Abstract
This article proposes a method for the prediction of wide range two-dimensional refractivity for synthetic aperture radar (SAR) applications, using an inverse distance weighted (IDW) interpolation of high-altitude radio refractivity data from multiple meteorological observatories. The radio refractivity is extracted from an atmospheric data set of twenty meteorological observatories around the Korean Peninsula along a given altitude. Then, from the sparse refractive data, the two-dimensional regional radio refractivity of the entire Korean Peninsula is derived using the IDW interpolation, in consideration of the curvature of the Earth. The refractivities of the four seasons in 2019 are derived at the locations of seven meteorological observatories within the Korean Peninsula, using the refractivity data from the other nineteen observatories. The atmospheric refractivities on 15 February 2019 are then evaluated across the entire Korean Peninsula, using the atmospheric data collected from the twenty meteorological observatories. We found that the proposed IDW interpolation has the lowest average, the lowest average root-mean-square error (RMSE) of ∇M (gradient of M), and more continuous results than other methods. To compare the resulting IDW refractivity interpolation for airborne SAR applications, all the propagation path losses across Pohang and Heuksando are obtained using the standard atmospheric condition of ∇M = 118 and the observation-based interpolated atmospheric conditions on 15 February 2019. On the terrain surface ranging from 90 km to 190 km, the average path losses in the standard and derived conditions are 179.7 dB and 182.1 dB, respectively. Finally, based on the air-to-ground scenario in the SAR application, two-dimensional illuminated field intensities on the terrain surface are illustrated.
1. Introduction
The dramatic advances in long-range radar technologies have resulted in various functional radar applications, such as synthetic aperture radars (SARs) [1,2,3], airborne weather radars (AWRs) [4], terrain-following radars (TFRs) [5], and airborne early warning radars (AEWs) [6,7]. Such radars are usually used to collect a variety of information from the air or from the ground, including weather conditions, storms, volcanoes, target ranges, target movements, and terrain images. In recent years, inverse synthetic aperture radars (ISARs) have been used for space surveillance to ensure the stability and safety of the space environment [8]. Excellent range resolution to display the outline of aircraft and vehicles is achieved using surface movement radars (SMRs) [9]. However, as the attenuation increases, the high resolution of the SAR image and the range resolution of the target distance can no longer be achieved [10,11]. Moreover, the radio wave radiation from the radar is attenuated by external environmental factors, such as rain scattering, lightning discharges, anthropogenic noise, multi-path effects, clutters, atmospheric gases, and refraction, which can significantly distort the collected information [12,13,14,15,16]. In particular, the direction of wave propagation for the long-range radar is significantly influenced by the atmospheric refraction, which is mostly caused by the atmospheric conditions, including air pressure, temperature, and relative humidity [17]. These atmospheric conditions can be modeled with the refractive index along the altitude [18]. Then, the wave propagation direction of the long-range radar is bent due to vertical variations in the atmospheric refractive index. These are often classified into four types: sub, super, normal, and duct [19]. Thus, various research studies on modeling the atmospheric refractive index have been conducted by using the sparse measured meteorological data of the atmospheric conditions; observing the global positioning system, phase delay, and path loss [20]; interpolating an observation-based refraction index employing the two-dimensional cubic-polynomial method [21]; and using trilinear lines at the low altitude [22]. In addition, the wave propagation characteristics, including the atmospheric refractive effects, have also been investigated in order to observe the path loss around coastal areas in many countries, i.e., the United States, Australia, China, and United Arab Emirates (UAE) [23,24,25,26]. These studies present an accurate estimation of the refractive index at low altitude and a proper analysis of wave propagation characteristics below the ultra-high frequency band. However, there is still a need for in-depth research into the estimation of the regional radio refractivity at high altitudes as well as the analysis of the radar wave propagation in air-to-ground situations for SAR applications.
In this paper, a novel method is proposed for predicting a wide range of two-dimensional radio refractivity using an inverse distance weighted (IDW) interpolation of high-altitude radio refractivity data from multiple meteorological observatories. We obtained a data set of atmospheric conditions along the altitude from twenty meteorological observatories within or nearby the Korean Peninsula [27]. Then, from the sparse refractive data along the altitude, the two-dimensional regional radio refractivity of the entire Korean Peninsula was obtained using the IDW interpolation. In the IDW interpolation, the distance parameters were readjusted to take into account the curvature of the Earth. To validate the interpolation method, we calculated the root-mean-square error (RMSE) between the actual and the interpolated refractivity data at seven observatories and compared the data with other conventional interpolation methods: linear, cubic, and nearest-neighbor. The regional two-dimensional refractivity, using IDW interpolation, was obtained across the Korean Peninsula and compared with the results of other conventional interpolation methods. Finally, the resulting two-dimensional refractivity was employed as the input into the MATLAB Parabolic Equation Toolbox (PETOOL) for airborne synthetic aperture radar (SAR) applications [28,29]. The propagation path losses, according to the air-to-ground SAR scenario between Pohang and Heuksando in Korea, were simulated, and the illuminated electromagnetic field intensities on the terrain in relation to the atmospheric conditions were examined.
2. Wide Range Two-Dimensional High-Altitude Refractivity Estimation
Figure 1 shows the locations of twenty meteorological observatories within (indicated by red triangles) or nearby (indicated by yellow circles) the Korean Peninsula, where the observatories are capable of measuring weather data up to the altitude of the troposphere. As shown in Figure 1, there are only seven meteorological observatories in Korea, and their locations can be regionally categorized into two groups: coastal area sites (S1, S6, and S7) and inland sites (S2, S3, S4, and S5). Since the seven meteorological observatories are not sufficient to estimate the refractivity of the entire Korean Peninsula, we collected additional high-altitude atmospheric data from other overseas meteorological observatories near the Korean Peninsula. The collected atmospheric condition data, as a function of the altitude, included air pressure, temperature, and dew-point temperature. These data were measured 2 or 4 times a day, and the average altitude interval was 507.84 m. The detailed geographical coordinates and measurement conditions are listed in Table 1. From these data, the dimensionless refractivity, N, can be calculated using the following equation [18]:
where T is the absolute temperature in K, e is the water vapor pressure in millibars, and P is the air pressure in millibars. The refractivity, N, can then be replaced by the modified refractivity, M, according to the altitude on a hypothetical flat Earth and in consideration of the Earth’s curvature, as follows [18]:
where h indicates the altitude at which the modified refractivity, M, is calculated. Due to physical atmospheric conditions, the gradient of modified refractivity, ∇M, according to the altitude, changes naturally, which causes the propagation direction to bend depending on ∇M. The wave refractions are generally classified into four types according to ∇M [19]. The sub-refraction (∇M ≥ 157) occurs when the wave direction is bent further away from the surface of the Earth than in normal atmospheric conditions. Normal refraction occurs when the gradient of the refractivity is 78 ≤ ∇M ≤ 157. Super-refraction (0 ≤ ∇M ≤ 78) occurs when the direction of the wave propagation is bent further toward the Earth’s surface. When the gradient ∇M becomes negative, the atmospheric state is called the duct, and the wave propagation is often trapped at a certain altitude, as if propagating in a waveguide. Note that it is well-known that the refraction of the wave propagation is generally affected by the ∇M along the altitude [30]. The ∇M, which changes with altitude, can also significantly vary depending on the location (latitude and longitude). Therefore, in order to more accurately predict wave propagation characteristics, it is necessary to have dense refractivity data for the location; however, as mentioned earlier, there is a limited number of meteorological observatories in Korea. Thus, we employed IDW interpolation to achieve the dense refractivity data, depending on the location (latitude and longitude), for the entire Korean Peninsula.
Figure 1.
Locations of the twenty meteorological observatories inside and around the Korean Peninsula.
Table 1.
Geographical coordinates of the weather stations with measurement setups.
Figure 2 shows a conceptual figure of the IDW interpolation method, in consideration of the Earth’s curvature. The red triangle specifies interpolated data of Mp at a given altitude, h, with the location of (x, y). The yellow circles represent the refractivity data of Mi at the locations (xi, yi) as a function of an altitude, h, collected from the twenty meteorological observatories. The equations of the IDW interpolation, in consideration of the Earth’s curvature, can be defined through the following:
where the index i is an integer number (1, 2, …, and 20), and di is the distance between the locations of Mp and Mi. d’i is the distance in consideration of the Earth’s curvature with the altitude, hi. wi is the weight function for an inverse distance, d’i, with a power parameter of k, which was set to 2 in this research. For example, the interpolated value can be less affected by the long-distance interpolation points for the large value of k because the weight, wi, is close to zero. To verify the results of the IDW method, the refractivities at seven meteorological observatories in the Korean Peninsula were interpolated, one by one, using the data from the other nineteen nearby observatories, excluding their own exact data. Then, the RMSE of ∇M between the exact and the interpolated data at the locations of the seven observatories was examined and compared with the results from other conventional interpolation methods: linear, cubic, and nearest-neighbor. In the interpolation, the refractivity data of the four seasons in 2019 at twenty observatories were used.
Figure 2.
Inverse distance weighting (IDW) method in consideration of the Earth’s curvature.
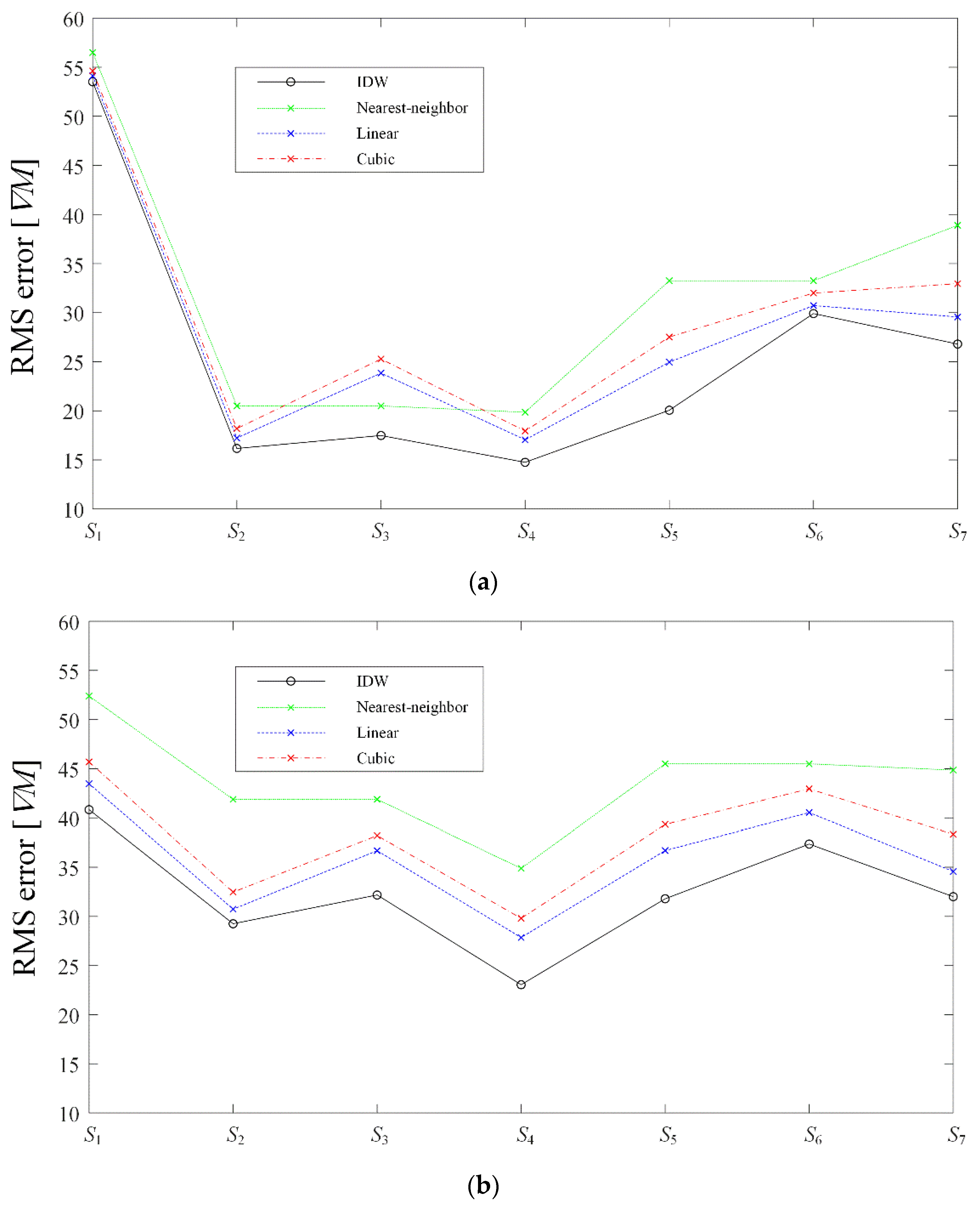
Figure 3a–d represents the comparisons of the RMSE results at seven meteorological observatories in terms of the interpolation methods for all seasons in 2019. To derive the RMSE of ∇M, we included a total number of 15,783 of the refractivity profile data to achieve the seasonal results. Black circle markers indicate the results of the IDW, while the green, blue, and red cross markers represent those with the nearest-neighbor, linear, and cubic interpolation, respectively. S1 to S7 on the x-axis represent the locations of seven meteorological observatories. Figure 3a shows the RMSEs for the spring season. At the three coastal area sites (S1, S6, and S7), the average RMSEs of the IDW, linear, cubic, and nearest-neighbor were 36.7, 38.1, 39.9, and 42.9, respectively. Meanwhile, the average RMSEs at the four inland area sites (S2, S3, S4, and S5) of the IDW, linear, cubic, and nearest-neighbor were 17.1, 20.8, 22.2, and 23.5, respectively, which are lower than those from the three coastal area sites. For the summer season, as shown in Figure 3b, the average RMSEs of the IDW, linear, cubic, and nearest-neighbor at the four inland area sites were 29.1, 33.0, 35.0, and 41.0, respectively. The resulting values of the summer season were higher than those of the spring season. This is because physical phenomena such as inversion layers, which often occur during the summer, cause very irregular atmospheric conditions, resulting in increased estimation errors. In autumn, the average RMSEs of the IDW, linear, cubic, and nearest-neighbor at four inland area sites were 25.5, 29.8, 31.9, and 33.9, respectively. The winter season had the lowest average RMSEs of the IDW, linear, cubic, and nearest-neighbor interpolations, as shown in Figure 3d, which were 13.3, 16.1, 17.2, and 18.6, respectively. During the winter, the cold air temperature with little up-down convection maintains the most stable atmospheric condition from all seasons, which results in steady refractivity along the altitude. Note that the proposed IDW interpolation method has the lowest RMSEs of ∇M when estimating the refractivity over all seasons. Since the IDW method had the lowest RMSEs, we used the IDW for estimating the refractivity distribution across entire regions in Korea.

Figure 3.
Root-mean-square error (RMSE) of ∇M between the observation-based and the interpolated refractivity data from conventional linear, cubic, nearest-neighbor, and IDW interpolation methods: (a) spring; (b) summer; (c) autumn; and (d) winter.
We also evaluated the RMSE of M at fixed altitudes (0 m and 5000 m), using the refractivity data set from 2019, according to the four interpolation methods. The lowest RMSE value was 11.4, which was obtained for the average of the IDW interpolation method. The highest RMSE value was 69.7 for the average of the nearest-neighbor method. The RMSE results were also averaged in terms of the heights from 0 m to 5000 m to more obviously compare the interpolation performances. The average results demonstrate that the IDW method had more accurate performances than the nearest-neighbor method in all observatories. The detailed RMSE of M results for the seven observatories in Korea are listed in Table 2.
Table 2.
RMSE of M results for seven observatories.
Figure 4a–d presents the two-dimensional regional interpolation results of the atmospheric refractivity, M, for all methods at a fixed altitude of 5000 m inside the Korean Peninsula on 15 February 2019. The atmospheric refractivities, M, were estimated across the entire Korean Peninsula using the atmospheric data collected from twenty meteorological observatories. The regional refractivity, M, was obtained using the two-dimensional IDW interpolation at a fixed altitude of 5000 m and compared with the results of other conventional interpolation methods. From the results, the nearest-neighbor interpolation method obviously illustrated the discrete tendency, but other methods were similar to each other. The linear interpolation method had an apparent discontinuity inside the highlighted region, where the discontinuity line formed nearby the observatories of S3 and S5. Since the cubic method utilizes higher-order polynomials for the interpolation, it presented much smoother results than the linear interpolation in the discontinuity region. On the other hand, the IDW interpolation method represented no discontinuity over all regions; this method seems to better reflect the atmospheric phenomenon than others, with the lowest RMSE values of all methods. To specifically analyze the smoothness of the interpolation, we observed the standard deviation of the difference between the adjacent points for the interpolated result. Note that a smaller standard deviation indicates smoother interpolated results. Herein, the standard deviations for the smoothness of the IDW, linear, cubic, and nearest-neighbor interpolation methods were 0.1602, 0.7202, 0.8144, 1.3556, respectively. The proposed IDW interpolation consistently showed smoother and more continuous results than the other three methods.

Figure 4.
Two-dimensional interpolation results at a fixed altitude of 5000 m in the Korean Peninsula (15 February 2019): (a) IDW method; (b) nearest-neighbor method; (c) linear method; (d) cubic method.
3. Path Loss Simulation and Illuminated Field Intensity Observation in an Air-to-Ground Scenario
Figure 5 presents a conceptual figure of the air-to-ground scenario in the SAR application across Pohang (S4) and Heuksando (S6) in Korea. We observed the illumination intensity of the electromagnetic wave on the ground surface by wave propagation characteristics according to atmospheric conditions. In the scenario, we assumed that the airborne radar located in the middle of S4 and S6 was steering to the ground with the scan angle of θE. Herein, ha is the altitude of the airborne transmitter, while r and θA are the scanning range and the azimuth beam angle from flight direction, respectively. To calculate the illuminated field intensity on the terrain, propagation path losses were simulated using the MATLAB PETOOL [29], where the simulation parameters were a Gaussian beam pattern, a beamwidth, an elevation steering angle, an operating frequency, and the digital terrain elevation data. The detailed values of the simulation parameters are listed in Table 3.
Figure 5.
Air-to-ground scenario in the synthetic aperture radar (SAR) application across Pohang (S4) and Heuksando (S6) in Korea.
Table 3.
Two-dimensional path loss simulation setup.
Figure 6 shows the path loss simulation results between Pohang (S4) and Heuksando (S6) as a function of the range and altitude, where the white dotted line represents the main beam direction. Figure 6a shows the path loss obtained by assuming the standard atmospheric condition of ∇M = 118 throughout the entire troposphere. Figure 6b shows the path loss obtained using the observation-based atmospheric condition on 15 February 2019, where the refractivities between Pohang (S4) and Heuksando (S6) were interpolated with the proposed IDW method, using the data measured in twenty sites. On the terrain surface ranging from 90 km to 190 km, the average path loss was179.7 dB in standard atmospheric conditions (∇M = 118), while the average path losses using the observation-based atmospheric conditions interpolated from the measured data was 182.1 dB. To verify the PETOOL simulation software, we adopted another well-known simulation software named Advanced Refractive Effects Prediction System (AREPS) [31] and a standard recommendation of ITU-R P.528 [32]. For the AREPS simulation software, the input parameters were set to the same simulation conditions as PETOOL. For example, a Gaussian source with a 2° half-power beamwidth (HPBW) was used for a source pattern, and the normal atmospheric condition (∇M = 118) was uniformly distributed along the height without having terrain data. Figure 6c presents the comparison of the path loss simulation results at the height of 1.8 m according to the range, where solid, dashed, and dotted lines indicate the AREPS, PETOOL, and ITU-R P.528 models, respectively. The path results of both simulators showed a good agreement with each other, and the ITU-R model followed the trend of the path loss line well.

Figure 6.
Path loss simulation results between Pohang (S4) and Heuksando (S6) as a function of the range and altitude: (a) the standard atmospheric conditions; (b) the observation-based atmospheric condition on 15 February 2019; and (c) the path loss comparison among the simulation tools.
Figure 7 illustrates the two-dimensional illuminated electromagnetic field intensities on the terrain according to the atmospheric conditions based on the air-to-ground scenario in the SAR application. We assumed that the aircraft was located at the center between Pohang (S4) and Heuksando (S6) at an altitude of 5000 m. The observing diameter was up to 387.4 km for the long-range SAR application, so it included coastal, sea, mountain, and urban terrains. Figure 7a shows the path loss on the ground with standard atmospheric conditions (∇M = 118), while Figure 7b shows the results using the same observation-based atmospheric conditions (15 February 2019). The path loss with the observation-based atmospheric conditions was greater than that in the standard atmospheric conditions. In the case of the sea surface (in the direction of Heuksando), concentric circles (the red part in the figure) repeatedly appeared due to the periodic characteristics of the field strength. For example, the distances from the center to the concentric circles were about 170 km, 145 km, and 125 km. In free space, the theoretical distances at the maximum electric fields would be 171 km, 133 km, and 109 km, which are similar to the results in our scenario [33]. That is, the concentric circles occurred due to the ground effect of the sea surface. In the case of the mountainous area (in the direction of Pohang), the blue blur spots are due to the shadow of the high-elevation mountains and urban areas. The white region is the area below the aircraft where the wave propagation could not reach due to the limit of the steering angle, causing the high path loss levels.
Figure 7.
Illuminated electromagnetic field intensities on the terrain in relation to the atmospheric conditions: (a) the standard atmospheric conditions and (b) the observation-based atmospheric conditions on 15 February 2019.
4. Conclusions
In this paper, we investigated a wide range of two-dimensional radio refractivity using an IDW interpolation and high-altitude radio refractivity data from multiple meteorological observatories. The two-dimensional regional refractivities of the entire Korean Peninsula were obtained using the IDW method in consideration of the Earth’s curvature. The refractivities for the four seasons in 2019 were estimated at the locations of seven meteorological observatories in the Korean Peninsula with the IDW and conventional interpolation methods: linear, cubic, and nearest-neighbor. The summer season had the highest average RMSEs for the IDW, linear, cubic, and nearest-neighbor methods at the four inland area sites, which were 29.1, 33.0, 35.0, and 41.0, respectively. On the other hand, the winter season had the lowest average RMSEs for IDW, linear, cubic, and nearest-neighbor at the four inland area sites, which were 13.3, 16.1, 17.2, and 18.6, respectively. Then, the atmospheric refractivities on 15 February 2019 were observed across the entire Korean Peninsula using the atmospheric data collected from 20 meteorological observatories so that the proposed IDW interpolation had smoother and more continuous results than other methods. To confirm the resulting two-dimensional refractivity interpolation for airborne SAR applications, all the propagation path losses across Pohang and Heuksando were obtained using the standard atmospheric conditions of ∇M = 118 and the actual atmospheric conditions on 15 February 2019. On the terrain surface ranging from 90 km to 190 km, the average path losses in the standard and the observation-based conditions were 179.7 dB and 182.1 dB, respectively. Finally, based on the air-to-ground scenario in the SAR application, two-dimensional illuminated field intensities on the terrain surface were estimated. These results demonstrated that the SAR illumination could be degraded by atmospheric conditions, especially in long-range applications. In the near future, we expect these results to be more useful when more meteorological observatories for the high-altitude atmospheric data are built near the Korean Peninsula. For future work, we aim to investigate the propagation characteristics of SAR images or SAR signals while considering the amplitude and phase structures.
Author Contributions
Conceptualization, H.C. and S.W.; methodology, T.H.L.; software, S.W. and T.H.L.; validation, H.C. and S.W.; formal analysis, S.W.; investigation, S.W.; data curation, S.W.; writing—original draft preparation, S.W. and T.H.L.; writing—review and editing, H.C.; visualization, S.W.; supervision, H.C.; project administration, C.S.; funding acquisition, C.S. and K.O. All authors have read and agreed to the published version of the manuscript.
Funding
This work was supported by a grant-in-aid of HANWHA SYSTEMS, the Basic Science Research Program through the National Research Foundation of Korea (NRF) funded by the Ministry of Education (No. NRF-2015R1A6A1A03031833), and the NRF grant funded by the Korean government (No. NRF-2017R1A5A1015 596).
Institutional Review Board Statement
Not applicable.
Informed Consent Statement
Not applicable.
Data Availability Statement
Not applicable.
Conflicts of Interest
The authors declare no conflict of interest.
References
- Lim, S.; Choi, I.; Jeong, T. Compensation method for a wideband signal’s squint problem of an AESA SAR system using a cross-range-variant antenna gain equalizer. IEEE Sens. J. 2019, 19, 2937–2945. [Google Scholar] [CrossRef]
- Frey, O.; Magnard, C.; Ruegg, M.; Meier, E. Focusing of airborne synthetic aperture radar data from highly nonlinear flight tracks. IEEE Trans. Geosci. Remote Sens. 2009, 47, 1844–1858. [Google Scholar] [CrossRef]
- Kim, C.K.; Lee, J.S.; Chae, J.S.; Park, S.O. A modified stripmap SAR processing for vector velocity compensation using the cross-correlation estimation method. J. Electromagn. Eng. Sci. 2019, 19, 159–165. [Google Scholar] [CrossRef]
- Stailey, J.E.; Hondl, K.D. Multifunction phased array radar for aircraft and weather surveillance. Proc. IEEE 2016, 104, 649–659. [Google Scholar] [CrossRef]
- Barfield, A.F.; Probert, J.; Browning, D. All terrain ground collision avoidance and maneuvering terrain following for automated low level night attack. IEEE Aerosp. Electron. Syst. Mag. 1993, 8, 40–47. [Google Scholar] [CrossRef]
- Dickey, F.R.; Labitt, M.; Staudaher, F.M. Development of airborne moving target radar for long range surveillance. IEEE Trans. Aerosp. Electron. Syst. 1991, 27, 959–972. [Google Scholar] [CrossRef]
- Kim, E.; Park, J.Y. Dwell time optimization of alert-confirm detection for active phased array radars. J. Electromagn. Eng. Sci. 2019, 19, 107–114. [Google Scholar] [CrossRef]
- Du, Y.; Jiang, Y.; Wang, Y.; Zhou, W.; Liu, Z. ISAR Imaging for low-earth-orbit target based on coherent integrated smoothed generalized cubic phase function. IEEE Trans. Geosci. Remote Sens. 2020, 58, 1205–1220. [Google Scholar] [CrossRef]
- Xu, G.; Xing, M.; Xia, X.; Chen, Q.; Zhang, L.; Bao, Z. High-resolution inverse synthetic aperture radar imaging and scaling with sparse aperture. IEEE J. Sel. Top. Appl. Earth Observ. Remote Sens. 2015, 8, 4010–4027. [Google Scholar] [CrossRef]
- Rémy, D.; Bonvalot, S.; Briole, P.; Murakami, M. Accurate measurements of tropospheric effects in volcanic areas from SAR interferometry data: Application to Sakurajima volcano (Japan). Earth Planet. Sci. Lett. 2003, 213, 299–310. [Google Scholar] [CrossRef]
- Sun, J.; Bi, Y.; Wang, Y.; Hong, W. High resolution SAR performance limitation by the change of tropospheric refractivity. In Proceedings of the 2011 IEEE CIE International Conference on Radar, Chengdu, China, 24–27 October 2011; pp. 1448–1451. [Google Scholar]
- Valtr, P.; Pechac, P. The influence of horizontally variable refractive index height profile on radio horizon range. IEEE Antennas Wirel. Propag. Lett. 2005, 4, 489–491. [Google Scholar] [CrossRef]
- Karimian, A.; Yardim, C.; Gerstoft, P.; Hodgkiss, W.S.; Barrios, A.E. Refractivity estimation from sea clutter: An invited review. Radio Sci. 2011, 46, 1–16. [Google Scholar] [CrossRef]
- Wagner, M.; Gerstoft, P.; Rogers, T. Estimating refractivity from propagation loss in turbulent media. Radio Sci. 2016, 51, 1876–1894. [Google Scholar] [CrossRef]
- James, R.; James, H.; Roger, S. Environmental/Noise Effects on VHF/UHF UWB SAR; Institute for Defense Analyses: Alexandria, VA, USA, 1998. [Google Scholar]
- Vasilescu, G. External Noise. In Electronic Noise and Interfering Signals; Signals and Communication Technology; Springer: Berlin/Heidelberg, Germany, 2005; pp. 255–257. [Google Scholar]
- Wang, L.; Wei, M.; Yang, T.; Liu, P. Effects of atmospheric refraction on an airborne weather radar detection and correction method. Adv. Meteorol. 2015, 2015, 407867. [Google Scholar] [CrossRef]
- Radiocommunication sector of ITU. Recommendation ITU-R P.453-13: The Radio Refractive Index: Its Formula and Refractivity Data; International Telecommunication Union: Geneva, Switzerland, 2017. [Google Scholar]
- Dinc, E.; Akan, O.B. Channel model for the surface ducts: Largescale path-loss, delay spread, and AOA. IEEE Trans. Antennas Propag. 2015, 63, 2728–2738. [Google Scholar] [CrossRef]
- Qixiang, L.; Zheng, S.; Hanqing, S.; Jie, X.; Hong, Y. Estimation of surface duct using ground-based GPS phase delay and propagation loss. Remote Sens. 2018, 10, 724. [Google Scholar]
- Julian, C.; Oscar, B.; Ono, A. Evaluation of EM-wave propagation in fully three-dimensional atmospheric refractive index distributions. Radio Sci. 2009, 44, 1–19. [Google Scholar]
- Lin, L.K.; Zhao, Z.W.; Zhang, Y.R.; Zhu, Q.L. Tropospheric refractivity profiling based on refractivity profile model using single ground-based global positioning system. IET Radar Sonar Navig. 2011, 5, 7–11. [Google Scholar] [CrossRef]
- Abdulhadi, A.; Raed, A.A.A.; Steve, M.R.J.; Hussain, A.A. New methodology for predicting vertical atmospheric profile and propagation parameters in subtropical Arabian Gulf Region. IEEE Trans. Antennas Propag. 2015, 63, 4057–4068. [Google Scholar]
- Shi, Y.; Yang, K.D.; Yang, Y.X.; Ma, Y.L. Experimental verification of effect of horizontal inhomogeneity of evaporation duct on electromagnetic wave propagation. Chin. Phys. B 2015, 24, 044102. [Google Scholar] [CrossRef]
- Pozderac, J.; Johnson, J.; Yardim, C.; Merrill, C.; de Paolo, T.; Terrill, E.; Ryan, F.; Frederickson, P. X-band beacon-receiver array evaporation duct height estimation. IEEE Trans. Antennas Propag. 2018, 66, 2545–2556. [Google Scholar] [CrossRef]
- Norman, R.J.; Marshall, J.L.; Rohm, W.; Carter, B.A.; Kirchengast, G.; Alexander, S.; Liu, C.; Zhang, K. Simulating the impact of refractive transverse gradients resulting from a severe troposphere weather event on GPS signal propagation. IEEE J. Sel. Top. Appl. Earth Observ. Remote Sens. 2015, 8, 418–424. [Google Scholar] [CrossRef]
- University of Wyoming, Department of Atmospheric Science. Available online: https://weather.uwyo.edu/upperair/sounding.html (accessed on 31 January 2020).
- National Geographic Information Institute. Available online: https://www.ngii.go.kr/kor/main.do (accessed on 31 January 2020).
- A MATLAB-based One-Way and Two-Way Split-Step Parabolic Equation Software Tool (PETOOL). Available online: http://cpc.cs.qub.ac.uk/summaries/AEJS_v1_0.html (accessed on 30 August 2018).
- Martin, G.; Pavel, P.; Pavel, V. On horizontal distribution of vertical gradient of atmospheric refractivity: Horizontal distribution of vertical gradient of atmospheric refractivity. Atmos. Sci. Lett. 2017, 18, 294–299. [Google Scholar]
- Advanced Refractive Prediction System (AREPS); Ver. 3.6; The Space and Naval Warfare System: San Diego, CA, USA, 2005.
- Radiocommunication sector of ITU. Recommendation ITU-R P.528-4: A Propagation Prediction Method for Aeronautical Mobile and Radionavigation Services Using the VHF, UHF and SHF Bands; International Telecommunication Union: Geneva, Switzerland, 2019. [Google Scholar]
- Balanis, C.A. Antenna Theory; John Wiley & Sons, Inc.: Hoboken, NJ, USA, 2005; ISBN 0-471-66782-X. [Google Scholar]
Publisher’s Note: MDPI stays neutral with regard to jurisdictional claims in published maps and institutional affiliations. |
© 2021 by the authors. Licensee MDPI, Basel, Switzerland. This article is an open access article distributed under the terms and conditions of the Creative Commons Attribution (CC BY) license (http://creativecommons.org/licenses/by/4.0/).









