Effects of the Damping Parameters on the Opening and Closing Characteristics of Vent Valves
Abstract
:Featured Application
Abstract
1. Introduction
2. Model
2.1. Structure and Principle
2.2. Welded Metal bellow Components
2.3. Membrane Assembly
2.4. Steady Flow Plate
2.5. Piston Chamber
2.6. Integral Model of the Vent Valve
2.7. Experiment
3. Results
3.1. Different Diameters of Damping Hole A
3.2. Different Diameters of Damping Hole B
3.3. Different Diameters of Damping Hole C
3.4. Different Diameters of Middle Nozzle 1
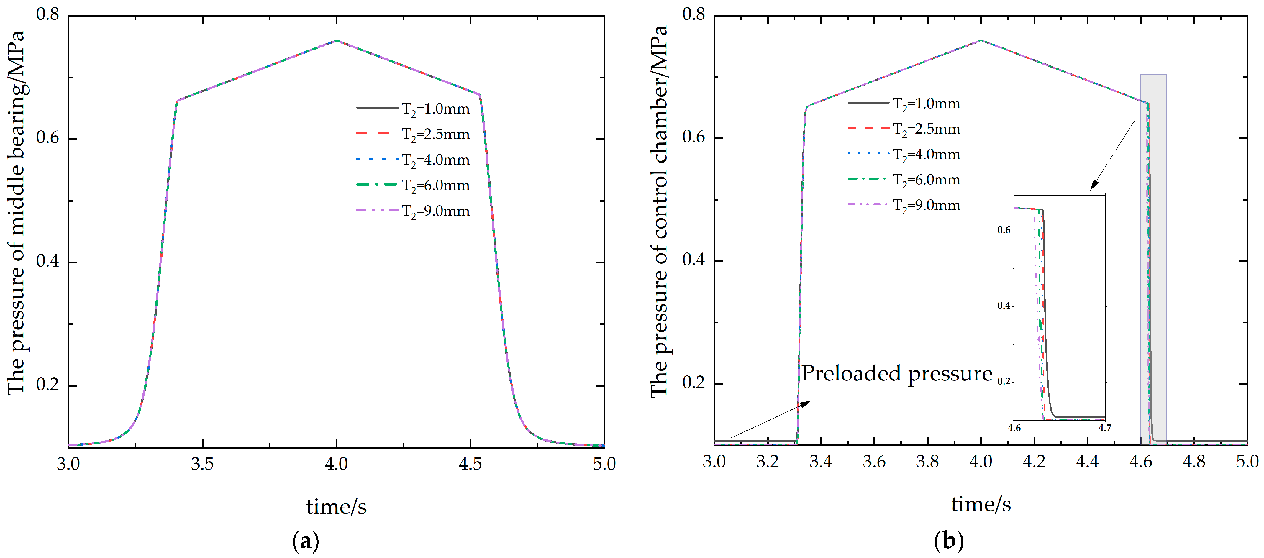
3.5. Different Diameters of Nozzle 2
4. Conclusions
- (1)
- In the process of using the vent valve, there was a pressure mutation point in the middle support pressure and the pressure in the control chamber, which made the piston chamber pressure change rapidly and made the vent valve open and close with good rapidness.
- (2)
- The damping parameters will affect the control performance of the vent valve, among which Z1 and T1 are the main components. With the increase in Z1, the middle pressure of the support will increase in advance, and the rate will increase rapidly after a turning point. The increase in the diameter Z1 can reduce the pressure surge point of the piston chamber. There will be serious instability in the closing process of the vent valve when Z1 is too large. The piston chamber needs a lot of pressure to complete the opening and closing action when Z1 is too small. The recommended size of Z1 is between 0.1 mm and 1.0 mm. The increase in T1 will increase the time for the middle support pressure to reach the control pressure and increase the piston chamber to the transition point of the control pressure. The best recommended diameter for the middle nozzle of the support is 2.8 mm, and a control performance within 1.0~5.0 mm is also acceptable.
- (3)
- Z2 and Z3 are distributed before and after the steady flow plate and have little influence on the opening and closing characteristics of the vent valve, and the influence law is the same. With the decrease in the diameter of the damping hole, the piston chamber reaches the control pressure time lag, which is not conducive to the effective control of the valve opening and closing. According to the simulation results, the diameter of the damping hole of the front throttle plate should be greater than 0.4 mm. The increase in T2 will make the valve unstable during the opening process, and a T2 value that is too small will cause a pre-pressure in the piston chamber. The recommended diameter for T2 is from 2.5 mm to 6.0 mm.
Author Contributions
Funding
Data Availability Statement
Conflicts of Interest
Abbreviations
| VBV | variable bleed valve |
| PCGV | pilot control globe valve |
| PRV | pilot pressure-reducing valve |
| P0 | ambient gas pressure (MPa) |
| P1 | intermediate gas pressure of welded metal bellow (MPa) |
| P2 | control gas pressure (MPa) |
| A | damping hole A |
| B | damping hole B |
| C | damping hole C |
| k | pressure ratio (P2/P0) |
| y1 | displacement of the welded metal bellow bracket |
| ρ | density (kg/m3) |
| E | elastic modulus (MPa) |
| μi | Poisson’s ratio |
| ζ | friction coefficient |
| [K] | system structural stiffness matrix |
| {δ}, | displacement array of system nodes |
| {F} | load array |
| W | strain energy density |
| N | series of functions |
| Cij | material constant |
| I1 | first-order strain invariant |
| I2 | second-order strain invariant |
| I3 | third-order strain invariant |
| J | volume ratio |
| dk | material constant |
| C1, C2 | material constants |
| y2 | displacement of the terminal (mm) |
| t | time |
| u, v, w | velocity vector |
| x, y, z | cartesian direction |
| μ | dynamic viscosity |
| p | pressure |
| Su, Sv, Sw | generalized source terms of momentum equation |
| Gk | turbulent kinetic energy generated by average speed |
| Gb | turbulent kinetic energy from buoyancy |
| YM | the contribution of the fluctuating dilatation in compressible turbulence to the overall dissipation rate |
| C1ε, C2ε, C3ε | constants |
| σk | the turbulent Prandtl number for k |
| σε | the turbulent Prandtl number for ε |
| Sk | user-defined source term for k |
| Sε | user-defined source term forε |
| μt | turbulent viscosity |
| s | compression area (mm2) |
| K | overall stiffness of the membrane assembly (N/mm) |
| Ka | equivalent stiffness of the film (N/mm) |
| Kb | stiffness of the spring (N/mm) |
| Qm | mass flow (kg/s) |
| C0 | flow coefficient |
| S | orifice area (mm2) |
| p0 | pressure before the orifice (MPa) |
| p1 | pressure after the orifice (MPa) |
| γ | specific heat capacity of air (kJ/(kg·K)) |
| R | gas constant (J/(kg K)) |
| T0 | absolute temperature of the upstream air (K) |
| b | Constant |
| Ff | static friction force (N) |
| Fy | preload force (N) |
| Z1 | diameter of the damping hole of the middle shell |
| Z2 | diameter of the damping hole in front of the steady flow plate |
| Z3 | diameter of the damping hole behind the steady flow plate |
| T1 | diameter of the middle nozzle of the support |
| T2 | diameter of the nozzle of the middle shell |
References
- Yan, W.; Hu, J.; Zhang, H.; Mao, Z.; Yin, C.; Chenkai, Z. Effects of Complicated Rotating Inlet Distortion on Compressor Aerodynamic Stability. In Proceedings of the 50th AIAA/ASME/SAE/ASEE Joint Propulsion Conference, Cleveland, OH, USA, 28–30 July 2014; p. 3732. [Google Scholar]
- Lee, K.; Lee, B.; Kang, S.; Yang, S.; Lee, D. Inlet distortion test with gas turbine engine in the altitude engine test facility. In Proceedings of the 27th AIAA Aerodynamic Measurement Technology and Ground Testing Conference, Chicago, IL, USA, 28 June–1 July 2010; p. 4337. [Google Scholar]
- Sohail, M.U.; Hamdani, H.R.; Islam, A.; Parvez, K.; Khan, A.M.; Allauddin, U.; Khurram, M.; Elahi, H. Prediction of Non-Uniform Distorted Flows, Effects on Transonic Compressor Using CFD, Regression Analysis and Artificial Neural Networks. Appl. Sci. 2021, 11, 3706. [Google Scholar] [CrossRef]
- Leinhos, D.C.; Schmid, N.R.; Fottner, L. The Influence of Transient Inlet Distortions on the Instability Inception of a Low-Pressure Compressor in a Turbofan Engine. J. Turbomach. 2000, 123, 1–8. [Google Scholar] [CrossRef]
- Longley, J.P. A Review of Nonsteady Flow Models for Compressor Stability. J. Turbomach. 1994, 116, 202–215. [Google Scholar] [CrossRef]
- Longley, J.P.; Shin, H.-W.; Plumley, R.E.; Silkowski, P.D.; Day, I.J.; Greitzer, E.M.; Tan, C.S.; Wisler, D.C. Effects of Rotating Inlet Distortion on Multistage Compressor Stability. J. Turbomach. 1996, 118, 181–188. [Google Scholar] [CrossRef]
- Tan, Y. Fitting Operation Curve of Civil Aviation Turbo-fan Engine’s Variable Bleed Valve based on MATLAB. J. Phys. Conf. Ser. 2019, 1176, 52040. [Google Scholar] [CrossRef]
- Song, X.G.; Cui, L.; Park, Y.C. Three-Dimensional CFD Analysis of a Spring-Loaded Pressure Safety Valve from Opening to Re-Closure. In Proceedings of the ASME 2010 Pressure Vessels and Piping Division/K-PVP Conference, Washington, DC, USA, 18–22 July 2010; pp. 295–303. [Google Scholar]
- Sibilla, S.; Gallati, M. Hydrodynamic Characterization of a Nozzle Check Valve by Numerical Simulation. J. Fluids Eng. 2008, 130, 121101. [Google Scholar] [CrossRef]
- Shuiting, D.; Tian, Q.; Xiaofeng, L.; Shuguang, Z. FHA method for VBV position control function of FADEC system based on aero-engine dynamic model. Procedia Eng. 2011, 17, 567–579. [Google Scholar] [CrossRef] [Green Version]
- Shiao, Y.; Kantipudi, M.B.; Yang, T.-H. Performance estimation of an engine with magnetorheological variable valve train. Adv. Mech. Eng. 2019, 11, 1687814019847795. [Google Scholar] [CrossRef] [Green Version]
- Zhang, Y.; Xiao, Y.; Zhang, S.; Yin, Y.; Wang, C. Numerical evaluation on aerodynamic design of pressure-regulating valve in trisonic intermittent wind tunnel. Adv. Mech. Eng. 2021, 13, 16878140211041007. [Google Scholar] [CrossRef]
- Zhang, X.; Zhu, Z.; Xiang, N.; Ni, Z. A microfluidic gas damper for stabilizing gas pressure in portable microfluidic systems. Biomicrofluidics 2016, 10, 054123. [Google Scholar] [CrossRef] [Green Version]
- Zhang, X.; Lu, Y.; Li, Y.; Zhang, C.; Wang, R. Numerical calculation and experimental study on response characteristics of pneumatic solenoid valves. Meas. Control 2019, 52, 1382–1393. [Google Scholar] [CrossRef]
- Zhang, R.; Peng, J.; Li, H.; Chen, B.; Liu, W.; Huang, Z.; Wang, J. A predictive control method to improve pressure tracking precision and reduce valve switching for pneumatic brake systems. IET Control Theory Appl. 2021, 15, 1389–1403. [Google Scholar] [CrossRef]
- Zhipeng, X.; Xuanyin, W. Development of a novel high pressure electronic pneumatic pressure reducing valve. J. Dyn. Sys. Meas. Control. 2011, 133, 011011. [Google Scholar] [CrossRef]
- Wang, X.; Xu, Z. Concentric Annular Clearance-Controllable Pressure Characteristics Research of a High Pressure Pneumatic Pressure Assembly. Chin. J. Mech. Eng. Engl. Ed. 2011, 24, 121. [Google Scholar] [CrossRef]
- Bao, H.; Wang, Z.; Wei, X.; Li, G. Study on the Structural Configurations and Pressure Regulation Characteristics of the Automatic Pressure Regulating Valve in the Electronically Controlled Pneumatic Brake System of Commercial Vehicles. Appl. Sci. 2021, 11, 10603. [Google Scholar] [CrossRef]
- Wang, C.; Quan, L.; Ou, H. The method of restraining hydraulic impact with active adjusting variable damping. Proc. Inst. Mech. Eng. Part C J. Mech. Eng. Sci. 2019, 233, 3785–3794. [Google Scholar] [CrossRef]
- Sun, Z.-Y.; Li, G.-X.; Wang, L.; Wang, W.-H.; Gao, Q.-X.; Wang, J. Effects of structure parameters on the static electromagnetic characteristics of solenoid valve for an electronic unit pump. Energy Conv. Manag. 2016, 113, 119–130. [Google Scholar] [CrossRef]
- Ren, F.; Liu, X.; Chen, J.; Zeng, P.; Liu, B.; Wang, Q. Dynamic characteristics analysis of power shift control valve. Adv. Mech. Eng. 2014, 6, 824853. [Google Scholar] [CrossRef]
- Guan, C.; Jiao, Z.; He, S. Theoretical study of flow ripple for an aviation axial-piston pump with damping holes in the valve plate. Chin. J. Aeronaut. 2014, 27, 169–181. [Google Scholar] [CrossRef] [Green Version]
- Zeng, Q.-L.; Tian, M.-Q.; Wan, L.-R.; Dai, H.-Z.; Yang, Y.; Sun, Z.-Y.; Lu, Y.-J.; Liu, F.-Q. Characteristic analysis of digital large flow emulsion relief valve. Math. Probl. Eng. 2020, 2020, 5820812. [Google Scholar] [CrossRef]
- Qian, J.-Y.; Wu, J.-Y.; Gao, Z.-X.; Jin, Z.-J. Pilot pipe and damping orifice arrangements analysis of a pilot-control globe valve. J. Fluids Eng. 2020, 142, 101210. [Google Scholar] [CrossRef]
- Zhang, J.-H.; Wang, D.; Xu, B.; Gan, M.-Y.; Pan, M.; Yang, H.-Y. Experimental and numerical investigation of flow forces in a seat valve using a damping sleeve with orifices. J. Zhejiang Univ.Sci A 2018, 19, 417–430. [Google Scholar] [CrossRef]
- Jin, Z.-J.; Gao, Z.-X.; Zhang, M.; Qian, J.-Y. Pressure Drop Analysis of Pilot-Control Globe Valve with Different Structural Parameters. J. Fluids Eng. 2017, 139, 91102. [Google Scholar] [CrossRef]
- Jang, S.C.; Kang, J.H. Orifice design of a pilot-operated pressure relief valve. J. Press. Vessel. Technol. 2017, 139, 31601. [Google Scholar] [CrossRef]
- Hu, L.; Shen, Y.; Chen, W.; Fu, X. Experimental investigation on submerged gas-liquid mixture injection into water through a micro-channel. Int. J. Multiph. Flow 2016, 83, 39–50. [Google Scholar] [CrossRef]
















Publisher’s Note: MDPI stays neutral with regard to jurisdictional claims in published maps and institutional affiliations. |
© 2022 by the authors. Licensee MDPI, Basel, Switzerland. This article is an open access article distributed under the terms and conditions of the Creative Commons Attribution (CC BY) license (https://creativecommons.org/licenses/by/4.0/).
Share and Cite
Zhang, J.; Yin, W.; Shi, Y.; Gao, Z.; Pan, L.; Li, Y. Effects of the Damping Parameters on the Opening and Closing Characteristics of Vent Valves. Appl. Sci. 2022, 12, 5169. https://doi.org/10.3390/app12105169
Zhang J, Yin W, Shi Y, Gao Z, Pan L, Li Y. Effects of the Damping Parameters on the Opening and Closing Characteristics of Vent Valves. Applied Sciences. 2022; 12(10):5169. https://doi.org/10.3390/app12105169
Chicago/Turabian StyleZhang, Jin, Wenlong Yin, Yandong Shi, Zitong Gao, Lijiang Pan, and Ying Li. 2022. "Effects of the Damping Parameters on the Opening and Closing Characteristics of Vent Valves" Applied Sciences 12, no. 10: 5169. https://doi.org/10.3390/app12105169
APA StyleZhang, J., Yin, W., Shi, Y., Gao, Z., Pan, L., & Li, Y. (2022). Effects of the Damping Parameters on the Opening and Closing Characteristics of Vent Valves. Applied Sciences, 12(10), 5169. https://doi.org/10.3390/app12105169
