Abstract
Managing sediments dredged from reservoirs of recharge dams is an environmental issue, however, these sediments can be an abundant and economical source of fine-grained fill soil. This experimental investigation quantifies the geotechnical properties of a reservoir sediment used to improve engineering properties of a poorly graded dune sand in Oman. The binary mixes were prepared with different percentages (5, 10, 20, 50, 75, 90, 95%) of sediment with sand. Laboratory tests such as gradation, consistency limits, compaction, and unconfined compression tests were performed to measure the engineering characteristics of the binary mixtures. The results showed that the maximum dry density increases up to a sediment content of 50% and then decreases with further increase in the sediment content. The optimum water content increases with the increase in sediment content from 17% for pure sand to 22.5% for pure sediment. The optimum moisture content shows a good correlation with the plastic limit of the binary mixture of sand and sediment. The unconfined compressive strength substantially increases with sediment content up to 75% and then decreases with further increase in the sediment content. The binary mixture of sand sediment is sensitive to moisture, however, the order of strength stability against moisture is dune sand mixed with 75, 50, and 20% sediments. The addition of sediment to dune sand improved the uniformity coefficient to some extent with an increase in the maximum and minimum void ratios as well. The elemental analysis of the sediment confirms that the material is non-contaminated and can be employed in geotechnical engineering applications as a sustainable and environmentally friendly solution.
1. Introduction
Dune sands are characterized as collapsible soils and are not suitable for supporting infrastructure. Dune sands are usually fine-grained and poorly graded materials (e.g., SP) with a small amount of silt [1], which need to be blended with additives to enhance their engineering properties to be appropriate for geotechnical engineering perspectives. The effectiveness of soil improvement depends on many factors, such as properties of the sand and the additive, field application method, environmental concerns, and economic feasibility. Recently, it is strongly encouraged to reduce the carbon dioxide footprint in geotechnical engineering practices [2,3]. The utilization of waste material as an additive to improve the mechanical behavior of dune sand is expected to be an optimistic approach to reduce the carbon footprint associated with the processing of natural resources.
Reservoir sediments, a byproduct of weathering and erosion of rocks, are transported through alluvial process and get deposited in reservoirs of dams [4]. Oman has constructed several recharge dams to recharge groundwater from non-perennial flows and the sediments being deposited in the reservoirs are causing water infiltration reduction problems in situ [5]. Thus, reservoir bottom sediment dredging is performed periodically to remove thick sediments for maintenance purposes. However, the removal and disposal of dredged sediments requires considerable space as landfills and energy consumption during the dredging operations [6]. A primary factor that makes the concept of reusing the sediments a feasible solution is the potential economic benefits by cost-cutting of disposal and environmental issues related to the depletion of natural resources. In relation to this, an approach to determine the embodied energy and carbon dioxide contribution of ground improvement works has been developed [6,7]. Dredged sediments are often polluted with contaminants, such as heavy metals [8,9,10]. Methods to remove the metals from dredged sediment [9,10] might be cumbersome and expensive. Therefore, alternative methods resulting in dredged sediments that retain heavy metals are urgently needed.
The construction and non-construction fill applications provide the greatest basis for reuse of sediments in the industrial sector. The sediments have been successfully employed as a useful resource such as fill material for road construction [11,12], a mix of dredged sediment soil and steel slag fines for embankment construction in Singapore [13], construction material as mortars [14], clay material for island construction in Illinois, USA [15], and aggregates for concrete and masonry [16]. The municipal use of dredged material includes landfill capping [17] and beach nourishment. As stated in a study by Grubb et al. [18], “the economic benefit of reusing dredged sediments is best realized when decreased costs of dredged sediment disposal are coupled with decreased costs of virgin material”. Borton et al. [19] concluded that the treatment cost of dredged sediments in North-Western European ports ranges from 10 (slightly polluted) to 50 €/m3 (heavily polluted) sediment in the populated and ecologically important areas. Therefore, the importance of utilizing the dredged sediments for engineering purposes cannot be ignored for the benefit of the society. According to Smith et al. [20], the primary concern when utilizing dredged materials is to ensure that the materials to be placed are not more detrimental to the environment than traditional materials. The environmental issues associated with the use of dredged sediments are the potential for contamination and carbon footprint related to its reuse as an alternate resource in engineering applications.
One of the possible re-uses of dredged fine sediments includes their use as an additive to improve the engineering properties of problematic dune sands. The addition of fines for improvement of engineering properties of poorly graded sands is a general practice in geotechnical engineering. Deb et al. [21] added plastic and non-plastic fines to the poorly graded sands in varying quantities to study the changes in compaction parameters. They concluded that the addition of fines up to a certain amount increases the maximum dry unit weight of poorly graded sands and the amount of increase depends on the uniformity coefficient value of the sand. In past, various additives have also been employed to improve the properties of dune sand, such as the use of cement and cement bypass dust [21], bentonite [22], ash [23], marble waste [24], biopolymer [1], biopolymer and fibers [25] and fiber reinforcement [26]. Likewise, Park et al. [27] have reported that the addition of more than 20% sand to fines has a noticeable effect on the quick undrained shear strength of the mix. Choo et al. [28] improved the sand by the addition of kaolin clay and reported the critical and limiting fine content, porosity and concept of interfine void ratio. They found that the critical fine content of binary mixture was 40% and limiting fine content was around 80% to achieve optimum compression index and shear modulus of treated soil. Qureshi et al. [24] added fine marble waste powder to dune sand and reported an enhancement in geotechnical properties at a 15% treatment ratio. Cubrinovski et al. [29] reported a decrease in maximum and minimum void ratios with the addition of fines to a certain level (transition zone) up to which fines fill the void. Beyond the transition zone, the void ratio increases because of the replacement of sand particles with fines. It is therefore anticipated that making a binary mixture of fine sediment with poorly graded dune sands has a significant potential to improve their mechanical behavior. This will not only improve the sand lacking fines but also provide a useful application of sediments deposited on the bed of reservoirs. This study provides detailed experimental results and the derived conclusions on using reservoir sediments to improve engineering properties of dune sands in Oman.
2. Materials and Methods
2.1. Dune Sand
Dune sand (DS) was sampled from the northern part of Wahiba which is about 200 km to the south-east of the Capital Muscat (Figure 1a) of Oman and transported to the experimental site in plastic bags. The Northern Wahiba is predominantly a large mega-ridge system, whereas the Southern Wahiba mostly comprises of linear dunes, sand sheets, and sabkha fields. The collected sand sample is classified as poorly graded fine sand (SP) according to the Unified Soil Classification System (USCS) [30]. The sand has a specific gravity (Gs) of 2.62 with fine contents of 3.5%. The standard proctor compaction test gave a maximum dry density (γdmax) of 1.69 g/cm3 at an optimum water content of 17%. The photomicrograph of DS indicates the rounded and semi-angular particle shapes with smooth surfaces (Figure 1c) which are typical particulate characteristics of quartz sand weathered and transported via aeolian processes in deserts [31]. Carbonate sands are present throughout the Wahiba sand area with some quartz-rich sands in the Southern region [32]. The elemental analysis (Table 1) confirmed the presence of elements, calcium, carbon, and oxygen in the sand sampled from the northern ridge.
Figure 1.
(a) Location of Wadi Jezzi dam and Northern Wahiba Sands sampling sites, (b) example sampled reservoir sediments, and example photomicrograph of (c) dune sand (DS) and (d) reservoir sediments (RS). Note the different magnification between images (c,d).
Table 1.
Elemental analysis of the tested material obtained from field emission scanning electron microscope with energy dispersive spectroscopy (EDS).
2.2. Reservoir Sediment
The reservoir sediments (RS) were collected from the reservoir of Wadi Jezzi Dam (Figure 1b) situated a few kilometers to the west of the port city of Sohar, Oman. The sediments were in an intact form at the time of collection and easily transported to the experimental site. The study requires the reconstituted technique of loose specimen preparation, so the sample disturbance was not of much interest. The photomicrograph of the RS is shown in Figure 1d which confirms with the grain size distribution of the sediments presented in Figure 2. Before employing in the experimental phase for this study, the sediments were dried in an oven for 24 h at 105 °C. The elemental composition of the inorganic sediments is presented in Table 1 which shows mainly the presence of oxygen, carbon, silicon and a minor proportion of metals, but does not include the heavy metals which are harmful. The sediments are classified as high plasticity clay (CH) according to USCS [30] with a specific gravity (Gs) of 2.38 and fine contents of 74.1%. The standard proctor compaction test gave a maximum dry density (γdmax) of 1.52 g/cm3 at an optimum water content of 22.5%.
Figure 2.
Particle size distributions of dune sand (DS), reservoir sediment (RS), and the prepared mixes.
2.3. Experimental Program
All the experiments were conducted in accordance with the standards of American Society for Testing and Materials (ASTM). Before preparing the binary mixtures, the sediments were crushed in ball mill and dried in oven at 105 °C for 24 h. The dried reservoir sediment was added to dune sand with mass ratios as 5, 10, 20, 50, 75, 90, and 95% to the dry weight of sand to prepare the dune sand-reservoir sediment (DS-RS) mixtures. The required amount of sediment was added to a dry sand sample passing a 4.75 mm sieve. The sand and sediment were mixed thoroughly until a uniform mixture was achieved. About 10 kg of binary mixture is prepared for each mix ratio and stored in plastic containers at room temperature. The properties of dune sand were used as a reference to assess the validity of measured properties of the sand-sediment mixtures. It is anticipated that the empirical correlations from the experimental data presented in this study can be useful for future research and practicing engineers. Microsoft Excel software was used to develop respective linear, polynomial, and exponential regression models with reasonably high R2 value. The fine content (Fc) increased from 3.5% for the original dune sand to 74.1% for the original reservoir sediment. The data acquired from the gradation analysis has been summarized in Table 2. The results of gradation tests on the sand-sediment mixtures, together with original sand and sediment are presented in Figure 2.
Table 2.
Index properties of dune sand–reservoir sediment mixtures.
3. Results and Discussions
3.1. Index Properties
The maximum (emax) and minimum (emin) void ratios of sand increased by adding sediments (Figure 3). Based on the test data, regression relationships were evaluated to assess emax and emin based on the sediment contents (s). The observations made in this study validate the findings of [29,33] about the void ratio range (Δe = emax − emin) of sands treated with different percentages of fines as shown in Figure 4. Likewise, the void ratio range (Δe = emax − emin) of sand decreased up to 8.8% and then increased with the fine contents, Fc (Figure 5) and the respective regression models for [29] have also been provided.
Figure 3.
Regressions of sediment content and void ratios.
Figure 4.
Comparison of void ratio range, Δe.
Figure 5.
Regressions of fine contents and void ratios.
The consistency (liquid limit (wL), plastic limit (wP), and plasticity index (IP)) of sand-sediment mixtures was determined as per ASTM standard [34]. The effect of sediment contents on the consistency limits and the respective linear regression models have been presented in Figure 6. In general, the addition of sediments increased the plasticity of the dune sand.
Figure 6.
Relationship between Atterberg limits and sediment contents.
3.2. Compaction Tests
The compaction tests were performed in accordance with ASTM Standard test methods for laboratory compaction characteristics of soil using standard effort (600 kN-m/m3) [35]. The maximum dry density (MDD) for each mix type and its corresponding optimal moisture content (OMC) is presented in Figure 7. The effects of sediments contents on compaction characteristics of the sand-sediment mixes have been quantified accordingly (Table 3) and given in Figure 8.
Figure 7.
Moisture density relationships of the dune sand-sediment mixes.
Table 3.
Maximum dry density (MDD) and optimum moisture content (OMC) for each mixture.
Figure 8.
Effects of sediment contents on the compaction characteristics.
It can be observed from Figure 8 that the maximum dry density increases up to sediment contents (s) of 50% with a subsequent decrease in dry density with further increase in sediment contents. This is since initially the fine sediments fill the voids between the sand particles and increase the compatibility of the matrix. However, with fine sediments exceeding an optimum value (50%), the lighter particles of sediments start replacing the relatively heavier sand grains and hence the dry density decreases afterwards. Likewise, the optimum water content decreases till 25% sediment contents and starts increasing afterwards. The reason behind the increase in optimum water content is that larger quantities of water are required to hydrate the increased amount of fine sediment. A similar trend was observed when dune sand was treated with incinerator ash [23] and cement by-pass dust [36].
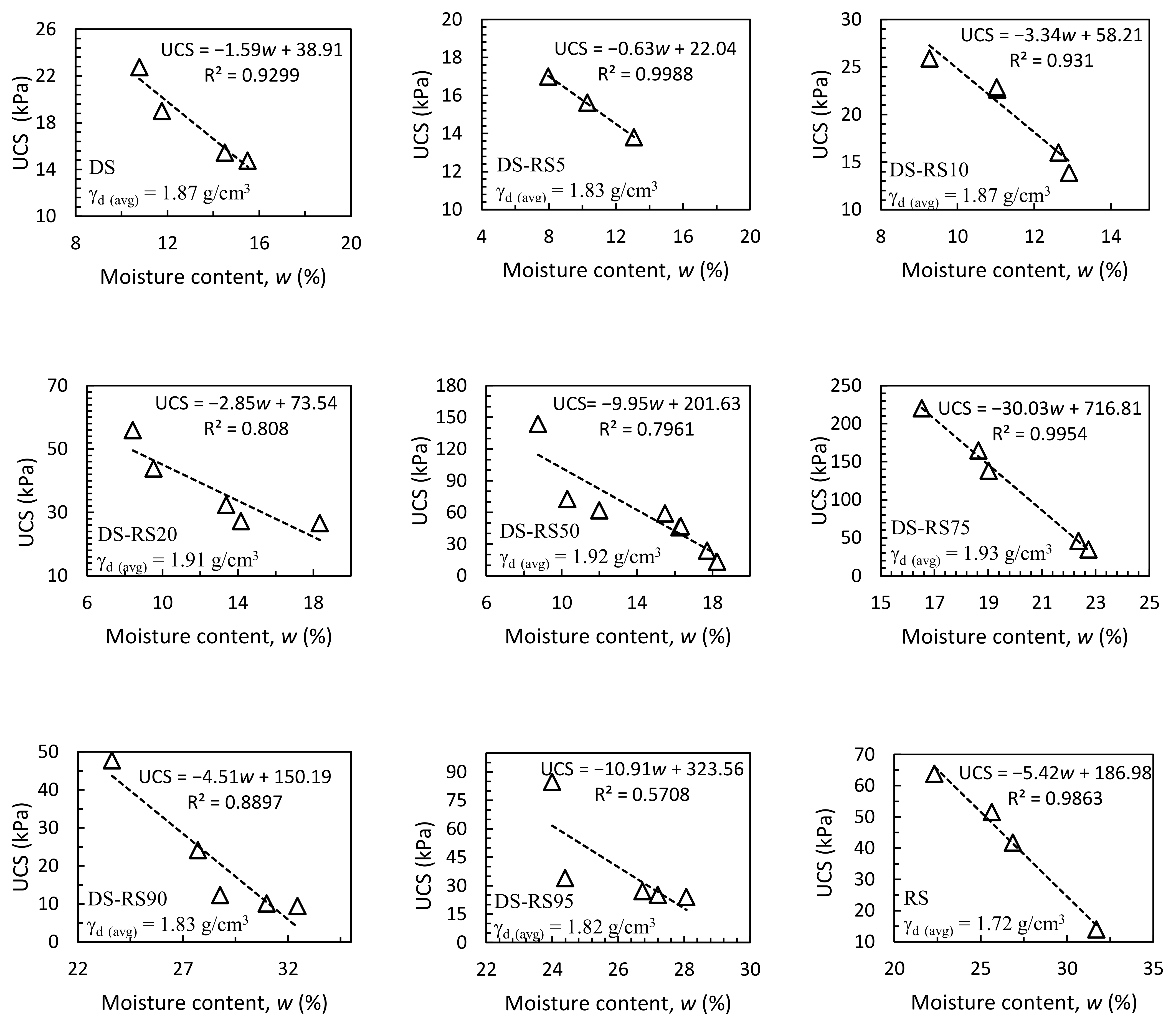
3.3. Unconfined Compression Strength
Unconfined compression strength (UCS) tests were performed as per ASTM standard [37] with an axial strain rate of 1 %/min. The size of sample was 10 cm—height and 5 cm-diameter. A-state-of-the-art automated triaxial compression testing machine was employed to assess the strength. In addition, effect of moisture content is also studied on the UCS of the DS-RS mixtures. To maintain a uniform moisture content inside the specimen, the specimens were confined by the rubber membrane. A large amount of the mixture was prepared for UCS tests at each sediment content to ensure the reproducibility of the test results. Hence, identical samples were tested, and the average value was obtained. The detailed effects of moisture content on unconfined compression strength of each dune sand-reservoir sediment mixture and their corresponding regression models have been presented in Figure 9. Each equation with different parameters outlines the effects of reservoir sediments content on moisture—UCS relationship. A regression model between sediment content and unconfined compressive strength is shown in Figure 10.
Figure 9.
Effect of moisture content on unconfined compressive strength of sand-sediment mixes.
Figure 10.
Effect of sediment content on unconfined compressive strength of specimens.
4. Discussion
Many researchers have developed correlations between OMC and the consistency limits of soil. Sridharan and Nagaraj [38] concluded that the OMC can more strongly be related to the plastic limit rather than liquid limit. According to their study, “a close examination of the plastic limit test procedure reveals that, when the water content is above the plastic limit, the rolled thread will not crumble, even on reaching 3 mm diameter. When the water content is less than the plastic limit, the soil thread will crumble at a diameter more than 3 mm. This suggests that there is an optimum water content at which the soil thread crumbles when the diameter is 3 mm”. As shown in Figure 11, the results of present study are in good agreement with the findings of Sridharan and Nagaraj [38]. Table 4 summarizes the regression models generated from the experimental data presented in this study.
Figure 11.
Relationships of compaction characteristics with consistency limits of sand-sediment mixes (a) OMC versus consistency limits (b) MDD versus consistency limits.
Table 4.
List of important regression models developed.
5. Conclusions
The present study was conducted to investigate the possibility of improving the engineering properties of Al-Sharqia dune sand by the addition of fine reservoir sediments. As a domain of novel low carbon technologies and sustainable development, the environmental issues related to waste management of the dredged sediment and efficient resource utilization by reusing these sediments have been addressed. Samples of dune sand (classified as poorly graded sand) and sediments (classified as high plastic clay) collected from the Al-Sharqia desert and the reservoir of Wadi Jezzi dam in Oman were mixed to study their engineering properties. The sediments were added in percentages by weight of dry sand ranging from 5 to 95%. Laboratory tests such as consistency limits, void ratio, gradation analysis, compaction, and unconfined compression were performed on the binary mixtures as well on pure sand and sediment.
Based on the experimental results presented in this paper, the following conclusions are drawn:
- The sediment substantially increases the unconfined compressive strength of the treated sand. The unconfined compressive strength increases with sediment content up to 75% and decreases afterwards. The binary mixture of sand sediment is sensitive to moisture, however the order of strength stability against moisture is DSS75 > DSS50 > DSS20.
- The addition of sediment in sand has improved the maximum dry density up to a treatment ratio of 50%, however, OMC increases from 17% for pure sand to 22.5% for pure sediment. The OMC shows good correlation with the plastic limit of the binary mixtures of sand and sediment.
- The addition of sediment to sand has improved the uniformity coefficient of the sand to some extent with an increase in the maximum and minimum void ratios as well.
- The elemental analysis of the sediment confirmed the material as non-contaminated and suitable for engineering application without causing any environmental issues.
- The regression models generated from the experimental data presented in this study are in good agreement with the published literature and these empirical correlations can be considered as reliable for dune sands treated with the reservoir sediments to save time and effort involved in laboratory and field testing for engineering characterization of these materials.
Author Contributions
Conceptualization, M.U.Q.; methodology, M.U.Q. and M.A. (Maryam Alsaidi); validation, M.U.Q. and M.A. (Maryam Alsaidi); formal analysis, M.U.Q., M.A. (Mubashir Aziz) and M.A. (Maryam Alsaidi); investigation, M.U.Q. and M.A. (Maryam Alsaidi); resources, M.U.Q. and M.A. (Maryam Alsaidi); data curation, M.U.Q. and M.A. (Mubashir Aziz); writing—original draft preparation, M.U.Q.; writing—review and editing, M.U.Q., M.A. (Mubashir Aziz), A.M.R., I.C., A.M.R. and Z.A.K.; visualization, M.U.Q., M.A. (Mubashir Aziz) and I.C.; supervision, M.U.Q.; project administration, M.U.Q.; funding acquisition, M.U.Q. and M.A. (Maryam Alsaidi). All authors have read and agreed to the published version of the manuscript.
Funding
This research was funded by The Research Council (TRC) Oman, grant number TRC/BFP/SU/01/2019/GRG/02” and the Post-graduate Project Fund at Sohar University, Oman.
Institutional Review Board Statement
Not applicable.
Informed Consent Statement
Not applicable.
Data Availability Statement
The data presented in this study are available on request from the corresponding author.
Acknowledgments
The authors are also indebted to their colleagues at the Sohar University for continuous support during the laboratory experimental programs.
Conflicts of Interest
The authors declare no conflict of interest.
References
- Qureshi, M.U.; Chang, I.; Al-Sadarani, K. Strength and durability characteristics of biopolymer-treated desert sand. Geomech. Eng. 2017. [Google Scholar] [CrossRef]
- Chang, I.; Im, J.; Cho, G.C. Introduction of microbial biopolymers in soil treatment for future environmentally-friendly and sustainable geotechnical engineering. Sustainability 2016, 8, 251. [Google Scholar] [CrossRef]
- Chang, I.; Lee, M.; Tran, A.T.P.; Lee, S.; Kwon, Y.M.; Im, J.; Cho, G.C. Review on biopolymer-based soil treatment (BPST) technology in geotechnical engineering practices. Transp. Geotech. 2020, 24, 100385. [Google Scholar] [CrossRef]
- Adongo, T.A.; Kyei-Baffour, N.; Abagale, F.K.; Agyare, W.A. Assessment of reservoir sedimentation of irrigation dams in northern Ghana. Lake Reserv. Manag. 2020, 36, 87–105. [Google Scholar] [CrossRef]
- Abdalla, O.A.E.; Al-Rawahi, A.S. Groundwater recharge dams in arid areas as tools for aquifer replenishment and mitigating seawater intrusion: Example of AlKhod, Oman. Environ. Earth Sci. 2013, 69, 1951–1962. [Google Scholar] [CrossRef]
- Studds, P.; Miller, Z.M. Sustainable material reuse solutions for dredged sediments. Int. J. Sustain. Eng. 2010, 3, 33–39. [Google Scholar] [CrossRef]
- Shillaber, C.M.; Mitchell, J.K.; Dove, J.E. Energy and Carbon Assessment of Ground Improvement Works. II: Working Model and Example. J. Geotech. Geoenviron. Eng. 2016, 142, 04015084. [Google Scholar] [CrossRef]
- Singh, S.P.; Ma, L.Q.; Tack, F.M.G.; Verloo, M.G. Trace Metal Leachability of Land-Disposed Dredged Sediments. J. Environ. Qual. 2000, 29, 1124–1132. [Google Scholar] [CrossRef][Green Version]
- Mulligan, C.N.; Yong, R.N.; Gibbs, B.F. An evaluation of technologies for the heavy metal remediation of dredged sediments. J. Hazard. Mater. 2001, 85. [Google Scholar] [CrossRef]
- Peng, J.; Song, Y.; Yuan, P.; Cui, X.; Qiu, G. The remediation of heavy metals contaminated sediment. J. Hazard. Mater. 2009, 161. [Google Scholar] [CrossRef]
- Wang, D.; Abriak, N.E.; Zentar, R. Dredged marine sediments used as novel supply of filling materials for road construction. Mar. Georesources Geotechnol. 2017, 35, 472–480. [Google Scholar] [CrossRef]
- Maherzi, W.; Abdelghani, F. Ben Dredged Marine Raw Sediments Geotechnical Characterization for their Reuse in Road Construction. Eng. J. 2014, 18, 27–37. [Google Scholar] [CrossRef]
- Quek, A.; Wu, D.; Xu, W.; Guo, L. Feasibility of Singapore IBA waste for land reclamation. Environ. Geotech. 2017, 4, 56–64. [Google Scholar] [CrossRef]
- Aoual-Benslafa, F.K.; Kerdal, D.; Ameur, M.; Mekerta, B.; Semcha, A. Durability of Mortars Made with Dredged Sediments; Procedia Engineering; Elsevier Ltd.: Amsterdam, The Netherlands, 2015; Volume 118, pp. 240–250. [Google Scholar]
- Karnati, N.V.; Mandavkar, S.; Payne, R. An Innovative Approach to Reuse and Retain Dredged Sediment for Erosion Control Using Geotextile Containers in Ecosystem Restoration. In GeoCongress 2012; American Society of Civil Engineers: Reston, VA, USA, 2012. [Google Scholar]
- Tang, C.-W.; Chen, H.-J.; Wang, S.-Y.; Spaulding, J. Production of synthetic lightweight aggregate using reservoir sediments for concrete and masonry. Cem. Concr. Compos. 2011, 33. [Google Scholar] [CrossRef]
- Di Emidio, D.; Verastegui Flores, R.D.; Bezuijen, A. Reuse of dredged sediments for hydraulic barriers: Adsorption and Hydraulic conductivity improvement through polymers. In Proceedings of the 18th International Conference on Soil Mechanics and Geotechnical Engineering: Challenges and Innovations in Geotechnics, ICSMGE 2013, Paris, France, 2–6 September 2013; Volume 4, pp. 3191–3194. [Google Scholar]
- Grubb, D.G.; Malasavage, N.E.; Smith, C.J.; Chrysochoou, M. Stabilized Dredged Material. II: Geomechanical Behavior. J. Geotech. Geoenviron. Eng. 2010, 136, 1025–1036. [Google Scholar] [CrossRef]
- Bortone, G.; Arevalo, E.; Deibel, I.; Detzner, H.D.; de Propris, L.; Elskens, F.; Giordano, A.; Hakstege, P.; Hamer, K.; Harmsen, J.; et al. Synthesis of the SedNet work package 4 outcomes. J. Soils Sediments 2004, 4, 225–232. [Google Scholar] [CrossRef]
- Smith, B.T.; Howard, I.L.; Vahedifard, F. Lightly cemented dredged sediments for sustainable reuse. Environ. Geotech. 2018, 5, 324–335. [Google Scholar] [CrossRef]
- Deb, K.; Sawant, V.A.; Kiran, A.S. Effects of fines on compaction characteristics of poorly graded sands. Int. J. Geotech. Eng. 2010, 4, 299–304. [Google Scholar] [CrossRef]
- O’Sadnick, D.L.; Simpson, B.E.; Kasel, G.K. Evaluation and performance of a sand/bentonite liner. In Proceedings of the Geoenvironment 2000@ sCharacterization, Containment, Remediation, and Performance in Environmental Geotechnics; New Orleans, LA, USA; ASCE: New York, NY, USA, 1995; pp. 688–701. [Google Scholar]
- Mohamedzein, Y.E.A.; Al-Aghbari, M.Y. The Use of Municipal Solid Waste Incinerator Ash to Stabilize Dune Sands. Geotech. Geol. Eng. 2012, 30, 1335–1344. [Google Scholar] [CrossRef]
- Qureshi, M.U.; Al-Sawafi, B.; Al-Washahi, M.; Al-Saidi, M.; Al-Badi, S. The Sustainable Use of Fine Marble Waste Powder for the Stabilization of Desert Sand in Oman. In Geoenvironmental Engineering. GeoMEast 2017. Sustainable Civil Infrastructures; Springer: Berlin/Heidelberg, Germany, 2018. [Google Scholar] [CrossRef]
- Qureshi, M.U.; Al-Hilly, A.; Al-Zeidi, O.; Al-Barrami, A.; Al-Jabri, A. Vane shear strength of bio-improved sand reinforced with natural fibre. In Proceedings of the 7th International Symposium on Deformation Characteristics of Geomaterials (IS-Glasgow 2019), Glasgow, UK; 2019; Volume 92, p. 12004. [Google Scholar]
- Consoli, N.C.; Vendruscolo, M.A.; Fonini, A.; Rosa, F.D. Fiber reinforcement effects on sand considering a wide cementation range. Geotext. Geomembr. 2009, 27, 196–203. [Google Scholar] [CrossRef]
- Park, T.W.; Kim, H.J.; Tanvir, M.T.; Lee, J.B.; Moon, S.G. Influence of coarse particles on the physical properties and quick undrained shear strength of fine-grained soils. Geomech. Eng. 2018, 14, 99–105. [Google Scholar] [CrossRef]
- Choo, H.; Lee, W.; Lee, C. Compressibility and small strain stiffness of kaolin clay mixed with varying amounts of sand. KSCE J. Civ. Eng. 2017, 21, 2152–2161. [Google Scholar] [CrossRef]
- Cubrinovski, M.; Ishihara, K. Maximum and minimum void ratio characteristics of sands. Soils Found. 2002, 42, 65–78. [Google Scholar] [CrossRef]
- ASTM D2487-17e1 Standard Practice for Classification of Soils for Engineering Purposes (Unified Soil Classification System); ASTM International: West Conshohocken, PA, USA, 2017.
- Khalaf, F.I.; Gharib, I.M. Roundness parameters of quartz grains of Recent aeolian sand deposits in Kuwait. Sediment. Geol. 1985, 45. [Google Scholar] [CrossRef]
- Poulos, H.G. A review of geological and geotechnical features of some Middle Eastern countries. Innov. Infrastruct. Solut. 2018, 3, 51. [Google Scholar] [CrossRef]
- Lade, P.V.; Liggio, C.D.; Yamamuro, J.A. Effects of Non-Plastic Fines on Minimum and Maximum Void Ratios of Sand. Geotech. Test. J. 1998, 21, 336–347. [Google Scholar] [CrossRef]
- ASTM D4318-17e1 Standard Test Methods for Liquid Limit, Plastic Limit, and Plasticity Index of Soils; ASTM International: West Conshohocken, PA, USA, 2017.
- ASTM D698-12e2 Standard Test Methods for Laboratory Compaction Characteristics of Soil Using Standard Effort (12 400 ft-lbf/ft3 (600 kN-m/m3)); ASTM International: West Conshohocken, PA, USA, 2012.
- Al-Aghbari, M.Y.; Mohamedzein, Y.E.-A.; Taha, R. Stabilisation of desert sands using cement and cement dust. Proc. Inst. Civ. Eng. Gr. Improv. 2009, 162, 145–151. [Google Scholar] [CrossRef]
- ASTM D2166/D2166M Standard Test Method for Unconfined Compressive Strength of Cohesive Soil; ASTM International: West Conshohocken, PA, USA, 2016; Volume 4, pp. 1–6.
- Sridharan, A.; Nagaraj, H.B. Plastic limit and compaction characteristics of finegrained soils. Proc. Inst. Civ. Eng. Gr. Improv. 2005, 9. [Google Scholar] [CrossRef]
Publisher’s Note: MDPI stays neutral with regard to jurisdictional claims in published maps and institutional affiliations. |
© 2021 by the authors. Licensee MDPI, Basel, Switzerland. This article is an open access article distributed under the terms and conditions of the Creative Commons Attribution (CC BY) license (http://creativecommons.org/licenses/by/4.0/).










