Abstract
Purpose: This study aimed to investigate the effects of online high-intensity interval training (HIIT) in abdominally obese women experiencing health complications due to COVID-19. Methods: Sixteen participants were enrolled and divided into the HIIT group (n = 8) and moderate-intensity continuous training (MICT, n = 8) group. The HIIT group underwent 20 min of exercise consisting of 20 s of high-intensity (85–90% HRmax) exercise followed by 30 s of exercise at 60% HRmax using only body weight. The main exercise program for the MICT group included 40 min of stationary bike pedaling at 65–70% HRmax. Exercise was performed three days a week for eight weeks using a smart device and application that enables bidirectional communication. Results: The HIIT group showed reduced body fat (p = 0.036), BMI (p = 0.021), and visceral fat (p = 0.003) compared to the MICT group. Further, the HIIT group also had reduced insulin (p = 0.021) and LDL levels (p = 0.024), increased grip strength (left p = 0.012, right: p = 0.002), and a substantial drop in total stress index (p = 0.004) compared to the MICT group. Conclusions: Thus, online HIIT is a useful means to reduce abdominal fat, improve blood lipid profile and muscle strength, and relieve stress caused by COVID-19.
1. Introduction
The outbreak of the coronavirus disease (COVID-19) the world over in 2020 has triggered unprecedented political, financial, and social crises and cultural transformations, and the prolonged pandemic, ironically, has accelerated the cutting-edge technology-based fourth industrial revolution [1,2]. Going beyond the scope of online communication and consumption, the realization of work, education, and travel in virtual spaces, such as augmented reality (AR) and metaverse, has made smart devices an indispensable part of people’s lives in modern society [3]. However, it has also resulted in musculoskeletal disorders and obesity in people leading sedentary lifestyles for prolonged periods of time [4,5]. Particularly, abdominal obesity among women has markedly increased in relation to childbirth, postural imbalance, and diminished physical activity [6,7] As of 2020 in South Korea, 40% of the adult population is obese, and the average daily sedentary time among women is 7.8 h, an increase from that before the COVID-19 pandemic [8]. According to recent studies, despite a diet plan and exercise, a sedentary lifestyle itself induces abdominal obesity because of pelvic imbalance and reduced core and gluteal muscle strength [9]. Further, a BMI of 30 kg/m2 or higher increases COVID-19-related mortality by causing reduced immune functions [10,11]. However, with professional manpower and administrative focus directed toward measures for disinfection amid the global crisis caused by COVID-19, the gravity of obesity and secondary metabolic disorders is currently underestimated, and measures for their prevention and treatment have been put on hold [4,12]. Abdominal obesity causes various metabolic diseases because of the large number of cytokines from fat cells. These cytokines cause inflammatory diseases, which have a positive correlation with abdominal obesity [13,14,15,16,17].
Therefore, despite the COVID-19 environment, efforts should be made to increase the amount of physical activity. In order to manage weight gained by the viral environment, the American College of Sports Medicine (ACSM) recommends 150 min of aerobic exercise per week [16]. In addition, it was said that high-intensity exercise for more than 75 min helps reduce fat, and non-face-to-face participation in exercise can be an alternative [18]. The HIIT effect is already known through previous studies [19,20,21]. However, there are very few cases of online HIIT in the COVID-19 situation.
High-intensity interval training (HIIT) involves a repetition of short, vigorous exercise followed by a short break to maximize energy consumption in a short period of time and is thus known as a time-efficient exercise for metabolizing fat [10]. It has gained popularity since it ranked second in the 2020 ACSM fitness trend [19]. Recently, studies have proposed that HIIT is more helpful in preventing cardiovascular diseases, rapidly improving glucose regulation in patients with diabetes mellitus [19,20], and effectively reducing abdominal fat and blood cytokines in postmenopausal women compared to moderate intensity continuous training (MICT) [13]. Additionally, Reljic et al. (2020) reported that HIIT is less boring than MICT, while relieving stress [21], increasing physical fitness, and improving vascular functions [10]. Despite the greater health benefits and time efficiency compared to MICT, beginners or obese individuals are reluctant to actively utilize HIIT due to the risk of joint damage or injury [22,23]. However, with professional guidance and feasible options that ensure safety and engagement, HIIT can be useful in promoting physical activity and preventing obesity in inactive, sedentary individuals.
A “new normal” has been established since the outbreak of COVID-19, whereby people have begun enjoying online challenges and sports in virtual reality using the Global Positioning System (GPS) and various smart device-based platforms [24]. However, research on the role of body mechanics, exercise physiology, and psychological effects of online exercise programs in obesity is scarce. Additionally, appropriate guidelines for high-intensity exercise are lacking, thus calling for detailed age-specific and disease-specific surveys. Further, the new environment we live in today has elevated the risk of obesity compared to the pre-COVID-19 era, but solutions remain elusive. Thus, this study aims to investigate the effects of real-time, non-face-to-face HIIT on body composition, abdominal obesity, muscle strength, blood lipid profile, and stress index in women with abdominal obesity.
2. Methods
2.1. Study Design
A randomized-by-block design was used. Following published instructions, subjects were divided into two groups using computer (MICT: group 1, HIIT: group 2; group 1 moderate intensity continuous training; group 2 high-intensity interval training) [25]. This study is a pilot study to verify the effectiveness of non-face-to-face HIIT and was conducted to analyze feasibility and sustainability according to the results.
2.2. Subject
Women under the age of 40 who work at company S in Gyeonggi Province, Korea, each with a body mass index (BMI) of 25 kg/m2 or higher and abdominal circumference of 85 cm or more, were recruited, and those who signed on the forms ensuring informed consent to participate in the study were enrolled. This study was approved by the institutional review board at Korea National Sports University (1263-202106-BR-011-02), and conformed to the recommendations of the Declaration of Helsinki. Table 1 shows the physical characteristics of the participants.
Table 1.
Subject characteristics.
2.3. Intervention
Over a total of 8 weeks, each of the groups followed different types of intervention using real-time video web program. Following the recommendations of the ACSM, the program involved bidirectional communication with instructor feedback on the accurate postures, precautions, and conditions [19]. Both programs were performed three times a week for eight weeks. The MICT group underwent a 50-min exercise and HIIT group underwent a 30-min exercise. The HIIT program comprised five minutes of warm up, 20 min of the main exercise, and five minutes of cool-down. The MICT program comprised five minutes of warm up, 40 min of the main exercise, and five minutes of cool-down. Exercise intensity for the HIIT group was gradually increased every two weeks depending on the participants’ fitness. The total calorie consumption was equal for both groups. Total calorie and exercise intensity was measured using Samsung Galaxy Smart Watch Active2. Subjects did not participate in other exercises that could affect the data, and dietary control was taken equally by both groups according to the prescription of a professional nutritionist. The nutritionist checked the subjects’ food diaries once every Sunday at 11 a.m.
- (1)
- HIIT
The HIIT program used in this study is a modified version of the protocol used by Gholizadeh (2018) and Karin (2020), which consisted of 20 s of high-intensity exercise at 85–90% of HRmax followed by 30 s of exercise at 60% of HRmax, with 2 sets of 12 reps [26,27]. The HIIT program consisted of movements using only the participant’s weight. Exercise intensity was measured based on HRmax using Samsung Galaxy Smart Watch Active2. The participants wore the smartwatch on their wrist and checked their heart rate during exercise.
- (2)
- MICT
The MICT program used in this study was a modified version of the protocol pro-posed by Karin (2020), and the participants pedaled on a stationary bike at 60–70% of HRmax for 40 min [27]. Exercise intensity was measured based on HRmax using Sam-sung Galaxy Smart Watch Active2, and the participants maintained an appropriate in-tensity by checking the smartwatch on their wrist during exercise.
The examiner frequently checked participants’ exercise intensity and monitored their condition on the screen and encouraged the participants during exercise. Both groups’ participants stopped for a break immediately upon feeling pain or physical dis-comfort during exercise. Table 2 shows both exercise programs.
Table 2.
High-intensity interval training and moderate intensity continuous training programs.
2.4. Study Measures and Methods
- (1)
- Body composition test
To measure body composition, the participants fasted for 2 h before the test. Height was measured using an automatic height scale (DS-103M, Dong Sahn Jenix Co., Seoul, Korea), and after removing all metal accessories on the body, weight (kg), body fat (kg), skeletal muscle mass (kg), BMI (kg/m2), visceral fat level, and percent body fat (%) were measured using a body composition analyzer (In-Body 770, Biospace Co., Seoul, Korea).
- (2)
- Abdominal obesity
To test for abdominal obesity, abdominal subcutaneous fat thickness and abdominal and hip circumference were measured. Subcutaneous fat thickness was measured using a skinfold caliper (Harpenden HSK-BI, Skinfold Caliper, British Indicators, UK). With the participant standing upright with both arms comfortably rested on the side, the examiner pulled the skin 3 cm lateral to the navel to measure the thickness (mm) of subcutaneous fat. Abdominal and hip circumference were measured twice using a tape ruler around the widest part around the navel and buttocks, and the average value was used.
- (3)
- Blood test
The participants fasted from 9 p.m. the day before until 10 a.m. on the day of the blood glucose and lipid test. At 10 a.m., 5 mL of blood sample was taken from the brachial vein. After 30 min of incubation at room temperature, the blood sample was centrifuged (3000 rpm, 10 min) to separate the serum layer and was immediately taken to Green Cross Laboratories, Inc. for insulin, Total Cholesterol (TC), Triglyceride (TG), low-density lipoprotein cholesterol (LDL), High-density lipoprotein cholesterol (HDL) analysis.
- (4)
- Muscle strength test
Muscle strength was measured using an isometric dynamometer (TKK-5401, Takei, Japan). The participants stood with their two feet shoulder-width apart with both arms naturally rested on the sides, held the digital dynamometer with four fingers (excluding the thumb) perpendicular to the handle, and squeezed it as hard as they could. Grip strength was measured twice for each hand, and the best record was used for analysis.
- (5)
- Stress Index test
Stress Index was measured using the Korean version of the Perceived Stress Scale (PSS) modified by Lee (2016) based on the original scale developed by Cohen (1988) [28,29]. This 10-item tool asks about perceived stress in the past months using a 5-point scale (0 = never, 1 = rarely, 2 = sometimes, 3 = frequently, 4 = very often). Negatively worded items 4, 5, 7, and 8 were reverse scored, and the total possible score is 40, where a higher score indicates more severe stress. The reliability (Cronbach’s α) of the PSS used in this study was 0.83, and it was processed using SPSS 22.0 software.
2.5. Data Processing
All study data were processed using the SPSS 22.0 software. The differences in body composition, abdominal fat, blood lipids, muscle strength, and stress between the HIIT and MICT groups were analyzed. Because the assumption of normality is not met due to the small sample size, nonparametric methods were used for all analyses. Differences in the average changes (post-exercise average—baseline average) between the two groups were analyzed using the Mann–Whitney U test, and changes over time in each group were comparatively analyzed using the Wilcoxon signed rank test. A comparison of the reference values between groups was performed by obtaining Cohen’s d values. Statistical values were presented as mean and standard deviation, and statistical significance was set at α < 0.05.
3. Results
3.1. Changes of Body Composition According to Exercise Intensity
After eight weeks of exercise, the HIIT and MICT groups showed significant differences in body fat mass, BMI, and visceral fat level (body fat mass: z = −2.102. p = 0.036, BMI: z = −2.312. p = 0.021, visceral fat level: z = −3.108, p = 0.003) (Table 3). Within the groups, the MICT group showed significant changes in body weight, body fat mass, percent body fat, BMI, and visceral fat level (body weight: z = −2.530. p = 0.011, body fat mass: z = −2.033. p = 0.042, percent body fat: z = −2.524. p = 0.012, BMI: z = −2.380. p = 0.017, visceral fat level: z = −2.333 p = 0.020), and the HIIT group showed significant changes in all measures except skeletal muscle mass (body weight: z = −2.524. p = 0.012, body fat mass: z = −2.521. p = 0.012, percent body fat: z = −2.524. p = 0.012, BMI: z = −2.524. p = 0.012, visceral fat level: z = −2.549. p = 0.011) (Table 3).
Table 3.
Responses on body composition for MICT and HIIT groups.
3.2. Changes of Abdominal Fat According to Exercise Intensity
The changes in abdominal fat after eight weeks of exercise were compared between the MICT and HIIT groups. There were significant differences in the abdominal fat thickness, abdominal circumference, and hip circumference (abdominal fat thickness: z = −2.004, p = 0.050, abdominal circumference: z = −2.223, p = 0.026, hip circumference: z = −2.111, p = 0.035) (Table 4). Within the groups, both groups showed significant changes in abdominal fat thickness, abdominal circumference, and hip circumference (MICT: abdominal fat thickness: z = −2.184, p = 0.029, abdominal circumference: z = −2.555, p = 0.011, hip circumference: z = −2.555, p = 0.011, HIIT: abdominal fat thickness: z = −2.527, p = 0.012, abdominal circumference: z = −2.536, p = 0.011, hip circumference: z = −2.552, p = 0.011) (Table 4, Figure 1).
Table 4.
Responses on abdominal obesity for MICT and HIIT groups.
Figure 1.
Effect on abdominal fat according to exercise intensity. HIIT: high-intensity interval training, MICT: moderate intensity continuous training, SFC: skin fold caliper, WC: waist circumference, HC: hip circumference. Bars represent mean ± SD (MICT: n = 8, HIIT: n = 8). * p < 0.05 from Pre to Post. # p < 0.05 change (post-pre) between groups.
3.3. Changes of Blood Glucose and Lipid Profile According to Exercise Intensity
The changes in blood glucose and lipid profile after eight weeks of exercise were compared between the MICT and HIIT group, and there were significant differences in insulin and LDL (Insulin: z = −2.310. p = 0.021, LDL: z = −2.260. p = 0.024) (Table 5). Within the groups, the MICT group showed significant changes in HDL (HDL: z = −2.398. p = 0.016), and the HIIT group showed significant changes in insulin, TC, TG, LDL, and HDL (Insulin: z = −2.521. p = 0.012, TC: z = −2.521. p = 0.012, TG: z = −2.521. p = 0.012, LDL: z = −2.524 p = 0.012, HDL: z = −2.524. p = 0.012) (Table 5, Figure 2).
Table 5.
Responses on blood sugar and blood lipid for MICT and HIIT groups.
Figure 2.
Effect on blood glucose and lipid profile according to exercise intensity. MICT: moderate-intensity continuous training, HIIT: high-intensity interval training, LDL: low-density lipoprotein. Bars represent mean ± SD (MICT: n = 8, HIIT: n = 8). * p < 0.05 from Pre to Post. # p < 0.05 change (post-pre) between groups.
3.4. Changes of Muscle Strength According to Exercise Intensity
The changes in grip strength after eight weeks of exercise were compared between the MICT and HIIT group, and there were significant differences in grip strength at the post-exercise assessment (left: z = −2.521. p = 0.012, right: z = −3.046. p = 0.002) (Table 6). Within the groups, the MICT group showed significant changes in the right grip strength (right: z = −2.527. p = 0.012), and the HIIT group significant changes in both right and left grip strength (left: z = −2.251. p = 0.012, right: z = −2.521. p = 0.012) (Table 6, Figure 3).
Table 6.
Responses on hand grip strength for MICT and HIIT groups.
Figure 3.
Effect on muscle strength according to exercise intensity. MICT: moderate-intensity continuous training, HIIT: high-intensity interval training. Bars represent mean ±SD (MICT: n = 8, HIIT: n = 8). * p < 0.05 from Pre to Post. # p < 0.05 change (post-pre) between groups. ## p < 0.01 change (post-pre) between groups.
3.5. Changes of Stress According to Exercise Intensity
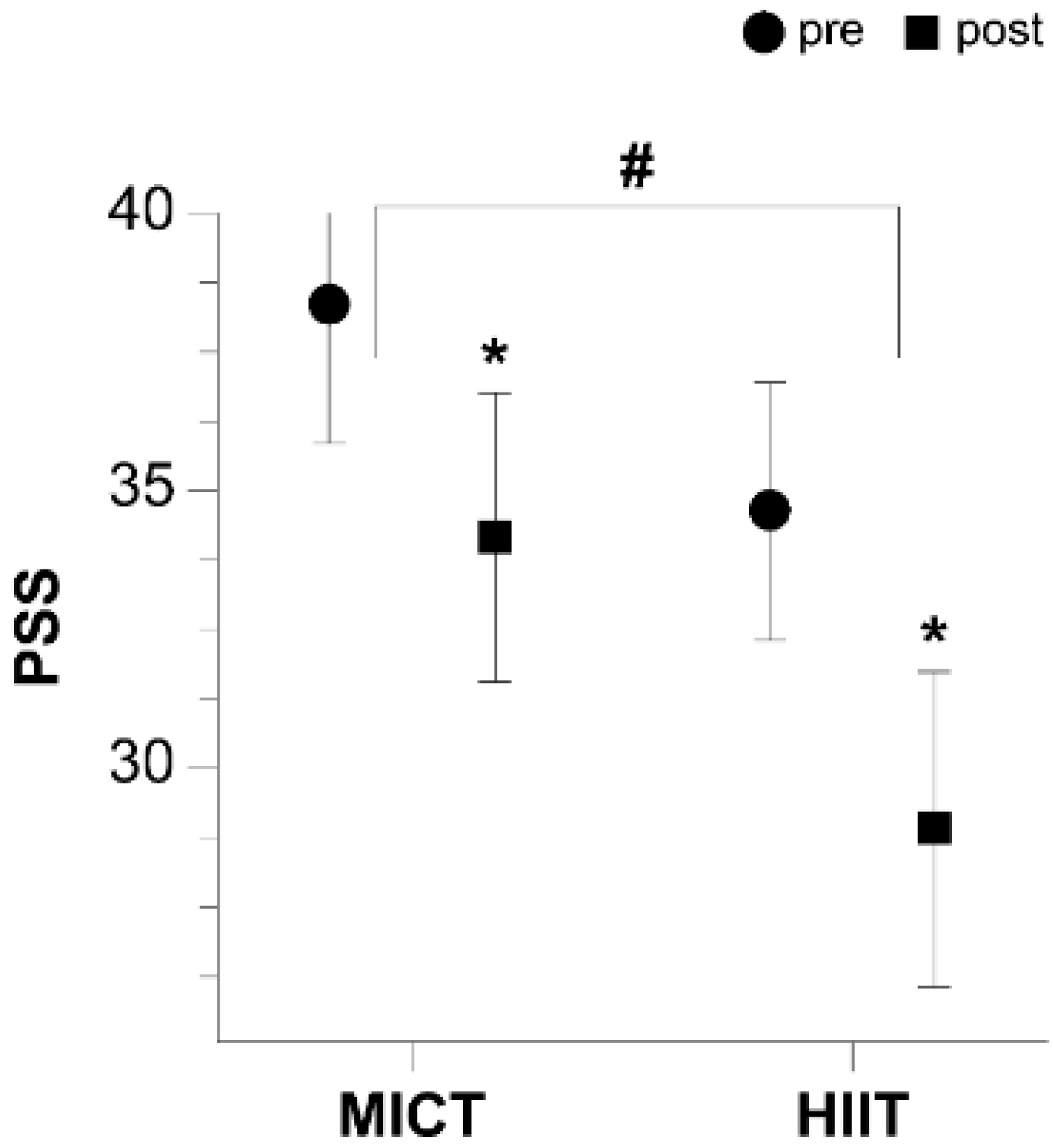
The changes of stress after eight weeks of exercise were compared between the MICT and HIIT groups, and there were significant differences in the stress index at the post-exercise assessment (z = −2.852. p = 0.004) (Table 7). Within the groups, there were significant changes in both groups (MICT: z = −2.271. p = 0.023, HIIT: z = −2.536. p = 0.011). (Table 7, Figure 4).
Table 7.
Perceived stress scale in MICT and HIIT groups.
Figure 4.
Effect on stress according to exercise intensity. MICT: moderate-intensity continuous training, HIIT: high-intensity interval training, PSS: Perceived Stress Scale. Bars represent mean ± SD (MICT: n = 8, HIIT: n = 8). * p < 0.05 from Pre to Post. # p < 0.05 change (post-pre) between groups. ## p < 0.01 change (post-pre) between groups.
4. Discussion
As the number of sedentary people has increased due to COVID-19, the problem of obesity in women has become serious. This study investigated the effects of online high-intensity interval training (HIIT) on women’s body composition, abdominal obesity, muscle strength, blood lipid profile, and stress, and confirmed that online HIIT for 8 weeks had greater physical and psychological effects compared to MICT participants.
4.1. Effects of Online HIIT on Body Composition and Abdominal Obesity
There were significant differences in body fat, BMI, and visceral fat levels between participants of the two groups. This is consistent with previous findings that show that high-intensity exercise at 90% HRmax more effectively reduces body fat mass and visceral fat mass, compared with moderate-intensity continuous cycling in obese men and women [26], additionally, HIIT is more effective on protein synthesis and lipid metabolism than MICT [28]. Borrega et al. (2021) reported that HIIT is a highly effective and time-efficient weight control strategy for busy people in modern society [30]. Moreover, a combined aerobic and anaerobic training program online was reported to unarguably alleviate metabolic disorders, including diabetes mellitus, and participation in HIIT for 75 min a week to maintain an appropriate BMI was reported to lower COVID-19-related mortality [31]. Within group, participants of both the HIIT and MICT groups showed reductions in body weight, body fat mass, percent body fat, BMI, and visceral fat level after exercising. This supports the recommendations of the ACSM and CDC that point to the fact that 150 min of moderate intensity exercise every week prevents obesity and diabetes mellitus [3], and regular exercise boosts immune functions against viruses [32].
There were significant differences in the changes in levels of abdominal fat between participants of the two groups, particularly in abdominal subcutaneous fat thickness, abdominal circumference, and hip circumference. This is in line with previous findings that show that HIIT reduces body fat mass and WHR in overweight and obese individuals and is substantially more effective in improving visceral fat compared to MICT [33,34,35]. Therefore, an online HIIT program would be effective in preventing abdominal obesity and improving cardiopulmonary and immune functions in sedentary women.
4.2. Effects of Online HIIT on Blood Glucose and Lipid Profile
There were significant differences in the changes of blood glucose and lipid levels between participants of the two groups, particularly in insulin and LDL levels. This is consistent with the findings that showed that combined resistance exercise and HIIT reduce fasting glucose and insulin more effectively compared to moderate-intensity training in older adults with chronic diseases [36]. Further, in terms of within-group changes, the HIIT group showed a reduction in insulin, TC, TG, and LDL, which is consistent with past reports that show that HIIT increases insulin sensitivity and improves diabetes-related lipid concentration [37]; it also supports study findings that show that HIIT suppresses inflammatory cytokine expression and prevents nonalcoholic fatty liver [17]. Both groups showed an increase in HDL after exercise, which is consistent with previous reports that showed that HIIT at 95% HRmax for five days a week markedly increased HDL concentration in mice [38] and both protocols helped increase HDL, although the effect may have varied. Thus, either protocol can be prescribed to encourage exercise in the COVID-19 era, though HIIT will be particularly effective in preventing both obesity and chronic disease. Exercise combined with resistance and HIIT in the elderly improved LDL-C, insulin, and HOMA-IR profiles compared to moderate-intensity exercise [39], and these findings are the same as in this study [39].
4.3. Effects of Online HIIT on Muscle Strength
In this study, there was a significant group-by-time interaction effect on grip strength. Such differences between groups are consistent with previous findings, which show that HIIT, including total body resistance exercise (TRX), increases grip strength in older adults [40] and substantially improves muscle strength and balance [41]. The findings also suggest that the resistance exercise included in the HIIT program is effective in increasing skeletal muscle mass and function, with high-intensity modes of exercise having a positive effect on the protein synthesis mechanism by regulating metabolic reactions in obese individuals [42]. This is in line with previous findings, which are that a 12-week HIIT program, including resistance training, improves cardiovascular indices, skeletal muscle strength, and grip strength in overweight adults [43]. García emphasized that physical activities and HIIT using one’s own body weight are helpful at-home methods of training for muscle enlargement in the COVID-19 era, and, particularly, this form of resistance exercise can be performed by untrained adults or trainers [42,43]. Therefore, resistance training must be included in HIIT programs; subsequent studies should establish and validate various muscle strengthening protocols for various groups of people.
4.4. Effects of Online HIIT on Stress
There was a significant group-by-time interaction effect on stress. This is consistent with past findings that HIIT was more effective than MICT in reducing anxiety, depression, and stress that had intensified during the pandemic, and presents evidence supporting HIIT as an effective strategy for coping with physical stress resulting from the social isolation caused by COVID-19 [43]. Both groups showed a reduction in the stress index after the exercise program. This is in line with past reports that show that regular exercise is a useful tool for reducing anxiety and suicide rates and improving self-esteem. Further, HIIT and MICT interventions at home can have positive effects on psychological health and processes of recovery [43,44], confirming that the non-face-to-face HIIT program used in this study is effective in promoting psychological stability in obese women. Taken together, participating in a smart device based HIIT program seems to have prevented abdominal obesity in women who spend a smaller amount of time outdoors compared to men [44]; additionally, a media platform that enables bidirectional communication seems to have increased participants’ motivation and bonding with others participating in the program and helped instill confidence in the fact that they can easily exercise at home and enjoy themselves. Karin reported that there are no cases of acute injuries reported among women who participated in HIIT and that participants can be engaged in the program by adjusting the exercises and rest intervals as they liked [45]. Thus, subsequent studies should further validate HIIT to expand the scope of its benefits and should continue to examine high-quality online exercise programs focused on specific groups of people, such as those with musculoskeletal disorders, geriatric diseases, and disabilities, such that HIIT can be utilized as a means to maintain public health in the post COVID-19 era. Although it is difficult to generalize the results due to the small number of samples in this study, it is a meaningful attempt to identify the effectiveness of alternative exercise in the COVID-19 environment. Therefore, further studies will require more subjects and various layer-specific effectiveness verification.
5. Conclusions
This study showed that eight weeks of online HIIT led to significant changes in body fat mass, BMI, and visceral fat level and markedly reduced abdominal subcutaneous fat thickness, abdominal circumference, and hip circumference compared to MICT. In the blood test, participants in the HIIT group showed reduced insulin and LDL levels and increased grip strength compared to those in the MICT group. Finally, participants in the HIIT group showed a marked reduction in the stress index, confirming that HIIT has greater psychological benefits than MICT. Therefore, HIIT using a smart device is a useful tool for improving abdominal obesity and blood lipid profiles, increasing muscle strength, and alleviating stress in sedentary women in the COVID-19 era. Future studies which consider age and disease as characteristics will be required.
Funding
This study did not receive any funding.
Institutional Review Board Statement
The study was conducted according to the guidelines of the Declaration of Helsinki, and approved by the Institutional Review Board (This study was approved by the institutional review board at Korea National Sports University (1263-202106-BR-011-02).
Informed Consent Statement
Informed consent was obtained from all subjects involved in the study.
Data Availability Statement
The datasets used and analyzed during the current study are available from the corresponding author on reasonable request.
Conflicts of Interest
The author declares no conflict of interest.
References
- Robinson, E.; Boyland, E.; Chisholm, A.; Harrold, J.; Maloney, N.G.; Marty, L.; Mead, B.R.; Noonan, R.; Hardman, C.A. Obesity, eating behavior and physical activity during COVID-19 lockdown: A study of UK adults. Appetite 2021, 156, 104853. [Google Scholar] [CrossRef]
- Williamson, E.J.; Walker, A.J.; Bhaskaran, K.; Bacon, S.; Bates, C.; Morton, C.E.; Curtis, H.J.; Mehrkar, A.; Evans, D.; Inglesby, P.; et al. Factors associated with COVID-19-related death using OpenSAFELY. Nature 2020, 584, 430–436. [Google Scholar] [CrossRef] [PubMed]
- Ghram, A.; Briki, W.; Mansoor, H.; Al-Mohannadi, A.S.; Lavie, C.J.; Chamari, K. Home-based exercise can be beneficial for counteracting sedentary behavior and physical inactivity during the COVID-19 pandemic in older adults. Postgrad. Med. 2021, 133, 469–480. [Google Scholar] [CrossRef] [PubMed]
- Halpern, B.; Louzada, M.L.D.C.; Aschner, P.; Gerchman, F.; Brajkovich, I.; Faria-Neto, J.R.; Polanco, F.E.; Montero, J.; Juliá, S.M.M.; Lotufo, P.A.; et al. Obesity and COVID-19 in Latin America: A tragedy of two pandemics—Official document of the Latin American Federation of Obesity Societies. Obes. Rev. 2021, 22, 13165. [Google Scholar] [CrossRef]
- Lockhart, S.M.; O’Rahilly, S. When Two Pandemics Meet: Why Is Obesity Associated with Increased COVID-19 Mortality? Med 2020, 1, 33–42. [Google Scholar] [CrossRef]
- Barranco-Ruiz, Y.; Villa-González, E. Health-Related Physical Fitness Benefits in Sedentary Women Employees after an Exercise Intervention with Zumba Fitness®. Int. J. Environ. Res. Public Health 2020, 17, 2632. [Google Scholar] [CrossRef] [PubMed]
- Delfino, L.D.; Tebar, W.; Gil Tebar, F.C.S.; De Souza, J.M.; Romanzini, M.; Fernandes, R.A.; Christofaro, D.G.D. Association between sedentary behavior, obesity and hypertension in public school teachers. Ind. Health 2020, 58, 345–353. [Google Scholar] [CrossRef]
- National Health Insurance Service. Korea National Health Insurance Announces. 2020. Available online: https://www.nhis.or.kr/static/html/wbd/g/a/wbdga0601.html (accessed on 1 September 2020).
- Ayala, A.M.C.; Salmon, J.; Dunstan, D.W.; Arundell, L.; Timperio, A. Does light-intensity physical activity moderate the relationship between sitting time and adiposity markers in adolescents? J. Sport Health Sci. 2020. [Google Scholar] [CrossRef]
- Reljic, D.; Frenk, F.; Herrmann, H.J.; Neurath, M.F.; Zopf, Y. Effects of very low volume high intensity versus moderate intensity interval training in obese metabolic syndrome patients: A randomized controlled study. Sci. Rep. 2021, 11, 2836. [Google Scholar] [CrossRef] [PubMed]
- Mauvais-Jarvis, F. Aging, Male Sex, Obesity, and Metabolic Inflammation Create the Perfect Storm for COVID-19. Diabetes 2020, 69, 1857–1863. [Google Scholar] [CrossRef]
- Jesus, I.; Vanhee, V.; Deramaudt, T.B.; Bonay, M. Promising effects of exercise on the cardiovascular, metabolic and immune system during COVID-19 period. J. Hum. Hypertens. 2021, 35, 1–3. [Google Scholar] [CrossRef] [PubMed]
- Nunes, P.R.; Martins, F.M.; Souza, A.P.; Carneiro, M.; Orsatti, C.; Michelin, M.A.; Murta, E.F.; de Oliveira, E.; Orsatti, F. Effect of high-intensity interval training on body composition and inflammatory markers in obese postmenopausal women: A randomized controlled trial. Menopause 2019, 26, 256–264. [Google Scholar] [CrossRef]
- World Health Organization. COVID-19 Public Health Emergency of International Concern (PHEIC) Global Research and Innovation Forum: Towards a Research Roadmap. 2020. Available online: https://covid19-evidence.paho.org/handle/20.500.12663/714 (accessed on 1 December 2021).
- Hyun, A.-H.; Cho, J.-Y. Effects of 12-weeks pilates mat exercise on body composition, delivery confidence, and neck disability index in pregnant women. Sports Sci. 2019, 36, 43–55. [Google Scholar] [CrossRef]
- Oh, S.; So, R.; Shida, T.; Matsuo, T.; Kim, B.; Akiyama, K.; Isobe, T.; Okamoto, Y.; Tanaka, K.; Shoda, J. High-Intensity Aerobic Exercise Improves Both Hepatic Fat Content and Stiffness in Sedentary Obese Men with Nonalcoholic Fatty Liver Disease. Sci. Rep. 2017, 7, 43029. [Google Scholar] [CrossRef]
- Zhang, Q.X.; Gao, F.Q.; Wang, Y.T.; Li, Z.R.; Koji, O.; Sun, W. Relationship between body weight and spinopelvic alignment in Chinese adult people: A preliminary study. Eur. PMC 2020, 9, 149027. [Google Scholar] [CrossRef]
- Wang, M.; Baker, J.S.; Quan, W.; Shen, S.; Fekete, G.; Gu, Y. A Preventive Role of Exercise Across the Coronavirus 2 (SARS-CoV-2) Pandemic. Front. Physiol. 2020, 11, 572718. [Google Scholar] [CrossRef]
- Thompson, W.R. Worldwide survey of fitness trends for 2020. ACSM’s Health Fit. J. 2019, 36, 10–18. [Google Scholar] [CrossRef]
- Franklin, B.A.; Thompson, P.D.; Al-Zaiti, S.S.; Albert, C.M.; Hivert, M.-F.; Levine, B.D.; Lobelo, F.; Madan, K.; Sharrief, A.Z.; Eijsvogels, T.M.; et al. Exercise-Related Acute Cardiovascular Events and Potential Deleterious Adaptations Following Long-Term Exercise Training: Placing the Risks into Perspective–An Update: A Scientific Statement from the American Heart Association. Circulation 2020, 141, e705–e736. [Google Scholar] [CrossRef] [PubMed]
- Reljic, D.; Frenk, F.; Herrmann, H.J.; Neurath, M.F.; Zopf, Y. Low-volume high-intensity interval training improves cardiometabolic health, work ability and well-being in severely obese individuals: A randomized-controlled trial sub-study. J. Transl. Med. 2020, 18, 419. [Google Scholar] [CrossRef]
- Leal, J.M.; Galliano, L.M.; Del Vecchio, F.B. Effectiveness of High-Intensity Interval Training Versus Moderate-Intensity Continuous Training in Hypertensive Patients: A Systematic Review and Meta-Analysis. Curr. Hypertens. Rep. 2020, 22, 26. [Google Scholar] [CrossRef]
- Way, K.L.; Sabag, A.; Sultana, R.N.; Baker, M.K.; Keating, S.E.; Lanting, S.; Gerofi, J.; Chuter, V.H.; Caterson, I.D.; Twigg, S.M.; et al. The effect of low-volume high-intensity interval training on cardiovascular health outcomes in type 2 diabetes: A randomised controlled trial. Int. J. Cardiol. 2020, 320, 148–154. [Google Scholar] [CrossRef] [PubMed]
- Miroshnikov, A.B.; Smolensky, A.V.; Formenov, A.D. High-Intensity Interval Aerobic Work for Strength Athletes with Arterial Hypertension: A Randomized Controlled Trial. Hum. Physiol. 2021, 47, 33–41. [Google Scholar] [CrossRef]
- Saghaei, M. An overview of randomization and minimization programs for randomized clinical trials. J. Med. Signals Sens. 2011, 1, 55–61. [Google Scholar] [CrossRef]
- Gholizadeh, M.; BabazaKordideh, M.; Akbarnejad, A. Comparison of Two High-Intensity Interval Training (HIIT) For Two Weeks on Fat Oxidation, Body Fat Percentage and VO2max in Overweight Young Males. J. Educ. Community Health 2017, 3, 47–53. [Google Scholar] [CrossRef][Green Version]
- Hortmann, K.; Boutouyrie, P.; Locatelli, J.C.; de Oliveira, G.H.; Simões, C.F.; Mendes, V.H.D.S.; Reck, H.B.; Okawa, R.T.; Lopes, W.A. Acute effects of high-intensity interval training and moderate-intensity continuous training on arterial stiffness in young obese women. Eur. J. Prev. Cardiol. 2020, 28, e7–e10. [Google Scholar] [CrossRef]
- Lee, J.; Shin, C.; Ko, Y.H.; Lim, J.; Joe, S.H.; Kim, S.; Han, C. The reliability and validity studies of the Korean version of the Perceived Stress Scale. Korean J. Psychosom. Med. 2017, 20, 127–134. [Google Scholar]
- Cohen, J. Statistical Power Analysis for the Behavioral Sciences, 2nd ed.; Routledge Academic: New York, NY, USA, 1988. [Google Scholar]
- Borrega-Mouquinho, Y.; Sánchez-Gómez, J.; Fuentes-García, J.P.; Collado-Mateo, D.; Villafaina, S. Effects of High-Intensity Interval Training and Moderate-Intensity Training on Stress, Depression, Anxiety, and Resilience in Healthy Adults During Coronavirus Disease 2019 Confinement: A Randomized Controlled Trial. Front. Psychol. 2021, 12, 643069. [Google Scholar] [CrossRef]
- McDaniel, B.B.; Naquin, M.R.; Sirikul, B.; Kraemer, R.R. Five Weeks of Aquatic-Calisthenic High Intensity Interval Training Improves Cardiorespiratory Fitness and Body Composition in Sedentary Young Adults. J. Sports Sci. Med. 2020, 19, 187–194. [Google Scholar]
- Chen, P.; Mao, L.; Nassis, G.P.; Harmer, P.; Ainsworth, B.E.; Li, F. Coronavirus disease (COVID-19): The need to maintain regular physical activity while taking precautions. J. Sport Health Sci. 2020, 9, 103–104. [Google Scholar] [CrossRef]
- Centers for Disease Control and Prevention. Physical Activity Recommendations for Different Age Groups. 2021. Available online: https://www.cdc.gov/physicalactivity/basics/age-chart.html (accessed on 1 December 2021).
- Blüher, S.; Käpplinger, J.; Herget, S.; Reichardt, S.; Böttcher, Y.; Grimm, A.; Kratzsch, J.; Petroff, D. Cardiometabolic risk markers, adipocyte fatty acid binding protein (aFABP) and the impact of high-intensity interval training (HIIT) in obese adolescents. Metabolism 2017, 68, 77–87. [Google Scholar] [CrossRef]
- Motiani, K.K.; Savolainen, A.M.; Toivanen, J.; Eskelinen, J.-J.; Yli-Karjanmaa, M.; Virtanen, K.A.; Saunavaara, V.; Heiskanen, M.; Parkkola, R.; Haaparanta-Solin, M.; et al. Effects of short-term sprint interval and moderate-intensity continuous training on liver fat content, lipoprotein profile, and substrate uptake: A randomized trial. J. Appl. Physiol. 2019, 126, 1756–1768. [Google Scholar] [CrossRef] [PubMed]
- Roy, M.; Williams, S.M.; Brown, R.C.; Meredith-Jones, K.A.; Osborne, H.; Jospe, M.; Taylor, R.W. High-Intensity Interval Training in the Real World: Outcomes from a 12-Month Intervention in Overweight Adults. Med. Sci. Sports Exerc. 2018, 50, 1818–1826. [Google Scholar] [CrossRef]
- Maillard, F.; Pereira, B.; Boisseau, N. Effect of High-Intensity Interval Training on Total, Abdominal and Visceral Fat Mass: A Meta-Analysis. Sports Med. 2018, 48, 269–288. [Google Scholar] [CrossRef] [PubMed]
- Da Silva, M.A.R.; Baptista, L.C.; Neves, R.; De França, E.; Loureiro, H.; Lira, F.S.; Caperuto, E.C.; Veríssimo, M.T.; Martins, R.A. The Effects of Concurrent Training Combining Both Resistance Exercise and High-Intensity Interval Training or Moderate-Intensity Continuous Training on Metabolic Syndrome. Front. Physiol. 2020, 11, 572. [Google Scholar] [CrossRef] [PubMed]
- Yang, J.; Hu, J.; Zhu, C. Obesity aggravates COVID-19: A systematic review and meta-analysis. J. Med. Virol. 2021, 93, 257–261. [Google Scholar] [CrossRef]
- Rahmati-Ahmadabad, S.; Shirvani, H.; Ghanbari-Niaki, A.; Rostamkhani, F. The effects of high-intensity interval training on reverse cholesterol transport elements: A way of cardiovascular protection against atherosclerosis. Life Sci. 2018, 209, 377–382. [Google Scholar] [CrossRef]
- Wood, G.; Murrell, A.; Van Der Touw, T.; Smart, N. HIIT is not superior to MICT in altering blood lipids: A systematic review and meta-analysis. BMJ Open Sport Exerc. Med. 2019, 5, e000647. [Google Scholar] [CrossRef]
- García-Pinillos, F.; Laredo-Aguilera, J.A.; Muñoz, M.; Latorre-Román, P.A. Effects of 12-Week Concurrent High-Intensity Interval Strength and Endurance Training Program on Physical Performance in Healthy Older People. J. Strength Cond. Res. 2019, 33, 1445–1452. [Google Scholar] [CrossRef]
- Werneck, A.O.; Collings, P.J.; Barboza, L.L.; Stubbs, B.; Silva, D. Associations of sedentary behaviors and physical activity with social isolation in 100,839 school students: The Brazilian Scholar Health Survey. Gen. Hosp. Psychiatry 2019, 59, 7–13. [Google Scholar] [CrossRef]
- Ramírez-Vélez, R.; Castro-Astudillo, K.; Correa-Bautista, J.E.; González-Ruíz, K.; Izquierdo, M.; García-Hermoso, A.; Álvarez, C.; Ramírez-Campillo, R.; Correa-Rodríguez, M. The Effect of 12 Weeks of Different Exercise Training Modalities or Nutritional Guidance on Cardiometabolic Risk Factors, Vascular Parameters, and Physical Fitness in Overweight Adults: Cardiometabolic High-Intensity Interval Training-Resistance Training Randomized Controlled Study. J. Strength Cond. Res. 2020, 34, 2178–2188. [Google Scholar] [CrossRef]
- Schwendinger, F.; Pocecco, E. Counteracting Physical Inactivity during the COVID-19 Pandemic: Evidence-Based Recommendations for Home-Based Exercise. Int. J. Environ. Res. Public Health 2020, 17, 3909. [Google Scholar] [CrossRef] [PubMed]
Publisher’s Note: MDPI stays neutral with regard to jurisdictional claims in published maps and institutional affiliations. |
© 2021 by the author. Licensee MDPI, Basel, Switzerland. This article is an open access article distributed under the terms and conditions of the Creative Commons Attribution (CC BY) license (https://creativecommons.org/licenses/by/4.0/).



