Abstract
The mechanical behavior of fine-grained piezoelectric/substrate structure with screw dislocation and interface edge crack under the coupling action of heat, force and electricity are studied. Using the mapping function method, firstly, the finite area plane is transformed into the right semi-infinite plane, then the expression of the temperature field is given with the help of the complex function, and then the temperature field of the problem is achieved. By constructing the general solution of the governing equation with temperature function, the analytical expression of the image force is derived. Finally, the effects of material parameters, temperature gradient, coating thickness and crack size on image force are analyzed by numerical examples. The results show that the temperature gradient has a very significant effect on the image force, and thicker coating is conducive to the stability of dislocation and interface crack.
1. Introduction
Piezoelectric materials have been extensively used in aviation, aerospace, high-tech precision instruments, intelligent structures, structural health monitoring and other fields due to their unique properties. However, subject to the level of the manufacturing process and the piezoelectric composite structure in the process of serving local damage accumulation or format sample by work environment of the influence of the static, dynamic and random load also can produce all kinds of injury, when these defects and damage further expansion will lead to the overall structural failure, even resulting in economic losses and casualties. Therefore, it was particularly important to study the mechanical behavior of cracks and defects at the interface of piezoelectric composites, which attract a lot of attention [1,2,3,4,5,6]. Gao et al. [7,8] systematically studied the plane problem of piezoelectric material interface defects by using complex function method and Stroh theory. They obtained the piezoelectric materials containing an elliptic hole series approximate solution in the form of plane problems, and based on this as the basic solution of the boundary element method was used to solve more complex problems, at the same time as a special case degenerate elliptic holes crack were derived when the crack in the transverse isotropic piezoelectric body under the action of arbitrary concentrated force and concentrated charge of complex function. Xiao et al. [9] examined the interaction of screw dislocation, circular crack and inclusion in infinite single piezoelectric material under uniform heat flow, but did not discuss the case of piezoelectric composite material with finite size. Ueda [10] discussed the fracture of functionally gradient piezoelectric composites under multi-field coupling by using the Fourier integral transformation method. They calculated that increasing the material gradient helped to reduce the stress intensity factor under pure mechanical loads, and the crack length and material heterogeneity had a great effect on the temperature stress distribution but had a small effect on the electric displacement intensity factor under pure electric and thermal loads. Liu et al. [11,12] analytically the problems of screw dislocation and defects in one-dimensional hexagonal quasicrystal piezoelectric materials. They obtained the expressions of the stress field of screw dislocation and interface crack by using complex function method, and revealed the interaction between screw dislocation and stress field and the electric field by numerical examples. Lee and Pak [13] used the complex variable function and conformal transformation method was given in linear piezoelectric materials semi-infinite long crack and screw dislocation interaction explicit solution of the problem, after analysis found that the crack tip stress, electric displacement and electric field had a singularity, also discussed under the condition of the limit of power lost, the results were consistent with pure elastic situation. Gherrous et al. [14] derived the Griffith crack propagation problem at the interface of dual piezoelectric materials in semi-infinite planar structures. The solution of piezoelectric equation was transformed into singular integral equations by Fourier integral transformation, and the expression of the intensity factor. The numerical results demonstrate that the positive charge can prevent the crack propagation, and the material with smaller thickness and stronger rigidity can be selected to better resist the fracture. Nourazar et al. [15,16] investigated the fracture analysis of non-ideal piezoelectric coatings and orthotropic strips with multiple defects. Used the dislocation method, the problem was reduced to a singular integral equation and the effects of the non-ideal bonding coefficient, the defect geometry and coating properties on the stress intensity factor and the annular stress of the cavity were discussed numerically. Viun et al. [17] examined the plane strain problem of finite permeable piezoelectric bi-material interface cracks under load. They used complex function theory to transform the problem into a linear one, and given analytic expressions of the interface stress and crack tip strength factor in simple forms. Finally, by means of finite element method, the results of the influence of different polarization angles and different material combinations on fracture parameters were given. Shen et al. [18] explored the interaction between helical displacements and three different transverse isotropic piezoelectric semi-planar ternary composites and with hypotenuse cracks under mechanical loads in far-antiplane and in-plane electrical loads. The effects of crack length, crack angle and load position on electric field, stress field, generalized stress intensity factor, image force and crack propagation force were studied by the graphic method. Mishra et al. [19] dealed the interaction between multiple holes and cracks in piezoelectric devices under thermal-electro-mechanical loading environment. They used extended finite element method, interaction integral method and generalized Stroh formula to predict the stress intensity factor.
However, with the higher and higher requirements for precision instruments, ordinary piezoelectric materials can no longer meet the production requirements of high-end instruments, resulting in a series of new materials such as fine grain piezoelectric materials (the grain size is 100nm-10μm), nano piezoelectric materials. Reducing the particle size to the submicron level can improve the machinability of the material and the mechanical strength of the resulting device. In recent years, fine-grained piezoelectric materials have been used for cutting and grinding, and some high frequency transducers, microbrakes, and thin buzzers have been fabricated in which the advantages of fine-grained piezoelectric materials have been proved [20,21]. At the same time, many scholars have studied the relationship between grain size and mechanical properties and piezoelectric effect of dielectric piezoelectric materials through experiments [22,23,24]. However, the mechanical, dielectric and piezoelectric properties of fine-grained piezoelectric materials are uncertain with the grain size and preparation conditions, so the theoretical research on the defects of fine-grained piezoelectric materials mostly stays on the normal grain size, and the theoretical research on the interface defects of fine-grained piezoelectric materials was less.
In this paper, the interaction between screw dislocations and interface edge cracks in fine-grained piezoelectric/substrate structures under steady thermal loading was studied. By using the mapping function method, the problem of composite structure with finite thickness was transformed to the right half infinite plane structure. At the same time, the expression of the temperature field was given by using complex function method and Riemann–Schwartz analytic continuation theorem, and the temperature field was obtained. By using the theory of solution of linear equations, the solution of the governing equation with temperature function was regarded as the sum of one particular solution and the general solution of the corresponding governing equation in homogeneous form. According to the construction process of temperature field and the theoretical method adopted, the solution of the governing equation containing temperature function was constructed, and the theoretical expression of the image force was derived from it. Furthermore, the influence of various material parameters on image force were analyzed by numerical calculation.
2. Problem Formulation
As shown in Figure 1, the fine-grained ceramic powder is prepared by high-efficiency mechanical ball milling, and then bonded with the substrate by plasma spraying technology to form the coating/substrate structure, while an open crack with a length of is along the interface between the coating and substrate. A fine-grained piezoelectric coating/substrate structure was obtained by polarization treatment of coating. The coating is polarized along the -axis. Assumed that coating and substrate are transversely isotropic. During the heating process of coating preparation, crystal deflection or bending may be caused, resulting in dislocation. Therefore, we assume that the screw dislocation with dislocation line parallel to the poling direction are situated at in fine-grained piezoelectric coating, in which and are the classical elastic displacement jump and the electric potential jump, respectively. The thickness of coating and substrate are and , respectively. It is assumed that the crack faces remain thermally and electrically insulated and , are environment temperature.
Figure 1.
Mechanical model of fine-grained piezoelectric coating/substrate structure under steady-state thermal loading.
The control and constitutive equation of elastic field are [9]
In Equations (1)–(5) the , are anti plane displacement and the electric potential, are elastic modulus, and are piezoelectric and dielectric constants, respectively. is the temperature change, , are stress components, and are piezoelectric and dielectric constants, respectively. is pyroelectric constant. the superscript () stands for the fine-grained piezoelectric coating and piezoelectric substrate, respectively.
Assume that the temperature satisfies the Fourier heat conduction equation, as follows:
where , , are coefficients of thermal conductivity.
Substituting Equations (2)–(5) into Equation (1), we obtained
where is the two-dimensional Laplacian operator.
For the homogeneous form of Equations (7) and (8), let
The homogeneous form of Equations (7) and (8) can be rewritten as
Introduce the following variables
The Equation (9) can be written as follows
where
without loss of generality, the boundary conditions can be written as
The thermal boundary conditions are specified as
Considering that the temperature field does not depend on the stress field and displacement field, it can therefore, be calculated separately, and then the expressions of thermal stress and displacement field can be deduced in sequence.
3. Solution to the Problem
3.1. Temperature Field
According to reference [25], the finite interface region problem can be transformed into the right semi-infinite region problem by the following two mapping functions.
From Equation (6), without losing generality, assuming that the thermal conductivity along X-axis and Y-axis is the same, that is, , it can be obtained
According to the theory of complex variable function, the solution of Equation (26) can be expressed in the following form
where is the temperature analytic function and , , , Re and Im represent the real and imaginary parts of the complex potential function respectively.
Substitute Equation (27) into Equation (6), we obtain
where , .
According to reference [26], the function in the plane can be written in the following form
At the same time, according to Riemann–Schwarz analytical continuation theorem, the function in the whole plane has the following form
Similarly, let the function have the following form in the plane
In the whole plane, the function is extended to
Here, represents the uniform heat flow components in the and directions, is the undetermined complex number, and is a holomorphic function.
From the thermal boundary conditions (20), (23), we can obtain
According to Equations (30), (33) and (35), we obtain
According to Equations (34)–(36), we get
where
According to Reference [27], the solution of Equation (37) can be expressed in the following form
where
By integrating Equation (38), we can get
where
Here, and are the singular principal parts of C at and , respectively.
From Equations (36), (39)–(41), we obtained
when , it can be obtained from Equations (30) and (43)
Further to collate Equations (40) and (41), we obtain
Substituting Equations (24) and (25) into Equations (44) and (45), we obtained
Substituting Equations (46) and (47) into Equation (27), the temperature field can be obtained as
where
3.2. Thermal Stress and Electric Displacement Field
According to the theory of solution of the equations, the solution of the in- homogeneous Equations (7) and (8) can be expressed as the sum of the general solution of the corresponding homogeneous equations and a particular solution of the in-homogeneous equation. Therefore, in the following discussion, we will construct the particular solution of Equations (7) and (8) and the corresponding general solution of homogeneous form.
Similar to the solution process of temperature field, the solution of homogeneous Equation (9) can be expressed as
Therefore, the stress and potential shift can be expressed as
where
Substitute Equation (50) into Equations (7) and (8), we obtain
where .
By solving the Equations (52) and (53), we can obtain
where , , , are holomorphic functions.
According to the above discussion, the following functions may be taken as the special solutions of Equations (7) and (8)
where
Here, is a holomorphic function.
For the non-homogeneous Equations (7) and (8), the relationship between stress and potential shift is also obtained
According to Equations (51), (57), the solutions of Equations (7) and (8) can finally be expressed as
Substituting Equation (46) into Equation (57) and find the derivative, then
where
Similarly, let the function have the following form
where
From Equations (60) and (61), we obtain
Substituting Equation (62) into boundary continuity conditions (14)–(17), we can obtain
where
According to the solution method of Equation (37), we obtain
Substituting Equations (57), (62) and (63) into Equations (2)–(5) can obtain the thermal stress and potential shift field of the problem.
3.3. Image Force
According to the above discussion, the general solution of Equations (6) and (7) can be written as:
Obviously, it satisfies the boundary continuity conditions (12)–(23).
According to Equations (51), (58) and (66), we obtain:
According to reference [2], the image force acting on the dislocation can be expressed as:
where
Substituting Equations (44), (48), (64) into Equations (67)–(69), the image force expression can be obtained:
where
Take the real part and imaginary part of Equation (70) respectively to obtain the image force along the x-axis and y-axis.
4. Numerical Example
We select cadmium selenide piezoelectric ceramics as the base material and fine-grained cadmium selenide piezoelectric ceramics as the coating material. The material parameters are:
Assume , , .
Substitute into Equation (60) to discuss the variation of image force with angle .
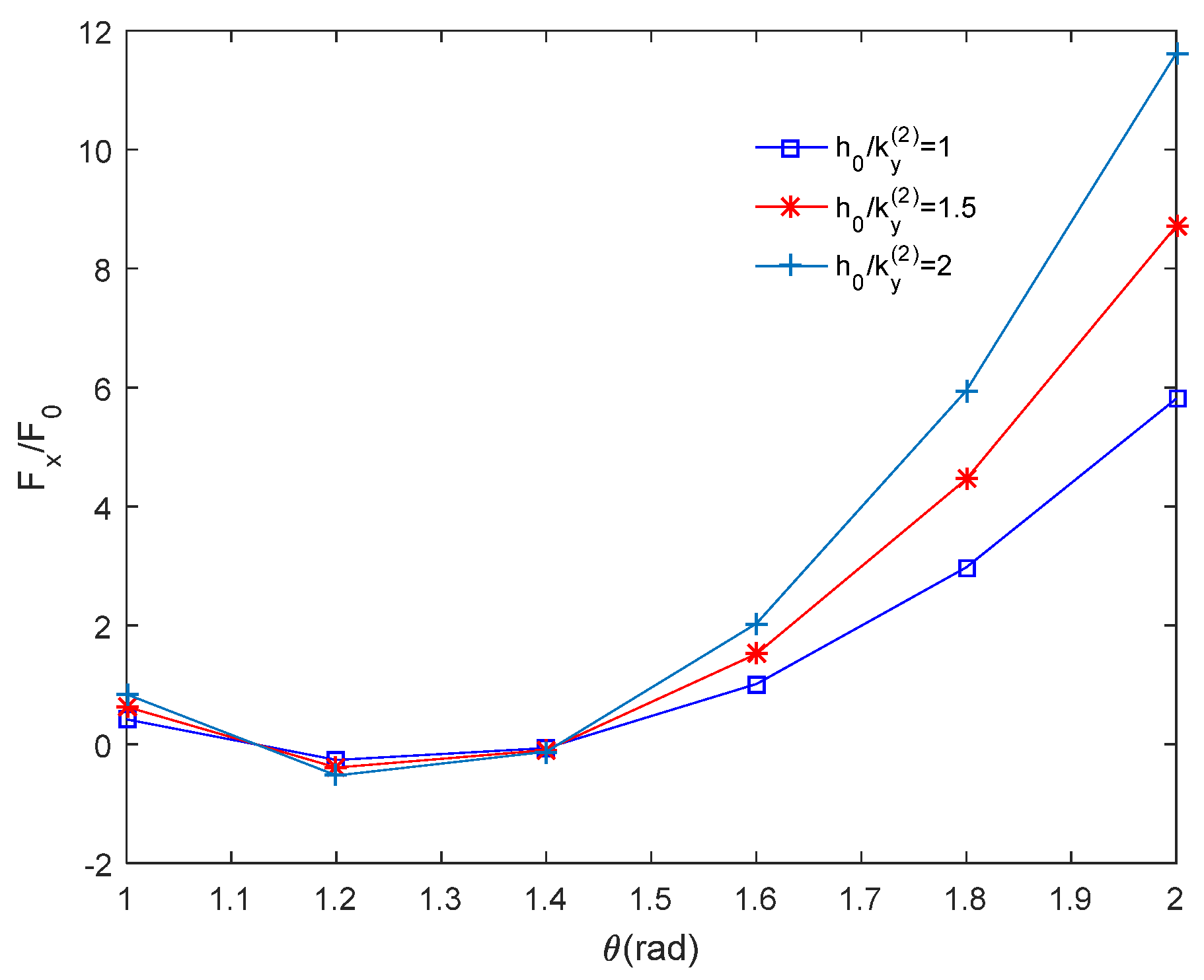
4.1. Effect of Temperature Gradient on Image Force
Figure 2 and Figure 3 show the variation law of image force with angle under different temperature gradients. The other parameters are: , , , , . The Figures shows that the image force first decreases and then increases with the increase of , while the image force first increases and then decreases with the increase of . At the same time, it is observed that the peak values of image force and change greatly for different temperature gradient values when , indicating that the influence of temperature gradient on image force is significant, but the image force changes little when . On the other hand, it is found that the peak value of image force and increases with the increase of temperature gradient.
Figure 2.
Variation of image force with under different temperature gradients.
Figure 3.
Variation of image force with under different temperature gradients.
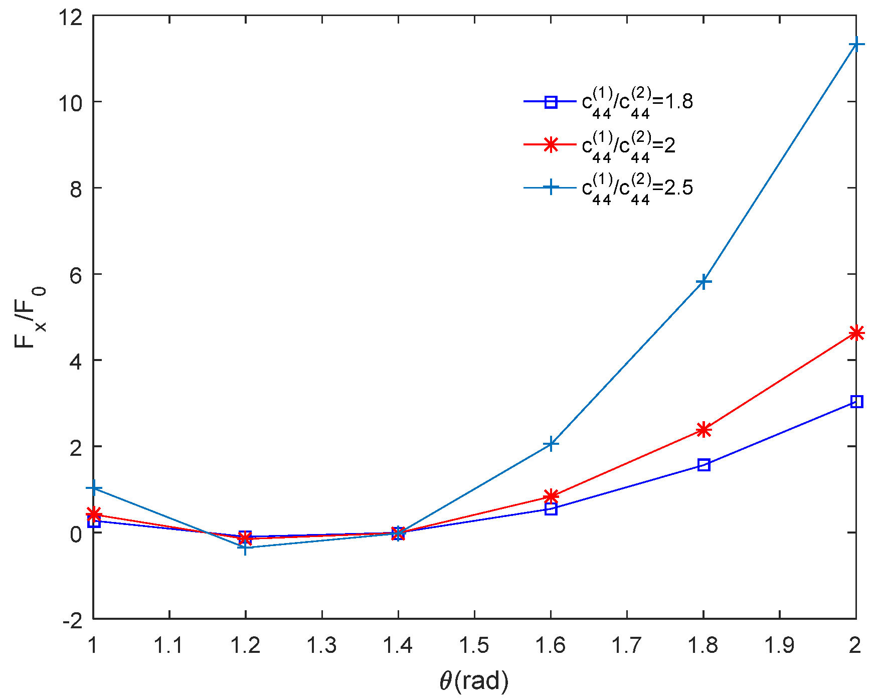
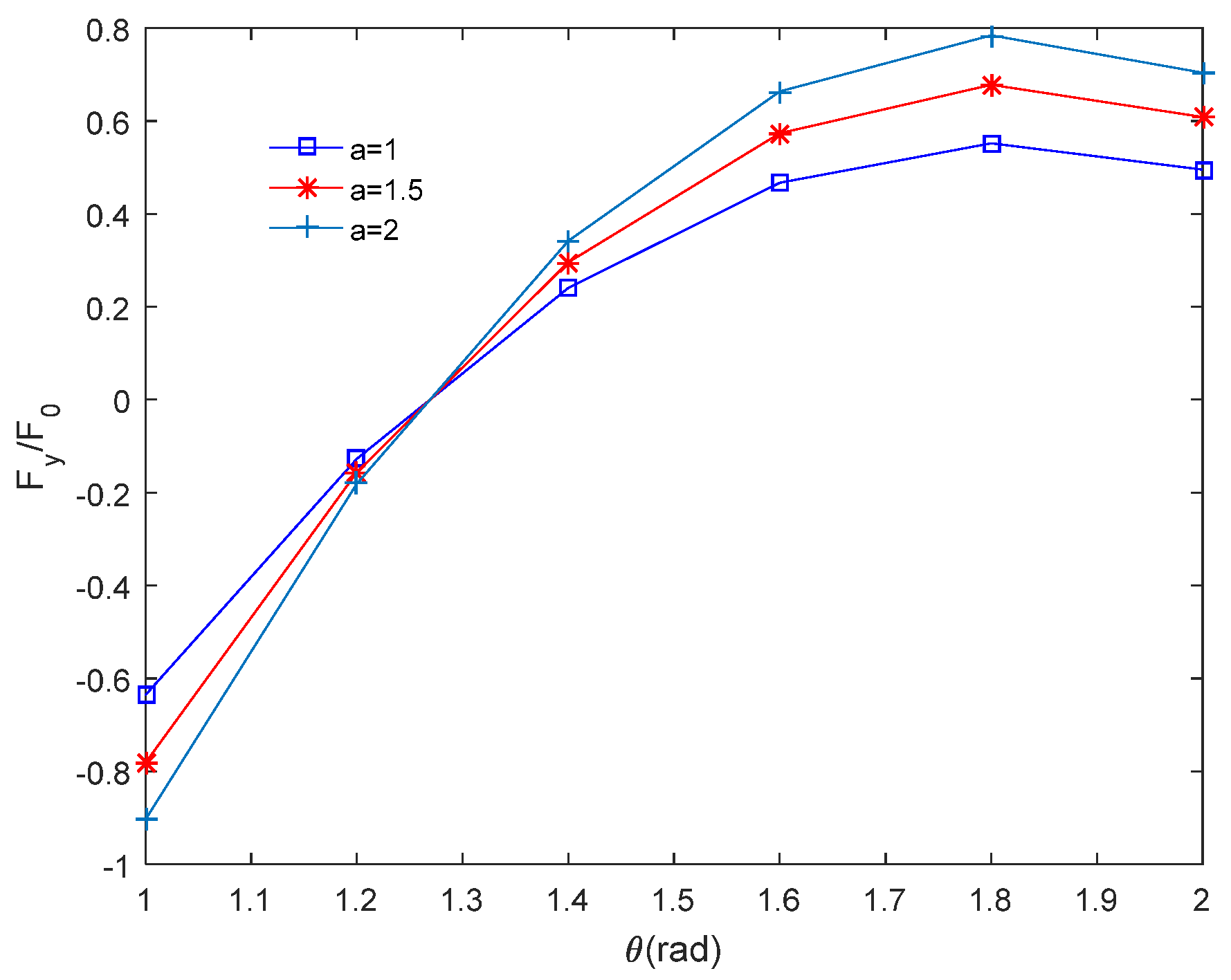
4.2. Effect of Material Elastic Modulus on Image Force
Figure 4 and Figure 5 shows the variation law of image force with angle under different elastic modulus ratio, and the other parameters are: , , , , . It can be seen from the figures that the influence of elastic modulus on image force is similar to that of temperature gradient, that is, image force first decreases and then increases with the increase of , while image force first increases and then decreases with the increase of , however, the peak value of the image force corresponding to the elastic modulus is much larger than that corresponding to the temperature gradient, indicating that the influence of the elastic modulus of the material on the image force is more significant than that of the temperature gradient.
Figure 4.
Variation of with under different elastic modulus ratios.
Figure 5.
Variation of with under different elastic modulus ratios.
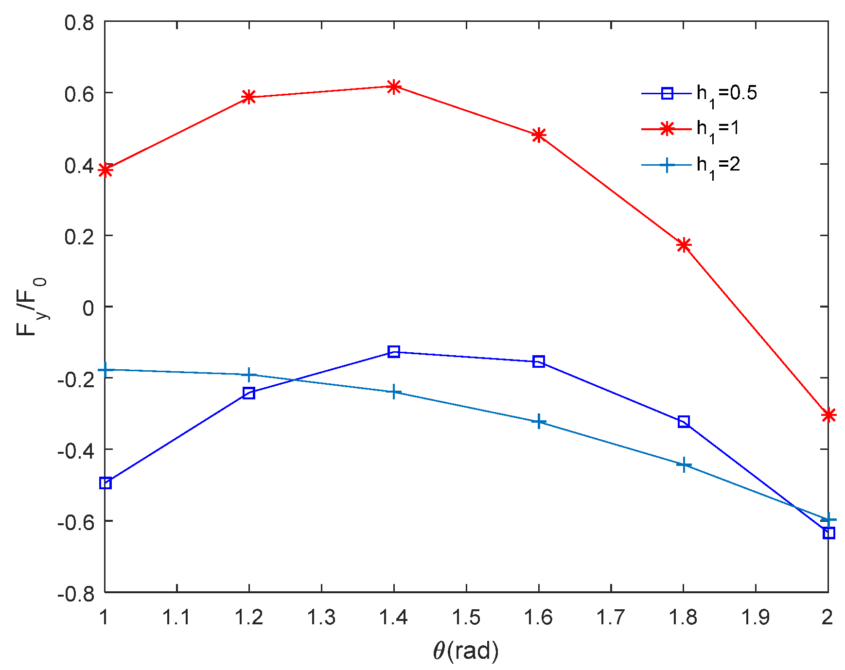
4.3. Effect of Coating Thickness on Image Force
Figure 6 and Figure 7 shows the variation law of image force with angle under different coating thickness, and the other parameters are: , , , , . It can be seen from the figures that image force increases with the increase of , and image force first increases and then decreases with the increase of , but for , image force decreases with the increase of . For the coating thickness , when different values are taken, the image forces and show great changes, indicating that the coating thickness also has a great influence on the dislocation. It is also found that the peak value of image force decreases when the coating thickness is large.
Figure 6.
Variation of with under different coating thickness.
Figure 7.
Variation of with under different coating thickness.
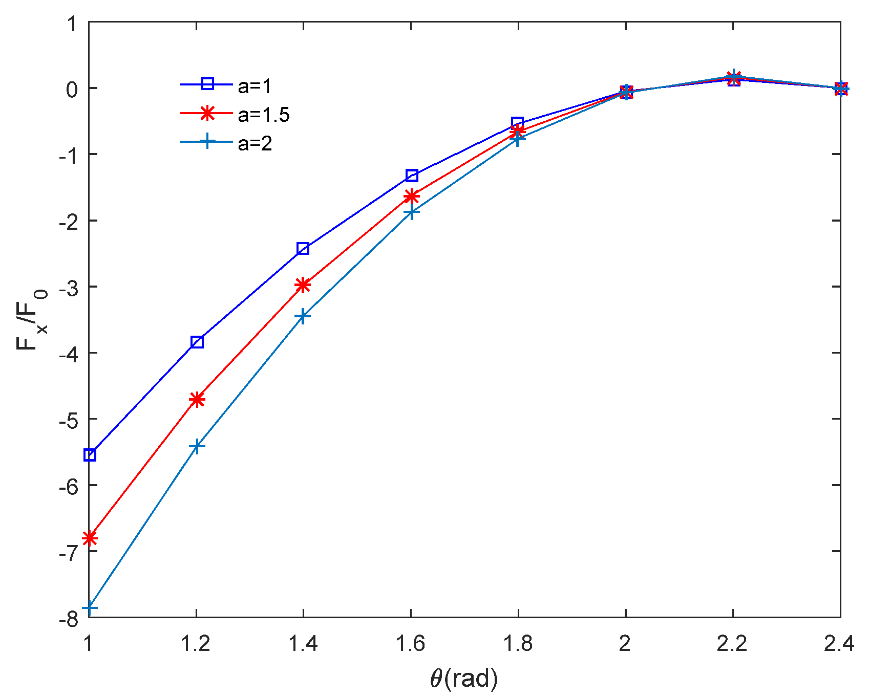
4.4. Effect of Crack Size on Image Force
Figure 8 and Figure 9 shows the variation law of image force with angle under the same crack length, and the other parameters are: , , , , . It can be seen from the figures that image force increases with the increase of and then tends to be stable, and image force first increases and then decreases with the increase of . At the same time, when , the crack length has little effect on the image force . Compared with other parameters, the effect of crack length on the image force is not so significant.
Figure 8.
Variation of with under different crack lengths.
Figure 9.
Variation of with under different crack lengths.
5. Discussion and Conclusions
In this paper, the interaction between screw dislocation and interfacial crack in fine-grained piezoelectric/substrate under steady-state thermal load is studied. The effects of material parameters, temperature gradient, coating thickness and crack size on image force are discussed through numerical examples. The results show that: (1) the image force increase with the increase of angle , when the growth rate of image force is obviously
accelerated, and the temperature gradient has a very significant effect on the
image force; (2) the peak value of image force corresponding to different
elastic modulus ratio is larger than that corresponding to temperature
gradient, indicating that influence of elastic modulus on image force is more
significant than that of temperature gradient; (3) both coating thickness and
crack size have an impact on the image force. The impact of crack size on the
image force will gradually decrease with the increase of angle . At the same time,
the image force peak corresponding to a smaller coating thickness is less.
Relatively speaking, a thicker coating helps to the stability of dislocations
and interface cracks.
Author Contributions
Conceptualization, S.H. and J.L.; methodology, S.H.; software, J.L.; validation, S.H. and J.L.; formal analysis, S.H.; investigation, J.L.; resources, S.H.; data curation, S.H.; writing—original draft preparation, J.L.; writing—review and editing, S.H.; visualization, J.L.; supervision, J.L.; project administration, J.L.; funding acquisition, J.L. All authors have read and agreed to the published version of the manuscript.
Funding
This study was funded by the National Natural Science Foundation of China (11972019).
Institutional Review Board Statement
Not applicable.
Informed Consent Statement
Not applicable.
Data Availability Statement
Not applicable.
Conflicts of Interest
The authors declare that there are no conflict of interest regarding the publication of this paper.
References
- Pak, Y.E. Crack extension force in a piezoelectric material. Int. J. Appl. Mech. 1990, 57, 647–653. [Google Scholar] [CrossRef]
- Pak, Y.E. Force on a Piezoelectric Screw Dislocation. Int. J. Appl. Mech. 1990, 57, 863–869. [Google Scholar] [CrossRef]
- Suo, Z.; Kuo, C.M.; Barnett, D.M. Fracture mechanics for piezoelectric ceramics. J. Mech. Phys. Solids 1990, 40, 739–765. [Google Scholar] [CrossRef]
- Park, S.; Sun, C.T. Fracture Criteria for Piezoelectric Ceramics. J. Am. Ceram. Soc. 1995, 78, 1475–1480. [Google Scholar] [CrossRef]
- Liang, J.; Han, J.; Du, S. Rigid line inclusions and cracks in anisotropic piezoelectric solids. Mech. Res. Commun. 1995, 22, 43–49. [Google Scholar] [CrossRef]
- Liu, J.X.; Lee, K.Y. Electroelastic behavior of arectangular piezoelectric ceramic with an anti-plane shear crack at arbitrary position. Eur. J. Mech. A-Solid. 2004, 23, 645–658. [Google Scholar] [CrossRef]
- Gao, C.F.; Fan, W.X. An exact solution of crack problems in piezoelectric materials. Appl. Math. Mech.-Engl. 1999, 20, 51–58. [Google Scholar] [CrossRef]
- Gao, C.F.; Fan, W.X. An interface inclusion between two dissimilar piezoelectric materials. Appl. Math. Mech.-Engl. 2001, 22, 96–104. [Google Scholar] [CrossRef]
- Xiao, W.S.; Wei, G. The Interaction between Piezoelectric Screw Dislocation and Circular Crack under Remote Uniform Heat Flux. J. Hunan Univ. 2006, 33, 97–101. [Google Scholar] [CrossRef]
- Ueda, S.; Okada, M.; Nakaue, Y. Transient thermal response of a functionally graded piezoelectric laminate with a crack normal to the bimaterial interface. J. Therm. Stresses 2017, 41, 98–118. [Google Scholar] [CrossRef]
- Jiang, L.J.; Liu, G.T. The interaction between a screw dislocation and a wedge-shaped crack in one-dimensional hexagonal piezoelectric quasicrystals. Chin. Phys. B 2017, 26, 245–251. [Google Scholar] [CrossRef]
- Lv, X.; Liu, G.T. Interaction between many parallel screw dislocations and a semi-infinite crack in a magnetoelectroelastic solid. Chin. Phys. B 2018, 27, 448–452. [Google Scholar] [CrossRef]
- Lee, K.Y.; Lee, W.G.; Pak, Y.E. Interaction Between a Semi-Infinite Crack and a Screw Dislocation in a Piezoelectric Material. J. Appl. Mech. 2000, 67, 165–170. [Google Scholar] [CrossRef]
- Gherrous, M.; Ferdjani, H. Analysis of a Griffith crack at the interface of two piezoelectric materials under anti-plane loading. Contin. Mech. Therm. 2016, 28, 1683–1704. [Google Scholar] [CrossRef]
- Bayat, J.; Ayatollahi, M.; Bagheri, R. Fracture analysis of an orthotropic strip with imperfect piezoelectric coating containing multiple defects. Theor. Appl. Fract. Mech. 2015, 77, 41–49. [Google Scholar] [CrossRef]
- Nourazar, M.; Ayatollahi, M. Analysis of an orthotropic strip containing multiple defects bonded between two piezoelectric layers. Acta Mech. 2016, 227, 1293–1306. [Google Scholar] [CrossRef]
- Viun, O.; Komarov, A.; Lapusta, Y. A polling direction influence on fracture parameters of a limited permeable interface crack in a piezoelectric bi-material. Eng. Fract. Mech. 2018, 191, 143–152. [Google Scholar] [CrossRef]
- Shen, M.H.; Hung, S.Y. Screw dislocation near a piezoelectric oblique edge crack. Meccanica 2016, 51, 1445–1456. [Google Scholar] [CrossRef]
- Mishra, R.; Burela, R.G.; Pathak, H. Crack interaction study in piezoelectric materials under thermo-electro-mechanical loading environment. Int. J. Mech. Mater. Des. 2019, 15, 379–412. [Google Scholar] [CrossRef]
- Xiao, C.J.; Li, Z.X.; Zhu, L.Y.; Zhang, H.T. Effect of grain size of BaTiO3 ceramics on thermal expansion and electrical properties. Int. J. Theor. Phys. 2014, 35, 346–351. [Google Scholar] [CrossRef]
- Shi, Y.; Pu, Y.P.; Cui, Y.F.; Luo, Y.J. Enhanced grain size effect on electrical characteristics of fine grained BaTiO3 ceramics. J. Mater. Sci.-Mater. Electron. 2017, 28, 13229–13235. [Google Scholar] [CrossRef]
- Martirena, H.T.; Burfoot, J.C. Grain-size effects on properties of some ferroelectric ceramics. J. Phys. C Solids Phys. 2001, 7, 3182–3192. [Google Scholar] [CrossRef] [Green Version]
- Bell, A.J.; Moulson, A.J. The Effect of Grain Size on the Dielectric Properties of Barium Titanate Ceramic. J. Am. Ceram. Soc. 1985, 62, 325–328. [Google Scholar]
- Lobo, R.P.S.M.; Mohallem, N.D.; Moreira, R.L. Grain size eff ect on diffuse phase transitions of sol-gel prepared barium titanate ceramics. J. Am. Ceram. Soc. 1995, 78, 1343–1346. [Google Scholar] [CrossRef]
- Hu, S.S.; Liu, J.S.; Li, J.L.; Xie, X.F. Interaction of Screw Dislocation with Edge Interfacial Crack on Fine-Grained Piezoelectric Coating/Substrate. Adv. Mater. Sci. Eng. 2019, 2019, 1–13. [Google Scholar] [CrossRef] [Green Version]
- Wang, X.; Shen, Y.P. A solution of the elliptical piezoelectric inclusion problem under uniform heat flux. Int. J. Solids Struct. 2001, 38, 2503–2516. [Google Scholar] [CrossRef]
- Muskhelishvili, N.L. Some Basic Problems of the Mathematical Theory of Elasticity; Noordhoff International Publishing: Gromngen, The Netherlands, 1975. [Google Scholar] [CrossRef]
Publisher’s Note: MDPI stays neutral with regard to jurisdictional claims in published maps and institutional affiliations. |
© 2021 by the authors. Licensee MDPI, Basel, Switzerland. This article is an open access article distributed under the terms and conditions of the Creative Commons Attribution (CC BY) license (https://creativecommons.org/licenses/by/4.0/).








