Abstract
The description of a new method of winter grafting of sweet cherry varieties “Revna” is given. The novelty of the method lies in the use of a portable device for generating cold plasma, as well as a plasma-treated solution, developed by the team of authors. It has been established that exposure to cold plasma affects the growth length of “Revna” cherries by 17–28%, while an increase in the diameter of the root collar by 20–23% was observed. The electrical resistivity in the grafting zone after exposure to plasma or plasma-activated water decreased by an average of 14% compared to the control, which indicated a better fusion of the transport fibers of the rootstocks and scions.
1. Introduction
One of the most important requirements for obtaining high-quality planting material is the creation of conditions for the speedy healing of the site of rootstock and scion grafting. Violations in the fusion of the grafting components can cause improper development of seedlings and subsequent culling. As a rule, they are caused by non-compliance with technology use recommendations and methods of inoculation, as well as damage to the tissues of the inoculation components by phytopathogens. About 15–20% of all grafted plants do not take root due to impaired fusion at the grafting site; therefore, the search for and application of various methods to improve the quality and speed of grafting components is a popular and urgent task.
It is worth noting that various physical methods are now widely used in the treatment of agricultural crops. Such methods include magnetic field treatment and exposure to microwave radiation and others that affect the physiological and biochemical processes in seeds and plants and thereby contribute to greater vegetative growth and increased yield and crop quality [1,2].
One of the potential ways to improve the intergrowth of rootstocks and scions may be treatment with low-temperature plasma or plasma-activated water. It is known that low-temperature plasma and plasma-activated water are actively used to deactivate bacteria. Recently, a large number of studies have appeared on the practical application of low-temperature plasma and plasma-activated water in various fields of science—medicine, veterinary medicine and agronomy [3,4,5,6,7,8,9,10]. When working with living objects, low-temperature plasma is mainly used in which the rotational temperature of the ions affecting living objects does not exceed 40 °C [11]. Such a plasma is called cold atmospheric plasma (CAP). CAP is essentially an ionized gas with a low temperature of neutral particles and ions but a high temperature of electrons [12].
The effect of cold plasma on living objects is mainly mediated by reactive oxygen species (ROS) and reactive nitrogen species (RNS) [13]. Under the influence of CAP, a large number of different chemical reactions occur. The main reagents are hydrogen peroxide, superoxide radicals, hydroxyl radicals, hydroperoxyl radicals, singlet oxygen, nitric oxide, peroxynitrite, among many others [14]. The lifetime of these compounds is often very short; for example, the lifetime of the hydroxyl radical is about 1 ns, and that of the superoxide radical is about 1 μs [15]. Long-lived compounds include hydrogen peroxide, ozone, and a number of RNS [16]. Obviously, most of the reactive oxygen species act on living objects only at the time of operation of the plasma generator. The plasma-treated solutions (PTSs) contain long-lived active forms and products of their interaction with each other and with other compounds contained in water [17,18]. There are various ways to obtain CAP and PTS: based on a dielectric barrier discharge, glow or corona discharge, using various types of gases or operating in atmospheric air [19]. There is no information in the literature about the use of CAP in the grafting of plants. In this paper, for the first time, we study the effects of CAP during the winter grafting operation on cherry cultures created by a dielectric barrier discharge (DBD) and PTS created using glow discharge plasma. The optimal characteristics of the impact were determined: the duration of CAP and the concentration of PTS.
2. Materials and Methods
2.1. CAP Generation Method
The source of cold plasma developed by the scientific team was used to process rootstock and scion sections. The principle of operation and characteristics are described in detail in [20]; an illustration of the device used is shown in Figure 1. The generator was set to the CAP creation mode. The output device of the generator (Figure 1) was a dielectric tube (4) fixed in a rigid case (5), forming an ionization chamber (3), inside which a piezotransformer (PT) (1) was installed so as not to interfere with mechanical vibrations that occurred during the operation of the PT. A low-voltage alternating voltage of resonant frequency was supplied to the input part of the FET from a generator (6): 60 V, 21.5 kHz. A high voltage of ~6 kV was generated at the discharge electrode (2), which was used to create plasma. This design of the CAP generator contains a silicone tip (9), 1 mm thick (10), which tightly fits the output end of the FET, which makes it possible to operate in the dielectric barrier discharge mode at a distance of ~1 mm from the cap surface.
Figure 1.
Scheme of the CAP generator output device: 1—piezo transformer; 2—discharge electrode; 3—ionization chamber; 4—dielectric tube; 5—hard case; 6—voltage generator; 7—output end of the dielectric tube; 8—device for changing the shape of the output end of the tube; 9—dielectric cap; 10—dielectric layer.
2.2. PTS Generation Method
PTS was obtained using a special device that generates cold glow discharge plasma [21]. The components of the device are shown in Figure 2. It consists of a high-frequency current generator and an electric arc plasma-chemical reactor with a rotor. The process of obtaining PTS is as follows: the container (1) is filled with an aqueous solution (13) of sodium chloride NaCl (0.1 M), then electrodes (7) and (4) are immersed in it, to which through brushes ((2) and (8)), located on the rotor axis (3), supply a sinusoidal current of high frequency (110 kHz). Then, the motor (10) is turned on and the electrodes are rotated by means of the rotor (9). A cold glow discharge plasma is formed, which is treated with a saline solution for 40 min. The physicochemical characteristics of the obtained activated liquid are shown in Table 1.
Figure 2.
Photograph (a) and diagram of the structure of the PTS generator (b): 1—tank with activated solution; 2—neutral electrode (NE) brush; 3—rotor axis; 4—replaceable parts of the neutral electrode; 5—reactor lid; 6—dielectric loading; 7—replaceable active electrodes; 8—active electrode (AE) brush; 9—kinematic axis; 10—electric motor; 11—controlled power source; 12—platform; 13—aqueous solution; a—neutral output of the HF generator; b—active output of the HF generator.
Table 1.
Physical and chemical characteristics of the plasma-treated solution (PTS) after processing within 40 min.
2.3. Physicochemical Properties of Aqueous Solutions
The content of nitrite and nitrate anions in the samples was determined using the Griess reagent, according to a method described previously [20], using a Multiscan FC 96-well plate reader (Thermo Fisher Scientific, Vaanta, Finland). The optical density of the medium was measured at a wavelength of 546 nm. Solutions of known concentrations of sodium nitrite and sodium nitrate (Sigma-Aldrich, St. Louis, MO, USA) were used for calibration.
Redox, pH and electrical conductivity were measured at the S470 SevenExcellence Precision Measurement Station (Mettler Toledo, Columbus, OH, USA). InLab Expert Pro-ISM and InLab731-ISM (Mettler Toledo) sensor electrodes were used. During measurements, aqueous solutions were mixed in a laminar mode using a magnetic stirrer (rotation frequency no more than 3 Hz) [21]. All measurements were carried out at a solution temperature of 20 ± 1 °C. The details of the experimental measurements were described previously [22].
The concentration of molecular oxygen dissolved in aqueous solutions was measured using an AKPM-1-02 polarograph (Bioanalytical Systems and Sensors, Moscow, Russia) [23]. The measurements took into account the atmospheric pressure and the temperature of the samples. All measurements were carried out at a solution temperature of 20 ± 1 °C. The details of the experimental measurements were described previously [24].
For the quantitative determination of hydrogen peroxide in aqueous solutions, a highly sensitive method of enhanced chemiluminescence in the luminol-p-iodophenol-horseradish peroxidase system was used [25]. The luminescence intensity was determined using a Biotox-7A chemiluminometer (ANO ICE, Moscow, Russia). The initial concentration of hydrogen peroxide used for calibration was determined spectrophotometrically at a wavelength of 240 nm with a molar absorption coefficient of 43.6 (M−1 × cm−1). The counting solution contained: 1 mL Tris-HCl buffer pH 8.5, 50 µm p-iodophenol, 50 µm luminol, 10 nm horseradish peroxidase [26].
2.4. Plant Samples and Field Experiment
The experiment was carried out at the experimental station in the IAEP nursery, a branch of the Institute for Engineering and Environmental Problems in Agricultural Production (branch of the “Federal Scientific Agroengineering Center VIM” (Russia, Saint Petersburg)), in the period 15–18 March 2021. The selection of material for grafting was carried out in accordance with the requirements for the quality of fruit crops, the state standard of the Russian Federation R 53135-2008. Winter grafting with cold plasma treatment (CAP) and PTS was carried out on cuttings of scions of the cherry variety “Revna”, which were grafted by the method of improved copulation on cherry clone rootstocks VSL-2. Oblique cuts of the scions and rootstocks were immediately processed by the working surface of the CAP replaceable module for 15, 30 and 45 s (Figure 2). The PTS solution was prepared by diluting distilled water and plasma-treated saline with various concentrations of PTS dilution (5%, 10%, 20%), The graft components were dipped into the resulting PTS solution for 1–2 s. Next, grafting was carried out; the scion and stock were connected to each other, and the junction was wrapped with a special polyethylene tape. The root system of the rootstock was shortened to a length of 16–17 cm. As a control, grafted cuttings without treatment were selected. After that, the upper parts of the scion cuttings were lowered for 1 s into paraffin heated to 65 °C, then the grafted cuttings were sprinkled with raw sawdust, pre-treated with steam and potassium permanganate. Then, the plants were placed in special dark stores for 2 months. The temperature in storage was maintained within 1–2 °C, with a relative humidity of 80–85%. After that, the grafted cherry rootstocks were transplanted into a frame greenhouse, where the period of their development began. The air temperature was maintained in the range of 30–35 °C, and the degree of development of seedlings was assessed by growth, development of the deciduous part, diameter of the root collar and compared with the control; the observations were carried out monthly for 4 months (Figure 3). In each group, 30 cuttings were grafted.
Figure 3.
Processed and grafted cuttings of the sweet cherry variety “Revna”: (a) before being placed in storage for 2 months with an air temperature of 1–2 °C; (b) planted in a greenhouse at 30–35 °C after being removed from storage, as of 06/08/21.
2.5. Graft Conductivity Measurements
To assess the process of the degree of fusion of the graft components, the electrical resistance (impedance) of the cambial layer in the graft zone was measured. Before the measurement process, the root system of seedlings was pre-washed in running water and placed in a special solution containing: KNO3 (5 mM), Ca(NO3)2∙4H2O (2.5 mM), MgSO4∙7H2O (2 mM), NH4NO3 (1 mM). Then, using an E6-13A teraohmmeter, the resistance was measured in five areas from the grafting zone through each centimeter section of the rootstock zone and also through each centimeter section of the scion zone—a total of 5 measurements. Resistance measurement range: 10–106 Ohm; limits of permissible basic measurement error on a linear scale: no more than ±2.5% of the final value of the set subrange (linear scale). We used special needle-type electrodes with a diameter of 0.7 mm, made of silver. One electrode was used as a reference electrode, and the second was introduced into the cambial layer of the seedling bark. An AKIP-4122/1 digital oscilloscope was connected to the teraohmmeter through the analog recorder output, which was connected to a personal computer with the PicoDiagnostics program. With the help of this program, the resistance values in the seedling plots were recorded and displayed digitally (Figure 4).
Figure 4.
The process of measuring the electrical resistivity of the grafting zone in a sweet cherry seedling 6 months after treatment: (a) photograph; (b) scheme. The seedling is immersed in the solution and the measuring electrodes are made of silver. 1—electrode immersed in the solution; 2—electrode inserted into the cambial layer of the bark of the seedling; 3—teraohmmeter; 4—oscilloscope for recording teraohmmeter readings; 5—PC connected to the oscilloscope. The electrodes are inserted alternately below the grafting area and above. According to the difference in resistance, the resistance of the grafting zone is determined.
2.6. Statistics
Data were presented as means ± SEM. The normality of distributions was established by the Kolmogorov–Smirnov criterion. When the distribution was normal, the Student’s t-test was used to compare independent groups. When the distribution differed from normal, the Mann–Whitney U-test was used to compare two independent groups. When required, the homogeneity of variance in the samples was checked with Levene’s test. Fitting and regression analysis was carried out using Excel software (Microsoft Corporation, Albuquerque, NM, USA).
3. Results and Discussion
3.1. Physicochemical Properties of CAP
In the experiment, a mobile small-sized plasma generator developed at the GPI RAS was used as a source of cold plasma to influence fresh sections of plant shoots. The device is capable of generating various types of low-temperature direct discharge plasma or dielectric barrier discharge plasma using replaceable modules (Figure 5). The winter grafting technology used a module for generating cold plasma generated by a DBD. This module is most convenient for inoculation “in the field”, since gases are not used to obtain plasma (you do not need to carry a cylinder of gas with you). The device works with both a network of 220 V and a frequency of 50 Hz and with a battery of 12 V, direct current. The power consumption of the device is not more than 40 watts. The dielectric of the working module is a silicone tip.
Figure 5.
General view of a mobile device for creating cold plasma (CAP): 1—a replaceable module on the surface of which CAP is created; 2—hardware control block for DBD CAP creation modes.
As is known, when the gas phase of CAP interacts with the intercellular fluid in living plant cells, reactive oxygen and nitrogen species are formed. Ozone (O3) and nitrogen oxides (NOx) and hydrogen peroxide (H2O2) are stable products. It is possible to control the degree of formation of these compounds by changing the electrical potential at the output device, as well as by changing the time of cold plasma exposure to the cut site. Fresh cuts of the scions and rootstocks were immediately processed by the working surface of the replaceable module (DBD CAP) by performing sliding circular movements over the entire cut surface for the selected time intervals of 15, 30 or 45 s (Figure 6).
Figure 6.
Processing (DBD CAP) a cut of a sweet cherry rootstock. The dielectric working surface of the replaceable module interacts with the cut surface and performs a sliding circular motion.
To prevent possible excessive heating and overdrying of the cut surface, the module tip was moved in a circular motion and moved in a spiral from the edges of the cut to the middle, preventing heating of the working surface. The maximum temperature after treatment did not exceed 15°C. To obtain initial data on the amount and intensity of formation of H2O2 and NO2− ions on the surface of cuts of plant shoots during exposure to cold plasma, we used liquid media as a model object: water purified by the Evoqua Ultra Clear unit and an aqueous solution of glucose 1%.
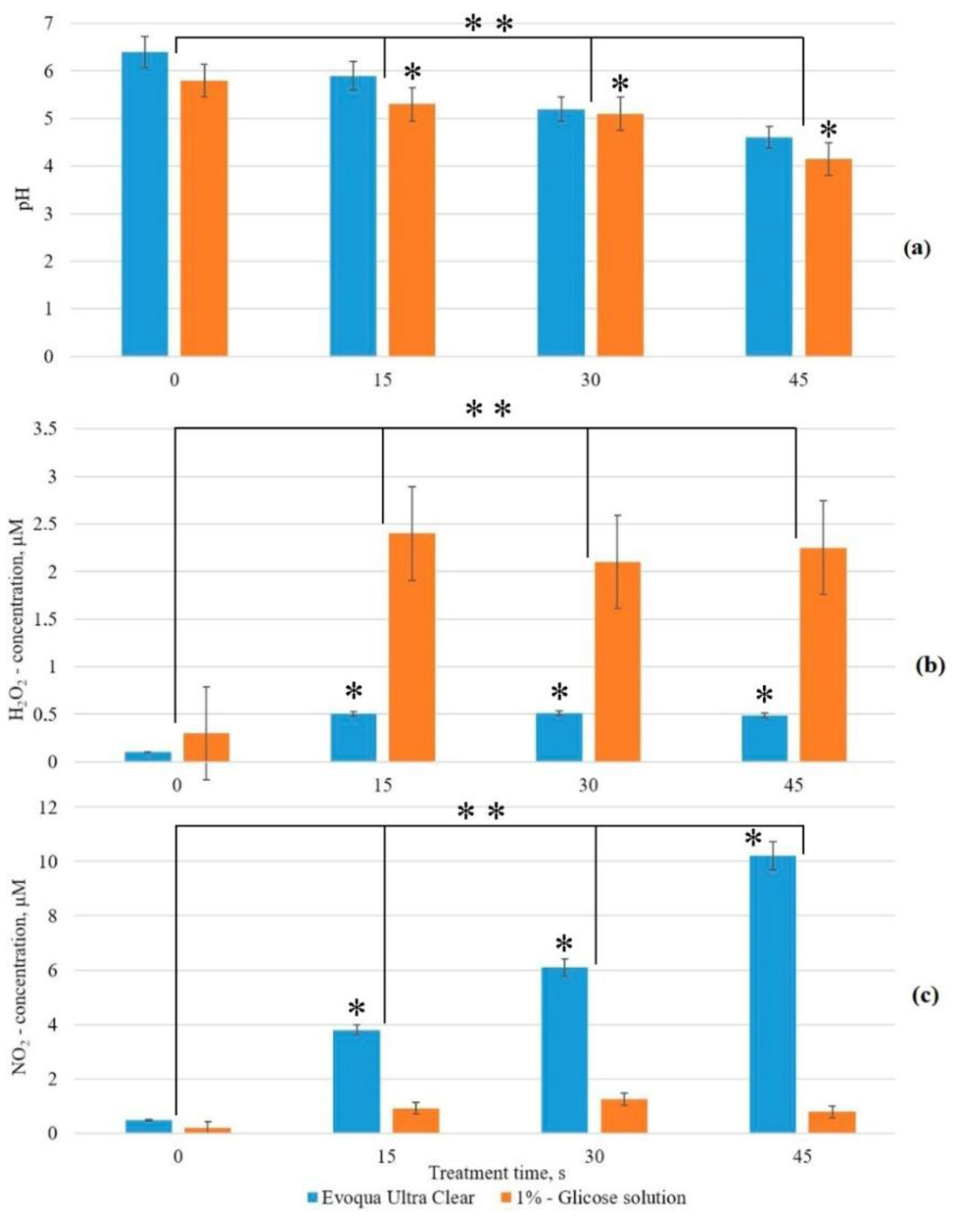
The hydrogen index (pH) during the treatment with Evoqua Ultra Clear water, depending on the treatment time, changes from 6.4 to 4.6 units, and when exposed to a glucose solution, it changes from 5.8 to 4.2 (Figure 7). Figure 7b,c show that the amounts of H2O2 and NO2− differ significantly when using pure water and glucose solution. Interestingly, no linear increase in the concentration of hydrogen peroxide was observed during treatment, both in water and in aqueous glucose solution. Hydrogen peroxide, as a stable molecule, is often the terminal stage of ROS conversion, which means that a radical chain reaction “break” is observed in solutions. Nitrite anions, on the contrary, are produced in water from the time of exposure to plasma, linearly. When glucose is added, the nitrate anions are generated much more slowly. Probably, in this case, the products of the precursors of the nitrite anions interact with glucose molecules.
Figure 7.
Change in pH of solutions (a); generation of H2O2 (b); and NO2− (c) when exposed to CAP using Evoqua Ultra Clear water and 1% sucrose aqueous solution for 15, 30 and 45 s. * Indicates a significant difference at 5% level in comparison with the Evoqua Ultra Clear group with 1% sucrose solution group at same treatment time (p < 0.05, Mann–Whitney U test). ** Indicates a significant difference at 5% level in comparison with the control (treatment time: 0 s).
3.2. Physicochemical Properties of PTS
To detect changes in the development of seedlings, a special PTS was used. This solution was obtained by passing discharges of a high-frequency glow discharge through water vapor. The reactor was charged with a 10% sodium chloride water solution, which was subjected to a glow discharge for 40 min.
When processing sections of scions and rootstocks with PTS, it is necessary to choose the right concentration in order to obtain a positive effect. In our case, after making the cuttings, they were immediately dipped for 1–2 s in solution of various concentrations (20%, 10%, 5%), in the obtained activated liquid and the distilled water, after which the grafting components were connected to each other.
3.3. Study of the Effectiveness of the Action of CAP and PTS on the Grafts
CAP and PTS treatment of slant sections of plant shoots was carried out in March. When using a device for obtaining cold plasma, the duration of exposure to oblique sections of the cuttings was 15, 30 and 45 s, and when treated with a solution obtained by mixing PTS and distilled water (DW), with various concentrations of PTS (5%, 10%, 20%), the impact did not exceed 2 s. The air temperature in the greenhouse was maintained in the range of 30–35 °C. The degree of development of seedlings was assessed by growth (increase in length), the development of the deciduous part and the diameter of the root neck (Figure 8 and Figure 9).
Figure 8.
The dynamics of the growth of cherry seedlings of the “Revna” variety within 4 months after planting in the greenhouse with direct treatment and different durations of exposure to CAP (15 s, 30 s and 45 s).
Figure 9.
The dynamics of growth of cherry seedlings of the “Revna” variety within 4 months after planting in the greenhouse with indirect processing using PTS diluted in DW in three proportions (1:5 (20%), 1:10 (10%) and 1:20 (5%)).
As a result of monitoring the development of cherry seedlings of the “Revna” variety, we observed changes in the diameters of the root necks and the growth of the shoots within 4 months after vaccination and the effects of CAP and PTS on sections immediately before vaccination (Figure 10 and Figure 11). The average diameter of the root collar during the processing of the scion cut with CAP for 15 s was higher than that of the control samples by almost 10%. With an exposure time of 30 s, the average diameter of the root necks was on average almost 20% larger. With an exposure time of 45 s, the average diameter of the root necks exceeded those of the control cuttings by an average of almost 25%.
Figure 10.
The results of measuring the diameters of the root necks of cherry seedlings of the “Revna” variety within 4 months after planting in the greenhouse with direct treatment and different durations of exposure to CAP (15 s, 30 s and 45 s).
Figure 11.
The results of measuring the diameters of the root necks of cherry seedlings of the “Revna” variety within 4 months after planting in the greenhouse with indirect processing using PTS diluted in DW in three proportions (1:5 (20%), 1:10 (10%) and 1:20 (5%)).
The most significant value for the growth of fresh shoots was obtained with the exposure of the inoculated components to CAP for 15 s, with the growth rate of the control samples exceeded by 17%; when exposed for 30 s, the growth of shoots was slightly lower than the control (−6.5%); however, when monitoring the development of seedlings in the fourth month of observation, the growth of the shoots relative to the control was about 9%; when exposed to 45 s, the increase was greater by 7% in comparison with the control.
When wetting sections of grafts with PTS, similar results were obtained. When exposed to sections with a solution of 1:20 (5%), the average diameter of the root necks exceeded those of the control by almost 10%, and the growth rate of the shoots was 5% higher. When using a solution of 1:10 (10%), the average root collar diameter was increased by almost 5%, and the average growth rate was 10% higher than in the control group. When exposed to a solution with the highest concentration of activated liquid (1:5 (20%)), the difference in the average diameter of the root collars compared to the control was 20%, and the average increase was almost 30% more.
Measurement of the electrical conductivity of the graft was used as a nondestructive method for assessing the qualitative intergrowth of graft components [27]. The measurement results are shown in Figure 12. The obtained results were compared with the control values. The lowest sensitivity value was found when exposed to CAP for 15 s; it was 23% lower than for the control. When exposed for 30 s, the result was 8.7% lower than the control, and when exposed for 45 s, the result was similar to that for the control. For samples exposed to PTS solutions with a concentration of 1:5 (20%), the decrease in resistivity was 20%; when using a solution of 1:10 (10%), the decrease was 15% (Figure 12).
Figure 12.
Specific resistance of plant tissues in the grafting zone. * Indicates a significant difference at 5% level in comparison with the control.
The use of these types of impact on fresh cuts of scion and rootstock cuttings during winter grafting by the method of improved copulation shows that the survival rate of the obtained scion–stock combinations of the “Revna” sweet cherry variety turned out to be 11% higher than that of the control, which may indicate the effectiveness of these types of treatments during winter vaccinations. The most effective CAP mode was the 15 s exposure mode. The slightly worse results with longer exposures of 30 and 45 s were perhaps due to the processes of oxidation of molecules and cells located on the sections. When dipping the rootstocks and grafts into the PTS solution, the highest concentration of 1:5 (20%) of the activated liquid showed good results. The deciduous part on the treated seedlings was well developed and corresponded to the indicators of the highest category seedlings.
For high-quality accretion of the graft components and the formation of a complete nutrient transfer system, it is necessary to ensure the correct and accurate connection of the graft components to each other, as well as the purity and speed of their connection. The use of cold plasma in the technology of winter grafting of stone fruit crops has a positive effect on the quality and speed of grafting and contributes to a better union of scion and rootstock tissues. With exposure to CAP on the cut surfaces of cuttings of plants, it is possible to achieve a positive effect with smoothing of the surface and reducing the degree of surface roughness and to some extent affect a reduction in the number and volume of the air gap between the rootstock and scion. The treatment also promotes the resorption of the insulating layer, which inhibits the process of accretion, because it consists of dead cells and their decomposition products [28]. On the cut surface and at a depth of up to 300 μm inside the cut, under the influence of CAP and PTS, various processes of multistage biotransformation reactions of xenobiotics occur, accompanied by the development of aberrant post-translational transformations of proteins [29]. In particular, metastable nitrogen species are formed in the CAP, which may contribute to the lignification of the contact zone [30], this being necessary for the formation of a new vascular system [31]. On the cut surface, the ratio of O/C and polar oxygen-containing functional groups increases: CO, OC=O, −OH, etc. [32], which contributes to a significant increase in surface wettability. These effects significantly improve the adhesive properties of scion and rootstock sections, act as an important factor in the grafting stratification and contribute to leveling the influence of stresses from external environmental factors on the grafted plant. Processing with PTS from the entire set of acting factors is limited by the action of long-lived ROS and RNS. However, as shown in the course of the experiment, by selecting the optimal concentration of PTS, it is possible to achieve a similar efficiency as when processing with CAP.
4. Conclusions
Methods have been proposed and described that can be used to supplement the methodology for conducting winter grafting of horticultural crops (using the example of the cherry culture of the pomological variety “Revna”) using CAP and PTS and which can improve survival and increase the commercial quality of planting material. Modes of exposure to CAP, exposure times and PTS concentrations have been described which allow the acceleration of the regenerative processes at the grafting sites in order to improve the quality of the obtained annual seedlings. Exposure of fresh sections of scions and rootstocks before grafting with a cold plasma (CAP) source for 15–45 s increases the length of growth by almost 10–20% and the diameter of the root collar by almost 10–25%. In this case, the electrical resistance of the grafting area, which characterizes the quality of the fusion of the graft components, decreases by 10–25%. When sections were wetted with a PTS with the highest concentration of 1:5 (20%), the difference in the average diameter of the root collar compared to the control was 20%, and the average increase was almost 30% more. Electrical resistance in the grafting zone decreased by more than 20%. The use of CAP in agriculture certainly has great prospects since this method of increasing plant productivity has a number of advantages over similar physical methods, being safe for plants, easy to scale and easy to use.
Author Contributions
Conceptualization, A.I. and Y.S.; methodology, D.K. and R.F.; software, D.K.; validation, R.Y.P., A.V.S. and R.F.; formal analysis, A.V.S. and A.I.; investigation, R.F., R.Y.P. and D.K.; resources, A.V.S. and R.Y.P.; data curation, R.F.; writing—original draft preparation, R.F., A.V.S. and D.K.; writing—review and editing, R.F., R.Y.P. and A.V.S.; visualization, R.F.; project administration, A.I. and D.K.; funding acquisition, A.I. and Y.S. All authors have read and agreed to the published version of the manuscript.
Funding
This research was supported by a grant of the Ministry of Science and Higher Education of the Russian Federation for large scientific projects in priority areas of scientific and technological development (grant number 075-15-2020-774).
Institutional Review Board Statement
Not applicable.
Informed Consent Statement
Not applicable.
Data Availability Statement
Not applicable.
Conflicts of Interest
The authors declare no conflict of interest.
References
- Jakubowski, T. Transfer of microwave irradiation effects of seed potatoes (Solanum tuberosum L.) to the plants of next generations. Bulg. J. Agric. Sci. 2015, 21, 1185–1193. [Google Scholar]
- Jakubowski, T. The effect of stimulation of seed potatoes (Solanum tuberosum L.) in the magnetic field on selected vegetation parameters of potato plants. Prz. Elektrotech 2020, 96, 166–169. [Google Scholar]
- Belov, S.V.; Lobachevsky, Y.P.; Danilejko, Y.K.; Egorov, A.B.; Simakin, A.B.; Maleki, A.; Temnov, A.A.; Dubinin, M.V.; Gudkov, S.V. The Role of Mitochondria in the Dual Effect of Low-Temperature Plasma on Human Bone Marrow Stem Cells: From Apoptosis to Activation of Cell Proliferation. Appl. Sci. 2020, 10, 8971. [Google Scholar] [CrossRef]
- Duan, J.; Lu, X.; He, G. The selective effect of plasma activated medium in an in vitro co-culture of liver cancer and normal cell. J. Appl. Phys. 2017, 121, 013302. [Google Scholar] [CrossRef]
- Tanaka, H.; Ishikawa, K.; Mizuno, M.; Toyokuni, S.; Kajiyama, H.; Kikkawa, F.; Metelmann, H.; Hori, M. State of the art in medical applications using non-thermal atmospheric pressure plasma. Rev. Modern Plasma Phys. 2017, 1, 89. [Google Scholar] [CrossRef]
- Sergeichev, K.F.; Lukina, N.A.; Sarimov, R.M.; Smirnov, I.G.; Simakin, A.V.; Dorokhov, A.S.; Gudkov, S.V. Physicochemical Properties of Pure Water Treated by Pure Argon Plasma Jet Generated by Microwave Discharge in Opened Atmosphere. Front. Phys. 2021, 8, 614684. [Google Scholar] [CrossRef]
- Reuter, S.; von Woedtke, T.; Weltmann, K. The kINPen—A review on physics and chemistry of the atmospheric pressure plasma jet and its applications. J. Phys. D Appl. Phys. 2018, 51, 233001. [Google Scholar] [CrossRef] [Green Version]
- Piskarev, I.M. Features of the Impact of Pulsed Radiation of Hot Plasma on Water and Aqueous Solutions. Plasma Chem. Plasma Process. 2021, 41, 1347–1361. [Google Scholar] [CrossRef]
- Baymler, I.V.; Simakin, A.V.; Gudkov, S.V. Investigation of the laser-induced breakdown plasma, acoustic vibrations and dissociation processes of water molecules caused by laser breakdown of colloidal solutions containing Ni nanoparticles. Plasma Sources Sci. Technol. 2021, 30, 125015. [Google Scholar] [CrossRef]
- Dobrynin, D.; Fridman, G.; Friedman, G.; Fridman, A. Physical and biological mechanisms of direct plasma interaction with living tissue. New J. Phys. 2009, 11, 1–26. [Google Scholar] [CrossRef]
- Braný, D.; Dvorská, D.; Halašová, E.; Škovierová, H. Cold Atmospheric Plasma: A Powerful Tool for Modern Medicine. Int. J. Mol. Sci. 2020, 21, 2932. [Google Scholar] [CrossRef] [PubMed] [Green Version]
- Artem’ev, K.V.; Bogachev, N.N.; Gusein-zade, N.G.; Dolmatov, T.V.; Kolik, L.V.; Konchekov, E.M.; Andreev, S.E. Study of Characteristics of the Cold Atmospheric Plasma Source Based on a Piezo Transformer. Russ. Phys. J. 2020, 62, 2073–2080. [Google Scholar] [CrossRef]
- Baldanov, B.B.; Ranzhurov, T.V.; Semenov, A.P.; Gomboeva, S.V. Cold atmospheric argon plasma jet source and its application for bacterial inactivation. J. Theor. Appl. Phys. 2019, 13, 95–99. [Google Scholar] [CrossRef] [Green Version]
- Moniruzzaman, R.; Rehman, M.U.; Zhao, Q.-L.; Jawaid, P.; Mitsuhashi, Y.; Imaue, S.; Fujiwara, K.; Ogawa, R.; Tomihara, K.; Saitoh, J.; et al. Roles of intracellular and extracellular ROS formation in apoptosis induced by cold atmospheric helium plasma and X-irradiation in the presence of sulfasalazine. Free Radic. Biol. Med. 2018, 129, 537–547. [Google Scholar] [CrossRef] [PubMed]
- Sharapov, M.G.; Gudkov, S.V.; Lankin, V.Z. Hydroperoxide Reducing Enzymes in the Regulation of Free Radical Processes. Biochemistry 2021, 86, 1256–1274. [Google Scholar] [CrossRef] [PubMed]
- Shaparov, M.G.; Gudkov, S.V.; Lankin, V.Z.; Novoselov, V.I. Role of Glutathione Peroxidases and Peroxiredoxins in Free Radical Induced Pathologies. Biochemistry 2021, 86, 1418–1433. [Google Scholar] [CrossRef]
- Hu, X.; Zhang, Y.; Wu, R.A.; Liao, X.; Liu, D.; Cullen, P.J.; Zhou, R.V.; Ding, T. Diagnostic analysis of reactive species in plasma-activated water (PAW): Current advances and outlooks. J. Phys. D Appl. Phys. 2021, 55, 023002. [Google Scholar] [CrossRef]
- Thirumdas, R.; Kothakota, A.; Annapure, U.; Siliveru, K.; Blundell, R.; Gatt, R.; Valdramidis, V.P. Plasma activated water (PAW): Chemistry, physico-chemical properties, applications in food and agriculture. Trends Food Sci. Tech. 2018, 77, 21–31. [Google Scholar] [CrossRef]
- Christos, A. Aggelopoulos, Recent advances of cold plasma technology for water and soil remediation: A critical review. Chem. Eng. J. 2022, 428, 131657. [Google Scholar] [CrossRef]
- Konchekov, E.M.; Glinushkin, A.P.; Kalinitchenko, V.P.; Artem’ev, K.V.; Burmistrov, D.E.; Kozlov, V.A.; Kolik, L.V. Properties and Use of Water Activated by Plasma of Piezoelectric Direct Discharge. Front. Phys. 2021, 8, 616385. [Google Scholar] [CrossRef]
- Gudkov, S.V.; Lyakhov, G.A.; Pustovoy, V.I.; Shcherbakov, I.A. Vibration–Vortex Mechanism of Radical-Reaction Activation in an Aqueous Solution: Physical Analogies. Phys. Wave Phenom. 2021, 29, 108–113. [Google Scholar] [CrossRef]
- Shcherbakov, I.A.; Pustovoy, V.I.; Sarimov, R.M.; Simakin, A.V.; Troitsky, A.V. Influence of a Constant Magnetic Field on Some Properties of Water Solutions. Dokl. Phys. 2020, 65, 9–11. [Google Scholar] [CrossRef]
- Baymler, I.V.; Gudkov, S.V.; Sarimov, R.M.; Simakin, A.V.; Shcherbakov, I.A. Concentration Dependences of Molecular Oxygen and Hydrogen in Aqueous Solutions. Dokl. Phys. 2020, 65, 5–7. [Google Scholar] [CrossRef]
- Penkov, N.V.; Baimler, I.V.; Lyakhov, G.A.; Pustovoy, V.I.; Simakin, A.V.; Sarimov, R.M.; Scherbakov, I.A. Effect of Mechanical Shaking on the Physicochemical Properties of Aqueous Solutions. Int. J. Mol. Sci. 2020, 21, 8033. [Google Scholar] [CrossRef]
- Simakin, A.V.; Sarimov, R.M.; Kurilov, A.D.; Chausov, D.N. Novel Biocompatible with Animal Cells Composite Material Based on Organosilicon Polymers and Fullerenes with Light-Induced Bacteriostatic Properties. Nanomaterials 2021, 11, 2804. [Google Scholar] [CrossRef]
- Baimler, I.V.; Lisitsyn, A.B.; Gudkov, S.V. Water decomposition occurring during laser breakdown of aqueous solutions containing individual gold, zirconium, molybdenum, iron or nickel nanoparticles. Front. Phys. 2020, 8, 620938. [Google Scholar] [CrossRef]
- Batukaev, A.; Malykh, G.P.; Magomadov, A.S.; Seget, O.L. New technological solutions for the production of planting material of grapes. J. Environ. Treat. Tech. 2019, 7, 581–587. [Google Scholar]
- Zhang, J.; Pizzi, A.; Lagel, M.C.; Du, G.; Zhou, X.; Wang, H. Dielectric barrier discharge plasma at atmospheric pressure to enhance pine wood surfaces hydrophilic character and adhesion properties. Wood Res. 2015, 60, 773–782. [Google Scholar]
- Busnel, F.; Blanchard, V.; Prégent, J.; Stafford, L.; Riedl, B.; Blanchet, P.; Sarkissian, A. Modification of Sugar Maple (Acer saccharum) and Black Spruce (Picea mariana) Wood Surfaces in a Dielectric Barrier Discharge (DBD) at Atmospheric Pressure. J. Adhes. Sci. Technol. 2010, 24, 1401–1413. [Google Scholar] [CrossRef]
- Westermark, U. Calcium promoted phenolic coupling by superoxide radical—A possible lignification reaction in wood. Wood Sci. Technol. 1982, 16, 71–78. [Google Scholar] [CrossRef]
- Reyt, G.; Chao, Z.; Flis, P.; Salas-González, I.; Castrillo, G.; Chao, D.-Y.; Salt, D.E. Uclacyanin Proteins Are Required for Lignified Nanodomain Formation within Casparian Strips. Curr. Biol. 2020, 30, 4103–4111. [Google Scholar] [CrossRef] [PubMed]
- Weon, J.I.; Choi, K.Y. Surface Characterization and morphology in Ar-plasma-treated polypropylene blend. Macromol. Res. 2009, 17, 886–893. [Google Scholar] [CrossRef]
Publisher’s Note: MDPI stays neutral with regard to jurisdictional claims in published maps and institutional affiliations. |
© 2022 by the authors. Licensee MDPI, Basel, Switzerland. This article is an open access article distributed under the terms and conditions of the Creative Commons Attribution (CC BY) license (https://creativecommons.org/licenses/by/4.0/).











