Abstract
In recent years, the use of waste materials from agricultural sources has attracted interest as a research field. Several kinds of waste particles have been studied as additives for asphalt modification, and good results in terms of rheological and physical properties have been discussed in recent literature. In the present work, two types of seed shell particles were evaluated as asphalt modifiers. The shells of Jatropha curcas and pistachio are considered waste materials with no further industrial applications; therefore, in this study, they were incorporated into asphalt at different concentrations in order to evaluate their effect on the binder’s properties. Modified asphalt mixtures were prepared through the hot mix method, and the physical, rheological, and thermal properties of the modified samples were measured and compared to those of the unmodified binder. According to the results of softening point, viscosity, and rheological characterization, the particles obtained from Jatropha curcas and pistachio shells can be used as efficient additives for asphalt modification. Pistachio shell particles act as an asphalt modifier, while Jatropha curcas behaves more like a filler agent since using it at high concentrations causes an inverse effect on the modified performance and properties of the asphalt. Finally, the results obtained showed that both shell particles were useful for improving the binder’s resistance to rutting and permanent deformations, compared to the pure asphalt’s original behavior.
1. Introduction
Agricultural wastes have been recently studied for asphalt modification; for instance, one of the most evaluated materials for this application is rice husk. Nanometric rice husk particles were found to be easily incorporated into the asphalt, producing environmentally friendly and sustainable binders that showed better performance when exposed to moisture, as well as improved fatigue and rutting resistance [1].
Table 1 presents some waste materials that have been evaluated as asphalt modifier in several ways.The main findings show that rice husk is one of the most studied waste materials among the agricultural sources, along withsome shells. The seed shells selected in this work, however, have not been studied before.
Table 1.
Different types of waste material used in asphalt modification.
Pistachio is one of the top three most preferred nuts [22] and is primarily produced in the United States, Iran, and Turkey, where nearly 1.24 million tons are annually obtained. Considering that the shell/pistachio ratio usually ranges 50–70%, a significant amount of pistachio shell arises after consuming the nut, and since they do not have any commercial use, most of the shells are finally disposed to landfills or burned [23]. On the other hand, Jatropha curcas has been recognized as an inexpensive, sustainable, and promising energy crop [24] that has been extensively studied as a source for biodiesel production. Jatropha oil has been investigated as a rejuvenator additive for increasing the life and performance of asphalt pavements [25]; nevertheless, references regarding the direct use of the biomass obtained from either pistachio shells or Jatropha curcas for asphalt modification are few.
Based on previous information, this work reports the modification of hot mix asphalt, using as modifiers pistachio and Jatropha cruces shells. The main physical properties, such as ring and ball, phase separation, dynamic viscosity, and rheology, are evaluated. Furthermore, the dispersion of modifier particles by means of fluorescent microscopy are reported.
2. Materials and Methods
2.1. Materials and Methods
Materials
Jatropha curcas seed shells and pistachio shells were used in this study. The shells were cleaned to remove undesired particles; they were subsequently pulverized using a domestic blender, and then sieved using a no. 25 mesh to obtain fine shell particles of uniform size (0.707 mm). Finally, the particles were dried at 60 °C for 24 h. The base asphalt binder used in this study was donated by Ergon Asfaltos México, Altamira, with the following SARA composition: saturates 2.26%, aromatics 64.42%, resins 18.95%, and asphaltenes 13.35%.
2.2. Preparation of Asphalt Binder
Modified asphalt blends were prepared using a heating device equipped with temperature control and an IKA WERKE RW16 basic mechanical stirrer. The temperature (180 °C) and mixing speed were kept constant. The following samples were prepared and identified: base asphalt (AB), modified asphalt with 2%, 4%, 6%, and 8 wt.% of Jatropha curcas seed shell (J2, J4, J6, and J8, respectively), and modified asphalt containing 2%, 4%, 6%, and 8 wt.% of pistachio shell (P2, P4, P6, and P8, respectively).
2.3. Asphalt Binders Characterization
Dynamic viscosity was measured on a Fungilab EVO Expert viscosimeter according with ASTM 4401-02 using 10.5 g samples and a TR9 geometry. The measurements were performed at 135, 160, and 190 °C, establishing 30 min as thermal equilibrium time, the shear rate used was 68 s−1 developing a torque resistance between 50% and 98%, the shear rate was maintained for a period of 5 min to establish the steady state. The softening point of the asphalt was determined according to the specifications of the ASTM D36/D36M-14e1 method. The phase separation or storage stability test was carried out based on theASTM D5892-00/M-MMP-4-05-022/02 methods to identify the compatibility between the asphalt and the modifier particles since this is one of the main indicators revealing the efficiency of the asphalt modification process. This test consisted of pouring asphalt into a collapsible aluminum tube heated at 163 °C for 48 h. After the heating period, the sample was placedin a freezer at 0 °C for at least 4 h. The sample tube was then divided into three sections, discarding the intermediate portion, and the softening points of the top and bottom sections were measured. If the difference between the softening points of both sections wasless than 2.5 °C, then the sample wasconsidered to show good storage stability [26].
Fluorescence microscopy was used to evaluate how the modifier particles are dispersed into the asphalt matrix. This analysis was carried out using a Carl Zeiss Axiotech microscope, using a 20× magnification. The technique is based on the fluorescence phenomenon, which largely depends on the concentration of modifier in the asphalt, and it is a good method that allows the identification of the dispersion pattern of modifier particles in asphalt matrix; the absence of fluorescence reveals a homogenous dispersion attributed to a compatibility between modifier and asphalt matrix [27,28].
The rheological behavior of the asphalt blends was measured on an Anton Paar dynamic shear rheometer (DSR) MCR 301 model. Temperature sweeps on oscillatory mode were applied at a fixed deformation of 12% and a frequency of 10 rad/s, from 52 to 82 °C, at intervals of 6 °C. The behavior of the ratio of the complex modulus to the phase angle sine (|G*|/sin δ) as a function of temperature was monitored since this parameter has been related to a traffic speed of about 100 km/h.
The thermal stability of the asphalt samples was investigated through thermogravimetric analysis, which is useful for revealing any possible intermolecular interactions between the asphalt fractions and the modifier components. For this purpose, a TA Instruments equipment, model SDT Q600, was used, with samples of 15 mg and a heating rate of 10 °C/min at temperatures ranging from room temperature to 700 °C.
3. Results and Discussion
3.1. Physical Properties
Table 2 shows the physical properties of the asphalt binder modified with Jatropha and pistachio shells. The softening point of all modified samples increased compared with that of the base asphalt; therefore, all modified asphalt blends are less susceptible to exhibit permanent deformations. The improvement in softening point makes the asphalt binder stiffer, which causes its straight-against mechanical damage to improve, and decreases susceptibility to permanent deformation [10,17]. This behavior is an indicator of the improved performance of the modified binder relative to the pure asphalt.
Table 2.
Softening point, phase separation, and rotational viscosity results of pure asphalt and the Jatropha- and pistachio-modified asphalt mix.
This behavior is similar to that reported previously when powder of waste crayfish shells is added to asphalt, increasing the softening point to 20% [21].
One of the basic rheological properties of asphalt binder is its viscosity, which can be regarded as a demonstrator of fluid resistance against shear. Another positive effect of the modification was detected as an increment of the rotational viscosity of the modified samples in the temperature range between 135 and 190 °C for modified asphalts compared with pure asphalt. The asphalt blends modified with Jatropha seed shells registered the maximum rotational viscosity at a concentration of 6 wt.%. Interestingly, the viscosity of the samples containing 2% and 8% of Jatropha shells was quite similar, which may be explained by the fatty acid content of the modifier that produces a softer asphalt at high concentrations of Jatropha; this behavior suggests the existence of a limit concentration of Jatropha particles for obtaining the optimum viscosity.
If the viscosity of the modified asphalt binder is too high, it causes the asphalt mixture to be too hard to compact during pavement construction; forming an eligible pavement surface would be difficult, leading to increased mixing and computation temperature, and higher construction costs. Mixtures with higher viscosity value would be harder to lay down and compact on the road [7].
The maximum viscosity of the asphalt mixtures modified with pistachio shells was observed for the 4 wt.% sample at 135 °C. The effect of varying the modifier content on the viscosity is less pronounced at 160 and 190 °C, which may reflect that the components of pistachio shells are not able to interact with the larger molecules of the asphalt.
The softening points measured in the phase separation test show that the greatest difference between the top and bottom sections of the collapsible tube corresponds to the asphalt blend containing 8 wt.% Jatropha shell. The other values are lower than 2.5 °C, which reveals that both modifiers are efficient for avoiding phase separation. This behavior is a consequence of physical interactions established during the mixing process between the shell particles and the asphaltic matrix; a low difference, such as those observed in Table 1, evidences the presence of strong interactions between the modifier and the asphalt that avoid the separation between the asphalt components at the storage stability test conditions. The samples having the maximum difference in the phase separation tests of both Jatropha- and pistachio-modified asphalt correspond to the concentration of 8 wt.% of each modifier. This observation is consistent because, at high modifier concentrations, the particles are no longer uniformly spread throughout the asphaltic matrix. On the contrary, the minimum phase separation was shown by the 2 wt.% pistachio shell sample, which registered exactly the same softening point for the top and bottom sections of the test tube, indicating significant affinity between the modifier and the asphalt binder. The high lignin content of the pistachio shells [29] could be responsible for promoting this affinity due to the interactions between the aromatic rings present in the lignin’s chemical structure and the heavy asphaltic fractions.
3.2. Fluorescence Microscopy
Figure 1 shows micrographs of modified asphalt blends prepared with Jatropha curcas seed shell. The 2 and 4 wt.% micrographs, observed in Figure 1a,b, exhibit less fluorescent effect, which is a direct consequence of the homogeneous dispersion of the modifier into the asphalt. This result confirms what was previously discussed in the phase separation test, where compatibility between the asphalt and the Jatropha seed shells was observed at the same concentrations. Nevertheless, as the proportion of Jatropha increases in the tested samples, the modifier particles tend to coalesce and form aggregates that are not well dispersed in the asphaltic matrix, as observed in Figure 1c,d; this fact is also responsible for the greater phase separation of the samples containing 6 and 8 wt.% of Jatropha, compared with the results of the 2% and 4% samples. The elevated lignin content of Jatropha seeds [30], which is compatible with the polar compounds of the asphalt, may explain the good dispersion of the modifier particles. The compatibility between asphalt and modifier allow the integral transport of malting and highly polar fractions from the asphaltente-rich phase, causing a phase inversion thatcan be spotted in the fluorescent background of the micrographs [31].
Figure 1.
Fluorescence microscopy of asphalt binder with Jatropha curcas shell particles:(a) J2, (b) J4, (c) J6, and (d) J8.
Figure 2 shows the fluorescence micrographs of the asphalt blends modified by pistachio shells. The sample containing 2 wt.% pistachio shells is depicted in Figure 2a, which is the most homogeneous sample. The 4 wt.% sample is also homogeneous, as shown in Figure 2b. The effect discussed in Figure 1 for Jatropha-modified asphalt is also valid in Figure 2 for pistachio shell as a modifier; the more concentrated the modifier in the asphaltic preparation, the more agglomerated the particles become; however, the aggregation of pistachio shell particles is less pronounced than that of Jatropha seed shells, as noticed by comparing Figure 1c,d with Figure 2c,d. These results are also consistent with the previous observation that the phase separation is more evident in the asphalt samples modified by Jatropha than those modified by pistachio shells. Given that the lignin content is proportionally lower in pistachio shells than in Jatropha seed shells, an excess of lignin in the modified asphalt could be related to greater phase separation.
Figure 2.
Fluorescence microscopy images of asphalt mix with pistachio shell particles: (a) P2, (b) P4, (c) P6, and (d) P8.
3.3. Rheology
The evolution of |G*|/sin δ as a function of the temperature of the asphalt blends containing Jatropha particles is shown in Figure 3. The complex modulus |G*| is related to the rigidity of the asphalt samples, and the |G*|/sin δ parameter is associated with the binder’s rutting or permanent deformation resistance. The failure temperatures of the asphalt blends modified by Jatropha seed shells are 79.6 °C (J2), 75.3 °C (J4), 75.9 °C (J6), and 75.1 °C (J8), while the failure temperature of the unmodified asphalt is 74.3 °C. The failure temperature, also known as TSHRP, is the temperature where |G*|/sin δ = 1 kPa. All the modified asphalt curves in Figure 3 are located above the reference asphalt curve, which implies that adding Jatropha seed shells as an asphalt modifier improves its rheological properties [6]. Furthermore, Figure 3 also evidences that the asphalt sample modified by 2 wt.% Jatropha particles has significantly improved its rheological behavior relative to the pure asphalt throughout the complete domain of examined temperatures. However, the behavior of the rheological parameter plotted in Figure 3 approaches that of the base asphalt when the proportion of Jatropha modifier grows in the asphalt blends, which suggests that the shell components act as the lighter fraction of the asphalt when they are present in significant proportions. Additionally, the saturation of the highly concentrated samples may prevent the interactions between the lignin and the polar groups of the asphalt; therefore, the 2 wt.% content appears to be the critical point where the |G*|/sin δ parameter reaches its maximum value.
Figure 3.
Isochronal plots of |G*|/sin δ vs. temperature of asphalt binder modified by Jatropha curcas seed shell particles.
Figure 4 shows the parameter |G*|/sin δ as a function of the temperature of the asphalt modified by pistachio shells. The failure temperatures of the pistachio-modified asphalt blends are 75.5 °C (P2), 80.9 °C (P4), 74.9 °C (P6), and 80.4 °C (P8), which are also higher than the corresponding failure temperature of the unmodified asphalt, and reveal that pistachio shell particles enhance the mechanical resistance of the asphalt binder. The highest values of |G*|/sin δ in this experiment correspond to a concentration of 4 wt.% of the modifier, which has already been attributed to the interaction between the lignin of the shells and the polar groups of the asphalt binder. The P4 failure temperature (Figure 4) is close to that of J2 (Figure 3), which is coherent with the fact that the lignin in pistachio shells is not as abundant as it is in Jatropha seed shells; therefore, a relatively greater amount of pistachio modifier produces almost the same rheological response as a lower concentration of Jatropha particles. The sample modified with 6 wt.% of pistachio shells presents a rheological behavior similar to that of the base asphalt, but a concentration of 8 wt.% increases the |G*|/sin δ values to a level close to that of the P4 sample. This behavior may be a consequence of the pistachio shell’s stiffness, which results in forming strong modifier aggregates, like those revealed by the fluorescence microscopy analysis (Figure 2d), whichact not only as a filler but also as a reinforcement agent of the modified binder.
Figure 4.
Isochronal plots of |G*|/sin δ vs. temperature of asphalt modified by pistachio seed shell particles.
The improvement in rutting resistance within high temperatures when particles modifiers were added can be attributed to its reinforcing factor, which enhanced the bond strength between asphalt binder particles due to its high surface area [1].
The tan δ measurement expresses the ratio of the viscous to the elastic modulus and is useful for detecting the physical changes experienced within a temperature range. Figure 5 shows the isochronal curves of tan δ for the samples of asphalt modified with Jatropha particles. These curves were constructed at the same angular frequency as the experiments presented in Figure 3 and Figure 4. The elastic response of the Jatropha-modified samples is better than that of the unmodified asphalt since all the curves lie below the reference asphalt curve. The increasing tendency of tan δ, particularly at high temperatures, reflects that the elastic behavior of the asphalt decreases as the temperature increases, which implies that the phase angle δ takes values closer to 90°. The mechanical implication of this fact is that the asphalt is suffering a transition from a solid like behavior to a predominantly Newtonian-viscous nature. Figure 5 shows that the lowest tan δ values correspond to the J2 sample; although the J2 curve increases at every point with the other curves; its slope is the least steep and increases smoothly even in the high-temperature region, where the tan δ of the other samples, especially that of the unmodified asphalt, steps up abruptly. As a result, the best elastic response before flowing at high temperatures corresponds to the 2 wt.% Jatropha-modified asphalt, while the J4, J6, and J8 samples would be more prone to suffer mechanical failures such as rutting, cracking, or fractures due to thermal changes.
Figure 5.
Isochronal plots of tan δ vs. temperature at 10 rad/s of asphalt modified by Jatropha curcas seed shell particles.
The phase angle is very sensitive to the physical and chemical structure of modified asphalt binders. Figure 6 shows the isochronal curves of tan δ of the modified asphalt blends with pistachio shells at an angular frequency of 10 rad/s. The addition of pistachio particles improves the elastic response of the asphaltic binder since all of the modified asphalt curves are lower than the base binder. However, the comparison between Figure 5 and Figure 6 suggests that the elastic effect at high temperatures that arises from the incorporation of pistachio particles is not as good as its corresponding analog containing Jatropha particles for a fixed modifier concentration. However, the behavior of P4 and P8 samples (Figure 6) is comparable to that of J2 (Figure 5), which indicates that a content of 4% or 8% pistachio shell particles produces the best elastic behavior before flowing at high temperatures; contrarily, the P6 sample would be more susceptible to suffer the most common asphaltic failures.
Figure 6.
Isochronal plots of tan δ vs. temperature at 10 rad/s of asphalt modified by pistachio seed shell particles.
3.4. Thermal Properties
Figure 7 shows the Thermogravimetric Analysis (TGA) thermograms for asphalt, Jatropha curcas particles, and Jatropha-modified asphalts. The Jatropha shows two main steps of decomposition, first around 290 °C and the second at 335 °C; these correspond to cellulosic materials and lignin compounds, respectively [32]. The asphalt blends modified by Jatropha shell presented one weight loss step in the temperature range from 250 °C to 500 °C, with a residue represented near 20 wt.%. The thermal degradation of resins, aromatics, and some asphaltenes has previously been reported in the same temperature interval [4]. The thermograms of modified asphalt blends with Jatropha seed shells are shown in Figure 7. The incorporation of modifiers to the binder reduces its thermal decomposition susceptibility, as especially shown by the J4 sample. The asphalt blends modified with 2, 6, and 8 wt.% behave similarly so that the concentration of 4 wt.% Jatropha particles is the critical value for achieving better thermal stability. The shift to high temperatures observed in the J4 thermogram could be a consequence of the interactions between the polar compounds of the Jatropha seed shells and the polar fractions of the asphalt, which establish forces that prevent the thermal rupture of bonds at relatively lower temperatures. Similar results were reported by Nciri et al. 2020 [33], who reported that more than 6% of waste pig fat improved the thermal stability, which was attributed to the high unsaturated fatty acid content that made the asphalt binder more susceptible to an insignificant thermal decomposition.
Figure 7.
TGA thermograms of asphalt, Jatropha curcas, and modified asphalt mix with Jatropha curcas seed shells.
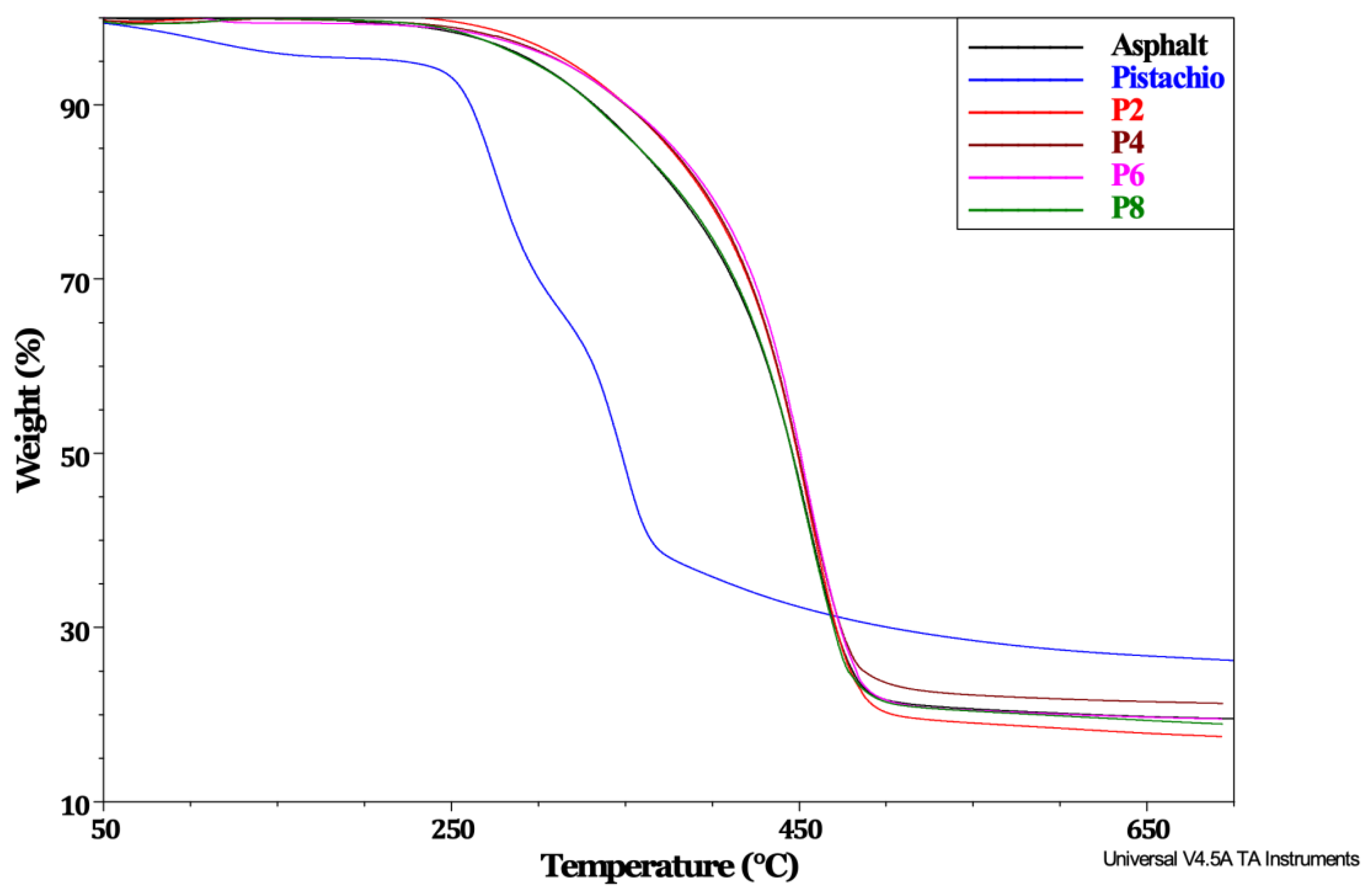
The thermograms of pistachio-modified asphalt blends with pistachio shells are presented in Figure 8. Pistachio and Jatropha show twomain decomposition steps: the first around 270 °C and second around 350 °C; however, the first is more significant compared with Jatropha and at a lower temperature; those steps are attributed to hemicellulose and cellulose decomposition for the first and lignin for the second [34].The P2, P4, and P6 samples behave quite similarly and exhibit less susceptibility to suffering from thermal decomposition than the unmodified binder. On the other hand, the P8-sample thermogram overlaps that of the pure asphalt, which indicates that at elevated concentrations of pistachio shell particles, the modifier provides excessive amounts of light components that cause the adverse effect on thermal susceptibility of the modified asphalt blend. However, as previously discussed, this effect was not observed in the Jatropha-modified asphalt samples due to the more predominant lignin presence in Jatropha compared with pistachio shells. Since lignin is a biopolymer of elevated molecular weight and high degradation temperature [5], the thermal stability of Jatropha-modified asphalts is improved more significantly than their corresponding samples modified by pistachio shells. However, the thermograms in Figure 8 still exhibit that pistachio shell particles reduce the degradation susceptibility of the asphalt binder by a maximum concentration of 6 wt.%.
Figure 8.
TGA thermograms of asphalt, pistachio shells and modified asphalt mix with pistachio seed shells.
4. Conclusions
According to the results of this study, we demonstrated that waste shells of pistachio and Jatropha curcas shells can be used as efficient additives for asphalt modification. The results show that pistachio particles can act as a modifier. Jatropha curcas particles act more like a filler when there is a high content of particles; it has aninverse effect of a modifier. The microscopy results show that the modifier particles are better dispersed in the asphalt matrix when their concentration is 2 or 4 wt.% because at higher concentrations some modifier agglomerates were detected.
The rheological analysis revealed that all of the shell-modified formulations presented higher failure temperatures than the pure asphalt, which is an indicator of better resistance to rutting, cracking, and permanent deformation, because the modified asphalt blends were tested at conditions that simulate a traffic speed of 100 km/h. The thermal analysis was useful for proving that the pistachio shells acted as a thermal stabilizer when they were introduced to the asphalt up to a concentration of 6 wt.%, which increased the degradation temperature of the modified asphalt blends in comparison with that of the base asphalt. On the other hand, when Jatropha particles were used as a modifier, better thermal behavior was observed for the sample containing 4 wt.% of the modifier. The overall interpretation of the results suggests that the presence of lignin and other polar compounds in the shells is responsible for inducing the physical, rheological, and thermal improvements registered by the modified asphalt binder.
Author Contributions
Conceptualization, A.V.-M., B.A.S.-C., and J.L.R.-A.; methodology, A.V.-M., J.L.R.-A., and B.A.S.-C.; software, M.Y.C.-C. and C.E.R.-G.; validation, A.V.-M., C.E.R.-G., and B.A.S.-C.; formal analysis, A.V.-M. and J.L.R.-A.; investigation, A.V.-M., B.A.S.-C., and J.L.R.-A.; resources, B.A.S.-C., C.E.R.-G., and M.Y.C.-C.; data curation, A.V.-M., B.A.S.-C., and J.L.R.-A.; writing—original draft preparation, A.V.-M., B.A.S.-C., and J.L.R.-A.; writing—review and editing, C.E.R.-G., J.L.R.-A., and B.A.S.-C.; visualization, A.V.-M.; supervision, J.L.R.-A. and B.A.S.-C.; project administration, C.E.R.-G., M.Y.C.-C., and J.L.R.-A.; funding acquisition, J.L.R.-A., B.A.S.-C., and M.Y.C.-C. All authors have read and agreed to the published version of the manuscript.
Funding
This research was funded by Tecnológico Nacional de México with project code 7698.20-P.
Acknowledgments
The authors wish to thank Dynasol Elastomers technical support for microscopy characterization and Ergon Asfaltos México, Altamira, for providing the asphalts.
Conflicts of Interest
The authors declare no conflict of interest.
References
- Fareed, A.; Zaidi, S.B.A.; Ahmad, N.; Hafeez, I.; Ali, A.; Ahmad, M.F. Use of agricultural waste ashes in asphalt binder and mixture: A sustainable solution to waste management. Constr. Build. Mater. 2020, 259, 120575. [Google Scholar] [CrossRef]
- Caro, S.; Vega, N.; Husserl, J.; Alvarez, A.E. Studying the impact of biomodifiers produced from agroindustrial wastes on asphalt binders. Constr. Build. Mater. 2016, 126, 369–380. [Google Scholar] [CrossRef]
- Hossain, Z.; Rashid, F.; Mahmud, I.; Rahaman, M.Z. Morphological and nanomechanical characterization of industrial and agricultural waste—Modified asphalt binders. Int. J. Geomech. 2017, 17, 04016084. [Google Scholar] [CrossRef]
- Han, Z.; Sha, A.; Tong, Z.; Liu, Z.; Gao, J.; Zou, X.; Yuan, D. Study on the optimum rice husk ash content added in asphalt binder and its modification with bio-oil. Const. Build. Mater. 2017, 147, 776–789. [Google Scholar] [CrossRef]
- Mistry, R.; Karmakar, S.; Kumar Roy, T. Experimental evaluation of rice husk ash and fly ash as alternative fillers in hot-mix asphalt. Road Mater. Pave. Desig. 2019, 20, 979–990. [Google Scholar] [CrossRef]
- Arabani, M.; Tahami, S.A. Assessment of mechanical properties of rice husk ash modified asphalt mixture. Constr. Build. Mater. 2017, 149, 350–358. [Google Scholar] [CrossRef]
- Ameli, A.; Babagoli, R.; Norouzi, N.; Jalali, F.; Mamaghani, F.P. Laboratory evaluation of the effect of coal waste ash (CWA) and rice husk ash (RHA) on performance of asphalt mastics and Stone matrix asphalt (SMA) mixture. Constr. Build. Mater. 2020, 236, 117557. [Google Scholar] [CrossRef]
- Jeffry, S.N.A.; Jaya, R.P.; Manap, N.; Miron, N.A.; Hassan, N.A. The influence of coconut shell as coarse aggregates in asphalt mixture. In Key Engineering Materials; Trans Tech Publications Ltd.: Zurich, Switzerland, 2016; Volume 700, pp. 227–237. [Google Scholar]
- Al-Mansob, R.A.; Ismail, A.; Algorafi, M.A.; Hafezi, M.H.; Baghini, M.S. Comparison between mixtures of asphalt with Palm Oil Shells and coconut Shells as additives. J. Kejuruter. 2013, 25, 25–31. [Google Scholar] [CrossRef]
- Jeffry, S.N.A.; Jaya, R.P.; Hassan, N.A.; Yaacob, H.; Mirza, J.; Drahman, S.H. Effects of nanocharcoal coconut-shell ash on the physical and rheological properties of bitumen. Constr. Build. Mater. 2018, 158, 1–10. [Google Scholar] [CrossRef]
- Maharaj, R.; Ali, R.; Ramlochan, D.; Mohamed, N. Utilization of coir fibre as an asphalt modifier. Prog. Rubber Plast. Recycl. Tech. 2019, 35, 59–74. [Google Scholar] [CrossRef]
- Yacoob, H.; Jaya, R.P.; Madzaili, A.H.; Hassan, N.A.; Hainin, M.R.; Nazri, F.M. Stability properties of asphalt mixture incorporating coconut shell. J. Fund. Appl. Sci. 2017, 9, 16–24. [Google Scholar] [CrossRef][Green Version]
- Ting, T.L.; Jaya, R.P.; Hassan, N.A.; Yaacob, H. Resilient modulus of double layer porous asphalt: Application of alkali treated coconut shell and fiber as aggregate replacement. Malays. J. Civ. Eng. 2017, 29, 187–194. [Google Scholar]
- Nejres, A.M.; Mustafa, Y.F.; Aldewachi, H.S. Evaluation of natural asphalt properties treated with egg shell waste and low density polyethylene. Int. J. Pavement Eng. 2020, 2020, 1–7. [Google Scholar] [CrossRef]
- Razzaq, A.K.; Yousif, R.A.; Tay, S.A. Characterization of hot mix asphalt modified by egg shell powder. Int. J. Eng. Res. Tech. 2018, 11, 481–492. [Google Scholar]
- Zofka, A.; Yut, I. Investigation of rheology and aging properties of asphalt binder modified with waste coffee grounds. Transp. Resear. E-Circ. 2012, 2012, 61–72. [Google Scholar]
- Arabani, M.; Esmaaeli, N. Laboratory evaluation on effect of groundnut shell ash on performance parameters of asphalt binder and mixes. Road Mater. Pave. Desig. 2020, 21, 1565–1587. [Google Scholar] [CrossRef]
- Nciri, N.; Shin, T.; Lee, H.; Cho, N. Potential of waste oyster shells as a novel biofiller for hot-mix asphalt. Appl. Sci. 2018, 8, 415. [Google Scholar] [CrossRef]
- Kuo, W.T.; Wang, H.Y.; Shu, C.Y.; Su, D.S. Engineering properties of controlled low-strength materials containing waste oyster shells. Constr. Build. Mater. 2013, 46, 128–133. [Google Scholar] [CrossRef]
- Nwaobakata, C.; Eluozo, S.N. Predicting the performance rate of calm shell ash application in asphalt for flexible pavement. World 2015, 1, 1–8. [Google Scholar]
- Lv, S.; Xia, C.; Yang, Q.; Guo, S.; You, L.; Guo, Y.; Zheng, J. Improvements on the high-temperature stability, rheology, and stiffness performance of asphalt binder modified with waste crayfish shell powder. J. Clean. Prod. 2020, 264, 121745. [Google Scholar] [CrossRef]
- Açıkalın, K.; Karaca, F.; Bolat, E. Pyrolysis of pistachio shell: Effects of pyrolysis conditions and analysis of products. Fuel 2012, 95, 169–177. [Google Scholar] [CrossRef]
- Tekin, İ.L.K.E.R.; Dirikolu, İ.; Gökçe, H.S. A regional supplementary cementitious material for the cement industry: Pistachio shell ash. J. Clean. Prod. 2020, 2020, 124810. [Google Scholar] [CrossRef]
- Ewunie, G.A.; Morken, J.; Lekang, O.I.; Yigezu, Z.D. Factors affecting the potential of Jatropha curcas for sustainable biodiesel production: A critical review. Renew. Sust. Energy Rev. 2020, 137, 110500. [Google Scholar] [CrossRef]
- Zhang, R.; You, Z.; Wang, H.; Ye, M.; Yap, Y.K.; Si, C. The impact of bio-oil as rejuvenator for aged asphalt binder. Constr. Build. Mater. 2019, 196, 134–143. [Google Scholar] [CrossRef]
- Fu, H.; Xie, L.; Dou, D.; Li, L. Storage stability and compatibility of asphalt binder modified by SBS graft copolymer. Constr. Build. Mater. 2007, 21, 1528–1533. [Google Scholar] [CrossRef]
- Newman, J.K. Dynamic shear rheological properties of polymer-modified asphalt binders. J. Elastomers Plast. 1998, 30, 245–263. [Google Scholar] [CrossRef]
- Zhang, F.; Hu, C.; Zhang, Y. The research for SIS compound modified asphalt. Mater. Chem. Phys. 2018, 205, 44–54. [Google Scholar] [CrossRef]
- Alsaadi, M.; Erklig, A.; Albu-khaleefah, K. Effect of Pistachio Shell Particle Content on the Mechanical Properties of Polymer Composite. Arabic J. Sci. Eng. 2018, 43, 4689–4696. [Google Scholar] [CrossRef]
- Wever, D.Z.; Heeres, H.J.; Broekhuis, A. Characterization of Physic nut (Jatropha curcas L.) shells. Biomass Bioenergy 2012, 37, 177–187. [Google Scholar] [CrossRef]
- Sengoz, B.; Isikyakar, G. Analysis of styrene–butadiene–styrene polymer modified bitumen using fluorescent microscopy and conventional test methods. J. Hazard. Mater. 2008, 150, 424–432. [Google Scholar] [CrossRef]
- Scicharoenchaikul, V.; Atong, D. Thermal decomposition study on Jatropha curcas L. waste using TGA and fixed bed reactor. J. Anal. Appl. Pyrolysis 2009, 85, 155–162. [Google Scholar] [CrossRef]
- Nciri, N.; Shin, T.; Kim, N.; Caron, A.; Ben Ismail, H.; Cho, N. Towards the Use of Waste Pig Fat as a Novel Potential Bio-Based Rejuvenator for Recycled Asphalt Pavement. Materials 2020, 13, 1002. [Google Scholar] [CrossRef] [PubMed]
- Açıkalın, K. Pyrolytic characteristics and kinetics of pistachio shell by thermogravimetric analysis. J. Therm. Anal. Calorim. 2012, 109, 227–235. [Google Scholar] [CrossRef]
Publisher’s Note: MDPI stays neutral with regard to jurisdictional claims in published maps and institutional affiliations. |
© 2021 by the authors. Licensee MDPI, Basel, Switzerland. This article is an open access article distributed under the terms and conditions of the Creative Commons Attribution (CC BY) license (http://creativecommons.org/licenses/by/4.0/).







