. Syst. 2020, 1–12. [Google Scholar] [CrossRef]
- Pinheiro, J.; de Almeida, R.S.; Marques, A. Emotional self-regulation, virtual reality and neurofeedback. Comput. Hum. Behav. Rep. 2021, 4, 100101. [Google Scholar] [CrossRef]
- Ninaus, M.; Witte, M.; Kober, S.E.; Friedrich, E.V.C.; Kurzmann, J.; Hartsuiker, E.; Neuper, C.; Wood, G. Neurofeedback and serious games. Psychol. Pedagog. Assess. Serious Games 2013, 82–109. [Google Scholar] [CrossRef]
- Coenen, F.; Scheepers, F.E.; Palmen, S.J.M.; de Jonge, M.V.; Oranje, B. Serious Games as Potential Therapies: A Validation Study of a Neurofeedback Game. Clin. EEG Neurosci. 2020, 51, 87–93. [Google Scholar] [CrossRef]
- Israsena, P.; Jirayucharoensak, S.; Hemrungrojn, S.; Pan-Ngum, S. Brain Exercising Games with Consumer-Grade Single-Channel Electroencephalogram Neurofeedback: Pre-Post Intervention Study. JMIR Serious Games 2021, 9, e26872. [Google Scholar] [CrossRef]
- Ros, T.; Baars, B.; Lanius, R.R.A.; Vuilleumier, P.; Baars, B.J.; Lanius, R.R.A.; Vuilleumier, P. Tuning pathological brain oscillations with neurofeedback: A systems neuroscience framework. Front. Hum. Neurosci. 2014, 8, 1008. [Google Scholar] [CrossRef]
- Sitaram, R.; Ros, T.; Stoeckel, L.; Haller, S.; Scharnowski, F.; Lewis-Peacock, J.; Weiskopf, N.; Blefari, M.L.; Rana, M.; Oblak, E.; et al. Closed-loop brain training: The science of neurofeedback. Nat. Rev. Neurosci. 2016, 18, 86–100. [Google Scholar] [CrossRef]
- Enriquez-Geppert, S.; Huster, R. EEG-neurofeedback as a tool to modulate cognition and behavior: A review tutorial. Front. Hum. 2017, 11, 51. [Google Scholar] [CrossRef]
- Davelaar, E. Mechanisms of neurofeedback: A computation-theoretic approach. Neuroscience 2017, 378, 175–188. [Google Scholar] [CrossRef] [PubMed]
- Gu, S.; Cieslak, M.; Baird, B.; Muldoon, S.F.; Grafton, S.T.; Pasqualetti, F.; Bassett, D.S. The Energy Landscape of Neurophysiological Activity Implicit in Brain Network Structure. Sci. Rep. 2018, 8, 2507. [Google Scholar] [CrossRef] [PubMed]
- Ros, T.; Enriquez-Geppert, S.; Zotev, V.; Young, K.D.; Wood, G.; Whitfield-Gabrieli, S.; Wan, F.; Vuilleumier, P.; Vialatte, F.; Van De Ville, D.; et al. Consensus on the reporting and experimental design of clinical and cognitive-behavioural neurofeedback studies (CRED-nf checklist). Brain 2020, 143, 1674–1685. [Google Scholar] [CrossRef] [PubMed]
- Zoefel, B.; Huster, R.J.; Herrmann, C.S. Neurofeedback training of the upper alpha frequency band in EEG improves cognitive performance. NeuroImage 2010, 54, 1427–1431. [Google Scholar] [CrossRef]
- Gruzelier, J. EEG-neurofeedback for optimising performance. I: A review of cognitive and affective outcome in healthy participants. Neurosci. Biobehav. Rev. 2013, 44, 124–141. [Google Scholar] [CrossRef]
- Thibault, R.; Veissière, S.; Olson, J.; Raz, A. Treating ADHD with suggestion: Neurofeedback and placebo therapeutics. J. Atten. Disord. 2018, 22, 707–711. [Google Scholar] [CrossRef]
- Zuberer, A.; Brandeis, D. Are treatment effects of neurofeedback training in children with ADHD related to the successful regulation of brain activity? A review on the learning of regulation of brain activity and a contribution to the discussion on specificity. Front. Hum. 2015, 9, 135. [Google Scholar] [CrossRef]
- Alkoby, O.; Abu-Rmileh, A.; Shriki, O.; Todder, D. Can We Predict Who Will Respond to Neurofeedback? A Review of the Inefficacy Problem and Existing Predictors for Successful EEG Neurofeedback Learning. Neuroscience 2018, 378, 155–164. [Google Scholar] [CrossRef] [PubMed]
- Nan, W.; Wan, F.; Tang, Q.; Wong, C.M.; Wang, B.; Rosa, A. Eyes-Closed Resting EEG Predicts the Learning of Alpha Down-Regulation in Neurofeedback Training. Front. Psychol. 2018, 9, 1607. [Google Scholar] [CrossRef] [PubMed]
- Witte, M.; Kober, S.E.S.; Ninaus, M.; Neuper, C.; Wood, G. Control beliefs can predict the ability to up-regulate sensorimotor rhythm during neurofeedback training. Front. Hum. Neurosci. 2013, 7, 478. [Google Scholar] [CrossRef]
- Ninaus, M.; Kober, S.E.; Witte, M.; Koschutnig, K.; Stangl, M.; Neuper, C.; Wood, G. Neural substrates of cognitive control under the belief of getting neurofeedback training. Front. Hum. Neurosci. 2013, 7, 914. [Google Scholar] [CrossRef]
- Wood, G.; Kober, S.; Witte, M. On the need to better specify the concept of “control” in brain-computer-interfaces/neurofeedback research. Front. Syst. 2014, 8, 171. [Google Scholar] [CrossRef]
- Davelaar, E.J.; Barnby, J.M.; Almasi, S.; Eatough, V. Differential Subjective Experiences in Learners and Non-learners in Frontal Alpha Neurofeedback: Piloting a Mixed-Method Approach. Front. Hum. Neurosci. 2018, 12, 402. [Google Scholar] [CrossRef]
- Chow, T.; Javan, T.; Ros, T.; Frewen, P. EEG Dynamics of Mindfulness Meditation Versus Alpha Neurofeedback: A Sham-Controlled Study. Mindfulness 2017, 8, 572–584. [Google Scholar] [CrossRef]
- Tang, Y. The Neuroscience of Mindfulness Meditation: How the Body and Mind Work Together to Change Our Behaviour; Palgrave Macmillan: London, UK, 2017. [Google Scholar] [CrossRef]
- Lutz, A.; Slagter, H.A.; Dunne, J.D.; Davidson, R.J. Attention regulation and monitoring in meditation. Trends Cogn. Sci. 2008, 12, 163–169. [Google Scholar] [CrossRef]
- Kober, S.; Witte, M.; Ninaus, M. Ability to Gain Control Over One’s Own Brain Activity and its Relation to Spiritual Practice: A Multimodal Imaging Study. Front. Hum. 2017, 11, 271. [Google Scholar] [CrossRef]
- Zhao, Z.; Yao, S.; Zweerings, J.; Zhou, X.; Zhou, F.; Kendrick, K.M.; Chen, H.; Mathiak, K.; Becker, B. Putamen volume predicts real-time fMRI neurofeedback learning success across paradigms and neurofeedback target regions. Hum. Brain Mapp. 2021, 42, 1879–1887. [Google Scholar] [CrossRef]
- Haugg, A.; Sladky, R.; Skouras, S.; McDonald, A.; Craddock, C.; Kirschner, M.; Herdener, M.; Koush, Y.; Papoutsi, M.; Keynan, J.N.; et al. Can we predict real-time fMRI neurofeedback learning success from pre-training brain activity? Hum. Brain Mapp. 2020, 41, 3839–3854. [Google Scholar] [CrossRef]
- Haugg, A.; Renz, F.M.; Nicholson, A.A.; Lor, C.; Götzendorfer, S.J.; Sladky, R.; Skouras, S.; McDonald, A.; Craddock, C.; Hellrung, L.; et al. Predictors of real-time fMRI neurofeedback performance and improvement—A machine learning mega-analysis. Neuroimage 2021, 237, 118207. [Google Scholar] [CrossRef] [PubMed]
- Diaz Hernandez, L.; Rieger, K.; Koenig, T. Low Motivational Incongruence Predicts Successful EEG Resting-state Neurofeedback Performance in Healthy Adults. Neuroscience 2018, 378, 146–154. [Google Scholar] [CrossRef] [PubMed]
- Reichert, J.L.; Kober, S.E.; Neuper, C.; Wood, G. Resting-state sensorimotor rhythm (SMR) power predicts the ability to up-regulate SMR in an EEG-instrumental conditioning paradigm. Clin. Neurophysiol. 2015, 126, 2068–2077. [Google Scholar] [CrossRef] [PubMed]
- Wan, F.; Nan, W.; Vai, M.; Rosa, A. Resting alpha activity predicts learning ability in alpha neurofeedback. Front. Hum. 2014, 8, 500. [Google Scholar] [CrossRef] [PubMed]
- Hardman, E.; Gruzelier, J.; Cheesman, K.; Jones, C. Frontal interhemispheric asymmetry: Self regulation and individual differences in humans. Neuroscience 1997, 221, 117–120. [Google Scholar] [CrossRef]
- Egner, T.; Gruzelier, J. Learned self-regulation of EEG frequency components affects attention and event-related brain potentials in humans. NeuroReport 2001, 12, 4155–4159. [Google Scholar] [CrossRef]
- Nijboer, F.; Sellers, E.; Mellinger, J.; Jordan, M. A P300-based brain–computer interface for people with amyotrophic lateral sclerosis. Clinical 2008, 119, 1909–1916. [Google Scholar] [CrossRef]
- Dickhaus, T.; Sannelli, C.; Müller, K.R.; Curio, G.; Blankertz, B. Predicting BCI performance to study BCI illiteracy. BMC Neurosci 2009, 10, P84. [Google Scholar] [CrossRef]
- Kleih, S.; Nijboer, F.; Halder, S.; Kübler, A. Motivation modulates the P300 amplitude during brain–computer interface use. Clin. Neurophysiol. 2010, 121, 1023–1031. [Google Scholar] [CrossRef]
- Hammer, E.M.; Halder, S.; Blankertz, B.; Sannelli, C.; Dickhaus, T.; Kleih, S.; Müller, K.R.; Kübler, A. Psychological predictors of SMR-BCI performance. Biol. Psychol. 2012, 89, 80–86. [Google Scholar] [CrossRef] [PubMed]
- Kober, S.E.S.; Witte, M.; Ninaus, M.; Neuper, C.; Wood, G. Learning to modulate one’s own brain activity: The effect of spontaneous mental strategies. Front. Hum. Neurosci. 2013, 7, 695. [Google Scholar] [CrossRef] [PubMed]
- Enriquez-Geppert, S.; Huster, R.J.; Herrmann, C.S. Boosting brain functions: Improving executive functions with behavioral training, neurostimulation, and neurofeedback. Int. J. Psychophysiol. 2013, 88, 1–16. [Google Scholar] [CrossRef]
- Ruiz, S.; Buyukturkoglu, K.; Rana, M.; Birbaumer, N.; Sitaram, R. Real-time fMRI brain computer interfaces: Self-regulation of single brain regions to networks. Biol. Psychol. 2014, 95, 4–20. [Google Scholar] [CrossRef] [PubMed]
- Hammer, E.; Kaufmann, T.; Kleih, S. Visuo-motor coordination ability predicts performance with brain-computer interfaces controlled by modulation of sensorimotor rhythms (SMR). Front. Hum. 2014, 8, 574. [Google Scholar] [CrossRef]
- Kotchoubey, B.; Strehl, U.; Holzapfel, S. Negative potential shifts and the prediction of the outcome of neurofeedback therapy in epilepsy. Clinical 1999, 110, 683–686. [Google Scholar] [CrossRef]
- Neumann, N.; Birbaumer, N. Predictors of successful self control during brain-computer communication. J. Neurol. Neurosurg. 2003, 74, 1117–1121. [Google Scholar] [CrossRef] [PubMed]
- Blankertz, B.; Sannelli, C.; Halder, S.; Hammer, E.M.; Kübler, A.; Müller, K.R.; Curio, G.; Dickhaus, T. Neurophysiological predictor of SMR-based BCI performance. NeuroImage 2010, 51, 1303–1309. [Google Scholar] [CrossRef]
- Weber, E.; Köberl, A.; Frank, S.; Doppelmayr, M. Predicting successful learning of SMR neurofeedback in healthy participants: Methodological considerations. Appl. Psychophysiol. Biofeedback 2011, 36, 37–45. [Google Scholar] [CrossRef]
- Nan, W.; Rodrigues, J.P.; Ma, J.; Qu, X.; Wan, F.; Mak, P.-I.; Mak, P.U.; Vai, M.I.; Rosa, A. Individual alpha neurofeedback training effect on short term memory. Int. J. Psychophysiol. 2012, 86, 83–87. [Google Scholar] [CrossRef]
- Halder, S.; Varkuti, B.; Bogdan, M.; Kübler, A.; Rosenstiel, W.; Sitaram, R.; Birbaumer, N. Prediction of brain-computer interface aptitude from individual brain structure. Front. Hum. Neurosci. 2013, 7, 105. [Google Scholar] [CrossRef]
- Enriquez-Geppert, S.; Huster, R.; Scharfenort, R. The morphology of midcingulate cortex predicts frontal-midline theta neurofeedback success. Front. Hum. Neurosci. 2013, 7, 453. [Google Scholar] [CrossRef] [PubMed]
- Nan, W.; Wan, F.; Vai, M.I.; Da Rosa, A.C. Resting and Initial Beta Amplitudes Predict Learning Ability in Beta/Theta Ratio Neurofeedback Training in Healthy Young Adults. Front. Hum. Neurosci. 2015, 9, 677. [Google Scholar] [CrossRef] [PubMed]
- Weber, L.A.; Ethofer, T.; Ehlis, A.C. Predictors of neurofeedback training outcome: A systematic review. NeuroImage Clin. 2020, 27, 102301. [Google Scholar] [CrossRef] [PubMed]
- Klimesch, W.; Sauseng, P.; Hanslmayr, S. EEG alpha oscillations: The inhibition-timing hypothesis. Brain Res. Rev. 2007, 53, 63–88. [Google Scholar] [CrossRef]
- Gruzelier, J.; Thompson, T.; Redding, E.; Brandt, R. Application of alpha/theta neurofeedback and heart rate variability training to young contemporary dancers: State anxiety and creativity. Int. J. Psychophysiol. 2014, 93, 105–111. [Google Scholar] [CrossRef]
- Kober, S.E.; Schweiger, D.; Witte, M.; Reichert, J.L.; Grieshofer, P.; Neuper, C.; Wood, G. Specific effects of EEG based neurofeedback training on memory functions in post-stroke victims. J. Neuroeng. Rehabil. 2015, 12, 107. [Google Scholar] [CrossRef] [PubMed]
- Hanslmayr, S.; Sauseng, P.; Doppelmayr, M.; Schabus, M.; Klimesch, W. Increasing individual upper alpha power by neurofeedback improves cognitive performance in human subjects. Appl. Psychophysiol. Biofeedback 2005, 30, 1–10. [Google Scholar] [CrossRef]
- Gruzelier, J.; Inoue, A.; Smart, R.; Steed, A.; Steffert, T. Acting performance and flow state enhanced with sensory-motor rhythm neurofeedback comparing ecologically valid immersive VR and training screen scenarios. Neurosci. Lett. 2010, 480, 112–116. [Google Scholar] [CrossRef]
- Van Lutterveld, R.; Houlihan, S.; Pal, P.; Sacchet, M.; McFarlane-Blake, C.; Patel, P.R.; Sullivan, J.S.; Ossadtchi, A.; Druker, S.; Bauer, C.; et al. Source-space EEG neurofeedback links subjective experience with brain activity during effortless awareness meditation. NeuroImage 2016, 151, 117–127. [Google Scholar] [CrossRef]
- Aftanas, L.; Golosheikin, S. Changes in cortical activity in altered states of consciousness: The study of meditation by high-resolution EEG. Hum. Physiol. 2003, 29, 143–151. [Google Scholar] [CrossRef]
- Cahn, B.R.; Polich, J. Meditation states and traits: EEG, ERP, and neuroimaging studies. Psychol. Bull. 2006, 132, 180–211. [Google Scholar] [CrossRef]
- Lagopoulos, J.; Xu, J.; Rasmussen, I.; Vik, A.; Malhi, G.S.; Eliassen, C.F.; Arntsen, I.E.; Sæther, J.G.; Hollup, S.; Holen, A.; et al. Increased theta and alpha EEG activity during nondirective meditation. J. Altern. Complement. Med. 2009, 15, 1187–1192. [Google Scholar] [CrossRef]
- Chiesa, A.; Serretti, A. A systematic review of neurobiological and clinical features of mindfulness meditations. Psychol. Med. 2010, 40, 1239–1252. [Google Scholar] [CrossRef] [PubMed]
- Lomas, T.; Ivtzan, I.; Fu, C.H.Y. A systematic review of the neurophysiology of mindfulness on EEG oscillations. Neurosci. Biobehav. Rev. 2015, 57, 401–410. [Google Scholar] [CrossRef] [PubMed]
- Navarro Gil, M.; Escolano Marco, C.; Montero-Marín, J.; Minguez Zafra, J.; Shonin, E.; García Campayo, J. Efficacy of Neurofeedback on the Increase of Mindfulness-Related Capacities in Healthy Individuals: A Controlled Trial. Mindfulness 2018, 9, 303–311. [Google Scholar] [CrossRef]
- Da Costa, N.M.C. Nmc-Costa/Neuroprime: A Framework for Real-Time HCI/BCI. Specifically Developed for Advanced Human-Computer Assisted Self-Regulation of Neurofeedback. Available online: https://github.com/nmc-costa/neuroprime (accessed on 19 April 2020).
- Da Costa, N.M.C.; Bicho, E.G.; Dias, N.S. Priming with mindfulness affects our capacity to self-regulate brain activity? In Proceedings of the 2020 IEEE 8th International Conference on Serious Games and Applications for Health (SeGAH), Online, 12–14 August 2020; pp. 1–8. [Google Scholar] [CrossRef]
- Faul, F.; Erdfelder, E.; Lang, A.G.; Buchner, A. G*Power 3: A flexible statistical power analysis program for the social, behavioral, and biomedical sciences. In Proceedings of the Behavior Research Methods; Psychonomic Society Inc.: Chicago, IL, USA, 2007; Volume 39, pp. 175–191. Available online: https://link.springer.com/content/pdf/10.3758/BF03193146.pdf (accessed on 21 August 2021).
- Frewen, P.A.; Unholzer, F.; Logie-Hagan, K.R.J.; MacKinley, J.D. Meditation Breath Attention Scores (MBAS): Test-Retest Reliability and Sensitivity to Repeated Practice. Mindfulness 2014, 5, 161–169. [Google Scholar] [CrossRef]
- Ros, T.; Théberge, J.; Frewen, P.A.; Kluetsch, R.; Densmore, M.; Calhoun, V.D.; Lanius, R.A. Mind over chatter: Plastic up-regulation of the fMRI salience network directly after EEG neurofeedback. NeuroImage 2013, 65, 324–335. [Google Scholar] [CrossRef]
- Peeters, F.; Ronner, J.; Bodar, L.; van Os, J.; Lousberg, R. Validation of a neurofeedback paradigm: Manipulating frontal EEG alpha-activity and its impact on mood. Int. J. Psychophysiol. 2013, 93, 116–120. [Google Scholar] [CrossRef] [PubMed]
- Wells, R.; Outhred, T.; Heathers, J.A.J.; Quintana, D.S.; Kemp, A.H. Matter over mind: A randomised-controlled trial of single-session biofeedback training on performance anxiety and heart rate variability in musicians. PLoS ONE 2012, 7, e46597. [Google Scholar] [CrossRef] [PubMed]
- Angelakis, E.; Stathopoulou, S.; Frymiare, J.L.; Green, D.L.; Lubar, J.F.; Kounios, J. EEG neurofeedback: A brief overview and an example of peak alpha frequency training for cognitive enhancement in the elderly. Clin. Neuropsychol. 2007, 21, 110–129. [Google Scholar] [CrossRef]
- Van Boxtel, G.J.M.; Denissen, A.J.M.; Jäger, M.; Vernon, D.; Dekker, M.K.J.; Mihajlović, V.; Sitskoorn, M.M. A novel self-guided approach to alpha activity training. Int. J. Psychophysiol. 2012, 83, 282–294. [Google Scholar] [CrossRef]
- Vernon, D.; Dempster, T.; Bazanova, O.; Rutterford, N.; Pasqualini, M.; Andersen, S. Alpha Neurofeedback Training for Performance Enhancement: Reviewing the Methodology. J. Neurother. 2009, 13, 214–227. [Google Scholar] [CrossRef]
- Barry, R.J.; Clarke, A.R.; Johnstone, S.J.; Magee, C.A.; Rushby, J.A. EEG differences between eyes-closed and eyes-open resting conditions. Clin. Neurophysiol. 2007, 118, 2765–2773. [Google Scholar] [CrossRef]
- Baer, R.A.; Smith, G.T.; Lykins, E.; Button, D.; Krietemeyer, J.; Sauer, S.; Walsh, E.; Duggan, D.; Williams, J.M.G. Construct validity of the five facet mindfulness questionnaire in meditating and nonmeditating samples. Assessment 2008, 15, 329–342. [Google Scholar] [CrossRef]
- Gregório, S.; Gouveia, J.P. Facetas de mindfulness: Características psicométricas de um instrumento de avaliação. Psychologica 2011, 259–279. [Google Scholar] [CrossRef]
- Crawford, J.R.; Henry, J.D. The Depression Anxiety Stress Scales (DASS): Normative data and latent structure in a large non-clinical sample. Br. J. Clin. Psychol. 2003, 42, 111–131. [Google Scholar] [CrossRef] [PubMed]
- Pais-Ribeiro, J.L.; Honrado, A.; Leal, I. Contribuição para o Estudo da Adaptação Portuguesa das Escalas de Ansiedade, Depressão e Stress (EADS) de 21 itens de Lovibond e Lovibond. Psicol. Saúde Doenças 2004, 5, 229–239. [Google Scholar]
- Lovibond, P.; Lovibond, S. The structure of negative emotional states: Comparison of the Depression Anxiety Stress Scales (DASS) with the Beck Depression and Anxiety Inventories. Behav. Res. Ther. 1995, 33, 335–343. [Google Scholar] [CrossRef]
- Vaz, F.; Martins, C.; Martins, E.C. Diferenciação emocional e regulação emocional em adultos portugueses. Psicologia 2008, 22, 123. [Google Scholar] [CrossRef]
- Viana, M.; Almeida, P.; Santos, R. Adaptação Portuguesa da Versão Reduzida do Perfil de Estados de Humor: POMS. Aná. Psicol. 2001, 19, 77–92. [Google Scholar] [CrossRef]
- Lau, M.A.; Bishop, S.R.; Segal, Z.V.; Buis, T.; Anderson, N.D.; Carlson, L.; Shapiro, S.; Carmody, J.; Abbey, S.; Devins, G. The toronto mindfulness scale: Development and validation. J. Clin. Psychol. 2006, 62, 1445–1467. [Google Scholar] [CrossRef]
- Moreira, P.S.; Chaves, P.; Dias, R.; Dias, N.; Almeida, P.R. Validation of wireless sensors for psychophysiological studies. Sensors 2019, 19, 4824. [Google Scholar] [CrossRef] [PubMed]
- Correia, B.; Dias, N.; Costa, P.; Pêgo, J.M. Validation of a Wireless Bluetooth Photoplethysmography Sensor Used on the Earlobe for Monitoring Heart Rate Variability Features during a Stress-Inducing Mental Task in Healthy Individuals. Sensors 2020, 20, 3905. [Google Scholar] [CrossRef] [PubMed]
- Dempster, T.; Vernon, D. Identifying indices of learning for alpha neurofeedback training. Appl. Psychophysiol. Biofeedback 2009, 34, 309–318. [Google Scholar] [CrossRef] [PubMed]
- Louis, E.K.S.; Frey, L.C.; Britton, J.W.; Frey, L.C.; Hopp, J.L.; Korb, P.; Koubeissi, M.Z.; Lievens, W.E.; Pestana-Knight, E.M.; Louis, E.K.S. The Normal EEG. 2016. Available online: https://www.ncbi.nlm.nih.gov/books/NBK390343/ (accessed on 21 August 2021).
- Boucsein, W.; Fowles, D.C.; Grimnes, S.; Ben-Shakhar, G.; Roth, W.T.; Dawson, M.E.; Filion, D.L. Publication recommendations for electrodermal measurements. Psychophysiology 2012, 49, 1017–1034. [Google Scholar] [CrossRef]
- Posada-Quintero, H.F.; Chon, K.H. Innovations in Electrodermal Activity Data Collection and Signal Processing: A Systematic Review. Sensors 2020, 20, 479. [Google Scholar] [CrossRef]
- Malik, M.; John Camm, A.; Thomas Bigger, J.; Breithardt, G.; Cerutti, S.; Cohen, R.J.; Coumel, P.; Fallen, E.L.; Kennedy, H.L.; Kleiger, R.E.; et al. Heart rate variability: Standards of measurement, physiological interpretation, and clinical use. Circulation 1996, 93, 1043–1065. [Google Scholar] [CrossRef]
- Zahn, D.; Adams, J.; Krohn, J.; Wenzel, M.; Mann, C.G.; Gomille, L.K.; Jacobi-Scherbening, V.; Kubiak, T. Heart rate variability and self-control—A meta-analysis. Biol. Psychol. 2016, 115, 9–26. [Google Scholar] [CrossRef]
- Beauchaine, T. Vagal tone, development, and Gray’s motivational theory: Toward an integrated model of autonomic nervous system functioning in psychopathology. Dev. Psychopathol. 2001, 13, 183–214. [Google Scholar] [CrossRef]
- Graziano, P.; Derefinko, K. Cardiac vagal control and children’s adaptive functioning: A meta-analysis. Biol. Psychol. 2013, 94, 22–37. [Google Scholar] [CrossRef]
- Pimenta, M.G.; Brown, T.; Arns, M.; Enriquez-Geppert, S. Treatment Efficacy and Clinical Effectiveness of EEG Neurofeedback as a Personalized and Multimodal Treatment in ADHD: A Critical Review. Neuropsychiatr. Dis. Treat. 2021, 17, 637. [Google Scholar] [CrossRef] [PubMed]
- Champseix, R. Aura-Healthcare/Hrv-Analysis: Package for Heart Rate Variability Analysis in Python. Available online: https://github.com/Aura-healthcare/hrv-analysis (accessed on 12 May 2021).
Publisher’s Note: MDPI stays neutral with regard to jurisdictional claims in published maps and institutional affiliations. |
© 2021 by the authors. Licensee MDPI, Basel, Switzerland. This article is an open access article distributed under the terms and conditions of the Creative Commons Attribution (CC BY) license (https://creativecommons.org/licenses/by/4.0/).




