Variational Mode Decomposition Based Time-Varying Force Identification of Stay Cables
Abstract
Featured Application
Abstract
1. Introduction
2. Variational Mode Decomposition Analysis
3. Stay Cable Experiments
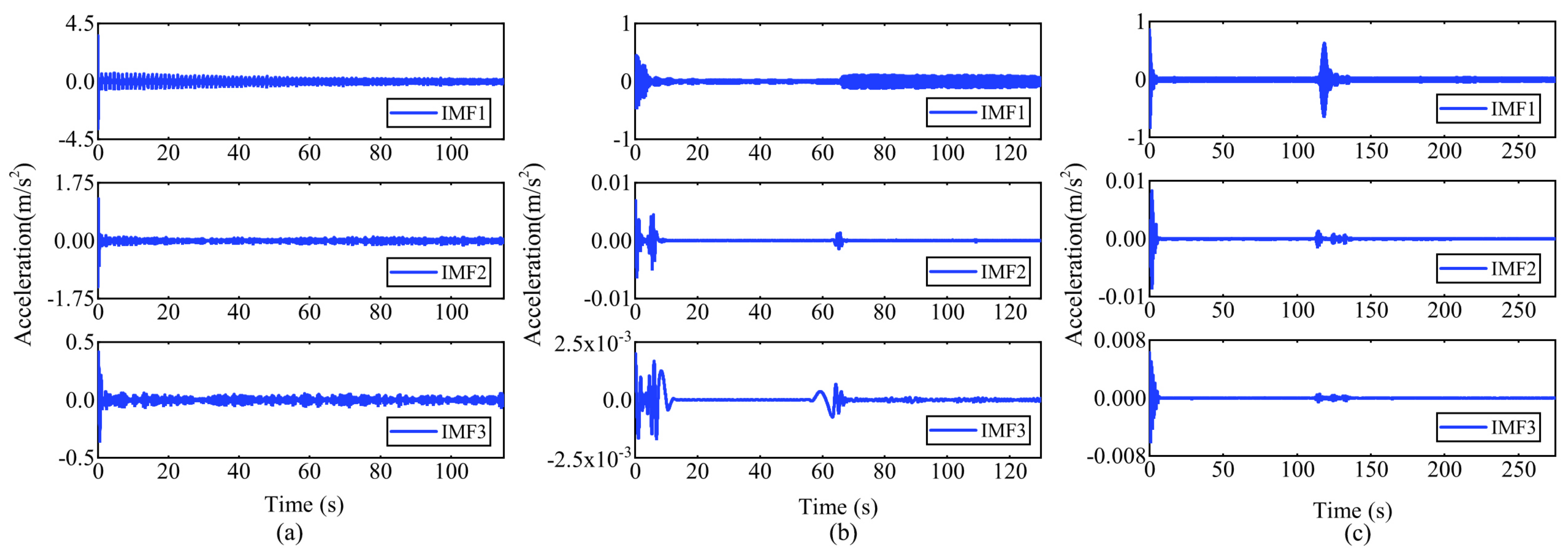
3.1. Scale-Model Experiment
3.1.1. Recognition Results for Conditions 1 and 2
3.1.2. Recognition Results for Conditions 3 and 4
3.2. Full-Scale Model Experiment
3.2.1. Recognition Results for Condition 1
3.2.2. Recognition Results for Condition 2
3.2.3. Recognition Results for Condition 3
3.3. Error Analysis
4. On-Site Bridge Experiment
4.1. Experimental Introduction and Layout
4.2. Experimental Results and Analysis
4.2.1. Recognition Results for Condition 1
4.2.2. Recognition Results for Condition 2
4.2.3. Recognition Results for Condition 3
5. Conclusions
Author Contributions
Funding
Institutional Review Board Statement
Informed Consent Statement
Data Availability Statement
Acknowledgments
Conflicts of Interest
References
- Ren, W.X.; Chen, G.; Hu, W.H. Empirical formulas to estimate cable tension by cable fundamental frequency. Struct. Eng. Mech. 2005, 20, 363–380. [Google Scholar] [CrossRef]
- Xue, S.; Shen, R. Real time cable force identification by short time sparse time domain algorithm with half wave. Measurement 2020, 152, 107355. [Google Scholar] [CrossRef]
- Zheng, W.; Dan, D.; Cheng, W.; Xia, Y. Real-time dynamic displacement monitoring with double integration of acceleration based on recursive least squares method. Measurement 2019, 141, 460–471. [Google Scholar] [CrossRef]
- Feng, D.; Scarangello, T.; Feng, M.Q.; Ye, Q. Cable tension force estimate using novel noncontact vision-based sensor. Measurement 2017, 99, 44–52. [Google Scholar] [CrossRef]
- Du, W.; Lei, D.; Bai, P.; Zhu, F.; Huang, Z. Dynamic measurement of stay-cable force using digital image techniques. Measurement 2020, 151, 107211. [Google Scholar] [CrossRef]
- Feng, Z.; Wang, X.; Chen, Z. A method of fundamental frequency hybrid recognition for cable tension measurement of cable-stayed bridges. IEEE Int. Conf. Robot. Autom. 2010, 75–79. [Google Scholar] [CrossRef]
- Sun, Z.H.; Yang, P. Cable Tension Measurement of Cable Stayed Bridge Based on Frequency Method. Appl. Mech. Mater. 2013, 405–408, 1587–1592. [Google Scholar] [CrossRef]
- Wang, M.; Satpathi, D.; Koontz, S.; Jarosevic, A.; Chandoga, M. Monitoring of cable forces using magneto-elastic sensors. In Computational Mechanics in Structural Engineering; Elsevier: Amsterdam, The Netherlands, 1999; pp. 337–347. [Google Scholar] [CrossRef]
- Zhang, R.; Duan, Y.; Zhao, Y.; He, X. Temperature Compensation of Elasto-Magneto-Electric (EME) Sensors in Cable Force Monitoring Using BP Neural Network. Sensors 2018, 18, 2176. [Google Scholar] [CrossRef]
- Gentile, C. Deflection measurement on vibrating stay cables by non-contact microwave interferometer. NDT E Int. 2010, 43, 231–240. [Google Scholar] [CrossRef]
- Li, Y.Q.; Du, Y.L. Research on cable force testing method of cable-stayed bridge model test. Appl. Mech. Mater. 2013, 351, 1325–1330. [Google Scholar] [CrossRef]
- Ren, W.X.; Liu, H.L.; Chen, G. Determination of cable tensions based on frequency differences. Eng. Comput. 2008, 25, 172–189. [Google Scholar] [CrossRef]
- Zui, H.; Shinke, T.; Namita, Y. Practical formulas for estimation of cable tension by vibration method. J. Struct. Eng. 1996, 122, 651–656. [Google Scholar] [CrossRef]
- Wei, J.; Li, G.; Razavi, M.R. Theoretical study on cable tension detection considering support vibration. Transp. Dev. Innov. Best Pract. 2008, 450–455. [Google Scholar] [CrossRef]
- Sumitro, S.; Kurokawa, S.; Shimano, K.; Wang, M.L. Monitoring based maintenance utilizing actual stress sensory technology. Smart Mater. Struct. 2005, 14, S68. [Google Scholar] [CrossRef]
- Casciati, F.; Ubertini, F. Nonlinear vibration of shallow cables with semiactive tuned mass damper. Nonlinear Dyn. 2008, 53, 89–106. [Google Scholar] [CrossRef]
- Huang, Y.H.; Fu, J.Y.; Wang, R.H.; Gan, Q.; Liu, A.R. Unified practical formulas for vibration-based method of cable tension estimation. Adv. Struct. Eng. 2015, 18, 405–422. [Google Scholar] [CrossRef]
- Liao, W.; Ni, Y.; Zheng, G. Tension force and structural parameter identification of bridge cables. Adv. Struct. Eng. 2012, 15, 983–995. [Google Scholar] [CrossRef]
- Li, H.; Zhang, F.; Jin, Y. Real-time identification of time-varying tension in stay cables by monitoring cable transversal acceleration. Struct. Control. Health Monit. 2014, 21, 1100–1117. [Google Scholar] [CrossRef]
- Yang, Y.; Li, S.; Nagarajaiah, S.; Li, H.; Zhou, P. Real-time output-only identification of time-varying cable tension from accelerations via complexity pursuit. J. Struct. Eng. 2015, 142, 04015083. [Google Scholar] [CrossRef]
- Bao, Y.; Shi, Z.; Beck, J.L.; Li, H.; Hou, T.Y. Identification of time-varying cable tension forces based on adaptive sparse time-frequency analysis of cable vibrations. Struct. Control Health Monit. 2017, 24, e1889. [Google Scholar] [CrossRef]
- Hou, T.Y.; Shi, Z. Adaptive data analysis via sparse time-frequency representation. Adv. Adapt. Data Anal. 2011, 3, 1–28. [Google Scholar] [CrossRef]
- Hou, T.Y.; Shi, Z.; Tavallali, P. Convergence of a data-driven time–frequency analysis method. Appl. Comput. Harmon. Anal. 2014, 37, 235–270. [Google Scholar] [CrossRef]
- Candès, E.J. Compressive sampling. In Proceedings of the International Congress of Mathematicians, Madrid, Spain, 22–26 August 2006; Volume 3, pp. 1433–1452. [Google Scholar]
- Huang, N.E.; Shen, Z.; Long, S.R.; Wu, M.C.; Shih, H.H.; Zheng, Q.; Yen, N.C.; Tung, C.C.; Liu, H.H. The empirical mode decomposition and the Hilbert spectrum for nonlinear and non-stationary time series analysis. Proc. Math. Phys. Eng. Sci. 1998, 454, 903–995. [Google Scholar] [CrossRef]
- Dragomiretskiy, K.; Zosso, D. Variational mode decomposition. IEEE Trans. Signal Process. 2013, 62, 531–544. [Google Scholar] [CrossRef]
- Junsheng, C.; Dejie, Y.; Yu, Y. Research on the intrinsic mode function (IMF) criterion in EMD method. Mech. Syst. Signal. Process. 2006, 20, 817–824. [Google Scholar] [CrossRef]
- Yang, Z.; Yang, L. A new definition of the intrinsic mode function. J. World Acad. Sci. Eng. Technol. 2009, 13, 1144–1147. [Google Scholar]
- Wang, G.; Chen, X.Y.; Qiao, F.L.; Wu, Z.; Huang, N.E. On intrinsic mode function. Adv. Adapt. Data Anal. 2010, 2, 277–293. [Google Scholar] [CrossRef]
- Pantazis, Y.; Rosec, O.; Stylianou, Y. Adaptive AM–FM signal decomposition with application to speech analysis. IEEE/ACM Trans. Audio Speech Lang. Process. 2010, 19, 290–300. [Google Scholar] [CrossRef]

















| Conditions | Description |
|---|---|
| 1 | F = 6.0 kN in t ∈ [0 s, 102 s] |
| 2 | F = 5.0 kN in t ∈ [0 s, 102 s] |
| 3 | F = 6.0 kN in t ∈ [0 s, 60 s] F = 5.3 kN in t ∈ [60 s, 108 s] |
| 4 | F = 5.0 kN in t ∈ [0 s, 60 s] F = 7.3 kN in t ∈ [60 s, 108 s] |
| Conditions | Description |
|---|---|
| 1 | F = 2170 kN in t ∈ [0 s, 115 s] |
| 2 | F = 1635 kN in t ∈ [0 s, 115 s] F = 1903 kN in t ∈ [115 s, 230 s] |
| 3 | F = 2170 kN in t ∈ [0 s, 115 s] F = 1635 kN in t ∈ [115 s, 230 s] F = 1903 kN in t ∈ [230 s, 290 s] |
| Conditions | Maximum Stationary Phase Error (%) | Maximum Mutation Point Error (%) | Average Error (%) |
|---|---|---|---|
| 1 | 8.941 | / | 4.243 |
| 2 | 3.189 | / | 0.825 |
| 3 | 3.542 | 13.939 | 2.022 |
| 4 | 2.563 | 29.465 | 1.504 |
| mean | 4.753 | 21.702 | 2.067 |
| Conditions | Maximum Stationary Phase Error (%) | Maximum Mutation Point Error (%) | Average Error (%) |
|---|---|---|---|
| 1 | 8.009 | / | 3.479 |
| 2 | 2.942 | 4.066 | 0.971 |
| 3 | 4.864 | 7.369 | 2.288 |
| mean | 5.272 | 5.718 | 2.246 |
| Condition | Description | Corresponding Time Period |
|---|---|---|
| 1 | After removing the damaged support on the downstream side | 11 October 2019 10:10–10:20 |
| 2 | Install new support and tighten bolts | 11 October 2019 15:00–16:00 |
| 3 | After the new support is installed | 12 October 2019 09:00–09:30 |
Publisher’s Note: MDPI stays neutral with regard to jurisdictional claims in published maps and institutional affiliations. |
© 2021 by the authors. Licensee MDPI, Basel, Switzerland. This article is an open access article distributed under the terms and conditions of the Creative Commons Attribution (CC BY) license (http://creativecommons.org/licenses/by/4.0/).
Share and Cite
Hou, S.; Dong, B.; Fan, J.; Wu, G.; Wang, H.; Han, Y.; Zhao, X. Variational Mode Decomposition Based Time-Varying Force Identification of Stay Cables. Appl. Sci. 2021, 11, 1254. https://doi.org/10.3390/app11031254
Hou S, Dong B, Fan J, Wu G, Wang H, Han Y, Zhao X. Variational Mode Decomposition Based Time-Varying Force Identification of Stay Cables. Applied Sciences. 2021; 11(3):1254. https://doi.org/10.3390/app11031254
Chicago/Turabian StyleHou, Shitong, Bin Dong, Jianhua Fan, Gang Wu, Haochen Wang, Yitian Han, and Xiaojin Zhao. 2021. "Variational Mode Decomposition Based Time-Varying Force Identification of Stay Cables" Applied Sciences 11, no. 3: 1254. https://doi.org/10.3390/app11031254
APA StyleHou, S., Dong, B., Fan, J., Wu, G., Wang, H., Han, Y., & Zhao, X. (2021). Variational Mode Decomposition Based Time-Varying Force Identification of Stay Cables. Applied Sciences, 11(3), 1254. https://doi.org/10.3390/app11031254

