Next Article in Journal
Classification of Full Text Biomedical Documents: Sections Importance Assessment
Previous Article in Journal
Applications for Microwave Kinetic Induction Detectors in Advanced Instrumentation
 
 
Font Type:
Arial Georgia Verdana
Font Size:
Aa Aa Aa
Line Spacing:
Column Width:
Background:
Article

Investigation of Deformation Inhomogeneity and Low-Cycle Fatigue of a Polycrystalline Material

1
Key Laboratory of Ocean Acoustics and Sensing, School of Marine Science and Technology Northwestern Polytechnical University, Xi’an 710072, China
2
Key Laboratory of Disaster Prevention and Structural Safety, College of Civil and Architectural Engineering, Guangxi University, Nanning 530004, China
3
College of Civil and Architectural Engineering, Nanning University, Nanning 530200, China
*
Authors to whom correspondence should be addressed.
Appl. Sci. 2021, 11(6), 2673; https://doi.org/10.3390/app11062673
Submission received: 31 January 2021 / Revised: 4 March 2021 / Accepted: 8 March 2021 / Published: 17 March 2021
(This article belongs to the Section Materials Science and Engineering)

Abstract

Considering the relationship between inhomogeneous plastic deformation and fatigue damage, deformation inhomogeneity evolution and fatigue failure of superalloy GH4169 under temperature 500 °C and macro tension compression cyclic loading are studied, by using crystal plasticity calculation associated with polycrystalline representative Voronoi volume element (RVE). Different statistical standard deviation and differential entropy of meso strain are used to measure the inhomogeneity of deformation, and the relationship between the inhomogeneity and strain cycle is explored by cyclic numerical simulation. It is found from the research that the standard deviations of each component of the strain tensor at the cyclic peak increase monotonically with the cyclic loading, and they are similar to each other. The differential entropy of each component of the strain tensor also increases with the number of cycles, and the law is similar. On this basis, the critical values determined by statistical standard deviations of the strain components and the equivalent strain, and that by differential entropy of strain components, are, respectively, used as fatigue criteria, then predict the fatigue–life curves of the material. The predictions are verified with reference to the measured results, and their deviations are proved to be in a reasonable range.

1. Introduction

To evaluate the fatigue behavior of metals, we need to have a stress- or strain- fatigue–life curve obtained from a series of fatigue test data by fitting. From the studies by Basquin, Coffin, Manson, Morrow and other researchers, the fatigue–life curve was regarded as the basic information on fatigue characteristics of the material and was used to evaluate the fatigue performance of structures [1]. To reveal the mechanism of fatigue failure and the law of fatigue life of materials, the material fatigue damage was studied, respectively, from the perspectives of phenomenology and microstructure evolution [1,2]. Furthermore, the damage evolution was described by adopting the cumulative specific plastic work (or dissipation hysteresis energy) of the material under cyclic loading [3,4]. Continuum damage mechanics were introduced to reflect the damage effects on constitutive behavior and fatigue failure of the material [5,6,7,8]. The studies were also carried out on the fatigue damage evolution considering the failure mechanism from the micro and meso level [9,10,11,12]. Considering that fatigue failure consists of two stages of microcrack nucleation and growth, the relationship between crystal slip surface and potential crack path and the method for predicting the life of microcrack nucleation were studied [9,11,12]. Additionally, the crystal plasticity was utilized and dealt with damage and micro-structures evolution by extending crystal slip into the analytical model to study the material structure evolutionary processes and the regularity of fatigue failure [13,14,15,16,17].
In a cyclic loading process, the random irregular mesoscale structure and anisotropy of the material cause the meso-level inhomogeneity in mechanical properties. This produces the considerable difference in local strain or stress and may generate the fatigue damage accumulation and potential source of local fatigue failure. The inhomogeneous slip is related to the movement of geometrically necessary dislocations (GNDs) and the local strain gradient. Some crystal plasticity analyses considered these factors and studied the evolution of micropore damage [18,19]. The damage is intrinsic that is hard to observe in test [20]. Some studies were conducted that based on the entropy increasing principle and the irreversibility of material damage [21,22], the introduction of entropy from thermodynamics, informatics or statistical mechanics can be combined with continuum damage mechanics to establish a material fatigue model based on entropy generation rate [23,24,25,26]. To investigate the relationship among the inhomogeneous hysteresis behavior, damage and the fatigue life, the crystal plasticity analysis utilizing representative Voronoi volume element (RVE) models for polycrystals were performed for exploring the mechanism of low-cycle fatigue of metal at the grain level. The fatigue indicator parameter (FIP) is the vital key. It is necessary to characterize the damage and reflect the failure mechanism of the material. Various attempts for this purpose were made. For instance, the local cumulative plastic strain and plastic work were employed as a FIP [27,28,29]. Under stable cyclic loading, the local cumulative plastic strain and specific plastic work at the tension peak of the cycles increase monotonously, in an approximately constant rate. Hence, they can be applied to fatigue damage analysis conveniently, without tracking the whole cyclic process. However, some studies indicated that the critical values of the above two parameters for indicating fatigue failure occurrence vary significantly under different strain amplitudes [28,29]. Zhang et al. performed low-cycle fatigue analysis of pure copper T2 and nickel-based superalloy GH4169, respectively [30,31]. They observed the change in distribution of micro-strains at the cycle’s tension peak, and uneven growth of the distribution with cycles. Based on that, several FIPs to characterize the deformation inhomogeneity were proposed, such as the statistical deviation of the longitudinal strain and the mean or maximum of the first principal strain, etc. [30,31,32]. Additionally, it was found that the growth rates of these FIPs with the cycle number were not linearly in a fairly large range of cycles. Hence, determination of the FIPs requires us to track the whole process of cycles.
For improving and examining the current method further, it is required to investigate the more statistical parameters of different strain quantity to measure the inhomogeneous microstructure evolution or the damage accumulation. In this paper, we conduct the work by taking the nickel-based superalloy GH4169 at 500 °C as the study sample and carry on the investigations by using crystal plasticity calculation associated with polycrystalline RVE: (1) Through tracking the entire strain cycles under different constant strain amplitude, to study the distribution changes in the mesoscopic stress and strain. (2) Studying the law of the inhomogeneity growth of respective strain component, the first principal strain, maximum principal shearing strain and effective strain with the cycles number. (3) Searching and verifying the FIPs suitable to measure fatigue damage accumulation and to predict the fatigue–life curve of the material.

2. Material Model and Crystal Plasticity Model

2.1. Material

The experimental object is superalloy GH4169 at 500 °C. Its chemical composition is shown in reference [33]. Additionally, this material is a precipitation-strengthened nickel-based polycrystal superalloy. It has an approximate equiaxed polycrystalline structure containing different phases. Its matrix phase is FCC (face center cubic) [34]. Figure 1 shows the stable hysteresis loops for the strain amplitude of 0.00451, 0.005, 0.00601, 0.00801, 0.0103, 0.01306, and 0.015, respectively, which reflect the approximate Masing behavior of the material, according to experimental results from refs [33].

2.2. RVE Polycrystalline Material Model

Polycrystalline metal has a structure with randomly arranged grains, when studying its fatigue failure mechanism, the inhomogeneous deformation caused by the anisotropy properties and crystal slip of grain should be taken into consideration. To model the material, referring to the literature [30,31,34], the Voronoi RVE is constructed using a Voronoi polyhedron aggregation, see Figure 2. The RVE consists of 216 grains, divided as 8000 eight-node hexahedral elements, and has 9261 nodes. In RVE, the shape, size and crystal orientation of the grains is numerically generated in a random manner. The model does not include the factors of cracks, micro holes, other metallurgical defects, and their evolution as well. The boundary of adjacent element sets is regarded as the grain boundary, which is a geometric interface fully connected. The RVE is set as a material element, and its apparent response is the same as that of the uniform deformation section of the specimen under strain control. It needs to point that, considering the very large amount of calculation in the fatigue cycle simulation, so it is impossible to set too many grains and elements in the model. Therefore, the model does not consider the reinforcement phase and phase interface inside the grain but uses the approximately equiaxed ideal FCC crystal to simulate the grain. The size effect and the strain gradient influence, which are related to the complex microstructure, are neglected.
The overall response of RVE is approximately isotropic, and Cauchy stress tensor Σ and logarithmic strain tensor E separately equaled to the mean of the local Cauchy stress σ and logarithmic strain ε over the RVE, approximately, and are, respectively, calculated by the load per unit area and displacements of the surfaces. The reference coordinate system chosen is identical to the both macro and micro stress strain tensor components, Σ i j and Ε i j with σ i j and ε i j .
In this paper, the boundary condition is designed as the deformation of RVE surfaces macroscopically consistent with the specimen and maintaining uniaxial stress state. Under the tensile-compressive cyclic loading at specified strain amplitude, the changes in macroscopic strain of the specimen are controlled by the applied loading. The displacement vector u on the RVE boundaries satisfies the equation.
u = F ¯ X
where F ¯ is the overall deformation gradient of the material, and X is the position vector. In Figure 2, the three surfaces of RVE whose outer normal is opposite to the coordinate axis are, respectively, fixed in normal, and the nodes of other surfaces are, respectively, constrained linearly to ensure that the deformed surface keeping planar and the outer normal remains unchanged. The peak values of the measured longitudinal strain Ε a and stress Σ a are approximately constant, respectively. The stretching (longitudinal) direction is parallel to the direction of coordinate axis 3. The macroscopic stress components: Σ i j = 0 , i j ; and Σ i i ¯ = 0 , i 3 (where the subscript index drawn with underline means no sum).
If the periodic boundary condition is used instead of plane assumption, the displacement vector on the boundary must satisfy the equation.
u = F ¯ X + v
where v is a periodic fluctuation vector. To achieve this, we need to change the surface node constraints mentioned above into the linear constraints of the corresponding nodes of the positive and negative surfaces. It allows the parallel surface of the RVE to fluctuate parallelly. In this paper, the periodic boundary condition is only used for the comparison of one example.

2.3. Constitutive Model of Crystal Plasticity

To describe the crystal slip in the grains, the paper adopts the crystal plasticity constitutive model and corresponding integral algorithm suggested in ref. [30]. The fundamentally theoretical framework arises from the works by the pioneer scholars [35,36,37]. The relation between the shear strain rate γ ˙ ( α ) and the shear stress τ ( α ) on the α-slip system is described based on Hutchinson’s power law [38], in which the Bauschinger effect is considered through back-stresses, and nonlinear kinematic hardening is introduced [39]
γ ˙ ( α ) = γ ˙ 0 sgn ( τ ( α ) x ( α ) ) τ ( α ) x ( α ) g ( α ) k
where x ( α ) is the resolved back-stress on the α-slip system; γ ˙ 0 denotes the reference shear rate, regarded as a constant for all the slip systems; k is the rate sensitivity parameter, and g ( α ) defines the yield limit or the elastic domain beyond which the material behaves inelastic. It evolves as [40]
g ˙ ( α ) ( γ ) = β n h α β ( γ ) γ ˙ ( β ) , γ = β n d γ ( β )
where h α β ( γ ) are the hardening moduli. It was proposed that [41]
h α β ( γ ) = h ( γ ) [ q + ( 1 q ) δ α β ]
where q is a constant, and it was suggested that [42]
h ( γ ) = h 0 sech 2 h 0 γ τ s τ 0
where h 0 is the initial hardening rate, τ 0 and τ s are the critical resolved shear stress and its saturation value, respectively. They are regarded as material constants.
The evolution of back-stresses, x ( α ) , is introduced as [30]
x ˙ ( α ) = a γ ˙ ( α ) c   [ 1 e 1 ( 1 exp ( e 2 γ ) ) ]   x ( α ) γ ˙ ( α ) λ x ( α )
where a , c , e 1 , e 2 and λ are material constants. This equation includes three terms, strain hardening term, dynamic recovery term and a static recovery term. By numerical simulations comparing with cyclic tests, the material constants in Equations (3) and (5)– (7) can be identified [30,31].
The initial slip direction vector is m ( α ) , and the initial normal vector is n ( α )  to the slip plane of the slip system α, respectively. Referring to the literature [35,36,37], the Schmid tensor, P ( α ) * , written as
P ( α ) * = 1 2 m ( α ) * n ( α ) * + n ( α ) * m ( α ) *
in which m ( α ) * = F * m ( α ) , n ( α ) * = n ( α ) F * 1 , where F * is the elastic part of the deformation gradient tensor F . Then, the plastic deformation rate tensor can be calculated as
D p = P ( α ) * γ ˙ ( α )
While the resolved shear stress can be calculated as
τ ( α ) = P ( α ) * :   σ
Since the elastic strain is small, the rate-constitutive equation can be expressed as
σ ˙ J = C < 4 > : D * = C < 4 > : D D p
where σ ˙ J is the Jaumann rate of Cauchy stress, C < 4 > is the fourth-order elasticity tensor with respect to the fixed global coordinate axes, D * is elastic part of the deformation rate tensor D . Since the cyclic loading result in the material deformation and rotation, the crystal coordinates axes for every individual point in the grain are rotated along with the changing configuration according to the lattice rotation.
Therefore, the incremental change in the Cauchy stress tensor determined by the material’s constitutive behavior can be calculated as
t + Δ t σ = t σ + C < 4 > : ( Δ ε Δ ε p )
where the increments Δ ε and Δ ε p are calculated by integrating the corresponding rates D and D p .
For details of the numerical implementation as a user-supplied subroutine UMAT in the FE code ABAQUS, see the literature [30].

2.4. Parameter Calibration of Constitutive Model

Material parameters of the above crystal plasticity model are determined (see Table 1) by comparing the tested hysteresis loops, via the trial-and-error by the RVE and the crystal plasticity simulation [30,31]. The elastic constants in Table 1 are determined by referring to the data of the same material at 650 °C [31] and the test data in reference [33]. Figure 3 shows the comparison between the simulated and the test ones, which certifies that with the material parameters of Table 1, the simulation reasonably reproduces the macroscopic hysteresis behavior of the material.

3. Measurements of Deformation Inhomogeneity and Predictions of Fatigue–Life Curve

Based on the model mentioned above, the different measurements of the deformation inhomogeneity at the grain level, and on this basis, the curve predictions of the low-cycle fatigue life are discussed below. The test data of cyclic fatigue life for various strain amplitudes Ε a are showed in Table 2 (from the literature [33]).

3.1. Distribution and Inhomodeneity of Strain and Stress in RVE

Through the numerical simulation tracking cycle one by one for different strain amplitudes, by using the RVE and the crystal plasticity calculation, the distribution transformation of both local stresses σ i j and local strains ε i j in the RVE with the cyclical increase is obtained. The stresses and strains at the grain level in RVE present non-uniformly because the model takes the anisotropic elastoplastic deformation mechanism and random orientation of the grains into account.
Figure 4 displays the contours and distribution of the longitudinal strain and longitudinal stress at the third (close to cycle beginning) and 840th (near to the critical point for failure) tensile peak for strain amplitude 0.01003. Some essential phenomena can be observed from Figure 4 that (1) the distribution of the longitudinal stress and strain is presented inhomogeneous, however the inhomogeneity change in extent with cycles for both is very different; (2) the distribution range of strain with the cycles increasing has an increase more than tenfold, but the distribution range of stress varies little (since the change in stress is determined by Hooke’s law, whereas the elastic strain change is very small relative to the total strain change); (3) both distributions for longitudinal stress and strain are nearly Gauss alike.

3.2. Different Measurement of Statistics of Strain Inhomogeneity

The results above imply that throughout the cycle process, the new non-uniform plastic deformation continuously arises, and the material structure changes geometrically at the grain level (i.e., the microstructure evolution), which can be regarded as the factor leading to material degradation of the ability to resist damage. This urges us to find a method to measure the variation of deformation nonuniformity with cycle number. Since it is able to describe the extent of the inhomogeneity of a physical quantity distribution, the statistical standard deviation (SD) is applied as a fatigue indicator parameter (FIP) to describe fatigue damage. For any strain quantity, x , it is calculated by:
x ^ = k = 1 n RVE x k 2 v k x ¯ 2
where n RVE is the total number of finite elements in the RVE, v k = Δ V k / V , with Δ V k being the volume of k-th element and V the total volume of the RVE. This parameter is applied as the characteristics of the inhomogeneous strain components distribution of the RVE. For tension compression fatigue, SD of the longitudinal strain component can be used as FIP.
Additionally, the inhomogeneity of the deformation can be quantified by using Shannon entropy. The entropy is initially referred to as a probability function characterizing the state of a thermodynamic system and is a measure of system’s disorder. Shannon and Weaver [43] transferred the concept to quantitative measurement of information. For a model such as the RVE, which has the continuous variables, people can adopt the concept of entropy for continuous distribution, which is also referred to as the differential entropy (or continuous entropy). It can calculate as
H = f x log f x d x
where f x denotes the probability density function for a random variable. The differential entropy retains many of the properties of its discrete counterpart, but with some important differences. In an RVE, the interval [ x min , x max ] of the variable x is equally divided into n subintervals [ x i , x i + 1 ], i = 1, 2…, n. That is, the interval [ x i , x i + 1 ] in calculation is taken as a constant and Δ x i = x i + 1 x i = ( x max x min ) / n . Then, the integral of the entropy described by Equation (14) can be numerically calculated according to the following formula for the strain quantity:
H x = i = 1 n p x i Δ x i   log p x i Δ x i   Δ x i ;   p x i 0 .
where p x i is the relative volume fraction, Δ V i / V RVE , of the region where [ x i , x i + 1 ].
When the RVE and crystal plasticity calculation are used to simulate the fatigue cycle process with different strain amplitude, the values of the above parameters (standard deviation and differential entropy) at the corresponding cycle peak can be calculated. Both the statistical standard deviation and differential entropy reflect the disorder degree of a distribution variable. Additionally, they increase numerically with the disorder. It implies the standard deviation and entropy are consistent in irreversibility.

3.3. Fatigue Indicator Parameters (FIPs), Life Prediction and Verification

Next, let us discuss the applicability of the parameters aforementioned on measuring the heterogeneity of strain of material at tension peak under cycles and the correlation between the parameters with fatigue failure.

3.3.1. Inhomogeneity Measurement of Distribution of Different Strain Components

Taking E a as a parametric variable, the curves of SD ε ^ i j ( E a , N ) , ε ^ e q ( E a , N ) , ε ^ 1 ( E a , N ) and ε ^ 13 M ( E a , N ) , which are obtained from simulation, are plotted in Figure 5. They, respectively, reflect the growth of deformation inhomogeneity of the material with the cycle number at tension peak of cycles, under different strain amplitude cycles. The strain quantity ε i j , ε e q , ε 1 and ε 13 M (here, ε 13 M = 1 2 ( ε 1 ε 3 ) ) is strain components, effective strain, first principal strain and maximum principal shear strain, respectively. In the figure, the horizontal axis is logarithmically scaled.
It needs to be emphasized, the curves in Figure 5 show that the heterogeneity and its monotonously increase with the number of cycles are extremely similar, no matter what a measurement adopted for material deformation: strain component, effective strain, first principal strain or maximum principal shear strain.
By applying Equation (15) and taking E a as the parametric variable, the differential entropy curves H ε i j ( E a , N ) for all strain components ε i j are plotted after the simulation tracking the cyclic process, with logarithmically scaled horizontal axes, as showed in Figure 6. One can see that the differential entropies of all strain components increase monotonously with the number of cycles, like the curves of SDs for them. Due to page limitation, the differential entropy curves for effective strain, first principal strain and maximum principal shear strain are omitted here.

3.3.2. The Deformation Inhomogeneity Growing and Fatigue Failure Occurrence Predicting

It can be seen from Section 3.1 that under macro uniform strain loading, the distribution of longitudinal strain component in the material with respect to the tensile peak is like Gaussian (cf. Figure 4). According to the theory of Gaussian distribution, for a variable x > x ¯ + 3 x ^ , the probability is less than 0.07%. Therefore, the maximum value of x can be approximately as,
x max x ¯ + 3 x ^
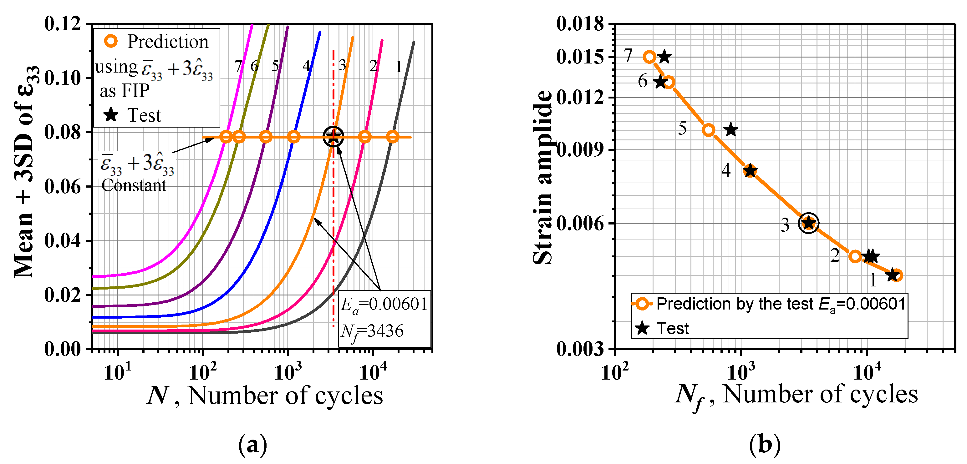
Taking the normal strain ε 33 as an example (its direction is the same as that of the macro loading axis). Its standard deviation curve ε ^ 33 ( E a , N ) is shown in Figure 5a. Additionally, the curves ( ε ¯ 33 + 3 ε ^ 33 , N) corresponding to different strain amplitude cycles are drawn in Figure 7a. For any specified strain amplitude E a , the mean ε ¯ 33 = E a . If the fatigue failure of the material can be determined by the maximum of the strain, this condition approximately corresponds to ε ¯ 33 + 3 ε ^ 33 ε 33 crit .
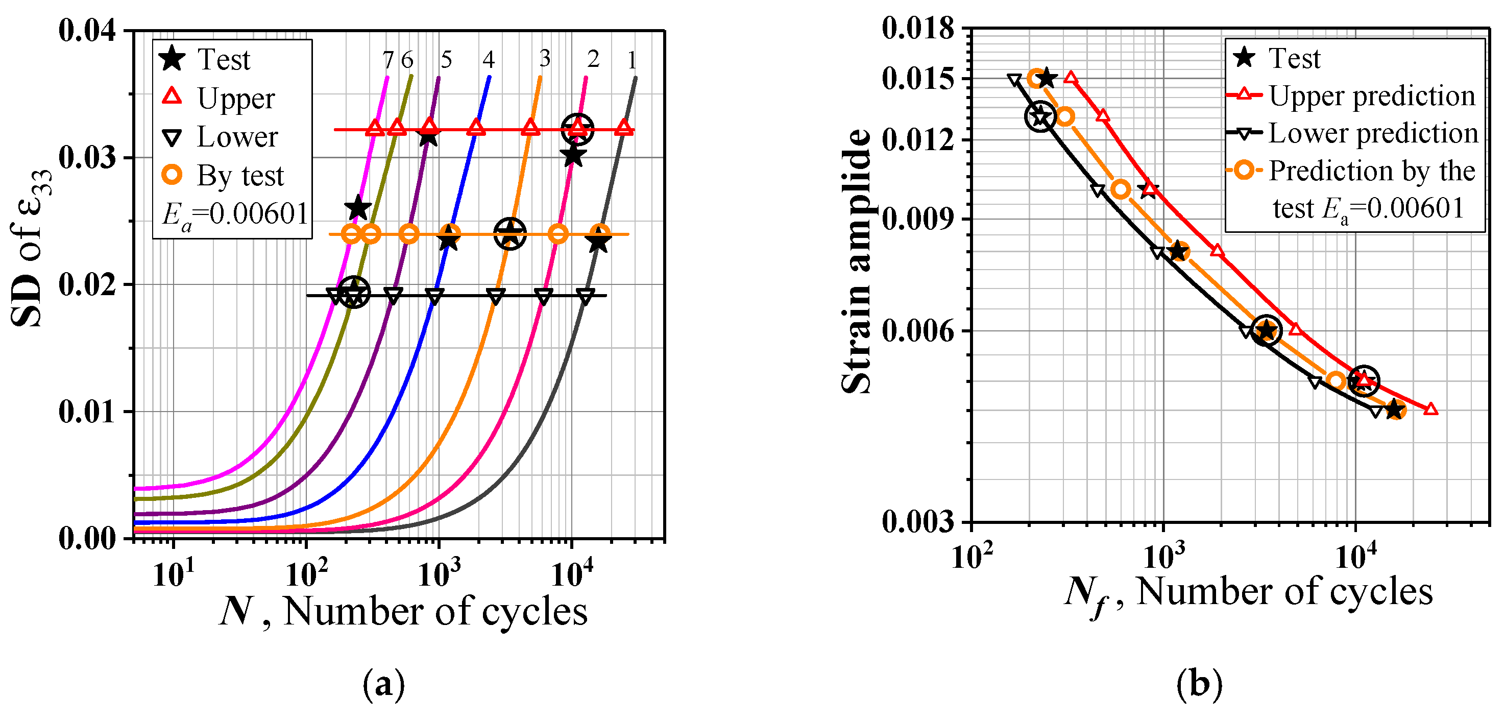
Observing a curve in Figure 7a, for example, the curve of strain amplitude E a = 0.00601, sign the corresponding fatigue failure point by “○” (the black circle), according to the test fatigue life Nf = 3,436. The parametric critical value can be obtained and ε 33 crit 0.078. Then, it is applied as the critical strain value to determine the fatigue lives N f predict of the respective fatigue cycles with various strain amplitude E a . That is, obtain the point sequence ( N f predict , E a ) from the intersection between each curve in Figure 7a and the horizontal line with the ordinate value of 0.078. Thus, the fatigue–life prediction curve shown in Figure 7b can be obtained. Compared with the measured fatigue failure data, the predicted results are reasonable.
Selecting any curve from Figure 7a, a critical value ε 33 crit can be determined. Then, we can use different critical value to obtain different predictions of fatigue–life curve. Hence, it is necessary to check if the different predictions obtained are all reasonable. For this purpose, all the curves ( ε ¯ 33 + 3 ε ^ 33 , N) in Figure 7a are re-drawn in Figure 8a, and the “★” is marked on the corresponding curves to sign the fatigue failure points, according to the measured life value of different strain amplitude cycles. From the figure, the value range of ε 33 crit can be in interval [0.071, 0.1048]. Thus, the point sequence for fatigue–life curves corresponding to the lower bound and upper bound estimation can be obtained from Figure 8a. Comparing them with the measured data in Figure 8b, one can observe that the upper and lower bounds of prediction are reasonable.
The calculated strain value of RVE model is bounded. Whereas, according to ideal Gaussian distribution, the maximum value of the statistical variable tends to infinity, and the maximum deviation from the mean value is far more than three times. Therefore, the maximum value of a statistical variable in Equation (16) may mainly depend on the standard deviation. It means that the criterion of material fatigue failure measured by the maximum of ε 33 is equivalent to ε ^ 33 ε ^ 33 crit .
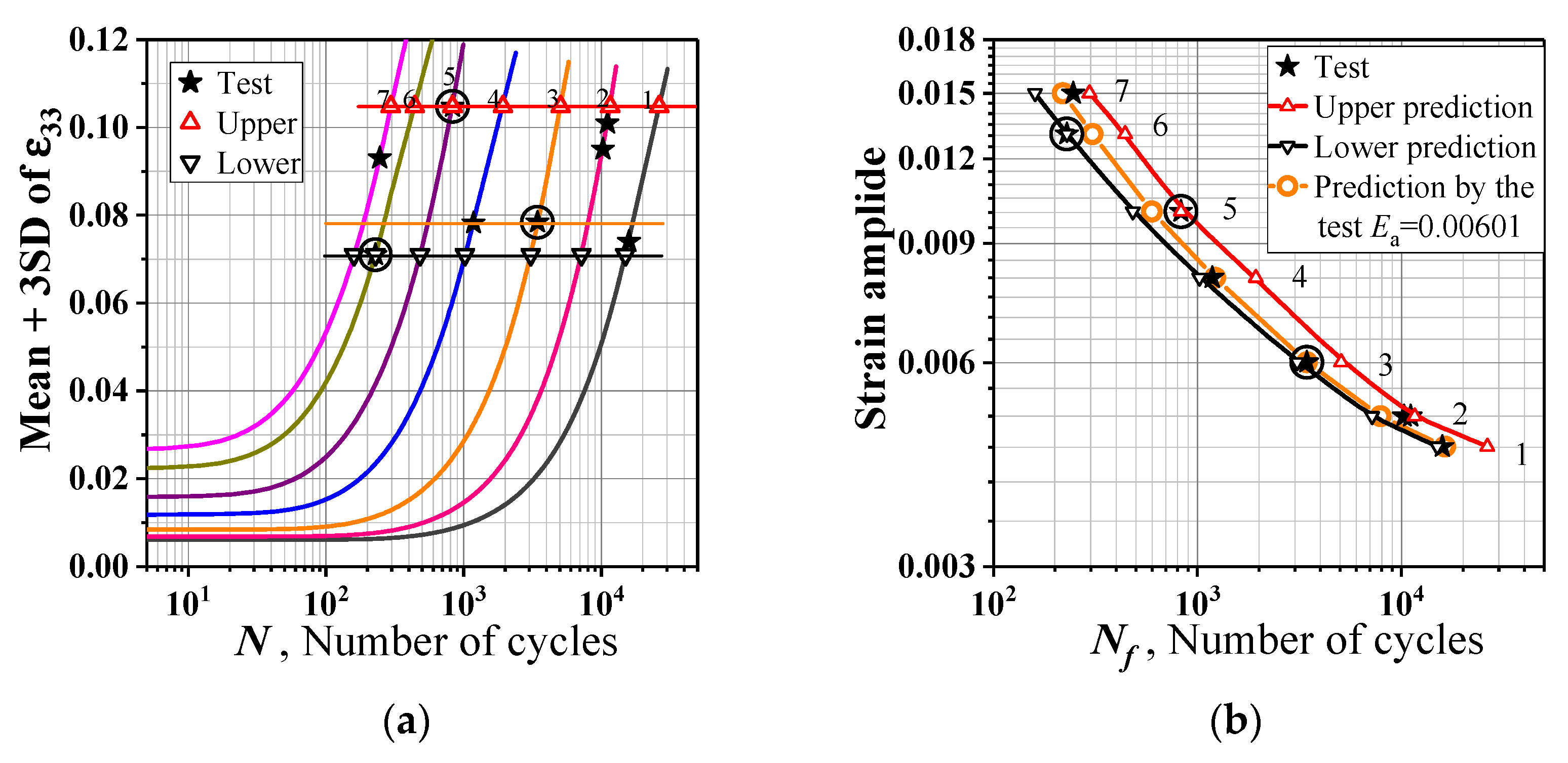
Furthermore, from the similarity of curves in Figure 5, the parameters ε ^ i j , ε ^ eq , ε ^ 1 and ε ^ 13 M obviously can be considered as the FIP used to describe the condition of material fatigue failure. Limited to the space, only the following three conditions ε ^ 33 ε ^ 33 crit , ε ^ 23 ε ^ 23 crit and ε ^ eq ε ^ eq crit are verified for their validity as below. Firstly, determine the minimum and maximum critical values for different FIPs ( ε ^ 33 , ε ^ 23 and ε ^ eq ) and the critical values from the curves of E a = 0.00601. Secondly, apply them to determine the corresponding point sequences ( N f predict , E a ) ; then, draw out the corresponding fatigue–life curves of the material, see Figure 9, Figure 10 and Figure 11. Checking Figure 9b, Figure 10b and Figure 11b, and comparing all the predicted with the measured results, one can observe that the predicted ones are reasonable.
Therefore, it can be regarded that the growth and accumulation of deformation inhomogeneity are the main mechanism leading to the low cycle fatigue failure of materials for tension compression cycles. Thus, the fatigue–life curve can be predicted using the above method and parameters by polycrystalline RVE combined with crystal plasticity calculation.
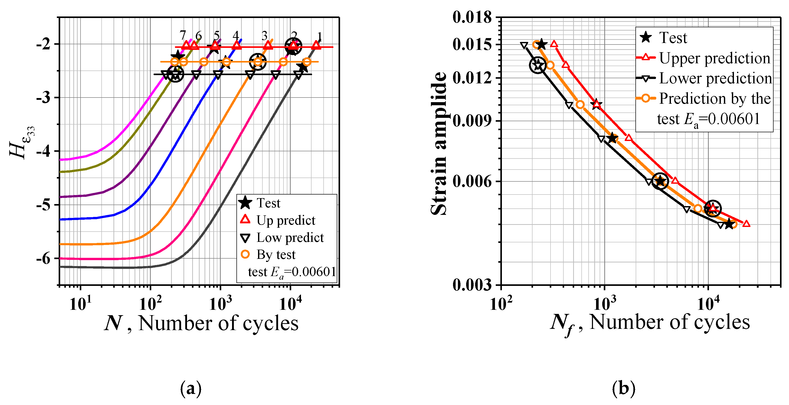
Additionally, let us see if the differential entropy is used to measure the inhomogeneity of material deformation, whether it can be used to predict the fatigue–life curve. This is like the previous discussion. Because of the similarity of differential entropy curves of all strain components in Figure 6, it can be considered H ε i j as FIPs. That is, it can be assumed that the condition of material fatigue failure is H ε i j H ε i j crit . Due to limited space, the following only discusses the rationality of the condition H ε 33 H ε 33 crit for fatigue judging.
In Figure 12, it can be seen that, the minimum and maximum critical values and the critical values determined by E a = 0.00601 cycle for H ε 33 are taken respectively, then the corresponding point sequence ( N f predict , E a ) is determined (see Figure 12a) and the prediction curve of material fatigue life is drawn (see Figure 12b). The above results show that the fatigue–life curve can be reasonably predicted by using differential entropy as FIP. This further proves that it is feasible to predict the low cycle fatigue failure of materials by the accumulation of inhomogeneous deformation.
3.3.3. Validation
It can be viewed in Section 3.3.2 that after cycle simulation, according to the life data measured by the test of one strain amplitude cycles test, one point sequence of fatigue life and strain amplitude ( N f predict , E a ) , that is, one fatigue–life curve, can be predicted. Therefore, different strain amplitude tests will give different fatigue curve predictions. For example, three prediction curves for each FIP are determined in the section above. Including upper and lower bound curve prediction, and curve prediction based on the test at strain amplitude of 0.00601, see Figure 8b, Figure 9b, Figure 10b, Figure 11b and Figure 12b, respectively. The predicted values (ordinate) and measured values (abscissa) in these figures are plotted in Figure 13c, and the predictions made with different FIPs are given, respectively: (a) the prediction according to the test at strain amplitude 0.00601; (b) the upper bound prediction; (c) the lower bound prediction. They, respectively, show the deviation between the predicted and the measured fatigue life. It can be seen from the figure that the predicted results are within the interval factor of 2, except for one point predicted by the upper bound of the fatigue failure criterion, see Figure 13b. It implies that this method is able to rationally predict fatigue–life curves, according to the FIP critical value, which determined using fatigue tests of any single specified strain amplitude.
In the above study, only one RVE model was used, so it is necessary to discuss the dependency of RVE of the method. It involves the reproducibility of this method, that is, whether similar results can be reproduced by another random model generated by the same method. In reference [31], the RVEs with the same grain number but finite element number of 8000, 27,000 and 64,000 were calculated, respectively. Although the local stress and strain in RVE vary with the finite element size, the statistical mean strain value of the model remains unchanged, and the statistical standard deviation only increases slightly with the decrease in the element size. To further discuss this problem, let the loading of RVE changed from the axis-3 to axis-1 direction. This change makes the polycrystalline structure and grain orientation in the model vary greatly. Taking the fatigue cycle analysis with a strain amplitude of 0.01003 as an example, the difference in results between the two simulations is compared. As can be seen from the results in Figure 14, the statistical standard deviation only slightly changes in value, while the law of the result curve does not change. Therefore, under the condition of this paper, the change in the above model has no obvious effect on the fatigue judgment.
In the calculation above, boundary conditions of RVE deformation by Equation (1) are shown. In the following, we use the periodic boundary conditions described by Equation (2) for calculation and compare the results with the above. Similarly, fatigue cycle analysis with a strain amplitude of 0.01003 is taken as an example, and it is loaded in the direction axis 1. The calculated statistical standard deviation curve is also presented in Figure 14, from which it can be observed that the statistical standard deviation difference between the results by two boundary conditions is also very small. Therefore, if the periodic boundary conditions are used for all strain amplitude cycles, similar results will be obtained.

4. Discussion and Conclusions

In this paper, deformation inhomogeneity evolution at the grain level of a superalloy GH4169 under macro uniform tension compression cyclic loading and temperature 500 °C is studied by using polycrystalline RVE associated with crystal plasticity simulation. Based on the statistical parameters of standard deviation and differential entropy ε ¯ 33 + 3 ε ^ 33 , ε ^ 33 , ε ^ 23 , ε ^ eq and H ε 33 , the various FIPs are taken into account as the measurement of deformation inhomogeneity. Additionally, the relationship between the FIPs and low cycle fatigue of materials is discussed. These monotonically increased parameters reflect the irreversible inhomogeneity of the material deformation and the evolution of material microstructure with the number of cycles. Furthermore, criteria using these parameters’ critical values are applied to predict the strain fatigue–life curve of the material. Based on these investigations, we conclude:
(1)
At grain level, the standard deviation ε ^ i j and differential entropy H ε i j of the respective strain tensor component ε i j increase monotonously with the cycle. The standard deviation values of each strain component are almost the same, and the law of their growth with the increase in cycle number is similar. The values of components of differential entropy H ε i j are close to each other, and the law of that with the number of cycles is also similar.
(2)
The respective standard deviations of the effective strain ε ^ eq , first principal strain ε ^ 1 and maximum principal shear strain ε ^ 13 M are similar in numerical and growth law with the number of cycles.
(3)
The parameters ε ¯ 33 + 3 ε ^ 33 , ε ^ 33 , ε ^ 23 , ε ^ eq and H ε 33 can be used as fatigue index parameters, and the corresponding critical values can be determined by a single strain amplitude cycle fatigue test, based on which the fatigue–life curve can be predicted.
It should be pointed out that (1) from conclusions 1 and 2, all components for ε ^ i j , and ε ^ 1 and ε ^ 13 M can be used as FIPs and for use for fatigue–life curve prediction, but the detailed results are not shown due to the limited space. This result implies that the proposed method may be also effective under the loading condition of complicated stress state. (2) The FEM is used to analyze, and the calculation results may be affected by the size of mesh to a certain extent. The numerical results may be different with mesh sizes varying, but the regularity of the results will preserve unchanged [23].

Author Contributions

Conceptualization, M.-H.Z. and K.-S.Z.; methodology, K.-S.Z.; software, L.H.; validation, L.H. and K.-S.Z.; formal analysis, L.H. and K.-S.Z.; investigation, M.-H.Z. and L.H.; resources, X.-H.S., and K.-S.Z.; data curation, L.H., M.-H.Z. and K.-S.Z.; writing—original draft preparation, L.H., M.-H.Z. and K.-S.Z.; writing—review and editing, L.H., M.-H.Z., X.-H.S., and K.-S.Z.; visualization, L.H. and K.-S.Z.; supervision, X.-H.S. and K.-S.Z.; project administration, X.-H.S. and K.-S.Z.; funding acquisition, X.-H.S. and K.-S.Z. All authors have read and agreed to the published version of the manuscript.

Funding

This research was funded by the National Natural Scientific Foundation of China, grant number 11632007, 62031021 and 11472085. The APC was funded by X.-H.S.

Institutional Review Board Statement

Not applicable.

Informed Consent Statement

Not applicable.

Data Availability Statement

The raw/simulation data required to reproduce these findings cannot be shared at this time as the data is too much and it also forms part of an ongoing study.

Acknowledgments

This research was supported by the National Natural Scientific Foundation of China (Fund Nos. 11632007, 62031021 and 11472085). These financial supports are gratefully acknowledged.

Conflicts of Interest

The authors declare no conflict of interest. The funders had no role in the design of the study; in the collection, analyses, or interpretation of data; in the writing of the manuscript; or in the decision to publish the results.

References

  1. Stephens, R.I.; Fatemi, A.; Stephens, R.R.; Fuchs, H.O. Cyclic deformation and the strain-life (ε-N) approach. In Metal Fatigue in Engineering, 2nd ed.; Stephens, R.I., Fatemi, A., Stephens, R.R., Fuchs, H.O., Eds.; John Wiley & Sons, Inc.: New York, NY, USA, 2001; pp. 93–121. [Google Scholar]
  2. Ulewicz, R.; Nový, F.; Novák, P.; Palček, P. The investigation of the fatigue failure of passenger carriage draw-hook. Eng. Fail. Anal. 2019, 104, 609–616. [Google Scholar] [CrossRef]
  3. Sarkar, P.P.; De, P.S.; Dhua, S.K.; Chakraborti, P.C. Strain energy based low cycle fatigue damage analysis in a plain C-Mn rail steel. Mater. Sci. Eng. A 2017, 707, 125–135. [Google Scholar] [CrossRef]
  4. Mroziński, S. Energy-based method of fatigue damage cumulation. Int. J. Fatigue 2019, 121, 73–83. [Google Scholar] [CrossRef]
  5. Chaboche, J.L.; Kanouté, P.; Azzouz, F. Cyclic inelastic constitutive equations and their impact on the fatigue life predictions. Int. J. Plasticity 2012, 35, 44–66. [Google Scholar] [CrossRef]
  6. Naderi, M.; Hoseini, S.H.; Khonsari, M.M. Probabilistic simulation of fatigue damage and life scatter of metallic components. Int. J. Plasticity 2013, 43, 101–115. [Google Scholar] [CrossRef]
  7. Sistaninia, M.; Niffenegger, M. Prediction of damage-growth based fatigue life of polycrystalline materials using a microstructural modeling approach. Int. J. Fatigue 2014, 66, 118–126. [Google Scholar] [CrossRef]
  8. Ma, S.; Yuan, H. A continuum damage model for multi-axial low cycle fatigue of porous sintered metals based on the critical plane concept. Mech. Mater. 2017, 104, 13–25. [Google Scholar] [CrossRef]
  9. Tanaka, K.; Mura, T. A dislocation model for fatigue crack initiation. J. Appl. Mech. 1981, 48, 97–103. [Google Scholar] [CrossRef]
  10. Steglich, D.A.; Pirondi, A.N.; Bonora, N.; Brocks, W. Micromechanical modelling of cyclic plasticity incorporating damage. Int. J. Solids Struct. 2005, 42, 337–351. [Google Scholar] [CrossRef]
  11. Kramberger, J.; Jezernik, N.; Göncz, P.; Glodež, S. Extension of the Tanaka–Mura model for fatigue crack initiation in thermally cut martensitic steels. Eng. Fract. Mech. 2010, 77, 2040–2050. [Google Scholar] [CrossRef]
  12. Briffod, F.; Shiraiwa, T.; Enoki, M. Microstructure modeling and crystal plasticity simulations for the evaluation of fatigue crack initiation in α-iron specimen including an elliptic defect. Mater. Sci. Eng. A 2017, 695, 165–177. [Google Scholar] [CrossRef]
  13. Cheong, K.S.; Busso, E.P. Effects of lattice misorientations on strain heterogeneities in FCC polycrystals. J. Mech. Phys. Solids 2006, 54, 671–689. [Google Scholar] [CrossRef]
  14. Dunne, F.P.E.; Wilkinson, A.J.; Allen, R. Experimental and computational studies of low cycle fatigue crack nucleation in a polycrystal. Int. J. Plasticity 2007, 23, 273–295. [Google Scholar] [CrossRef]
  15. Wan, V.V.C.; Jiang, J.; MacLachlan, D.W.; Dunne, F.P.E. Microstructure-sensitive fatigue crack nucleation in a polycrystalline Ni superalloy. Int. J. Fatigue 2016, 90, 181–190. [Google Scholar] [CrossRef]
  16. Dabiri, M.; Lindroos, M.; Andersson, T.; Afkhami, S.; Laukkanen, A.; Björk, T. Utilizing the theory of critical distances in conjunction with crystal plasticity for low-cycle notch fatigue analysis of S960 MC high-strength steel. Int. J. Fatigue 2018, 117, 257–273. [Google Scholar] [CrossRef]
  17. Farooq, H.; Cailletaud, G.; Forest, S.; Ryckelynck, D. Crystal plasticity modeling of the cyclic behavior of polycrystalline aggregates under non-symmetric uniaxial loading: Global and local analyses. Int. J. Plasticity 2020, 126, 102619. [Google Scholar] [CrossRef]
  18. Li, D.F.; Barrett, R.A.; O’Donoghue, P.E.; O’Dowd, N.P.; Leen, S.B. A multi-scale crystal plasticity model for cyclic plasticity and low-cycle fatigue in a precipitate-strengthened steel at elevated temperature. J. Mech. Phys. Solids 2017, 101, 44–62. [Google Scholar] [CrossRef]
  19. Ling, C.; Forest, S.; Besson, J.; Tanguy, B.; Latourte, F. A reduced micromorphic single crystal plasticity model at finite deformations. Application to strain localization and void growth in ductile metals. Int. J. Solids Struct. 2018, 134, 43–69. [Google Scholar] [CrossRef]
  20. Shi, C.S.; Zeng, B.; Liu, G.L.; Zhang, K.S. Remaining life assessment for steel after low-cycle fatigue by surface crack image. Materials 2019, 12, 823. [Google Scholar] [CrossRef] [PubMed]
  21. Basaran, C.; Nie, S. An irreversible thermodynamic theory for damage mechanics of solids. Int. J. Damage Mech. 2004, 13, 205–224. [Google Scholar] [CrossRef]
  22. Egner, W.; Sulich, P.; Mroziński, S.; Egner, H. Modeling thermo-mechanical cyclic behavior of P91 steel. Int. J. Plasticity 2020, 135, 102820. [Google Scholar] [CrossRef]
  23. Wang, J.D.; Yao, Y. An Entropy-Based Failure Prediction Model for the Creep and Fatigue of Metallic Materials. Entropy 2019, 21, 1104. [Google Scholar] [CrossRef]
  24. Naderi, M.; Amiri, M.; Khonsari, M.M. On the thermodynamic entropy of fatigue fracture. Proc. R. Soc. A 2010, 466, 423–438. [Google Scholar] [CrossRef]
  25. Yun, H.; Modarres, M. Measures of Entropy to Characterize Fatigue Damage in Metallic Materials. Entropy 2019, 21, 804. [Google Scholar] [CrossRef]
  26. Young, C.; Subbarayan, G. Maximum Entropy Models for Fatigue Damage in Metals with Application to Low-Cycle Fatigue of Aluminum 2024-T351. Entropy 2019, 21, 967. [Google Scholar] [CrossRef]
  27. Sweeney, C.A.; O’Brien, B.; Dunne, F.P.E.; McHugh, P.E.; Leen, S.B. Strain-gradient modelling of grain size effects on fatigue of CoCr alloy. Acta Mater. 2014, 78, 341–353. [Google Scholar] [CrossRef]
  28. Cruzado, A.; Lucarini, S.; LLorca, J.; Segurado, J. Microstructure-based fatigue life model of metallic alloys with bilinear Coffin-Manson behavior. Int. J. Fatigue 2018, 107, 40–48. [Google Scholar] [CrossRef]
  29. Lucarini, S.; Segurado, J. An upscaling approach for micromechanics based fatigue: From RVEs to specimens and component life prediction. Int. J. Fract. 2020, 223, 93–108. [Google Scholar] [CrossRef]
  30. Zhang, K.S.; Shi, Y.K.; Ju, J.W. Grain-level statistical plasticity analysis on strain cycle fatigue of a fcc metal. Mech. Mater. 2013, 64, 76–90. [Google Scholar] [CrossRef]
  31. Zhang, K.S.; Ju, J.W.; Li, Z.; Bai, Y.L.; Brocks, W. Micromechanics based fatigue life prediction of a polycrystalline metal applying crystal plasticity. Mech. Mater. 2015, 85, 16–37. [Google Scholar] [CrossRef]
  32. Zhang, M.H.; Shen, X.H.; He, L.; Zhang, K.S. Application of differential entropy in characterizing the deformation inhomogeneity and life prediction of low-cycle fatigue of metals. Materials 2018, 11, 1917. [Google Scholar] [CrossRef] [PubMed]
  33. Wu, X.R.; Yang, S.J.; Han, X.P.; Liu, S.L.; Liu, Q.S.; Lu, K.R.; Li, J.N.; Guan, H.R.; Feng, D. Data Manual for Materials of Aero-Engine, Aircraft Engine Design Data Manual for Materials; Aviation Industry Press: Beijing, China, 2008. (In Chinese) [Google Scholar]
  34. Li, H.Y.; Kong, Y.H.; Chen, G.S.; Xie, L.X.; Zhu, S.G.; Sheng, X. Effect of different processing technologies and heat treatments on the microstructure and creep behavior of GH4169 superalloy. Mater. Sci. Eng. A 2013, 582, 368–373. [Google Scholar] [CrossRef]
  35. Hill, R.; Rice, J.R. Constitutive analysis of elastic-plastic crystal at arbitrary strain. J Mech Phys Solids 1972, 20, 401–413. [Google Scholar] [CrossRef]
  36. Asaro, R.J.; Rice, J.R. Strain localization in ductile single crystals. J. Mech. Phys. Solids 1977, 25, 309–338. [Google Scholar] [CrossRef]
  37. Peirce, D.; Asaro, R.J.; Needleman, A. Material rate dependence and localized deformation in crystalline solids. Acta Metall. 1983, 31, 1951–1976. [Google Scholar] [CrossRef]
  38. Hutchinson, J.W. Bounds and self-consistent estimates for creep of polycrystalline materials. Proc. R. Soc. Lond. Ser. A 1976, 348, 101–127. [Google Scholar]
  39. Feng, L.; Zhang, G.; Zhang, K.S. Discussion of cyclic plasticity and viscoplasticity of single crystal nickel-based superalloy in large strain analysis: Comparison of anisotropic macroscopic model and crystallographic model. Int. J. Mech. Sci. 2004, 46, 1157–1171. [Google Scholar]
  40. Pan, J.; Rice, J.R. Rate sensitivity of plastic flow and implications for yield-surface vertices. Int. J. Solids Struct. 1983, 19, 973–987. [Google Scholar] [CrossRef]
  41. Hutchinson, J.W. Elastic-plastic behaviour of polycrystalline metals and composites. Proc. R. Soc. Lond. Ser. A 1970, 319, 247–272. [Google Scholar]
  42. Chang, Y.W.; Asaro, R.J. An experimental study of shear localization in aluminum-copper single crystals. Acta Metall. 1981, 29, 241–257. [Google Scholar] [CrossRef]
  43. Shannon, C.E.; Weaver, W. The Mathematical Theory of Communication; University of Illinois Press: Champaign, IL, USA, 1964; pp. 81–108. [Google Scholar]
Figure 1. Steady stress–strain loops of GH4169 at 500 °C (according to the test data from ref. [33]).
Figure 1. Steady stress–strain loops of GH4169 at 500 °C (according to the test data from ref. [33]).
Applsci 11 02673 g001
Figure 2. Local and overall stresses and strains of the representative Voronoi volume element (RVE).
Figure 2. Local and overall stresses and strains of the representative Voronoi volume element (RVE).
Applsci 11 02673 g002
Figure 3. Simulative and experimental steady hysteresis loops.
Figure 3. Simulative and experimental steady hysteresis loops.
Applsci 11 02673 g003
Figure 4. Contours and statistical distribution of the longitudinal strain and stress at tension peak for strain amplitude 0.01003: (a,b) for longitudinal strain at 3rd and 840th cycle, respectively; (c,d) for longitudinal stress at 3rd and 840th cycle, respectively.
Figure 4. Contours and statistical distribution of the longitudinal strain and stress at tension peak for strain amplitude 0.01003: (a,b) for longitudinal strain at 3rd and 840th cycle, respectively; (c,d) for longitudinal stress at 3rd and 840th cycle, respectively.
Applsci 11 02673 g004aApplsci 11 02673 g004b
Figure 5. The curves of SDs under different strain amplitude vs. cycle number: (a) for normal strains ε ^ 11 ( E a , N ) , ε ^ 22 ( E a , N ) and ε ^ 33 ( E a , N ) ; (b) for shear strains ε ^ 12 ( E a , N ) , ε ^ 13 ( E a , N ) and ε ^ 23 ( E a , N ) ; (c) for effective strain ε ^ e q ( E a , N ) , first principal strain ε ^ 1 ( E a , N ) and maximum principal shear strain ε ^ 13 M ( E a , N )
Figure 5. The curves of SDs under different strain amplitude vs. cycle number: (a) for normal strains ε ^ 11 ( E a , N ) , ε ^ 22 ( E a , N ) and ε ^ 33 ( E a , N ) ; (b) for shear strains ε ^ 12 ( E a , N ) , ε ^ 13 ( E a , N ) and ε ^ 23 ( E a , N ) ; (c) for effective strain ε ^ e q ( E a , N ) , first principal strain ε ^ 1 ( E a , N ) and maximum principal shear strain ε ^ 13 M ( E a , N )
Applsci 11 02673 g005aApplsci 11 02673 g005b
Figure 6. The curves of differential entropies at different strain amplitude cycle vs. cycle number: (a) differential entropies of normal strains, H ε 11 ( E a , N ) , H ε 22 ( E a , N ) and H ε 33 ( E a , N ) ; (b) differential entropies of shear strains, H ε 12 ( E a , N ) , H ε 13 ( E a , N ) and H ε 23 ( E a , N ) .
Figure 6. The curves of differential entropies at different strain amplitude cycle vs. cycle number: (a) differential entropies of normal strains, H ε 11 ( E a , N ) , H ε 22 ( E a , N ) and H ε 33 ( E a , N ) ; (b) differential entropies of shear strains, H ε 12 ( E a , N ) , H ε 13 ( E a , N ) and H ε 23 ( E a , N ) .
Applsci 11 02673 g006
Figure 7. (a) Determining the critical value ε 33 crit , by the intersection between curve of ε ¯ 33 + 3 ε ^ 33 ( E a = 0.00601) and dot dash line (Nf, test fatigue–life); determining the point sequence ( N f predict , E a ) , by the intersection between each curve and the horizontal line ε ¯ 33 + 3 ε ^ 33 = 0.078 ; (b) predicted fatigue–life curve and its comparison with tests.
Figure 7. (a) Determining the critical value ε 33 crit , by the intersection between curve of ε ¯ 33 + 3 ε ^ 33 ( E a = 0.00601) and dot dash line (Nf, test fatigue–life); determining the point sequence ( N f predict , E a ) , by the intersection between each curve and the horizontal line ε ¯ 33 + 3 ε ^ 33 = 0.078 ; (b) predicted fatigue–life curve and its comparison with tests.
Applsci 11 02673 g007
Figure 8. Verification of fatigue indicator parameter (FIP) ε ¯ 33 + 3 ε ^ 33 : (a) determining upper and lower of critical value and determining point sequences ( N f predict , E a ) ; (b) predicted fatigue–life curves and their comparison with tests.
Figure 8. Verification of fatigue indicator parameter (FIP) ε ¯ 33 + 3 ε ^ 33 : (a) determining upper and lower of critical value and determining point sequences ( N f predict , E a ) ; (b) predicted fatigue–life curves and their comparison with tests.
Applsci 11 02673 g008
Figure 9. Verification of FIP ε ^ 33 ( E a ) : (a) determining upper and lower of critical value and determining point sequences ( N f predict , E a ) ; (b) predicted fatigue–life curves and their comparison with tests.
Figure 9. Verification of FIP ε ^ 33 ( E a ) : (a) determining upper and lower of critical value and determining point sequences ( N f predict , E a ) ; (b) predicted fatigue–life curves and their comparison with tests.
Applsci 11 02673 g009
Figure 10. Verification of FIP ε ^ 23 ( E a ) : (a) determining upper and lower of critical value and determining point sequences ( N f predict , E a ) ; (b) predicted fatigue–life curves and their comparison with tests.
Figure 10. Verification of FIP ε ^ 23 ( E a ) : (a) determining upper and lower of critical value and determining point sequences ( N f predict , E a ) ; (b) predicted fatigue–life curves and their comparison with tests.
Applsci 11 02673 g010
Figure 11. Verification of FIP ε ^ eq ( E a ) : (a) determining upper and lower of critical value and determining point sequences ( N f predict , E a ) ; (b) predicted fatigue–life curves and their comparison with tests. ( N f predict , E a ) .
Figure 11. Verification of FIP ε ^ eq ( E a ) : (a) determining upper and lower of critical value and determining point sequences ( N f predict , E a ) ; (b) predicted fatigue–life curves and their comparison with tests. ( N f predict , E a ) .
Applsci 11 02673 g011
Figure 12. Verification of FIP H ε 33 : (a) determining upper and lower of critical value and determining point sequences ( N f predict , E a ) ; (b) predicted fatigue-life curves and their comparison with tests.
Figure 12. Verification of FIP H ε 33 : (a) determining upper and lower of critical value and determining point sequences ( N f predict , E a ) ; (b) predicted fatigue-life curves and their comparison with tests.
Applsci 11 02673 g012
Figure 13. Validation of fatigue lives predicted by applying FIPs ε ¯ 33 + 3 ε ^ 33 , ε ^ 33 , ε ^ 23 , ε ^ eq and H ε 33 : (a) the critical values determined according to the fatigue test at the strain amplitude cycle of 0.00601; (b) the upper prediction; (c) the lower prediction.
Figure 13. Validation of fatigue lives predicted by applying FIPs ε ¯ 33 + 3 ε ^ 33 , ε ^ 33 , ε ^ 23 , ε ^ eq and H ε 33 : (a) the critical values determined according to the fatigue test at the strain amplitude cycle of 0.00601; (b) the upper prediction; (c) the lower prediction.
Applsci 11 02673 g013
Figure 14. The curves of SD at strain amplitude 0.00601 vs. cycle number under different conditions: loading on axis-3 and on axis-1 and loading on axis-1 adopting periodic boundary conditions.
Figure 14. The curves of SD at strain amplitude 0.00601 vs. cycle number under different conditions: loading on axis-3 and on axis-1 and loading on axis-1 adopting periodic boundary conditions.
Applsci 11 02673 g014
Table 1. Elastic constants and crystal plasticity parameters of the GH4169 superalloy at 500 °C.
Table 1. Elastic constants and crystal plasticity parameters of the GH4169 superalloy at 500 °C.
Elastic ConstantsMaterial Parameters of the Crystal Plasticity Model
C11C12C44τ0τsh0acλe1e2 γ ˙ 0 qk
GPaGPaGPaMPaMPaMPaGPaGPas−1 s−1
230.05153.5781.9728929580590.4280001 × 10−31160
Table 2. Experimental fatigue lives data of GH4169 at 500 °C.
Table 2. Experimental fatigue lives data of GH4169 at 500 °C.
Ea0.00450.0050.006010.008010.010030.013060.015
Nf, Cycles15,85510,289/11,08734361181811229246
Publisher’s Note: MDPI stays neutral with regard to jurisdictional claims in published maps and institutional affiliations.

Share and Cite

MDPI and ACS Style

Zhang, M.-H.; Shen, X.-H.; He, L.; Zhang, K.-S. Investigation of Deformation Inhomogeneity and Low-Cycle Fatigue of a Polycrystalline Material. Appl. Sci. 2021, 11, 2673. https://doi.org/10.3390/app11062673

AMA Style

Zhang M-H, Shen X-H, He L, Zhang K-S. Investigation of Deformation Inhomogeneity and Low-Cycle Fatigue of a Polycrystalline Material. Applied Sciences. 2021; 11(6):2673. https://doi.org/10.3390/app11062673

Chicago/Turabian Style

Zhang, Mu-Hang, Xiao-Hong Shen, Lei He, and Ke-Shi Zhang. 2021. "Investigation of Deformation Inhomogeneity and Low-Cycle Fatigue of a Polycrystalline Material" Applied Sciences 11, no. 6: 2673. https://doi.org/10.3390/app11062673

APA Style

Zhang, M.-H., Shen, X.-H., He, L., & Zhang, K.-S. (2021). Investigation of Deformation Inhomogeneity and Low-Cycle Fatigue of a Polycrystalline Material. Applied Sciences, 11(6), 2673. https://doi.org/10.3390/app11062673

Note that from the first issue of 2016, this journal uses article numbers instead of page numbers. See further details here.

Article Metrics

Back to TopTop