Preliminary Optimization of Multi-Stage Axial-Flow Industrial Process Compressors Using Aero-Engine Compressor Design Strategy
Abstract
:1. Introduction
2. Optimal Design Chart
3. Preliminary Optimal Design Method
3.1. One-Dimensional Design Method
3.2. Empirical Models
- Flow loss, which is twofold, i.e., shock loss and profile loss:where is total pressure loss coefficient; subscript and denote shock loss and profile loss, respectively.
- Incidence angle,
- Deviation angle,
- Aerodynamic blockage.
3.3. Optimization Problem
4. Detailed Design Method and CFD Model
5. Optimal Design of Four Kinds of Axial Compressors
5.1. Problem Description
5.2. Results and Discussion
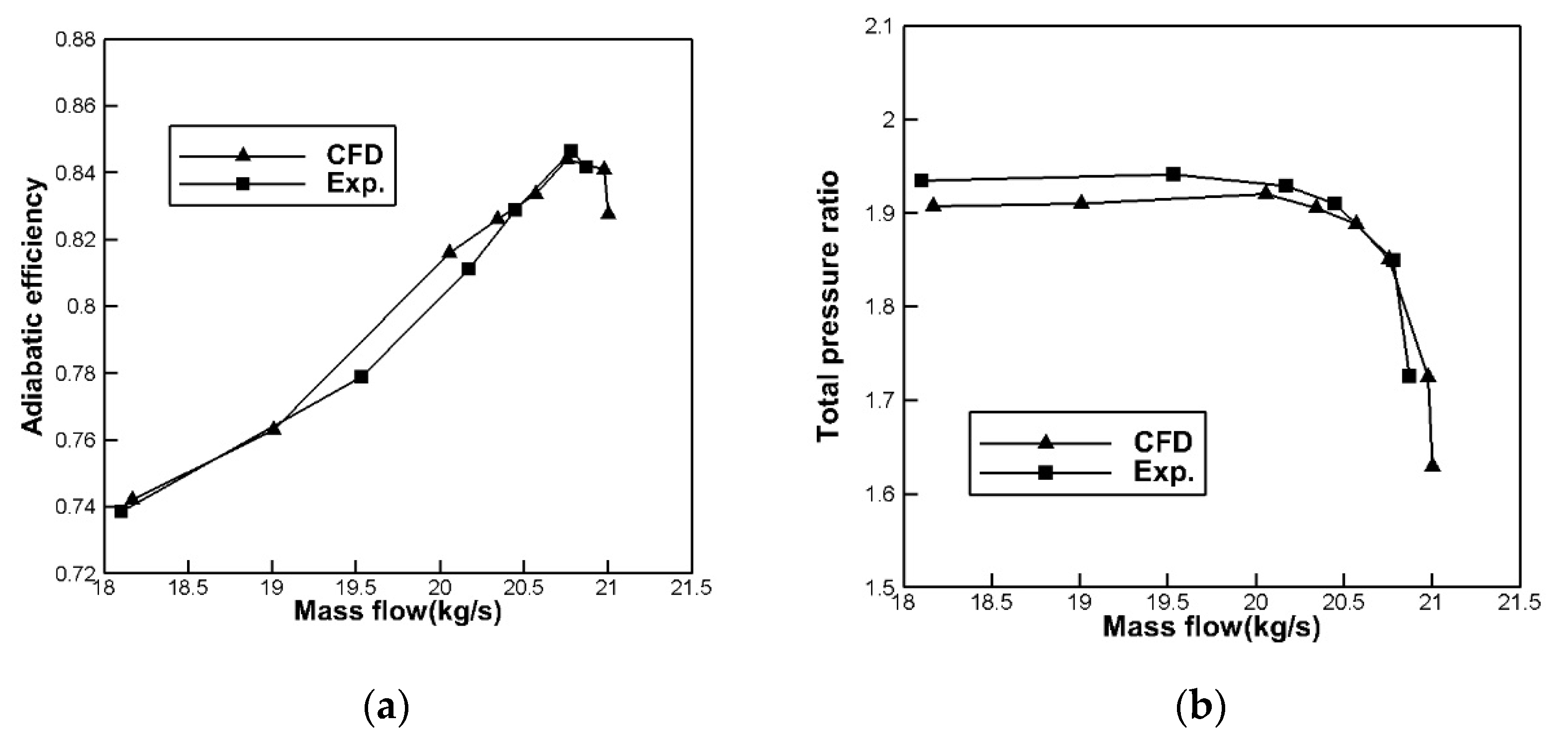
5.3. CFD Verification
6. Conclusions
- As the number of stages increases, the optimal average aspect ratio increases from 1.44 to 1.58.
- The optimal average solidity varies within a small range from 1.28 to 1.33.
- The best efficiency is attainable at the average reaction range from 0.44 to 0.49 as the stage number increases.
- As the stage number increases, optimal rotation speed decreases from 6125 rpm to 4053 rpm.
- The optimal outlet axial Mach number is approximately 0.34.
- The best efficiency is attainable when the inlet radius ratio is about 0.3.
Author Contributions
Funding
Institutional Review Board Statement
Informed Consent Statement
Conflicts of Interest
References
- Wadia, A.R.; Wolf, D.P.; Haaser, F.G. Aerodynamic design and testing of an axial flow compressor with pressure ratio of 23.3:1 for the LM2500+ gas turbine. J. Turbomach 2002, 124, 331–340. [Google Scholar] [CrossRef]
- Novak, D.; Loetzerich, M.; Boese, M. Aerodynamic Design and Testing of an Axial Flow Compressor for the GT24/26 Gas Turbines; ASME Paper No. GT2013-95067, June 2013; ASME Press: New York, NY, USA, 2013. [Google Scholar]
- Gallimore, S.J. Axial flow compressor design. Proc. Inst. Mech. Eng. Part C J. Mech. Eng. Sci. 1999, 213, 437–449. [Google Scholar] [CrossRef]
- Smith, L.H. Axial compressor aerodesign evolution at general electric. J. Turbomach 2002, 124, 321–330. [Google Scholar] [CrossRef]
- Wisler, D.C.; Koch, L.H.; Smith, L.H. Preliminary Design Study of Advanced Multistage Axial Flow Code Compressors; Report No. CR-135133; NASA: Washington, DC, USA, 1977.
- Massardo, A.; Satta, A. Axial flow compressor design optimization: Part I—Pitchline analysis and multivariable objective function influence. J. Turbomach 1990, 112, 399–404. [Google Scholar] [CrossRef]
- Zhang, X.W.; Ju, Y.P.; Zhang, C.H. Accuracy and Sensitivity Analysis of Aerodynamic Performance Prediction Models for Multi-Stage Transonic Axial-Flow Compressors; ASME Paper No. GT 2020-15172, June 2020; ASME Press: New York, NY, USA, 2010. [Google Scholar]
- Klapproth, J.F.; Miller, M.L.; Parker, D.E. Aerodynamic development and performance of the CF-6/LM2500 compressor. In Proceedings of the 4th International Symposium on Air Breathing Engines, Orlando, FL, USA, 1–6 April 1979; Paper No. 1979-7030. AIAA: Reston, VA, USA; pp. 243–249. [Google Scholar]
- Wu, C.H. A General Theory of Three-Dimensional Flow in Subsonic and Supersonic Turbomachines of Axial-, Radial, and Mixed-Flow Types; Report no. TN-2604; NACA: Washington, DC, USA, 1952.
- Swan, W. A practical method of predicting transonic-compressor performance. J. Eng. Power 1961, 88, 322–330. [Google Scholar] [CrossRef]
- Smith, L.H. The radial-equilibrium equation of turbomachinery. J. Eng. Power 1966, 88, 1–12. [Google Scholar] [CrossRef]
- Novak, R. Streamline curvature computing procedures for fluid-flow problems. J. Eng. Power 1967, 89, 478–490. [Google Scholar] [CrossRef]
- Boyer, K.M.; O’Brien, W.F. An improved streamline curvature approach for off-design analysis of transonic axial compression systems. J. Turbomach 2003, 125, 475–481. [Google Scholar] [CrossRef]
- Banjac, M.; Petrovic, M.V.; Wiedermann, A. Secondary flows, endwall effects, and stall detection in axial compressor design. J. Turbomach 2015, 137, 051004. [Google Scholar] [CrossRef]
- Li, B.; Gu, C.W.; Li, X.T.; Liu, T.Q.; Xiao, Y.B. Development and application of a throughflow method for high-loaded axial flow compressors. Sci. China Ser. E Technol. Sci 2016, 59, 93–108. [Google Scholar] [CrossRef]
- Acarer, S.; Özkol, Ü. An extension of the streamline curvature through-flow design method for bypass fans of turbofan engines. Proc. Inst. Mech. Eng. Part G J. Aerosp. Eng. 2016, 231, 240–253. [Google Scholar] [CrossRef]
- Zhang, L.Y.; Congiu, F.; Gan, X.P.; Karunakara, D. Performance Prediction and Optimization of Low Pressure Steam Turbine Radial Diffuser at Design and Off-Design Conditions Using Streamline Curvature Method. J. Eng. Gas Turbines Power 2017, 139, 072601. [Google Scholar] [CrossRef]
- Yang, C.; Wu, H.; Yang, J.G.; Ferlauto, M. Time-marching throughflow analysis of multistage axial compressors based on a novel inviscid blade force model. Proc. Inst. Mech. Eng. Part G J. Aerosp. Eng. 2019, 233, 5239–5252. [Google Scholar] [CrossRef]
- Denton, J.D. Multall: An Open Source, CFD Based, Turbomachinery Design System; ASME Paper No. GT2017-63993, September 2017; ASME Press: New York, NY, USA, 2017. [Google Scholar]
- Bruna, D.; Cravero, C.; Turner, M.G.; Merchant, A. An educational software suite for teaching design strategies for multistage axial flow compressors. J. Turbomach 2012, 134, 051010. [Google Scholar] [CrossRef]
- Banjac, M.; Petrovic, M.V. Development of Method and Computer Program for Multistage Axial Compressor Design: Part I—Mean Line Design and Example Cases; ASME paper no. GT2018-75410, June 2018; ASME Press: New York, NY, USA, 2018. [Google Scholar]
- Keskin, A.; Bestle, D. Application of multi-objective optimization to axial compressor preliminary design. Aerosp. Sci. Technol 2006, 10, 581–589. [Google Scholar] [CrossRef]
- Adjei, R.A.; Wang, W.Z.; Liu, Y.Z. Aerodynamic Design Optimization of an Axial Flow Compressor Stator Using Parameterized Free-Form Deformation. J. Eng. Gas Turbines Power 2019, 141, 101015. [Google Scholar] [CrossRef]
- Lieblein, S. Loss and stall analysis of compressor cascades. J. Basic Eng. 1959, 81, 387–400. [Google Scholar] [CrossRef]
- Cui, C.; Zhou, Z.G.; Zhang, J.H.; Tao, S. Influence of key geometric parameters on the aerodynamic performance of a supersonic compressor cascade. Proc. Inst. Mech. Eng. Part G J. Aerosp. Eng. 2018, 232, 2338–2348. [Google Scholar] [CrossRef]
- Koch, C.C.; Smith, L.H. Loss sources and magnitudes in axial-flow compressors. J. Eng. Power 1976, 98, 411–424. [Google Scholar] [CrossRef]
- Ronald, J.S. Design of 9.271-Pressure-Ratio Five-Stage Core Compressor and Overall Performance for First Three Stages; Report no. TP-2597; NASA: Washington, DC, USA, 1986.
- Lieblein, S. Incidence and deviation-angle correlations for compressor cascades. J. Basic Eng. 1960, 82, 575–584. [Google Scholar] [CrossRef]
- Johnsen, I.A.; Bullock, R.O. Aerodynamic Design of Axial Flow Compressors; Report No. SP-36; NASA: Washington, DC, USA, 1965.
- Jansen, W. The Application of End-Wall Boundary Layer Effects in the Performance Analysis of Axial Compressors; ASME Paper No. 67-WA/GT-11, June 1967; ASME Press: New York, NY, USA, 1967. [Google Scholar]
- Ju, Y.P.; Zhang, C.H. Multi-point and multi-objective optimization design method for industrial axial compressor cascades. Proc. Inst. Mech. Eng. Part C J. Mech. Eng. Sci. 2011, 225, 1481–1493. [Google Scholar] [CrossRef]
- Ju, Y.P.; Zhang, C.H. Multi-point robust design optimization of wind turbine airfoil under geometric uncertainty. Pro IMechE Part A J. Power Energy 2012, 226, 245–261. [Google Scholar] [CrossRef]
- Ju, Y.P.; Zhang, C.H. Optimization of centrifugal impellers for uniform discharge flow and wide operating range. J. Propul. Power 2012, 28, 888–899. [Google Scholar] [CrossRef]
- Lonnie, R.; Royce, D.M. Performance of Single-Stage Axial-Flow Transonic Compressor with Rotor and Stator Aspect Ratios of 1.19 and 1.26, Respectively, and with Design Pressure Ratio of 1.82; Report No. TP-1338; NASA: Washington, DC, USA, 1978.














| Parameters | Upper Bound | Lower Bound | 
|---|---|---|
| Solidity | 1.60 | 1.10 | 
| Reaction | 0.60 | 0.40 | 
| Outlet Mach number | 0.40 | 0.28 | 
| Inlet radius ratio | 0.50 | 0.25 | 
| Parameter | Unit | Value | 
|---|---|---|
| Working fluid | - | Dry air | 
| Inlet total temperature | K | 301.4 | 
| Inlet total pressure | kPa | 87.26 | 
| Mass flow rate | kg/s | 179.08 | 
| Outer diameter | m | 1.67 | 
| Adiabatic Efficiency | Total Pressure Ratio | Mass Flow Rate (kg/s) | ||
|---|---|---|---|---|
| 4-stage | Initial | 80.31% | 3.94 | 179.08 | 
| Optimal | 83.51% | 3.94 | 179.08 | |
| 5-stage | Initial | 83.95% | 3.94 | 179.08 | 
| Optimal | 84.69% | 3.94 | 179.08 | |
| 6-stage | Initial | 83.10% | 3.94 | 179.08 | 
| Optimal | 85.97% | 3.94 | 179.08 | |
| 7-stage | Initial | 83.14% | 3.94 | 179.08 | 
| Optimal | 86.15% | 3.94 | 179.08 | |
| Parameters | Design Intention | 4-Stage | 5-Stage | 6-Stage | 7-Stage | 
|---|---|---|---|---|---|
| Average aspect ratio | Initial | 1.43 | 1.48 | 1.53 | 1.58 | 
| Optimal | 1.44 | 1.49 | 1.54 | 1.58 | |
| Average solidity | Initial | 1.35 | 1.35 | 1.35 | 1.35 | 
| Optimal | 1.33 | 1.28 | 1.30 | 1.31 | |
| Average reaction | Initial | 0.50 | 0.50 | 0.50 | 0.50 | 
| Optimal | 0.44 | 0.46 | 0.48 | 0.49 | |
| Rotation speed | Initial | 6000 | 5500 | 5000 | 4500 | 
| Optimal | 5800 | 5113 | 4551 | 4053 | |
| Outlet axial Mach number | Initial | 0.34 | 0.34 | 0.34 | 0.34 | 
| Optimal | 0.34 | 0.35 | 0.34 | 0.35 | |
| Inlet radius ratio | Initial | 0.38 | 0.38 | 0.38 | 0.38 | 
| Optimal | 0.32 | 0.32 | 0.30 | 0.29 | 
| Parameters | Node Number | ||
|---|---|---|---|
| 4,507,617 | 6,009,601 | 9,186,193 | |
| Total pressure ratio | 3.89 | 3.90 | 3.90 | 
| Adiabatic efficiency | 81.35% | 81.39% | 81.38% | 
| Mass flow rate(kg/s) | 180.64 | 180.68 | 179.71 | 
| Parameters | Number of Stages | Initial | Optimal | ||||
|---|---|---|---|---|---|---|---|
| Design | CFD | Errors | Design | CFD | Errors | ||
| Total pressure ratio | 4-stage | 3.94 | 3.90 | 1.02% | 3.94 | 3.92 | 0.51% | 
| 5-stage | 3.94 | 3.94 | 0.00% | 3.94 | 3.93 | 0.25% | |
| 6-stage | 3.94 | 3.96 | 0.51% | 3.94 | 3.90 | 1.02% | |
| 7-stage | 3.94 | 3.97 | 0.76% | 3.94 | 3.93 | 0.25% | |
| Adiabatic efficiency | 4-stage | 80.31% | 81.39% | 1.34% | 83.51% | 82.19% | 1.58% | 
| 5-stage | 83.95% | 83.61% | 0.41% | 84.69% | 86.05% | 1.61% | |
| 6-stage | 83.10% | 84.51% | 1.70% | 85.97% | 85.07% | 1.05% | |
| 7-stage | 84.14% | 85.32% | 1.40% | 86.15% | 86.66% | 0.59% | |
| Mass flow rate (kg/s) | 4-stage | 179.08 | 180.68 | 0.89% | 179.08 | 181.68 | 1.45% | 
| 5-stage | 179.08 | 178.86 | 0.12% | 179.08 | 182.59 | 1.96% | |
| 6-stage | 179.08 | 181.52 | 1.36% | 179.08 | 182.26 | 1.78% | |
| 7-stage | 179.08 | 182.23 | 1.76% | 179.08 | 182.51 | 1.92% | |
| Publisher’s Note: MDPI stays neutral with regard to jurisdictional claims in published maps and institutional affiliations. | 
© 2021 by the authors. Licensee MDPI, Basel, Switzerland. This article is an open access article distributed under the terms and conditions of the Creative Commons Attribution (CC BY) license (https://creativecommons.org/licenses/by/4.0/).
Share and Cite
Lei, F.; Zhang, C. Preliminary Optimization of Multi-Stage Axial-Flow Industrial Process Compressors Using Aero-Engine Compressor Design Strategy. Appl. Sci. 2021, 11, 9248. https://doi.org/10.3390/app11199248
Lei F, Zhang C. Preliminary Optimization of Multi-Stage Axial-Flow Industrial Process Compressors Using Aero-Engine Compressor Design Strategy. Applied Sciences. 2021; 11(19):9248. https://doi.org/10.3390/app11199248
Chicago/Turabian StyleLei, Fan, and Chuhua Zhang. 2021. "Preliminary Optimization of Multi-Stage Axial-Flow Industrial Process Compressors Using Aero-Engine Compressor Design Strategy" Applied Sciences 11, no. 19: 9248. https://doi.org/10.3390/app11199248
APA StyleLei, F., & Zhang, C. (2021). Preliminary Optimization of Multi-Stage Axial-Flow Industrial Process Compressors Using Aero-Engine Compressor Design Strategy. Applied Sciences, 11(19), 9248. https://doi.org/10.3390/app11199248
 
         
                                                
 
       